On the Hydrothermal Behavior of Fluid Flow and Heat Transfer in a Helical Double-Tube Heat Exchanger with Curved Swirl Generator; Impacts of Length and Position
Abstract
:1. Introduction
2. Materials and Methods
2.1. Problem Description
2.2. Governing Equations
2.3. Boundary Conditions
3. Results and Discussion
3.1. Mesh Independence Evaluation
3.2. Validation Analysis
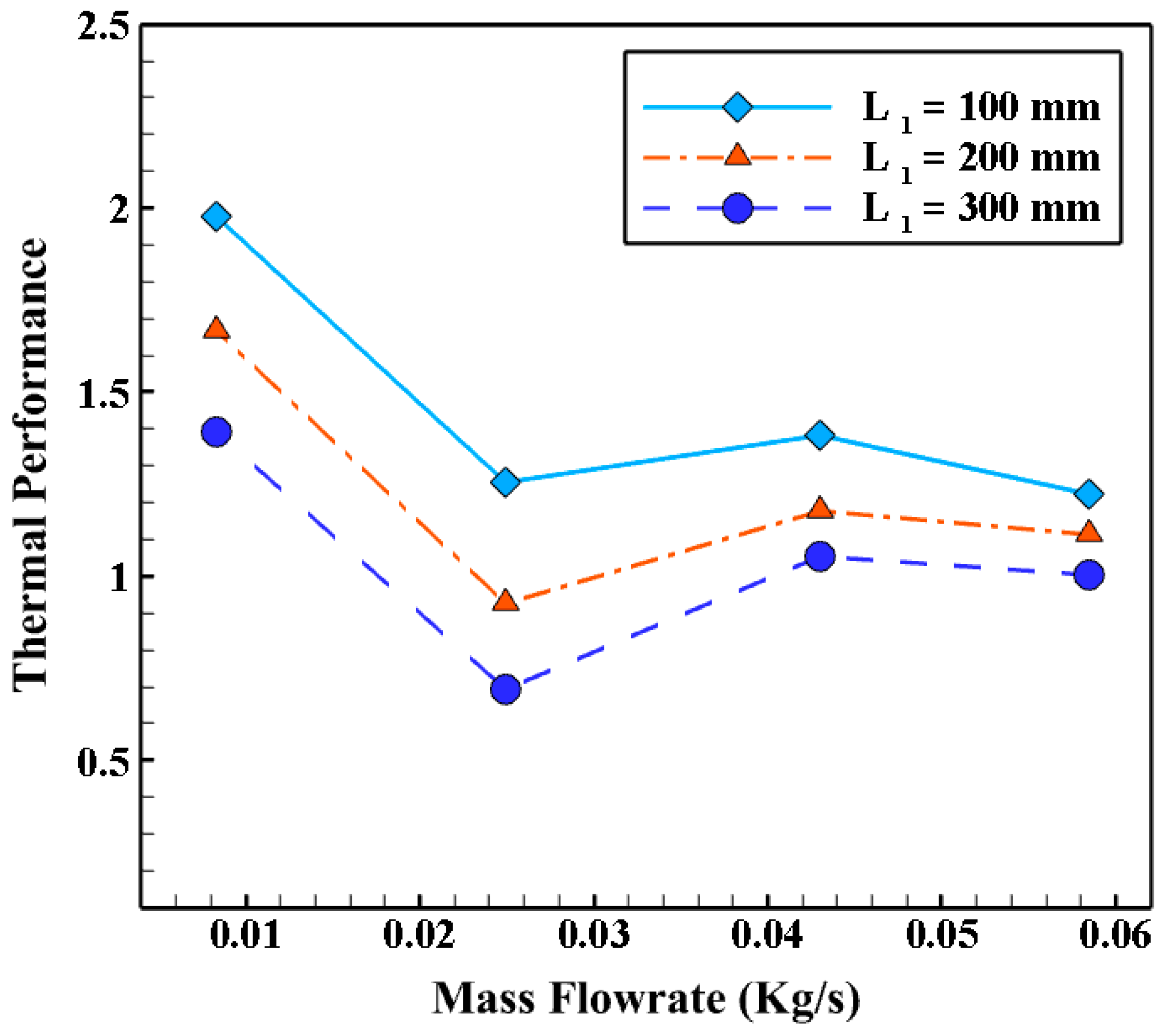
3.3. The Impact of the Proposed Swirl Generator’s Length (L1)
3.4. The Influence of the Position of the Suggested Swirl Generator (S)
4. Conclusions
- The generated secondary flows (swirls) were a mixture of the swirls caused by the holes of the conical sector and the secondary streams caused by the blades;
- The shorter length of the employed swirl generator resulted in higher thermal performance;
- The maximum thermal performance belonged to the model with L1 = 100 mm at = 0.008 kg/s by 17.65, 53.85, and 100%, respectively, compared to the models L1 = 200, 300 mm, and the model without swirl generator;
- The best thermal stratification was obtained at L1 = 100 mm, and the temperature contour showed a uniform temperature field distribution for this case;
- Among the different studied positions of the inserted swirl generator, the maximum heat transfer coefficient and the average Nusselt number in all mass flows were found at the position S = 0.3π mm;
- Only two positions of the inserted swirl generator, including S = 0.1π and 0.3π mm, illustrated more thermal performance compared to the model without a swirl generator;
- The thermal performance of the case with position S = 0.3π mm was higher than that of the case S = 0.1π mm, S = 0.5π mm, and the case without swirl generator by about 11.11, 53.84, and 100%, respectively.
Author Contributions
Funding
Data Availability Statement
Conflicts of Interest
References
- Ajarostaghi, S.S.M.; Mousavi, S.S. Solar energy conversion technologies: Principles and advancements. In Solar Energy Advancements in Agriculture and Food Production Systems; Academic Press: Cambridge, MA, USA, 2022; pp. 29–76. [Google Scholar] [CrossRef]
- Amirsoleymani, A.; Babaei, R.; Mousavi Ajarostaghi, S.S.; Saffari Pour, M. Feasibility evaluation of Stand-Alone energy solutions in Energy-Poor Islands using sustainable hydrogen production. Int. J. Energy Res. 2022, 46, 24045–24063. [Google Scholar] [CrossRef]
- Norouztabar, R.; Mousavi Ajarostaghi, S.S.; Mousavi, S.S.; Nejat, P.; Rahimian Koloor, S.S.; Eldessouki, M. On the performance of a modified triple stack blade Savonius wind turbine as a function of geometrical parameters. Sustainability 2022, 14, 9816. [Google Scholar] [CrossRef]
- Ezoji, H.; Ajarostaghi, S.S.M. Thermodynamic-CFD analysis of waste heat recovery from homogeneous charge compression ignition (HCCI) engine by Recuperative organic Rankine Cycle (RORC): Effect of operational parameters. Energy 2020, 205, 117989. [Google Scholar] [CrossRef]
- Berger, S.A.; Talbot, L.; Yao, L.S. Flow in curved pipes. Annu. Rev. Fluid Mech. 1983, 15, 461–512. [Google Scholar] [CrossRef]
- Mousavi Ajarostaghi, S.S.; Zaboli, M.; Javadi, H.; Badenes, B.; Urchueguia, J.F. A review of recent passive heat transfer enhancement methods. Energies 2022, 15, 986. [Google Scholar] [CrossRef]
- Esfe, M.H.; Saedodin, S.; Wongwises, S.; Toghraie, D. An experimental study on the effect of diameter on thermal conductivity and dynamic viscosity of Fe/water nanofluids. J. Therm. Anal. Calorim. 2015, 119, 1817–1824. [Google Scholar] [CrossRef]
- Afsharpanah, F.; Izadi, M.; Hamedani, F.A.; Ajarostaghi, S.S.M.; Yaïci, W. Solidification of nano-enhanced PCM-porous composites in a cylindrical cold thermal energy storage enclosure. Case Stud. Therm. Eng. 2022, 39, 102421. [Google Scholar] [CrossRef]
- Afsharpanah, F.; Cheraghian, G.; Akbarzadeh Hamedani, F.; Shokri, E.; Mousavi Ajarostaghi, S.S. Utilization of carbon-based nanomaterials and plate-fin networks in a cold PCM container with application in air conditioning of buildings. Nanomaterials 2022, 12, 1927. [Google Scholar] [CrossRef]
- Afsharpanah, F.; Mousavi Ajarostaghi, S.S.; Akbarzadeh Hamedani, F.; Saffari Pour, M. Compound heat transfer augmentation of a shell-and-coil ice storage unit with metal-oxide nano additives and connecting plates. Nanomaterials 2022, 12, 1010. [Google Scholar] [CrossRef] [PubMed]
- Noorbakhsh, M.; Pourfallah, M.; Ajarostaghi, S.S.; Zaboli, M. Numerical evaluation and the effects of geometrical and operational parameters on thermal performance of the shell and double coil tube heat exchanger. Heat Transf. 2020, 49, 4678–4703. [Google Scholar] [CrossRef]
- Afsharpanah, F.; Pakzad, K.; Mousavi Ajarostaghi, S.S.; Poncet, S.; Sedighi, K. Accelerating the charging process in a shell and dual coil ice storage unit equipped with connecting plates. Int. J. Energy Res. 2022, 46, 7460–7478. [Google Scholar] [CrossRef]
- Kim, K.; Lee, K.S. Frosting and defrosting characteristics of surface-treated louvered-fin heat exchangers: Effects of fin pitch and experimental conditions. Int. J. Heat Mass Transf. 2013, 60, 505–511. [Google Scholar] [CrossRef]
- Nuntaphan, A.; Vithayasai, S.; Vorayos, N.; Vorayos, N.; Kiatsiriroat, T. Use of oscillating heat pipe technique as extended surface in wire-on-tube heat exchanger for heat transfer enhancement. Int. Commun. Heat Mass Transf. 2010, 37, 287–292. [Google Scholar] [CrossRef]
- Salhi, J.E.; Mousavi Ajarostaghi, S.S.; Zarrouk, T.; Saffari Pour, M.; Salhi, N.; Salhi, M. Turbulence and thermos-flow behavior of air in a rectangular channel with partially inclined baffles. Energy Sci. Eng. 2022, 10, 3540–3558. [Google Scholar] [CrossRef]
- Nouri Kadijani, O.; Kazemi Moghadam, H.; Mousavi Ajarostaghi, S.S.; Asadi, A.; Saffari Pour, M. Hydrothermal performance of humid air flow in a rectangular solar air heater equipped with V-shaped ribs. Energy Sci. Eng. 2022, 10, 2276–2289. [Google Scholar] [CrossRef]
- Samadifar, M.; Toghraie, D. Numerical simulation of heat transfer enhancement in a plate-fin heat exchanger using a new type of vortex generators. Appl. Therm. Eng. 2018, 133, 671–681. [Google Scholar] [CrossRef]
- Hobbi, A.; Siddiqui, K. Experimental study on the effect of heat transfer enhancement devices in flat-plate solar collectors. Int. J. Heat Mass Transf. 2009, 52, 4650–4658. [Google Scholar] [CrossRef]
- Dizaji, H.S.; Jafarmadar, S.; Asaadi, S. Experimental exergy analysis for shell and tube heat exchanger made of corrugated shell and corrugated tube. Exp. Therm. Fluid Sci. 2017, 81, 475–481. [Google Scholar] [CrossRef]
- Mohammadi, S.; Mousavi Ajarostaghi, S.S.; Pourfallah, M. The latent heat recovery from boiler exhaust flue gas using shell and corrugated tube heat exchanger: A numerical study. Heat Transf. 2020, 49, 3797–3815. [Google Scholar] [CrossRef]
- Li, J.; Hrnjak, P. Separation in condensers as a way to improve efficiency. Int. J. Refrig. 2017, 79, 1–9. [Google Scholar] [CrossRef]
- Li, H.; Wang, L.; Jiang, H.; Liu, H.; Gao, Q.; Huang, L. Quantification of flow distribution and heat capacity potential of a microchannel evaporator. Int. J. Refrig. 2022; in press. [Google Scholar] [CrossRef]
- Li, H.; Hrnjak, P. Transition from plug/slug flow to annular flow in microchannel tube: A database and a model. Int. J. Heat Mass Transf. 2022, 193, 122997. [Google Scholar] [CrossRef]
- Tang, L.H.; Zeng, M.; Wang, Q.W. Experimental and numerical investigation on air-side performance of fin-and-tube heat exchangers with various fin patterns. Exp. Therm. Fluid Sci. 2009, 33, 818–827. [Google Scholar] [CrossRef]
- Wongcharee, K.; Eiamsa-ard, S. Heat transfer enhancement by using CuO/water nanofluid in corrugated tube equipped with twisted tape. Int. Commun. Heat Mass Transf. 2012, 39, 251–257. [Google Scholar] [CrossRef]
- Darzi, A.A.R.; Farhadi, M.; Sedighi, K. Experimental investigation of convective heat transfer and friction factor of Al2O3/water nanofluid in helically corrugated tube. Exp. Therm. Fluid Sci. 2014, 57, 188–199. [Google Scholar] [CrossRef]
- Du, T.; Chen, Q.; Du, W.; Cheng, L. Performance of continuous helical baffled heat exchanger with varying elliptical tube layouts. Int. J. Heat Mass Transf. 2019, 133, 1165–1175. [Google Scholar] [CrossRef]
- Bahiraei, M.; Mazaheri, N.; Rizehvandi, A. Application of a hybrid nanofluid containing graphene nanoplatelet–platinum composite powder in a triple-tube heat exchanger equipped with inserted ribs. Appl. Therm. Eng. 2019, 149, 588–601. [Google Scholar] [CrossRef]
- Abolarin, S.M.; Everts, M.; Meyer, J.P. Heat transfer and pressure drop characteristics of alternating clockwise and counter clockwise twisted tape inserts in the transitional flow regime. Int. J. Heat Mass Transf. 2019, 133, 203–217. [Google Scholar] [CrossRef]
- Zhang, Y.; Zhou, F.; Kang, J. Flow and heat transfer in drag-reducing polymer solution flow through the corrugated tube and circular tube. Appl. Therm. Eng. 2020, 9, 115185. [Google Scholar] [CrossRef]
- Kareem, Z.S.; Abdullah, S.; Lazim, T.M.; Jaafar, M.M.; Wahid, A.F. Heat transfer enhancement in three-start spirally corrugated tube: Experimental and numerical study. Chem. Eng. Sci. 2015, 134, 746–757. [Google Scholar] [CrossRef]
- Lu, G.; Zhou, G. Numerical simulation on performances of plane and curved winglet type vortex generator pairs with punched holes. Int. J. Heat Mass Transf. 2016, 102, 679–690. [Google Scholar] [CrossRef]
- Mashoofi, N.; Pesteei, S.M.; Moosavi, A.; Dizaji, H.S. Fabrication method and thermal-frictional behavior of a tube-in-tube helically coiled heat exchanger which contains turbulator. Appl. Therm. Eng. 2017, 111, 1008–1015. [Google Scholar] [CrossRef]
- Noorbakhsh, M.; Zaboli, M.; Ajarostaghi, S.S. Numerical evaluation of the effect of using twisted tapes as turbulator with various geometries in both sides of a double-pipe heat exchanger. J. Therm. Anal. Calorim. 2020, 140, 1341–1353. [Google Scholar] [CrossRef]
- Kwon, B.; Liebenberg, L.; Jacobi, A.M.; King, W.P. Heat transfer enhancement of internal laminar flows using additively manufactured static mixers. Int. J. Heat Mass Transf. 2019, 137, 292–300. [Google Scholar] [CrossRef]
- Rashidi, S.; Hormozi, F.; Sundén, B.; Mahian, O. Energy saving in thermal energy systems using dimpled surface technology—A review on mechanisms and applications. Appl. Energy 2019, 250, 1491–1547. [Google Scholar] [CrossRef]
- Hashemi Karouei, S.H.; Seyed Soheil, M.A. Influence of a Curved Conical Turbulator on Heat Transfer Augmentation in a Helical Double-Pipe Heat Exchanger. J. Heat Transf. Asian Res. 2020, 50, 1872–1894. [Google Scholar] [CrossRef]
- Hashemi Karouei, S.H.; Ajarostaghi, S.S.M.; Gorji-Bandpy, M.; Hosseini Fard, S.R. Laminar heat transfer and fluid flow of two various hybrid nanofluids in a helical double-pipe heat exchanger equipped with an innovative curved conical turbulator. J. Therm. Anal. Calorim. 2021, 143, 1455–1466. [Google Scholar] [CrossRef]
- Hashemi Karouei, S.H.; Mousavi Ajarostaghi, S.S.; Rashidi, S.; Hosseinirad, E. An advanced turbulator with blades and semi-conical section for heat transfer improvement in a helical double tube heat exchanger. J. Cent. South Univ. 2021, 28, 3491–3506. [Google Scholar] [CrossRef]
- Bejan, A. Convection Heat Transfer; John Wiley & Sons: Hoboken, NJ, USA, 2013; ISBN 978-1-118-33008-1. [Google Scholar]
- Schmidt, E.F. Wärmeübergang und druckverlust in rohrschlangen. Chem. Ing. Tech. 1967, 39, 781–789. [Google Scholar] [CrossRef]
- Itō, H. Friction factors for turbulent flow in curved pipes. J. Basic Eng. 1959, 81, 123–132. [Google Scholar] [CrossRef]
- Lim, K.Y.; Hung, Y.M.; Tan, B.T. Performance evaluation of twisted-tape insert induced swirl flow in a laminar thermally developing heat exchanger. Appl. Therm. Eng. 2017, 121, 652–661. [Google Scholar] [CrossRef]
- Zheng, N.; Liu, P.; Shan, F.; Liu, J.; Liu, Z.; Liu, W. Numerical studies on thermo-hydraulic characteristics of laminar flow in a heat exchanger tube fitted with vortex rods. Int. J. Therm. Sci. 2016, 100, 448–456. [Google Scholar] [CrossRef]
- Guo, J.; Fan, A.; Zhang, X.; Liu, W. A numerical study on heat transfer and friction factor characteristics of laminar flow in a circular tube fitted with center-cleared twisted tape. Int. J. Therm. Sci. 2011, 50, 1263–1270. [Google Scholar] [CrossRef]
- Akiyama, M.; Cheng, K.C. Laminar forced convection heat transfer in curved pipes with uniform wall temperature. Int. J. Heat Mass Transf. 1972, 15, 1426–1431. [Google Scholar] [CrossRef]


















| Properties | Value (mm) |
|---|---|
| Swirl Generator’s Outer Radius (Ro) | 17 |
| Swirl Generator’s Inner Radius (Ri) | 12 |
| Channel’s Radius of Swirl Generator (r) | 6 |
| Thickness of Swirl Generator’s Blades (w) | 2 |
| Height of Swirl Generator’s Blades (h) | 5 |
| Radius of Swirl Generator’s Holes (ri) | 3 |
| Cold Channel’s Diameter (Di) | 0.1 |
| Hot Channel’s Diameter (di) | 0.042 |
| The Radius of Heat Exchanger’s Round (R) | 0.8 |
| Property | Water (Working Fluid) | Steel (Swirl Generator) |
|---|---|---|
| Density (kg/m3) | 998.2 | 7881.8 |
| Viscosity (Pa·s) | 0.001003 | - |
| Thermal Conductivity (W/(m·K) | 0.6 | 16.0 |
| Specific Heat (J/ (kg·K) | 4181.8 | 502.0 |
| Mass Flow rate [kg/s] | Re | Average Nusselt Number | Error [%] | Friction Factor (f) | Error [%] | ||
|---|---|---|---|---|---|---|---|
| Laminar | Turbulent | Laminar | Turbulent | ||||
| 0.02504 | 757 | 33.5 | 34.31 | 2.4 | 8.1 | 8.50 | 4.8 |
| 0.05843 | 1700 | 44.5 | 46.35 | 4 | 26 | 26.97 | 3.6 |
Disclaimer/Publisher’s Note: The statements, opinions and data contained in all publications are solely those of the individual author(s) and contributor(s) and not of MDPI and/or the editor(s). MDPI and/or the editor(s) disclaim responsibility for any injury to people or property resulting from any ideas, methods, instructions or products referred to in the content. |
© 2023 by the authors. Licensee MDPI, Basel, Switzerland. This article is an open access article distributed under the terms and conditions of the Creative Commons Attribution (CC BY) license (https://creativecommons.org/licenses/by/4.0/).
Share and Cite
Mousavi Ajarostaghi, S.S.; Hashemi Karouei, S.H.; Alinia-kolaei, M.; Ahmadnejad Karimi, A.; Mohammad Zadeh, M.; Sedighi, K. On the Hydrothermal Behavior of Fluid Flow and Heat Transfer in a Helical Double-Tube Heat Exchanger with Curved Swirl Generator; Impacts of Length and Position. Energies 2023, 16, 1801. https://doi.org/10.3390/en16041801
Mousavi Ajarostaghi SS, Hashemi Karouei SH, Alinia-kolaei M, Ahmadnejad Karimi A, Mohammad Zadeh M, Sedighi K. On the Hydrothermal Behavior of Fluid Flow and Heat Transfer in a Helical Double-Tube Heat Exchanger with Curved Swirl Generator; Impacts of Length and Position. Energies. 2023; 16(4):1801. https://doi.org/10.3390/en16041801
Chicago/Turabian StyleMousavi Ajarostaghi, Seyed Soheil, Seyed Hossein Hashemi Karouei, Mehdi Alinia-kolaei, Alireza Ahmadnejad Karimi, Morteza Mohammad Zadeh, and Kurosh Sedighi. 2023. "On the Hydrothermal Behavior of Fluid Flow and Heat Transfer in a Helical Double-Tube Heat Exchanger with Curved Swirl Generator; Impacts of Length and Position" Energies 16, no. 4: 1801. https://doi.org/10.3390/en16041801
APA StyleMousavi Ajarostaghi, S. S., Hashemi Karouei, S. H., Alinia-kolaei, M., Ahmadnejad Karimi, A., Mohammad Zadeh, M., & Sedighi, K. (2023). On the Hydrothermal Behavior of Fluid Flow and Heat Transfer in a Helical Double-Tube Heat Exchanger with Curved Swirl Generator; Impacts of Length and Position. Energies, 16(4), 1801. https://doi.org/10.3390/en16041801

