A Common-Ground Bidirectional Hybrid Switched-Capacitor DC–DC Converter with a High Voltage Conversion Ratio
Abstract
:1. Introduction
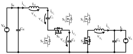
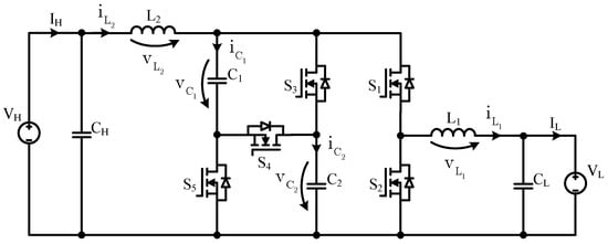
2. Hybrid Converter Topology and Theory of Operation
2.1. BHSC Topology
2.2. BHSC Theory of Operation
2.3. Analytical Description
- (a)
- The converter is operating in steady-state, continuous conduction mode (CCM);
- (b)
- All components are ideal;
- (c)
- The capacitances are large enough to achieve negligible voltage ripple; therefore, the voltage across each capacitor is considered constant;
- (d)
- The capacitors that form the switched-capacitor cell are considered identical (C1 = C2 = Csw).
3. Sizing of BHSC Components
3.1. Inductor Sizing
3.2. Capacitor Sizing
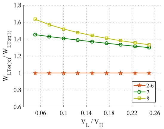
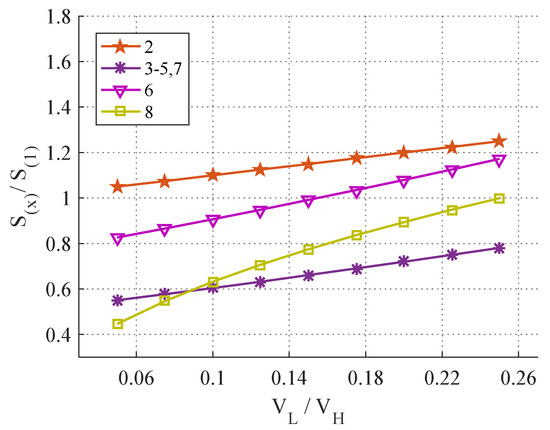
4. Comparison with Other Converters
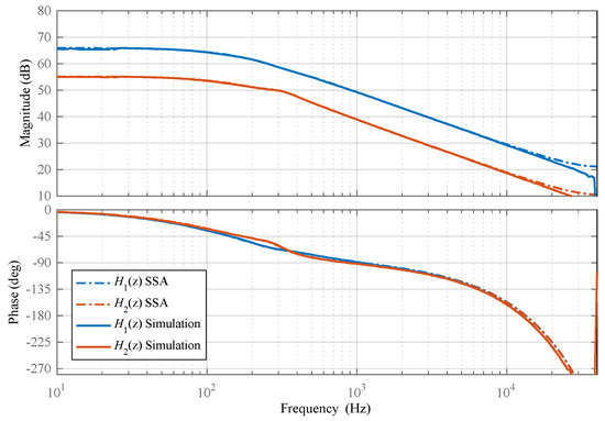
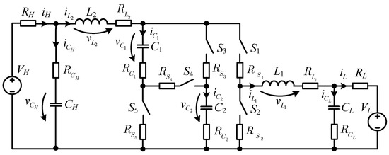
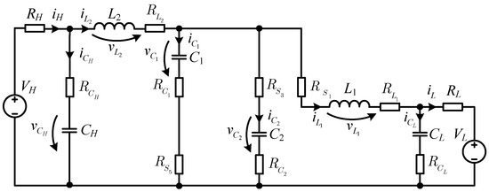
5. Stability Analysis
- (a)
- The power switching devices S1–S5 are ideal switches in series with parasitic resistances rS1 = … = rS5 = rS;
- (b)
- VL and VH have constant values during one switching period T;
- (c)
- L1 and L2 have the parasitic series resistances rL1 and rL2, respectively;
- (d)
- C1 and C2 have equal parasitic series resistances; rC1 = rC2 = rc;
- (e)
- CL and CH have the parasitic series resistances rCL and rCH, respectively.
6. Experimental Results
7. Conclusions
Author Contributions
Funding
Conflicts of Interest
References
- Berrueta, A.; Ursúa, A.; Martín, I.S.; Eftekhari, A.; Sanchis, P. Supercapacitors: Electrical characteristics, modeling, applications, and future trends. IEEE Access 2019, 7, 50869–50896. [Google Scholar] [CrossRef]
- Ariyarathna, T.; Kularatna, N.; Gunawardane, K.; Jayananda, D.; Steyn-Ross, D.A. Development of Supercapacitor Technology and Its Potential Impact on New Power Converter Techniques for Renewable Energy. IEEE J. Emerg. Sel. Top. Ind. Electron. 2021, 2, 267–276. [Google Scholar] [CrossRef]
- Navarro, G.; Torres, J.; Blanco, M.; Nájera, J.; Santos-Herran, M.; Lafoz, M. Present and Future of Supercapacitor Technology Applied to Powertrains, Renewable Generation and Grid Connection Applications. Energies 2021, 14, 3060. [Google Scholar] [CrossRef]
- Hulea, D.; Muntean, N.; Gireada, M.; Cornea, O. A Bidirectional Hybrid Switched-Capacitor DC-DC Converter with a High Voltage Gain. In Proceedings of the 2019 International Aegean Conference on Electrical Machines and Power Electronics (ACEMP) & 2019 International Conference on Optimization of Electrical and Electronic Equipment (OPTIM), Istanbul, Turkey, 27–29 August 2019; pp. 289–296. [Google Scholar] [CrossRef]
- Hulea, D.; Cornea, O.; Muntean, N.; Fahimi, B. A bidirectional hybrid switched inductor converter with wide voltage conversion range. IET Power Electron. 2021, 14, 1753–1767. [Google Scholar] [CrossRef]
- Elsayad, N.; Moradisizkoohi, H.; Mohammed, O.A. A new hybrid structure of a bidirectional DC-DC converter with high conversion ratios for electric vehicles. IEEE Trans. Veh. Technol. 2020, 69, 194–206. [Google Scholar] [CrossRef]
- Dahono, P.A.; Dahono, A. A family of modular multilevel bidirectional DC-DC converters for high voltage-ratio and low-ripple applications. In Proceedings of the 2020 IEEE Energy Conversion Congress and Exposition (ECCE), Detroit, MI, USA, 11–15 October 2020; pp. 3934–3940. [Google Scholar]
- Hosseini, S.H.; Ghazi, R.; Heydari-Doostabad, H. An extendable quadratic bidirectional DC–DC converter for V2G and G2V applications. IEEE Trans. Ind. Electron. 2021, 68, 4859–4869. [Google Scholar] [CrossRef]
- Rezaii, R.; Nilian, M.; Safayatullah; Alaql, F.; Batarseh, I. Design and Experimental Study of a High Voltage Gain Bidirectional DC-DC Converter for Electrical Vehicle Application. In Proceedings of the 2022 IEEE Applied Power Electronics Conference and Exposition (APEC), Houston, TX, USA, 20–24 March 2022; pp. 2058–2063. [CrossRef]
- Chakraborty, S.; Vu, H.-N.; Hasan, M.M.; Tran, D.-D.; Baghdadi, M.E.; Hegazy, O. DC-DC Converter Topologies for Electric Vehicles, Plug-in Hybrid Electric Vehicles and Fast Charging Stations: State of the Art and Future Trends. Energies 2019, 12, 1569. [Google Scholar] [CrossRef] [Green Version]
- Chen, T.; Zhang, X.-P.; Wang, J.; Li, J.; Wu, C.; Hu, M.; Bian, H. A Review on Electric Vehicle Charging Infrastructure Development in the UK. J. Mod. Power Syst. Clean Energy 2020, 8, 193–205. [Google Scholar] [CrossRef]
- González-Castaño, C.; Restrepo, C.; Flores-Bahamonde, F.; Rodriguez, J. A Composite DC-DC Converter Based on the Versatile Buck-Boost Topology for Electric Vehicle Applications. Sensors 2022, 22, 5409. [Google Scholar] [CrossRef]
- Zhang, H.; Chen, Y.; Park, S.-J.; Kim, D.-H. A Family of Bidirectional DC–DC Converters for Battery Storage System with High Voltage Gain. Energies 2019, 12, 1289. [Google Scholar] [CrossRef] [Green Version]
- Chen, B.-Z.; Liao, H.; Chen, L.; Chen, J.-F. Design and Implementation of the Bidirectional DC-DC Converter with Rapid Energy Conversion. Energies 2022, 15, 898. [Google Scholar] [CrossRef]
- He, M.; Liu, Y.; Liu, H.; Gu, D. Design and analysis of a new bidirectional DC-DC converter with a high voltage conversion ratio and low voltage stress for energy applications. In Proceedings of the 2020 12th IEEE PES Asia-Pacific Power and Energy Engineering Conference (APPEEC), Nanjing, China, 20–23 September 2020; pp. 1–6. [Google Scholar]
- Wang, Z.; Wang, P.; Li, B.; Ma, X.; Wang, P. A bidirectional DC-DC converter with high voltage conversion ratio and zero ripple current for battery energy storage system. IEEE Trans. Power Electron. 2020, 36, 8012–8027. [Google Scholar] [CrossRef]
- Ramirez-Carrillo, M.; Ortega-Cisneros, S.; Rosas-Caro, J.C.; Rivera, J.; Valdez-Resendiz, J.E.; Mayo-Maldonado, J.C.; Valderrabano-Gonzalez, A. A Step-Up Converter with Large Voltage Gain and Low Voltage Rating on Capacitors. Energies 2022, 15, 7944. [Google Scholar] [CrossRef]
- Cornea, O.; Andreescu, G.-D.; Muntean, N.; Hulea, D. Bidirectional Power Flow Control in a DC Microgrid Through a Switched-Capacitor Cell Hybrid DC–DC Converter. IEEE Trans. Ind. Electron. 2017, 64, 3012–3022. [Google Scholar] [CrossRef]
- Bhaskar, M.S.; Ramachandaramurthy, V.K.; Padmanaban, S.; Blaabjerg, F.; Ionel, D.M.; Mitolo, M.; Almakhles, D. Survey of DC-DC Non-Isolated Topologies for Unidirectional Power Flow in Fuel Cell Vehicles. IEEE Access 2020, 8, 178130–178166. [Google Scholar] [CrossRef]
- Forouzesh, M.; Siwakoti, Y.P.; Gorji, S.A.; Blaabjerg, F.; Lehman, B. Step-Up DC–DC Converters: A Comprehensive Review of Voltage-Boosting Techniques, Topologies, and Applications. IEEE Trans. Power Electron. 2017, 32, 9143–9178. [Google Scholar] [CrossRef]
- Ramos-Paja, C.A.; Bastidas-Rodriguez, J.D.; Trejos-Grisales, L.A. Sliding-Mode Control of Bidirectional Flyback Converters with Bus Voltage Regulation for Battery Interface. Computation 2022, 10, 125. [Google Scholar] [CrossRef]
- Wu, Y.-E.; Tai, C.-H. Novel Bidirectional Isolated DC/DC Converter with High Gain Ratio and Wide Input Voltage for Electric Vehicle Storage Systems. Batteries 2022, 8, 240. [Google Scholar] [CrossRef]
- Lin, B.-R. Analysis and Implementation of a Bidirectional Converter with Soft Switching Operation. Processes 2022, 10, 561. [Google Scholar] [CrossRef]
- Punna, S.; Mailugundla, R.; Salkuti, S.R. Design, Analysis and Implementation of Bidirectional DC–DC Converters for HESS in DC Microgrid Applications. Smart Cities 2022, 5, 433–454. [Google Scholar] [CrossRef]
- Pellitteri, F.; Di Dio, V.; Puccio, C.; Miceli, R. A Model of DC-DC Converter with Switched-Capacitor Structure for Electric Vehicle Applications. Energies 2022, 15, 1224. [Google Scholar] [CrossRef]
- Hirth, M.P.; Gules, R.; Font, C.H.I. A wide conversion ratio bidirectional modified SEPIC converter with non-dissipative current snubber. IEEE J. Emerg. Sel. Topics Power Electron. 2020, 9, 1350–1360. [Google Scholar] [CrossRef]
- Axelrod, B.; Berkovich, Y.; Beck, Y. Family of universal bidirectional DC–DC converters with an extended voltage gain. IET Power Electron. 2019, 12, 3562–3570. [Google Scholar] [CrossRef]
- Zhang, Y.; Liu, Q.; Li, J.; Sumner, M. A Common Ground Switched-Quasi-$Z$ -Source Bidirectional DC–DC Converter with Wide-Voltage-Gain Range for EVs With Hybrid Energy Sources. IEEE Trans. Ind. Electron. 2018, 65, 5188–5200. [Google Scholar] [CrossRef]
- Ahmad, A.; Singh, R.K.; Mahanty, R. Bidirectional quadratic converter for wide voltage conversion ratio. In Proceedings of the 2016 IEEE International Conference on Power Electronics, Drives and Energy Systems (PEDES), Trivandrum, India, 14–17 December 2016; pp. 1–5. [Google Scholar] [CrossRef]
- Hulea, D.; Fahimi, B.; Muntean, N.; Cornea, O. High Ratio Bidirectional Hybrid Switched Inductor Converter Using Wide Bandgap Transistors. In Proceedings of the 2018 20th European Conference on Power Electronics and Applications (EPE’18 ECCE Europe), Riga, Latvia, 17–21 September 2018; pp. P.1–P.10. [Google Scholar]
- Axelrod, B.; Berkovich, Y.; Ioinovici, A. Switched-Capacitor/Switched-Inductor Structures for Getting Transformerless Hybrid DC–DC PWM Converters. IEEE Trans. Circuits Syst. I Regul. Pap. 2008, 55, 687–696. [Google Scholar] [CrossRef]
- Muntean, N.; Cornea, O.; Pelan, O.; Lascu, C. Comparative evaluation of buck and hybrid buck DC-DC converters for automotive applications. In Proceedings of the 2012 15th International Power Electronics and Motion Control Conference (EPE/PEMC), Novi Sad, Serbia, 4–6 September 2012; pp. DS2b.3-1–DS2b.3-6. [Google Scholar]
- Li, S.; Smedley, K.M.; Caldas, D.R.; Martins, Y.W. A hybrid bidirectional DC-DC converter for dual-voltage automotive systems. In Proceedings of the 2017 IEEE Applied Power Electronics Conference and Exposition (APEC), Tampa, FL, USA, 26–30 March 2017; pp. 355–361. [Google Scholar]
- Tomar, P.S.; Sharma, A.K.; Hada, K. Energy storage in DC microgrid system using non-isolated bidirectional soft-switching DC/DC converter. In Proceedings of the 2017 6th International Conference on Computer Applications in Electrical Engineering-Recent Advances (CERA), Roorkee, India, 5–7 October 2017; pp. 439–444. [Google Scholar]
- Ardi, H.; Ajami, A.; Kardan, F.; Avilagh, S.N. Analysis and Implementation of a Nonisolated Bidirectional DC–DC Converter with High Voltage Gain. IEEE Trans. Ind. Electron. 2016, 63, 4878–4888. [Google Scholar]
- Cornea, O.; Hulea, D.; Muntean, N.; Andreescu, G.-D. Step-Down Switched-Inductor Hybrid DC-DC Converter for Small Power Wind Energy Conversion Systems with Hybrid Storage. IEEE Access 2020, 8, 136092–136107. [Google Scholar] [CrossRef]































| Converter (x) | Voltage Ratio VL/VH | Inductor Energy WLTot(x) | Capacitor Energy WCTot(x | Total Device Stress S(x) |
|---|---|---|---|---|
| 1. Buck—Boost | ||||
| 2. BHSC | Conv. (1) | |||
| 3. [18,25] | Conv. (2) | Conv. (1) | Conv. (2) | |
| 4. [5,13] * | Conv. (2) | Conv. (1) | Conv. (3) | |
| 5. [26] | Conv. (2) | Conv. (1) | Conv. (3) | |
| 6. [27] | Conv. (2) | Conv. (1) | Conv. (4) | |
| 7. [28] | Conv. (2) | Conv. (3) | ||
| 8. [29] |
| Specifications | ||||||
|---|---|---|---|---|---|---|
| Part | Value | Unit | ESR | ESR Value | Unit | Component |
| L1 | 68 × 2 | µH | RL1 | 12 × 2 | mΩ | 2xDEHF-42/0,068/40 |
| L2 | 470 | µH | RL2 | 53 | mΩ | DEHF-42/0,47/16 |
| Csw | 330 × 3 | µF | RCsw | 214.7/3 | mΩ | ALC80A331CD350 |
| CL | 330 × 3 | µF | RCL | 452/3 | mΩ | SLP331M160A1P3 |
| CH | 100 × 3 | mF | RCH | 1.493/3 | Ω | SLPX101M400A3P3 |
| Element | Pole and Zero Values |
|---|---|
| H1(s) Poles | −4.509641064e+03, −3.584847675e+03, −5.924218847e+02 +1.802230478e+03i, −5.924218847e+02 −1.802230478e+03i, −9.720039549e+02 |
| H1(s) Zeros | −4647.704034, −3603.028284, −569.9738229 +1825.663084i, −569.9738229–1825.663084i |
| H2(s) Poles | −4.509641064e+03, −3.584847675e+03, −5.924218847e+02 +1.802230478e+03i, −5.924218847e+02 −1.802230478e+03i, −9.720039549e+02 |
| H2(s) Zeros | −4523.253666, −3932.363350, −670.2071775 + 1708.298882i, −670.2071775–1708.298882i |
| Specifications | |||
|---|---|---|---|
| Element | Value | Unit | Description |
| P | 3.25 | kW | Nominal converter power |
| VL | 0–80 | V | Low voltage value |
| VH | 100–325 | V | High voltage value |
| IL | 33 | A | Nominal current on the low-voltage input |
| IH | 12 | A | Nominal current on the high-voltage input |
| f | 80 | kHz | Switching frequency |
Disclaimer/Publisher’s Note: The statements, opinions and data contained in all publications are solely those of the individual author(s) and contributor(s) and not of MDPI and/or the editor(s). MDPI and/or the editor(s) disclaim responsibility for any injury to people or property resulting from any ideas, methods, instructions or products referred to in the content. |
© 2023 by the authors. Licensee MDPI, Basel, Switzerland. This article is an open access article distributed under the terms and conditions of the Creative Commons Attribution (CC BY) license (https://creativecommons.org/licenses/by/4.0/).
Share and Cite
Gireadă, M.; Hulea, D.; Muntean, N.; Cornea, O. A Common-Ground Bidirectional Hybrid Switched-Capacitor DC–DC Converter with a High Voltage Conversion Ratio. Energies 2023, 16, 1337. https://doi.org/10.3390/en16031337
Gireadă M, Hulea D, Muntean N, Cornea O. A Common-Ground Bidirectional Hybrid Switched-Capacitor DC–DC Converter with a High Voltage Conversion Ratio. Energies. 2023; 16(3):1337. https://doi.org/10.3390/en16031337
Chicago/Turabian StyleGireadă, Mihaiță, Dan Hulea, Nicolae Muntean, and Octavian Cornea. 2023. "A Common-Ground Bidirectional Hybrid Switched-Capacitor DC–DC Converter with a High Voltage Conversion Ratio" Energies 16, no. 3: 1337. https://doi.org/10.3390/en16031337
APA StyleGireadă, M., Hulea, D., Muntean, N., & Cornea, O. (2023). A Common-Ground Bidirectional Hybrid Switched-Capacitor DC–DC Converter with a High Voltage Conversion Ratio. Energies, 16(3), 1337. https://doi.org/10.3390/en16031337

