A Dynamic Incentive Mechanism for Smart Grid Data Sharing Based on Evolutionary Game Theory
Abstract
:1. Introduction
- 1.
- An evolutionary game model based on the smart grid between two data centers is constructed, several basic assumptions of the evolutionary game model are put forward, an evolutionary game payoff matrix is established, and an analysis of the stable strategies of the evolutionary game in the data centers is conducted based on the payoff matrix to describe the strategy choices and the evolution process among the participants, as well as the results of different strategy choices.
- 2.
- Based on the analysis results, a dynamic incentive mechanism for smart grid data based on evolutionary game theory is proposed to illustrate how the incentive mechanism proposed in this paper can dynamically adjust the incentive parameters and participation costs in smart grids to promote user participation in data sharing.
- 3.
- A smart contract based on evolutionary game data sharing incentives is designed, which automatically executes to provide incentives for both sharing parties when the conditions are met, and, due to the characteristics of the smart contract, the incentive mechanism that excludes the third party is more secure and trustworthy.
2. Related Work
2.1. Evolutionary Game Theory
- 1.
- Identify the participants and strategy space: Firstly, it is necessary to identify the individuals or groups involved in the evolutionary game and specify the available strategies.
- 2.
- Determine the payoff function: A payoff function is defined for each combination of strategies, which can be used to quantify the payoffs or utilities that each participant obtains under different combinations of strategies.
- 3.
- Construct a dynamic evolutionary model: The evolution of individual strategies over time is simulated by means of different mathematical models.
- 4.
- Analyzing evolutionarily stable strategies: Finding and analyzing evolutionarily stable strategies (ESSs), i.e., strategies that are difficult to be violated by other strategies during long-term evolution. This usually involves an analysis of model stability and the stability of equilibria, as well as the use of dynamical systems, steady-state analysis, and other methods to reveal the nature of these strategies [15].
- 5.
- Perform mathematical analyses and simulation experiments: Evaluate and validate the accuracy and utility of the model through mathematical analysis methods (e.g., stability analyses, property derivations, etc.) and computer simulation experiments. We can use the results of the model to predict the evolutionary trends of individual strategies.
2.2. Data Incentives
2.2.1. Data-Sharing Incentive Aspects
2.2.2. Game Theory in Energy Data Incentive Applications
2.3. Summary and Analysis
3. System Model
4. Program Description
4.1. Model Building
4.2. Analysis of Model Stabilization Evolution Strategies
4.3. Smart Contract Incentive Mechanism Design
- (1)
- GetTotalusers(): Counts the number of data holders participating in data sharing in the system over a period of time, and sets this number to the total number of shared users.
- (2)
- GetParticipatingusers(): Counts the number of data holders participating in data sharing in the system over a period of time, and sets this number to the total number of shared users.
- (3)
- GetCurparaset(): Obtain the set of parameters for the current phase from the parameter set.
- (4)
- GetThreshold(): Calculate the threshold for the current state of the system based on the data in the current set of parameters.
- (5)
- GetIncentive(): Incentivize the system of the evolutionary game by changing, for example, the parameters of the current parameter set.
| Algorithm 1: Data-Sharing Incentive Mechanism Smart Contracts |
| Input: Totalusers, Userparticipating, Curparaset |
| Output: results |
| 1. Function GetSystembenefits() |
| 2. N = GetTotalusers(P) |
| 3. n = GetParticipatingusers(N) |
| 4. S = GetCurparaset(parameterset) |
| 5. x = n/N |
| 6. If x > 0.9 then//When x is greater than 0.9, it automatically ends the game phase |
| 7. Participatingusers = 0 |
| 8. Totalusers = 0//Reset all parameters of this process |
| 9. Curparaset = 0 |
| 10. End if |
| 11. x* = GetThreshold(S)//Calculate the threshold assignment for the current parameter set to x* |
| 12. While (x < x*) |
| 13. S* = GetCurparaset(parameterset1) |
| 14. GetIncentive(S*)//Adjust the parameters in the current parameter set for incentive |
| 15. x1* = GetThreshold(S*)//Dynamically adjust the set of parameters and thresholds |
| 16. If (x > x1*) |
| 17. Return results//End this phase of the incentive process |
| 18. Break |
| 19. End Function |
5. Simulation Results and Analysis
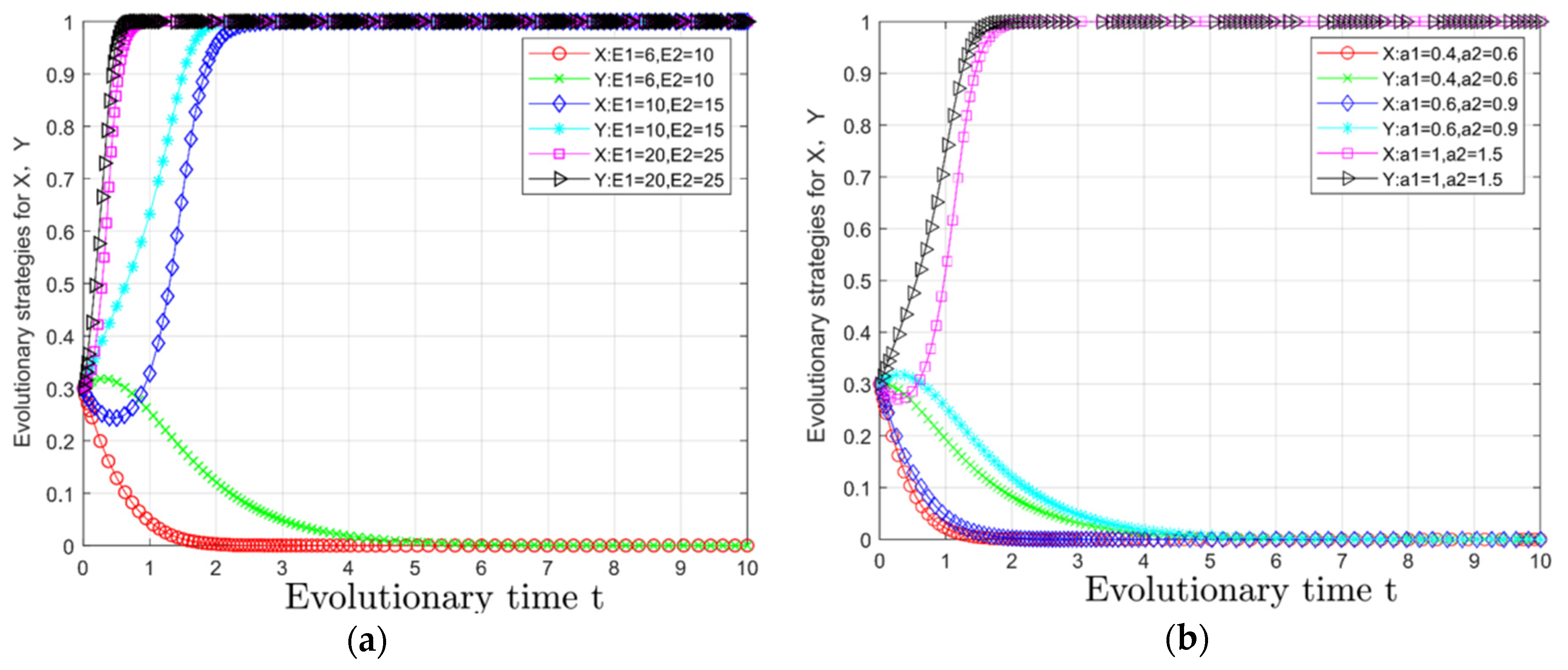
5.1. Impact of Data Complementarity on Stabilization Evolution
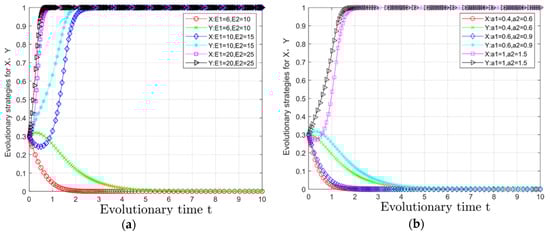
5.2. Effect of Shared Data Size on Stabilization Evolution
5.3. User Reputation Impact on Stable Evolution
5.4. Impact of Sharing Cost on Stabilization Evolution
5.5. Impact of Platform Subsidies on Stability Evolution
5.6. Analysis of Simulation Results
6. Conclusions and Outlook
Author Contributions
Funding
Data Availability Statement
Acknowledgments
Conflicts of Interest
References
- Daki, H.; El Hannani, A.; Aqqal, A.; Haidine, A.; Dahbi, A. Big Data management in smart grid: Concepts, requirements and implementation. J. Big Data 2017, 4, 13. [Google Scholar] [CrossRef]
- Dileep, G. A survey on smart grid technologies and applications. Renew. Energy 2020, 146, 2589–2625. [Google Scholar] [CrossRef]
- Wang, Y.; Chen, Q.; Hong, T.; Kang, C. Review of smart meter data analytics: Applications, methodologies, and challenges. IEEE Trans. Smart Grid 2018, 10, 3125–3148. [Google Scholar] [CrossRef]
- Cui, J.; Wang, S.W.; Xin, Y.C. Research on Technical Framework of Smart Grid Data Management From Consortium Blockchain Perspective. Proc. CSEE 2020, 40, 836–848. [Google Scholar]
- Khan, M.F.; Azam, M.; Khan, M.A.; Algarni, F.; Ashfaq, M.; Ahmad, I.; Ullah, I. A review of big data resource management: Using smart grid systems as a case study. Wirel. Commun. Mob. Comput. 2021, 2021, 3740476. [Google Scholar] [CrossRef]
- Patel, J. Bridging data silos using big data integration. Int. J. Database Manag. Syst. 2019, 11, 1–6. [Google Scholar] [CrossRef]
- Cai, T.; Wu, Y.; Lin, H.; Cai, Y. Blockchain-empowered big data sharing for internet of things. In Research Anthology on Convergence of Blockchain, Internet of Things, and Security; IGI Global: Hershey, PA, USA, 2023; pp. 278–290. [Google Scholar]
- Xie, H.; Zheng, J.; He, T.; Wei, S.; Hu, C. TEBDS: A Trusted Execution Environment-and-Blockchain-supported IoT data sharing system. Future Gener. Comput. Syst. 2023, 140, 321–330. [Google Scholar] [CrossRef]
- Chen, S.; Hauser, N.; Hester, J.; Kanner, J.; Lassila-Perini, K.; Lausi, A.; Simon, C.; Taylor, J. Opportunities and challenges in data sharing at multi-user facilities. Nat. Rev. Phys. 2023, 5, 1–4. [Google Scholar] [CrossRef]
- Kumuthini, J.; Zass, L.; Chaouch, M.; Fadlelmola, F.M.; Mulder, N.; Radouani, F.; Ras, V.; Samtal, C.; Tchamga, S.; Sathan, D.; et al. Genomics Data Sharing; Academic Press: Cambridge, MA, USA, 2023; pp. 111–135. [Google Scholar]
- Sleep, S.; Gala, P.; Harrison, D.E. Removing silos to enable data-driven decisions: The importance of marketing and IT knowledge, cooperation, and information quality. J. Bus. Res. 2023, 156, 113471. [Google Scholar] [CrossRef]
- Ahmad, F.; Shah, Z.; Al-Fagih, L. Applications of evolutionary game theory in urban road transport network: A state of the art review. Sustain. Cities Soc. 2023, 98, 104791. [Google Scholar] [CrossRef]
- Bukkuri, A.; Brown, J.S. Evolutionary game theory: Darwinian dynamics and the G function approach. Games 2021, 12, 72. [Google Scholar] [CrossRef]
- Grodwohl, J.B.; Parker, G.A. The early rise and spread of evolutionary game theory: Perspectives based on recollections of early workers. Philos. Trans. R. Soc. B 2023, 378, 20210493. [Google Scholar] [CrossRef] [PubMed]
- Motepalli, S.; Jacobsen, H.A. Reward mechanism for blockchains using evolutionary game theory. In Proceedings of the 2021 3rd Conference on Blockchain Research & Applications for Innovative Networks and Services (BRAINS), Paris, France, 27–30 September 2021; pp. 217–224. [Google Scholar]
- An, D.; Yang, Q.; Li, D.; Wu, Z. Distributed Online Incentive Scheme for Energy Trading in Multi-Microgrid Systems. IEEE Trans. Autom. Sci. Eng. 2023, 1–14. [Google Scholar] [CrossRef]
- Cai, T.; Lin, H.; Chen, W.; Zheng, Z.; Yu, Y. Efficient blockchain-empowered data sharing incentive scheme for Internet of Things. Ruan Jian Xue Bao J. Softw. 2021, 32, 953–972. (In Chinese) [Google Scholar] [CrossRef]
- Shen, M.; Duan, J.; Zhu, L.; Zhang, J.; Du, X.; Guizani, M. Blockchain-based incentives for secure and collaborative data sharing in multiple clouds. IEEE J. Sel. Areas Commun. 2020, 38, 1229–1241. [Google Scholar] [CrossRef]
- Li, F.; Fu, Y.; Zhao, P.; Li, C. An incentive mechanism for nondeterministic vehicular crowdsensing with blockchain. In Proceedings of the 2020 IEEE/CIC International Conference on Communications in China (ICCC), Chongqing, China, 9–11 August 2020; pp. 1074–1079. [Google Scholar]
- Wang, Q.; Xu, S.; Chen, D.L.; Tang, Y.Q. Research on Smart Contract Incentive Mechanism Oriented to Sci-Tech Services Data Sharing Strategy. J. Intell. 2021, 40, 157–165. [Google Scholar]
- Zhang, L.; Cao, Y.; Zhang, G.; Huang, Y.; Zheng, C. A blockchain-based Microgrid data disaster backup scheme in edge computing. Secur. Commun. Netw. 2021, 2021, 9121571. [Google Scholar] [CrossRef]
- Xu, J.; Ge, L.; Zhou, W.; Yan, L.; Hu, Z. Research on User Influence Weighted Scoring Algorithm Incorporating Incentive Mechanism. In Parallel and Distributed Computing, Applications and Technologies; Springer: Cham, Switzerland, 2023. [Google Scholar]
- Shi, J.; Shao, B.; Miao, J. Research on Competitive Intelligence Sharing Platform for SME Based on Blockchain. Libr. Inf. Serv. 2019, 63, 112–120. [Google Scholar]
- Wang, R.; Zhang, S.; Yang, B.; Yang, Z.; Zhang, P.; Wu, D. Enabling Data Sharing through Data Trusts in LEO Satellite Internet. IEEE Wirel. Commun. 2023, 1–8. [Google Scholar] [CrossRef]
- Xuan, S.; Zheng, L.; Chung, I.; Wang, W.; Man, D.; Du, X.; Yang, W.; Guizani, M. An incentive mechanism for data sharing based on blockchain with smart contracts. Comput. Electr. Eng. 2020, 83, 106587. [Google Scholar] [CrossRef]
- Li, T.; Wang, H.; He, D.; Yu, J. Blockchain-based privacy-preserving and rewarding private data sharing for IoT. IEEE Internet Things J. 2022, 9, 15138–15149. [Google Scholar] [CrossRef]
- Tay, S.S.; Xu, X.; Foo, C.S.; Low, B.K.H. Incentivizing collaboration in machine learning via synthetic data rewards. In Proceedings of the AAAI Conference on Artificial Intelligence, Online, 22 February–1 March 2022; Volume 36, pp. 9448–9456. [Google Scholar]
- Vakilinia, I.; Wang, W.; Xin, J. An incentive-compatible mechanism for decentralized storage network. IEEE Trans. Netw. Sci. Eng. 2023, 10, 2294–2306. [Google Scholar] [CrossRef]
- Khalid, A.; Iftikhar, M.S.; Almogren, A.; Khalid, R.; Afzal, M.K.; Javaid, N. A blockchain based incentive provisioning scheme for traffic event validation and information storage in VANETs. Inf. Process. Manag. 2021, 58, 102464. [Google Scholar] [CrossRef]
- Tang, R.; Wang, S.; Li, H. Game theory based interactive demand side management responding to dynamic pricing in price-based demand response of smart grids. Appl. Energy 2019, 250, 118–130. [Google Scholar] [CrossRef]
- Li, J.; Wang, Y.Q.; He, J.; Zhu, L. Blockchain-based Dynamic Game of Electricity Price and Power for Microgrid Electricity Market. Autom. Electr. Power Syst. 2021, 45, 11–19. [Google Scholar]
- Doan, H.T.; Cho, J.; Kim, D. Peer-to-peer energy trading in smart grid through blockchain: A double auction-based game theoretic approach. IEEE Access 2021, 9, 49206–49218. [Google Scholar] [CrossRef]
- Apostolopoulos, P.A.; Tsiropoulou, E.E.; Papavassiliou, S. Demand response management in smart grid networks: A two-stage game-theoretic learning-based approach. Mob. Netw. Appl. 2021, 26, 548–561. [Google Scholar] [CrossRef]
- Stai, E.; Kokolaki, E.; Mitridati, L.; Tatoulis, P.; Stavrakakis, I.; Hug, G. Game-Theoretic Energy Source Allocation Mechanism in Smart-Grids. In Proceedings of the 2022 IEEE 7th International Energy Conference (ENERGYCON), Riga, Latvia, 9–12 May 2022; pp. 1–6. [Google Scholar]
- Alsalloum, H.; Merghem-Boulahia, L.; Rahim, R. Hierarchical system model for the energy management in the smart grid: A game theoretic approach. Sustain. Energy Grids Netw. 2020, 21, 100329. [Google Scholar] [CrossRef]
- Tan, C.; Li, X.; Gao, L.; Luan, T.H.; Qu, Y.; Xiang, Y.; Lu, R. Digital Twin Enabled Remote Data Sharing for Internet of Vehicles: System and Incentive Design. IEEE Trans. Veh. Technol. 2023, 72, 13474–13489. [Google Scholar] [CrossRef]
- Moafi, M.; Ardeshiri, R.R.; Mudiyanselage, M.W.; Marzband, M.; Abusorrah, A.; Rawa, M.; Guerrero, J.M. Optimal coalition formation and maximum profit allocation for distributed energy resources in smart grids based on cooperative game theory. Int. J. Electr. Power Energy Syst. 2023, 144, 108492. [Google Scholar] [CrossRef]
- Moniruzzaman, M.; Yassine, A.; Benlamri, R. Blockchain and cooperative game theory for peer-to-peer energy trading in smart grids. Int. J. Electr. Power Energy Syst. 2023, 151, 109111. [Google Scholar] [CrossRef]
- Amini, M.; Bozorgasl, Z. A Game Theory Method to Cyber-Threat Information Sharing in Cloud Computing Technology. Int. J. Comput. Sci. Eng. Res. 2023, 11, 549–560. [Google Scholar]
- Pandey, V.C.; Gupta, N.; Niazi, K.R.; Swarnkar, A.; Rawat, T.; Konstantinou, C. A Bi-level Decision Framework for Incentive-Based Demand Response in Distribution Systems. IEEE Trans. Energy Mark. Policy Regul. 2023, 1, 211–225. [Google Scholar] [CrossRef]
- Gelhaar, J.; Müller, P.; Bergmann, N.; Dogan, R. Motives and incentives for data sharing in industrial data ecosystems: An explorative single case study. In Proceedings of the 56th Hawaii International Conference on System Sciences, Honolulu, HI, USA, 3–6 January 2023. [Google Scholar]








| Strategy for Data Center A Selection | Strategy for Data Center B Selection | |
|---|---|---|
| Select Share y | Select Not to Share 1 − y | |
| Select Share x | a1E2 + N1 + kC1 – C1 a2E1 + N1 + kC1 – C1 | N1 + kC1 – C1, 0 |
| Select not to share 1 – x | 0, N2 + kC2 – C2 | 0, 0 |
| Balance Point | Matrix Determinant Notation | Matrix Trace Symbols | Evolutionary Results |
|---|---|---|---|
| O(0, 0) | >0 | <0 | Evolutionary stabilization strategy |
| P1(0, 1) | <0 | Uncertain | Saddle point |
| P2(1, 0) | <0 | Uncertain | Saddle point |
| P3(1, 1) | >0 | >0 | Unstable |
| Balance Point | Matrix Determinant Notation | Matrix Trace Symbols | Evolutionary Results |
|---|---|---|---|
| O(0, 0) | >0 | <0 | Evolutionary stabilization strategy |
| P1(0, 1) | >0 | >0 | Unstable |
| P2(1, 0) | >0 | >0 | Unstable |
| P3(1, 1) | >0 | <0 | Evolutionary stabilization strategy |
| P4(x*, y*) | <0 | Uncertain | Saddle point |
| Balance Point | Matrix Determinant Notation | Matrix Trace Symbols | Evolutionary Results |
|---|---|---|---|
| O(0, 0) | >0 | >0 | Unstable |
| P1(0, 1) | <0 | Uncertain | Saddle point |
| P2(1, 0) | <0 | Uncertain | Saddle point |
| P3(1, 1) | >0 | <0 | Evolutionary stabilization strategy |
| Name | Data Type |
|---|---|
| Participatingusers | int |
| Totalusers | int |
| GetIncentive() | double |
| GetTotalusers() | int |
| GetParticipatingusers() | int |
| GetCurparaset() | double |
| GetThreshold() | double |
| Name | Data type |
|---|---|
| data size | double |
| data complementarity | double |
| user reputation | double |
| sharing cost | double |
| sharing cost | double |
Disclaimer/Publisher’s Note: The statements, opinions and data contained in all publications are solely those of the individual author(s) and contributor(s) and not of MDPI and/or the editor(s). MDPI and/or the editor(s) disclaim responsibility for any injury to people or property resulting from any ideas, methods, instructions or products referred to in the content. |
© 2023 by the authors. Licensee MDPI, Basel, Switzerland. This article is an open access article distributed under the terms and conditions of the Creative Commons Attribution (CC BY) license (https://creativecommons.org/licenses/by/4.0/).
Share and Cite
Zhang, L.; Lu, Q.; Huang, R.; Chen, S.; Yang, Q.; Gu, J. A Dynamic Incentive Mechanism for Smart Grid Data Sharing Based on Evolutionary Game Theory. Energies 2023, 16, 8125. https://doi.org/10.3390/en16248125
Zhang L, Lu Q, Huang R, Chen S, Yang Q, Gu J. A Dynamic Incentive Mechanism for Smart Grid Data Sharing Based on Evolutionary Game Theory. Energies. 2023; 16(24):8125. https://doi.org/10.3390/en16248125
Chicago/Turabian StyleZhang, Lihua, Qingyu Lu, Rui Huang, Shihong Chen, Qianqian Yang, and Jinguang Gu. 2023. "A Dynamic Incentive Mechanism for Smart Grid Data Sharing Based on Evolutionary Game Theory" Energies 16, no. 24: 8125. https://doi.org/10.3390/en16248125
APA StyleZhang, L., Lu, Q., Huang, R., Chen, S., Yang, Q., & Gu, J. (2023). A Dynamic Incentive Mechanism for Smart Grid Data Sharing Based on Evolutionary Game Theory. Energies, 16(24), 8125. https://doi.org/10.3390/en16248125

