Thermodynamic Behavior and Energy Transformation Mechanism of the Multi-Period Evolution of Cavitation Bubbles Collapsing near a Rigid Wall: A Numerical Study
Abstract
1. Introduction
2. Methods: Mathematical Formulation, Numerical Methods, and Verification
2.1. Governing Equations
2.2. Numerical Setup
2.3. Model Validation
3. Results: Hydrodynamic and Thermodynamic of the Multi-Period Oscillation of Cavitation Bubble near the Wall
3.1. Small Stand-Off Distance, γ = 0.80
3.2. Medium Stand-Off Distance, γ = 1.70
3.3. Large Stand-Off Distance, γ = 2.50
3.4. Effect of the Stand-Off Distance on Bubble Hydrodynamics and Thermodynamics
4. Discussion: Energy Considerations during the Collapsing of Bubbles
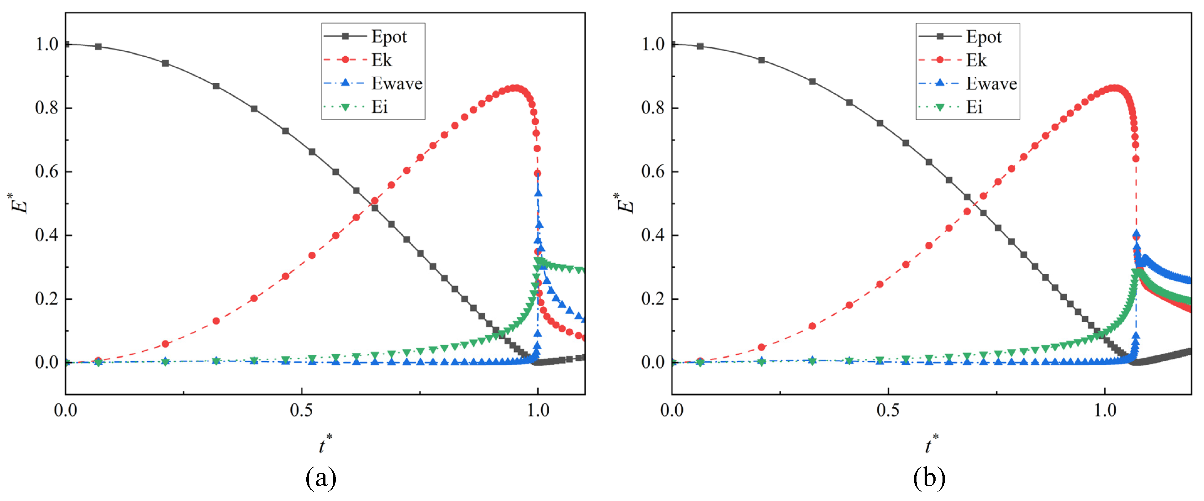
4.1. Transformation of Energy during the Collapsing of Bubbles
4.2. Internal Energy
4.3. Acoustic Radiation Energy
4.4. Influence of Different Stand-Off Distances on the Energy
5. Conclusions
Author Contributions
Funding
Data Availability Statement
Conflicts of Interest
References
- Zhang, S.; Wang, S.P.; Zhang, A.M. Experimental study on the interaction between bubble and free surface using a high-voltage spark generator. Phys. Fluids 2016, 28, 032109. [Google Scholar] [CrossRef]
- Pozar, T.; Agrez, V.; Petkovsek, R. Laser-induced cavitation bubbles and shock waves in water near a concave surface. Ultrason. Sonochem. 2021, 73, 105456. [Google Scholar] [CrossRef] [PubMed]
- Singh, R.; Tiwari, S.K.; Mishra, S.K. Cavitation Erosion in Hydraulic Turbine Components and Mitigation by Coatings: Current Status and Future Needs. J. Mater. Eng. Perform. 2011, 21, 1539–1551. [Google Scholar] [CrossRef]
- Arabnejad, M.H.; Amini, A.; Farhat, M.; Bensow, R.E. Numerical and experimental investigation of shedding mechanisms from leading-edge cavitation. Int. J. Multiph. Flow 2019, 119, 123–143. [Google Scholar] [CrossRef]
- Schenke, S.; van Terwisga, T.J.C. An energy conservative method to predict the erosive aggressiveness of collapsing cavitating structures and cavitating flows from numerical simulations. Int. J. Multiph. Flow 2019, 111, 200–218. [Google Scholar] [CrossRef]
- Xi, S.; Desheng, Z.; Bin, X.; Weidong, S.; van Esch, B.P.M. Experimental and numerical investigation on the effect of tip leakage vortex induced cavitating flow on pressure fluctuation in an axial flow pump. Renew. Energy 2021, 163, 1195–1209. [Google Scholar] [CrossRef]
- Yilmaz, N.; Dong, X.; Aktas, B.; Yang, C.; Atlar, M.; Fitzsimmons, P.A. Experimental and numerical investigations of tip vortex cavitation for the propeller of a research vessel, “The Princess Royal”. Ocean. Eng. 2020, 215, 107881. [Google Scholar] [CrossRef]
- Zhang, Y.; Chen, F.; Zhang, Y.; Zhang, Y.; Du, X. Experimental investigations of interactions between a laser-induced cavitation bubble and a spherical particle. Exp. Therm. Fluid Sci. 2018, 98, 645–661. [Google Scholar] [CrossRef]
- Zhang, Y.; Xie, X.; Zhang, Y.; Zhang, Y.; Du, X. Experimental study of influences of a particle on the collapsing dynamics of a laser-induced cavitation bubble near a solid wall. Exp. Therm. Fluid Sci. 2019, 105, 289–306. [Google Scholar] [CrossRef]
- Dular, M.; Požar, T.; Zevnik, J.; Petkovšek, R. High speed observation of damage created by a collapse of a single cavitation bubble. Wear 2019, 418, 13–23. [Google Scholar] [CrossRef]
- Zhang, S.; Zhang, A.M.; Wang, S.P.; Cui, J. Dynamic characteristics of large scale spark bubbles close to different boundaries. Phys. Fluids 2017, 29, 092107. [Google Scholar] [CrossRef]
- Ge, M.; Petkovšek, M.; Zhang, G.; Jacobs, D.; Coutier-Delgosha, O. Cavitation dynamics and thermodynamic effects at elevated temperatures in a small Venturi channel. Int. J. Heat Mass Transf. 2021, 170, 120970. [Google Scholar] [CrossRef]
- Ge, M.; Sun, C.; Zhang, G.; Coutier-Delgosha, O.; Fan, D. Combined suppression effects on hydrodynamic cavitation performance in Venturi-type reactor for process intensification. Ultrason. Sonochem. 2022, 86, 106035. [Google Scholar] [CrossRef]
- Ge, M.; Manikkam, P.; Ghossein, J.; Kumar, S.; Coutier-Delgosha, O.; Zhang, G. Dynamic mode decomposition to classify cavitating flow regimes induced by thermodynamic effects. Energy 2022, 254, 124426. [Google Scholar] [CrossRef]
- Dular, M.; Coutier-Delgosha, O. Thermodynamic effects during growth and collapse of a single cavitation bubble. J. Fluid Mech. 2013, 736, 44–66. [Google Scholar] [CrossRef]
- Flint, E.B.; Suslick, K.S. The temperature of cavitation. Science 1991, 5026, 1397–1399. [Google Scholar] [CrossRef] [PubMed]
- Liu, X.; Long, Z.; He, J.; Liu, X.; Hou, Y.; Lu, J.; Ni, X. Temperature effect on the impact of a liquid-jet against a rigid boundary. Optik 2013, 124, 1542–1546. [Google Scholar] [CrossRef]
- Koch, M.; Lechner, C.; Reuter, F.; Köhler, K.; Mettin, R.; Lauterborn, W. Numerical modeling of laser generated cavitation bubbles with the finite volume and volume of fluid method, using OpenFOAM. Comput. Fluids 2016, 126, 71–90. [Google Scholar] [CrossRef]
- Bernnen, C.E. Cavitation and Bubble Dynamics; Cambridge University Press: Cambridge, UK, 2014. [Google Scholar]
- Ma, X.; Wang, C.; Huang, B.; Wang, G. Application of two-branch deep neural network to predict bubble migration near elastic boundaries. Phys. Fluids 2019, 31, 102003. [Google Scholar] [CrossRef]
- Tian, Z.-L.; Liu, Y.-L.; Zhang, A.M.; Tao, L. Energy dissipation of pulsating bubbles in compressible fluids using the Eulerian finite-element method. Ocean. Eng. 2020, 196, 106714. [Google Scholar] [CrossRef]
- Wang, Q.X. Non-spherical bubble dynamics of underwater explosions in a compressible fluid. Phys. Fluids 2013, 25, 072104. [Google Scholar] [CrossRef]
- Wang, Q. Multi-oscillations of a bubble in a compressible liquid near a rigid boundary. J. Fluid Mech. 2014, 745, 509–536. [Google Scholar] [CrossRef]
- Beig, S.A.; Aboulhasanzadeh, B.; Johnsen, E. Temperatures produced by inertially collapsing bubbles near rigid surfaces. J. Fluid Mech. 2018, 852, 105–125. [Google Scholar] [CrossRef]
- Yin, J.; Zhang, Y.; Zhu, J.; Zhang, Y.; Li, S. On the thermodynamic behaviors and interactions between bubble pairs: A numerical approach. Ultrason. Sonochem. 2021, 70, 105297. [Google Scholar] [CrossRef] [PubMed]
- Phan, T.-H.; Nguyen, V.-T.; Duy, T.-N.; Kim, D.-H.; Park, W.-G. Numerical study on simultaneous thermodynamic and hydrodynamic mechanisms of underwater explosion. Int. J. Heat Mass Transf. 2021, 178, 121581. [Google Scholar] [CrossRef]
- Yamamoto, K.; Kobayashi, K.; Watanabe, M.; Fujii, H.; Kon, M.; Takahira, H. Influence of a small amount of noncondensable gas on shock wave generation inside a collapsing vapor bubble. Phys. Rev. Fluids 2019, 4, 063603. [Google Scholar] [CrossRef]
- Li, T.; Zhang, A.-M.; Wang, S.-P.; Che, G.-Q.; Li, S. Nonlinear interaction and coalescence features of oscillating bubble pairs: Experimental and numerical study. Phys. Fluids 2019, 31, 092108. [Google Scholar] [CrossRef]
- Zeng, Q.; Gonzalez-Avila, S.R.; Dijkink, R.; Koukouvinis, P.; Gavaises, M.; Ohl, C.-D. Wall shear stress from jetting cavitation bubbles. J. Fluid Mech. 2018, 846, 341–355. [Google Scholar] [CrossRef]
- Trummler, T.; Schmidt, S.J.; Adams, N.A. Effect of stand-off distance and spatial resolution on the pressure impact of near-wall vapor bubble collapses. Int. J. Multiph. Flow 2021, 141, 103618. [Google Scholar] [CrossRef]
- Yin, J.; Zhang, Y.; Zhu, J.; Lv, L.; Tian, L. An experimental and numerical study on the dynamical behaviors of the rebound cavitation bubble near the solid wall. Int. J. Heat Mass Transf. 2021, 177, 121525. [Google Scholar] [CrossRef]
- Dehane, A.; Merouani, S.; Hamdaoui, O.; Alghyamah, A. A comprehensive numerical analysis of heat and mass transfer phenomenons during cavitation sono-process. Ultrason. Sonochem. 2021, 73, 105498. [Google Scholar] [CrossRef] [PubMed]
- Schenke, S.; Melissaris, T.; van Terwisga, T.J.C. On the relevance of kinematics for cavitation implosion loads. Phys. Fluids 2019, 31, 052102. [Google Scholar] [CrossRef]
- Fortes-Patella, R.; Challier, G.; Reboud, J.L.; Archer, A. Energy Balance in Cavitation Erosion: From Bubble Collapse to Indentation of Material Surface. J. Fluids Eng. 2013, 135, 011303. [Google Scholar] [CrossRef]
- Zhang, J.; Zhang, L.; Deng, J. Numerical Study of the Collapse of Multiple Bubbles and the Energy Conversion during Bubble Collapse. Water 2019, 11, 247. [Google Scholar] [CrossRef]
- Yang, H.; Desyatov, A.V.; Cherkasov, S.G.; McConnell, D.B. On the fulfillment of the energy conservation law in mathematical models of evolution of single spherical bubble. Int. J. Heat Mass Transf. 2008, 51, 3623–3629. [Google Scholar] [CrossRef]
- Merouani, S.; Hamdaoui, O.; Rezgui, Y.; Guemini, M. Energy analysis during acoustic bubble oscillations: Relationship between bubble energy and sonochemical parameters. Ultrasonics 2014, 54, 227–232. [Google Scholar] [CrossRef]
- Karel, V. Significant intervals of energy transforms in bubbles freely oscillating in liquids. J. Hydrodyn. 2017, 29, 217–225. [Google Scholar] [CrossRef]
- Tinguely, M.; Obreschkow, D.; Kobel, P.; Dorsaz, N.; de Bosset, A.; Farhat, M. Energy partition at the collapse of spherical cavitation bubbles. Phys. Rev. E Stat. Nonlin. Soft Matter. Phys. 2012, 86, 046315. [Google Scholar] [CrossRef]
- Shen, Y.; Yasui, K.; Zhu, T.; Ashokkumar, M. A model for the effect of bulk liquid viscosity on cavitation bubble dynamics. Phys. Chem. Chem. Phys. 2017, 19, 20635–20640. [Google Scholar] [CrossRef]
- Schnerr, G.H.; Sezal, I.H.; Schmidt, S.J. Numerical investigation of three-dimensional cloud cavitation with special emphasis on collapse induced shock dynamics. Phys. Fluids 2008, 20, 040703. [Google Scholar] [CrossRef]
- Vogel, A.; Lauterborn, W. Time-resolved particle image velocimetry used in the investigation of cavitation bubble dynamics. Appl. Opt. 1988, 9, 1869–1876. [Google Scholar] [CrossRef] [PubMed]
- Lechner, C.; Koch, M.; Lauterborn, W.; Mettin, R. Pressure and tension waves from bubble collapse near a solid boundary: A numerical approach. J. Acoust. Soc. Am. 2017, 142, 3649. [Google Scholar] [CrossRef]
- Huang, G.; Zhang, M.; Han, L.; Ma, X.; Huang, B. Physical investigation of acoustic waves induced by the oscillation and collapse of the single bubble. Ultrason. Sonochem. 2021, 72, 105440. [Google Scholar] [CrossRef] [PubMed]
- Yu, Q.; Ma, X.; Xu, Z.; Zhao, J.; Wang, D.; Huang, Z. Thermodynamic effect of single bubble near a rigid wall. Ultrason. Sonochem. 2021, 71, 105396. [Google Scholar] [CrossRef] [PubMed]
- Tong, R.P.; Schiffers, W.P.; Shaw, S.J.; Blake, J.R.; Emmony, D.C. The role of ‘splashing’ in the collapse of a laser-generated cavity near a rigid boundary. J. Fluid Mech. 1999, 380, 330–361. [Google Scholar] [CrossRef]
- Johnsen, E.; Colonius, T. Numerical simulations of non-spherical bubble collapse. J. Fluid Mech. 2009, 629, 231–262. [Google Scholar] [CrossRef] [PubMed]














Disclaimer/Publisher’s Note: The statements, opinions and data contained in all publications are solely those of the individual author(s) and contributor(s) and not of MDPI and/or the editor(s). MDPI and/or the editor(s) disclaim responsibility for any injury to people or property resulting from any ideas, methods, instructions or products referred to in the content. |
© 2023 by the authors. Licensee MDPI, Basel, Switzerland. This article is an open access article distributed under the terms and conditions of the Creative Commons Attribution (CC BY) license (https://creativecommons.org/licenses/by/4.0/).
Share and Cite
Wang, T.; Chen, L. Thermodynamic Behavior and Energy Transformation Mechanism of the Multi-Period Evolution of Cavitation Bubbles Collapsing near a Rigid Wall: A Numerical Study. Energies 2023, 16, 1048. https://doi.org/10.3390/en16031048
Wang T, Chen L. Thermodynamic Behavior and Energy Transformation Mechanism of the Multi-Period Evolution of Cavitation Bubbles Collapsing near a Rigid Wall: A Numerical Study. Energies. 2023; 16(3):1048. https://doi.org/10.3390/en16031048
Chicago/Turabian StyleWang, Tianhao, and Linya Chen. 2023. "Thermodynamic Behavior and Energy Transformation Mechanism of the Multi-Period Evolution of Cavitation Bubbles Collapsing near a Rigid Wall: A Numerical Study" Energies 16, no. 3: 1048. https://doi.org/10.3390/en16031048
APA StyleWang, T., & Chen, L. (2023). Thermodynamic Behavior and Energy Transformation Mechanism of the Multi-Period Evolution of Cavitation Bubbles Collapsing near a Rigid Wall: A Numerical Study. Energies, 16(3), 1048. https://doi.org/10.3390/en16031048

