Next Article in Journal
An Innovative and Environmentally Friendly System for Moving and Stabilising a Floating Dock in Position during Docking Operations
Previous Article in Journal
Assessment of Suitability for Long-Term Operation of a Bucket Elevator: A Case Study
 
 
Font Type:
Arial Georgia Verdana
Font Size:
Aa Aa Aa
Line Spacing:
Column Width:
Background:
Review

Comparative Study of Hydrogen Production from Organic Fraction of Municipal Solid Waste and Its Challenges: A Review

by
Naimul Haque
1,* and
Abul Kalam Azad
2,*
1
Department of Forest Biomaterials, North Carolina State University, Raleigh, NC 27695, USA
2
School of Engineering and Technology, Central Queensland University, 120 Spencer Street, Melbourne, VIC 3000, Australia
*
Authors to whom correspondence should be addressed.
Energies 2023, 16(23), 7853; https://doi.org/10.3390/en16237853
Submission received: 1 October 2023 / Revised: 21 November 2023 / Accepted: 22 November 2023 / Published: 30 November 2023
(This article belongs to the Section A: Sustainable Energy)

Abstract

:
The growing interest in hydrogen production arises from its higher energy density, making it an attractive option for energy storage and fuel applications. However, hydrogen production relies heavily on fossil fuels, producing substantial CO2 emissions. Meanwhile, the organic fraction of municipal solid waste (OFMSW), which constitutes a significant portion of solid waste, predominantly ends up in landfills, leading to methane emissions. Harnessing hydrogen from OFMSW offers an opportunity to offset methane emissions and promote cleaner hydrogen production compared to conventional methods. Various pretreatment methods and production techniques have been explored for hydrogen production from OFMSW, including bio-photolysis, photo-fermentation, microbial electrolysis, and dark fermentation. This study presents a comparative analysis of these methods, evaluating their efficiency, scalability, and potential challenges for hydrogen fuel production from OFMSW. By exploring these avenues, this study found the current hydrogen fuel production scenarios where OFMSW contributes a small portion due to the limited yield. Microbial electrolysis can help to improve the yield and feedstock quality. This study recommends further investigation into the advancement of sustainable hydrogen production and provides insights into overcoming the obstacles associated with this promising field.

1. Introduction

The generation of municipal solid waste (MSW) is rapidly escalating worldwide, propelled by increasing consumption patterns and population growth. Projections indicate a staggering estimate of 3.76 billion tons of global MSW generation by 2050 [1]. Of significant concern is the substantial portion of MSW consisting of organic matter, accounting for approximately 71%, and most of them are typically destined for landfills [2]. Within landfills, the anaerobic digestion process gives rise to the release of methane (CH4), a potent greenhouse gas. Landfill methane is responsible for approximately 14% of methane emissions in the United States of America (USA) which is the third largest methane contributor [2]. Efforts have been made to mitigate landfill methane emissions through energy recovery processes like landfill gas collection. However, a noteworthy quantity of methane continues to escape into the atmosphere. It is crucial to recognize that methane has a global warming potential 28 times higher than carbon dioxide (CO2) [3]. Consequently, there is an urgent need for an alternative waste management system for the organic fraction of municipal solid waste (OFMSW).
Waste-to-energy (WTE) plants present a potential solution to address methane emissions. However, the construction and operation of WTE plants require substantial initial investment, and concerns exist regarding emissions and ash disposal. Additionally, optimal economics for WTE plants necessitate the availability of significant amounts of waste on a daily basis, leading to logistical challenges and a decline in the number of WTE plants in the USA in recent years [4]. For instance, anaerobic digestion is another waste management technique employed for OFMSW, involving the conversion of OFMSW into a slurry, followed by methane production through natural microbial activity. Although this process allows for energy generation through methane combustion, leakage remains a significant issue in anaerobic digestion reactors, releasing substantial amounts of methane into the atmosphere [5].
Composting offers an alternative approach to OFMSW management, where the waste is transformed into compost that can be utilized as fertilizer. The efficiency of composting is influenced by various process parameters, such as the carbon-to-nitrogen (C/N) ratio, temperature, and aeration. Maintaining an optimal C/N ratio is crucial, as higher ratios slow down the process, while lower ratios can lead to the production of harmful gases. Additionally, composting heavily relies on the availability of raw materials to meet the desired C/N ratio, which poses constraints [6]. However, composting, particularly when derived from food waste, can produce valuable fertilizer containing different nutrients beneficial for plants.
While traditional waste management methods have their respective advantages and disadvantages, there exists substantial potential for hydrogen fuel production from OFMSW. Hydrogen fuel has gained considerable attention due to its various benefits, including zero emissions upon combustion (producing only water and energy). Moreover, hydrogen exhibits an exceptionally high energy density, with approximately 122 MJ/kg, nearly three times higher than conventional fossil fuels. Furthermore, hydrogen can be sourced from renewable sources, enhancing its appeal as a sustainable energy solution [6].
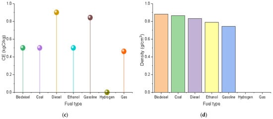
As shown in Figure 1, hydrogen fuel has more than 2.75 times higher energy value per unit weight, higher heating value, zero carbon emission, and insignificant fuel density compared to other fuel types. Energy conversion from hydrogen fuel requires the oxidation of hydrogen which emits water only. On the other hand, conventional gasoline emits almost 1 kgC per unit weight of carbon emission (CE). Therefore, hydrogen fuel could be one of the most environmentally friendly fuels. However, due to the excessively low density of hydrogen (Figure 1d), storage and transportation remain challenging. There is one disadvantage to occupying more volume for hydrogen fuel. Even though the liquid hydrogen density is 0.07 g/cm3, hydrogen fuel requires 2.6 times more volume than gasoline [7]. The low density is also a limiting factor for storage. Hydrogen’s low density necessitates a significant volume for storage [8].
Hydrogen is a versatile energy carrier that can be produced through the electrolysis of water [10]. In 2021, the global demand for hydrogen surged to 94 million tons, which is 5% more than the pre-pandemic levels. The majority of this growth was driven by conventional applications in the refining and industrial sectors, alongside a growing trend in emerging uses like fuel cell vehicles. It is estimated that the total life-cycle cost for hydrogen-powered fuel cell vehicles is lower than for diesel-powered buses. Some noteworthy advancements include the adoption of hydrogen in steel production, the introduction of hydrogen fuel cell trains in Germany, and the initiation of multiple pilot projects within the shipping industry. Furthermore, the power sector is increasingly focusing on hydrogen and ammonia as key areas of interest. However, this process demands a significant amount of electricity using electrolysis (the Gibbs free energy for electrolysis at 298 K is 273.13 kJ) to break the water molecule, and if the electricity originates from fossil fuel sources, the overall environmental impact can be compromised. On the other hand, the use of renewable energy, such as wind, solar, or hydropower-generated electricity to produce hydrogen exhibits better environmental benefits [11]. Currently, the majority of hydrogen production relies on fossil fuel sources, as illustrated in Figure 2, highlighting most of the scenarios of hydrogen production from different fuel sources. Almost 50% of hydrogen fuel is produced from natural gas. The remaining 50% of the hydrogen fuels are produced from other sources, like coal gasification and electrolysis. Fossil fuels are a potential source of hydrogen gas, and their utilization raises concerns due to their associated environmental consequences. For instance, in steam methane reforming (SMR), coal gasification, and methane pyrolysis processes, the production of one mole of hydrogen results in the release of 0.25, 0.83, and 0.05 mol of carbon dioxide (CO2), respectively [12]. Similarly, wood and coal combustion generate 10 and 2 atoms of CO2, respectively in exchange for one mole of hydrogen [13]. These findings emphasize the carbon-intensive nature of hydrogen production from fossil fuel sources. Emitted carbon from fossil fuel sources is non-biogenic [14], while only 0.1% of hydrogen fuel comes from other sectors, like municipal solid waste, agro-residues, wastewater, and so on. This illustrates OFMSW as a potential underexplored source for hydrogen fuel production. OFMSW comprises mainly biomass like paper, food waste, and yard waste. Emissions from biomass are biogenic. As a result, the emissions to produce hydrogen fuel from biomass are carbon-neutral [15]. OFMSW primarily consists of cellulose, hemicellulose, starch, and sugar, all of which contain abundant hydrogen. Extracting this hydrogen could be a sustainable alternative to hydrogen fuel. Theoretically, one mole of sugar can yield up to 12 moles of hydrogen (Equations (1) to (3)), highlighting the substantial hydrogen potential within OFMSW. It is a potential source of hydrogen.
C6H12O6 + 6H2O + Light → 6CO2 +12 H2
CH3COOH + 2H2O + Light →2CO2 + 4H2
CH3CH2COOH + 6H2O + Light → 4CO2 + 10H2
The conventional approach to hydrogen production poses challenges to achieving the net-zero emission goal. OFMSW represents a renewable source for hydrogen production [17]. For instance, in a study by Luo et al. [18], the pyrolysis of mixed MSW yielded 18% hydrogen as a byproduct of syngas production. Another approach by Wei et al. [19] involved supercritical water gasification, which resulted in the production of 12 mol/kg of hydrogen using food waste as a simulated feedstock. The thermal gasification of MSW generates hydrogen as part of syngas, which can be utilized as fuel [20]. The most widely used methods for producing hydrogen fuel from biomass involve thermal processes, such as the steam reforming of methane and gasification. However, steam methane reforming necessitates higher temperatures (800 K to 1000 K) and increased pressure, resulting in elevated operational costs. Impurities are frequently present in municipal solid waste, and impurities like ash and lignin can negatively impact the efficiency of hydrolysis processes.
In contrast, biological approaches for hydrogen production can be carried out at ambient temperatures, and the influence of contaminants on hydrogen production is less significant. This study aims to explore the production of hydrogen through biological methods, specifically fermentation, and investigate the pretreatment techniques for hydrogen fuel production. This study primarily emphasizes the hydrogen production process through biological pathways, with a special focus on the pretreatment phase. Furthermore, it addresses the complexities associated with the collection and sorting of the organic fraction of municipal solid waste (OFMSW). Additionally, this study provides a detailed examination of several pivotal process parameters essential to the hydrogen production process.

2. Feedstocks: Collection and Pretreatment Process

OFMSW emerges as a promising resource for hydrogen fuel production, which refers to the biodegradable component of municipal solid waste (MSW), encompassing food waste, yard waste, paper, and potentially other materials, such as wood chips, textiles, and leather. Within this waste stream, food scraps and leftovers constitute the largest proportion, accounting for approximately 60%, while green waste comprises around 34% of the biodegradable waste [21]. These findings underscore the substantial potential of OFMSW as a valuable feedstock for hydrogen fuel production, as listed in Table 1.
As shown in Table 1, different types of waste have different yields based on the process parameters and feedstock variability. Wastewater to hydrogen followed by the dark fermentation process had the highest yield when Rhodobacter sphaeroides B-3059 bacteria was used [23].
One of the critical challenges of OFMSW is the feedstock composition. OFMSW is very heterogeneous. OFMSW will have spatial and temporal variation. Its composition varies based on the region, demographics, citizens’ behavior, and so on [35,36]. Based on the composition of OFMSW, the process parameters may vary. Therefore, it is very important to optimize the process parameters based on the compositional changes. Predictive analysis of the OFMSW composition will help to optimize the process parameters. A typical waste management system that is focused on landfilling and incineration does not require source separation. This impacts the feedstock quality. Therefore, effective feedstock separation by ensuring the education of people and enhancing the waste management system is important. The effective source OFMSW collection will be another important parameter in the hydrogen fuel production economy. The collection process involves maximum cost in waste management. For instance, smart bin systems for waste collection based on multi-sensory applications can help to reduce the collection cost [37].

2.1. Collection Process

Effective waste sorting poses a significant challenge in the management of municipal solid waste (MSW). Among the various strategies, source separation has proven to be one of the most efficient methods for sorting materials. In the case of the OFMSW, separate collection becomes essential. Consequently, the establishment of a dedicated collection route becomes imperative, taking into consideration the collection frequency and addressing potential threats from rodents [38].
To ensure the viability of hydrogen generation plants, their proximity to the municipality becomes crucial. Additionally, providing additional collection facilities, such as rail transport, can enhance accessibility to hydrogen generation plants. Expanding their capacity to receive a greater amount of waste would facilitate the establishment of larger facilities, enabling economically feasible hydrogen generation plants. For example, Gomes et al. [39] conducted a study comparing the separate collection of OFMSW in a municipality in Portugal, revealing that the overall cost of separate collection was comparable to other waste management methods [39].

2.2. Pretreatment Process for Hydrogen Production

Hydrogen fuel generation requires some pretreatment before going to any production process. Pretreatment varies based on the composition of the feedstock. Figure 3 illustrates different categories of pretreatment processes for hydrogen production.
The two main categories of physical pretreatment are thermal pretreatment and autoclaving. The primary aim of thermal treatment is to facilitate the solubilization or hydrolysis of biomass. By subjecting the biomass to elevated temperatures, the denaturing of microbes and the breaking of chemical bonds are achieved. Given that the OFMSW primarily consists of cellulose-based waste, an appropriate pretreatment temperature range of 50 to 220 °C for a duration of 24 h can be employed for thermal pretreatment. On the other hand, autoclaving is a sterilization technique that utilizes high temperature and pressure to effectively eliminate harmful microbes. This process involves subjecting the materials to a temperature of 121 °C and applying a pressure of 15 psi. Autoclaving not only achieves sterilization but also ensures the removal of potentially harmful microorganisms from the treated biomass. Pretreatment via an acid or alkali solution is also a potential candidate for preparing hydrogen fuel feedstock. The pretreatment process involves the utilization of strong acids and bases, such as H2SO4, HCl, and H2O2. Acid pretreatment leads to the dissolution of cellulose and hemicellulose, while basic pretreatment aims to reduce the crystallinity of unstructured and unmodified cellulose. This step is particularly important in the context of hydrogen production, as it helps improve the thermodynamic stability of the system, considering that hydrogen production tends to lower the pH of the system. Apart from physical and chemical pretreatment methods, biological pretreatment can play a crucial role in the feedstock. Biological pretreatment by enzymes is an excellent way to remove lignins and enhance cellulose stability. This pretreatment approach helps to break down the lignin matrix and improve the accessibility of cellulose for subsequent processing. Additionally, enzymatic pretreatment plays a crucial role in converting cellulosic feedstock into sugars, which are highly suitable for hydrogen production. Enzymes facilitate the breakdown of complex carbohydrates into simpler sugar molecules, providing a valuable substrate for subsequent hydrogen production processes. Since OFMSW is heterogenous in size, shape, and properties, homogenization is important to facilitate further processing. Particle size reduction will increase the surface area of the feedstock, thereby enhancing the reaction rate. This is achieved by reducing the size of the feedstock through processes such as chipping and grinding. Ultrasonication is a common method used for mechanical pretreatment, which involves the application of high-frequency sound waves to break down the biomass and achieve a smaller particle size, resulting in a higher surface area for improved reaction kinetics.

3. Hydrogen Fuel Production Process

Hydrogen production through the splitting of water molecules is a fundamental process, with the choice of energy sources playing a pivotal role in achieving environmentally friendly results. The conventional reliance on fossil fuel-based energy poses a challenge to the goal of achieving net-zero emissions. Consequently, the utilization of solar energy has emerged as a highly appealing alternative. The enhancement of photocatalytic activity is essential for efficient hydrogen production.

3.1. Electrocatalytic Hydrogen Evolution

The introduction of a heterojunction between the donor polymer (PTB-Th) and the non-fullerene acceptor (EH-IDTBR) in organic nanoparticles has been shown to boost photolytic activity. Additionally, the controlled synthesis of g-C3N4 and the formation of an isotype heterojunction that promotes charge separation can increase photocatalytic hydrogen evolution. The optimization of the charge separation, specific surface area, and material diffusion sites further contributes to overall improved hydrogen production [40]. Notably, the interfacial Ti-N (triple bond, length as m-dash) bonding in a g-C3N4/TiH1.92 type-II heterojunction photocatalyst significantly enhances photocatalytic [41] hydrogen evolution from water splitting [42]. Furthermore, a route derived from metal–organic frameworks (MOFs) to prepare composition-tunable Fe–Ni bimetallic phosphides as efficient electrocatalysts has been explored. The selective control of the phosphating temperature allows for obtaining electrocatalysts with specific nanostructures, influencing the crystallinity, morphology, and composition. The synergistic modulation of these parameters enables efficient electrocatalytic hydrogen evolution and oxygen evolution reactions, ultimately achieving overall water splitting [43]. The use of noble platinum (Pt) group electrocatalysts in large-scale applications is limited, prompting the exploration of earth-abundant/non-noble catalysts, like molybdenum carbide (MoxC: MoC or Mo2C). This material has garnered attention for its Pt-like catalytic activity, cost-effectiveness, chemical stability, and natural abundance. Various approaches, including increasing surface-active sites and conductivity through modification methods, as well as phase engineering and doping, have been demonstrated to enhance the performance of molybdenum carbide electrocatalysts [44].
Additionally, solar-driven photoelectrochemical (PEC) water splitting stands out as a promising technology for sustainable hydrogen production, hinging on the development of efficient and stable photoanodes for the water oxidation reaction. The thickness and microstructure of semiconductor films play a crucial role in determining their PEC properties. In this context, three-dimensional (3D) interconnected nanoporous Ta3N5 film photoanodes with controlled thickness were successfully developed through galvanostatic anodization and NH3 nitridation. Notably, porous Ta3N5 nanoarchitectures (NAs), with a thickness of 900 nm exhibited the highest PEC performance due to optimal light-harvesting and charge separation [45]. There are two main types to produce bio-hydrogen: light-dependent processes and light-independent processes. Among the light-dependent processes, biophotolysis and photo fermentation are prominent methods. Biophotolysis encompasses both direct and indirect pathways for hydrogen production, utilizing light energy to drive the conversion of water into hydrogen. On the other hand, photo fermentation involves using photosynthetic microorganisms to produce hydrogen from organic compounds in the presence of light. In contrast, dark fermentation is a light-independent process that occurs under anaerobic conditions. It involves the fermentation of organic matter, resulting in the production of hydrogen and organic acids. The produced hydrogen can then be further utilized through microbial electrolysis cells or subjected to the photo fermentation process for enhanced hydrogen production.

3.2. Photobiological Hydrogen Production

By utilizing these different processes, hydrogen can be efficiently produced from various sources, offering versatile options for sustainable hydrogen fuel production as shown in Figure 4. For example, bio-photosynthesis, as a method for hydrogen production, involves splitting water molecules into hydrogen and oxygen using either sunlight or electricity. However, this process is known to have certain limitations. Firstly, the efficiency of utilizing light energy in the bio-photosynthesis process is relatively low. Additionally, the presence of oxygen can significantly hinder the efficiency of hydrogen production. Due to the sensitivity of bio-photosynthesis to oxygen, its presence can impede hydrogen production and limit the overall hydrogen yield. As a result, the process may not be as efficient as desired for large-scale hydrogen production. Researchers continue to explore and develop strategies to optimize bio-photosynthesis and overcome these challenges, aiming to improve the efficiency and yield of hydrogen production in this process.
Indirect bio-photosynthesis utilizes the hydrogenase enzyme and sunlight to split the water molecule into oxygen and hydrogen. This process is also oxygen-sensitive and has low-light utilization. So, the yield remains very low.
2H2O + light energy → 2H2 + O2

3.2.1. Photo Fermentation

As shown in Figure 5, photo fermentation is a process that involves the use of a light source and non-sulfur bacteria to decompose volatile organic acids, resulting in the release of hydrogen gas (Equation (5)). The bacteria involved in this process possess a photosystem that has a limited ability to split water molecules. As a result, the natural thermodynamics of the process are not favorable for efficient hydrogen production.
CH3COOH + 2H2O + light energy → 4H2+ 2CO2  ΔGo + 104 kJ
To overcome this thermodynamic limitation, additional energy or electron sources must be provided to facilitate the reaction and make it energetically favorable. The process can be driven towards hydrogen production with improved efficiency by supplying extra energy or electron sources. Researchers are exploring various strategies to optimize this process and enhance its thermodynamic feasibility for efficient hydrogen gas generation.

3.2.2. Dark Fermentation

Dark fermentation (Figure 6), conducted under anaerobic conditions, is a relatively faster process compared to photo fermentation and bio-photosynthesis. It also exhibits higher yield percentages, with studies reporting up to 30% yield [46]. In contrast, photo fermentation and bio-photosynthesis processes typically have lower efficiencies ranging from 0.1% to 0.5%. As a result, dark fermentation has emerged as one of the most employed techniques for hydrogen fuel production.
During dark fermentation, the biomass undergoes hydrolysis, converting it into glucose. Subsequently, in the absence or limited presence of oxygen, the glucose undergoes fermentation. This fermentation process generates hydrogen fuel. However, alongside hydrogen fuel production, organic acids are also formed. These organic acids can reduce the overall production rate of hydrogen fuel. Researchers are exploring strategies to optimize dark fermentation and mitigate the inhibitory effects of organic acids to enhance hydrogen production efficiency [47]. Dark fermentation requires microbes for the fermentation process. Since OFMSW has different types of waste for which the degradation rate varies, mixed culture microorganisms are required for its fermentation.
Research has shown that psychrophilic bacteria, such as those isolated from Antarctica, have the potential for biohydrogen production. The temperature range for psychrophile microorganisms is 0 to 25 °C. Similarly, hyperthermophilic and extremely thermophilic bacteria and archaea, including Caldicellulosiruptor saccharolyticus, Thermoanaerobacter tengcongensis, Thermotoga maritima, and Pyrococcus furiosus, have been found to efficiently produce hydrogen. The use of thermophilic fermentation, particularly by Thermotoga species, has also been identified as a promising strategy for biohydrogen production [41]. Thermophiles bacteria works effectively from the 45 to 65 °C temperature range. Furthermore, the potential for the commercial application of thermophilic biohydrogen production has been highlighted, with a focus on metabolic pathways, enzymes, and fermentation of commercially viable substrates [48].
The following reaction (Equations (6) to (9)) occurs during hydrogen production from biomass:
C6H12O6 + 6H2O → 6CO2 + 12H2
C6H12O6 + 2H2O → 2CH3COOH + 2CO2 + 4H2
C6H12O6 + 6H2O → 2CH3CH2CH2COOH + 2CO2 + 2H2
C6H12O6 → CH3COOH + CH3CH2COOH + CO2 + H2
In the process of dark fermentation, along with hydrogen fuel production, valuable metabolites, such as acetic acid, butyric acid, and lactic acid are also generated. These organic acids have various applications and can be utilized in different industries.
However, it is important to note that a significant amount of carbon dioxide (CO2) is also produced alongside hydrogen during dark fermentation. To ensure cleaner hydrogen production and reduce the environmental impact, it is crucial to implement effective CO2 separation techniques. By separating and capturing the CO2, the purity of the produced hydrogen can be enhanced, making it more suitable for various applications, including fuel cells and other hydrogen-based technologies. Implementing efficient CO2 separation processes plays a vital role in achieving cleaner and more sustainable hydrogen production from dark fermentation [47].

3.3. Microbial Electrolysis Cell (MEC)

Figure 7 illustrates a microbial electrolysis cell (MEC), a galvanic cell type, the anode and cathode are connected, and the medium used is the waste material. This process enables the conversion of acetic acid, among other organic compounds, into hydrogen fuel through a sufficient electricity supply.
Initially, MECs were developed with a double-chamber system, where the anode and cathode were separated by a proton exchange membrane. This design facilitated easier control of the process parameters. However, the single-chamber MEC system has proven to be more advantageous in terms of efficiency and cost-effectiveness. As a result, the single-chamber MEC configuration is predominantly utilized in practice.
In the MEC, the following reaction in Equations (10)–(12) takes place:
At the anode:
CH3COOH → 2H+ + 2e + CO2
At the cathode:
2H+ + 2e → H2
Overall reaction:
CH3COOH → H2 + CO2
In MECs, the choice of electrode materials plays a crucial role. The electrodes need to possess high electrical conductivity to facilitate efficient electron transfer during the electrochemical reactions. Commonly used conductive materials include carbon and carbon cloth due to their excellent conductivity and cost-effectiveness.
Platinum is recognized as a highly efficient electrode material due to its catalytic properties. However, its high cost limits its widespread use in MEC applications. As an alternative, molybdenum disulfide (MoS2) has emerged as a promising candidate for electrode materials in MECs. MoS2 offers several advantages, including its relatively low cost and good electrochemical activity. It exhibits catalytic behavior similar to platinum, making it a viable and more affordable alternative for hydrogen production in MECs.
The selection of appropriate electrode materials in MECs is crucial for achieving optimal performance and cost-effectiveness, and materials like carbon, carbon cloth, platinum, and MoS2 are among the options considered based on their conductivity, catalytic activity, and economic viability.

4. Critical Process Parameters and Challenges of Hydrogen Production

Figure 8 illustrates the crucial process parameters that have an impact on hydrogen production. For instance, the temperature is a critical factor influencing hydrogen production as it directly affects microbial activity [49]. The activity of microbes is highly sensitive to temperature, and operating outside the optimal temperature range can significantly impair microbial activity, leading to lower hydrogen yields [50]. Moreover, the amount of acid production during fermentation is also influenced by the temperature [51].
In addition, the pH is another crucial parameter that plays a vital role in hydrogen production [52]. During fermentation, the generation of volatile fatty acids causes a decrease in pH. Microbes have a specific pH range within which they can function optimally, typically between pH 5 and 7 [53]. If the pH drops below this range, the microbial activity will be hindered, resulting in decreased hydrogen production. Therefore, controlling and maintaining the pH within the suitable range can significantly improve the hydrogen production efficiency [54].
Partial pressure of hydrogen also affects the hydrogen production process. Some reversible reactions involving ferredoxin and hydrogenase occur during hydrogen generation. Lowering the partial pressure of hydrogen can facilitate the flow of hydrogen gas. Techniques such as vacuuming or stirring can lower the partial pressure and enhance hydrogen production [55].
Lignin hindrance is a challenge associated with lignocellulosic materials used as feedstock. During pretreatment, these materials generate inhibitors that can impede enzymatic reactions during hydrolysis and fermentation, limiting hydrogen production.
The hydraulic retention time (HRT) is the time period for which the microbes are retained in the system. Different microbes have varying growth times, and a lower retention time reduces the opportunity for microbial growth, potentially impacting hydrogen production rates [56].
The choice of microorganisms is crucial, as different microbes have specific capabilities and work optimally with different feedstocks. Optimizing the operating conditions, including the temperature, pH, and selecting appropriate microorganisms, is essential for maximizing hydrogen production. Additionally, considering the C/N ratio of the feedstock is important for efficient microbial activity and hydrogen yield.
Hydrogen is a highly promising fuel source, but its current yield percentage poses challenges to achieving techno-economic feasibility. While there is significant focus on hydrogen production from wastewater treatment and agricultural residue, research on hydrogen production from OFMSW is relatively limited. The heterogeneity of OFMSW negatively impacts hydrogen generation. To improve hydrogen yield from OFMSW, various technological developments can be pursued. One approach is to integrate multiple production routes to enhance productivity. Another avenue is the application of genetic engineering to develop more efficient microorganisms for hydrogen production. Additionally, the use of catalysts can positively contribute to the hydrogen production process. For instance, in the electrolysis process, employing nano-materials as electrodes has the potential to improve hydrogen production efficiency.
It is worth noting that hydrogen production from OFMSW does emit some CO2. Therefore, an effective carbon capture technique can significantly reduce the carbon footprint on the environment. Implementing proper technologies and effective waste management systems can facilitate the conversion of OFMSW into hydrogen while minimizing the environmental impact.

5. Conclusions and Recommendation

This study concludes that the organic fraction of municipal solid waste could be one of the potential and sustainable feedstocks for hydrogen production. In addition, it could be an alternative waste management approach by deploying an efficient conversion technique to produce clean and green hydrogen fuel. Implementing this approach can minimize the greenhouse gas emissions from landfills and other associated negative impacts on the environment. On the contrary, this study also identified key challenges for the collection and pretreatment of OFMSW. Recent studies have revealed that a smart bin system, public awareness, and effective ultrasonic pretreatment could minimize these challenges. From the comprehensive study of different production methods, this study revealed that the dark fermentation technique could be a promising technique for high-yield hydrogen production. However, implementing effective CO2 capture can play a vital role in achieving cleaner and sustainable hydrogen production from the dark fermentation process. Finally, this study also identified six process parameters and their impact on hydrogen production. Furthermore, this study critically analyzed the challenges associated with green hydrogen production from the organic fraction of municipal solid waste.
This study recommends further investigation into the advancement of sustainable hydrogen production and provides insights into overcoming the obstacles associated with this promising field.

Author Contributions

Conceptualization, N.H. and A.K.A.; methodology, N.H. and A.K.A.; investigation, N.H.; resources, A.K.A.; data curation, N.H.; writing—original draft preparation, N.H. and A.K.A.; writing—review and editing, N.H. and A.K.A.; visualization, N.H. and A.K.A.; project administration, A.K.A. All authors have read and agreed to the published version of the manuscript.

Funding

This research received no external funding.

Conflicts of Interest

The authors declare no conflict of interest.

References

  1. Kaza, S.; Yao, L. At a Glance: A Global Picture of Solid Waste Management. In What a Waste 2.0: A Global Snapshot of Solid Waste Management to 2050; The World Bank: Washington, DC, USA, 2018. [Google Scholar] [CrossRef]
  2. USEPA. National Overview: Facts and Figures on Materials, Wastes and Recycling; USEPA: Washington, DC, USA, 2015. Available online: https://www.epa.gov/facts-and-figures-about-materials-waste-and-recycling/national-overview-facts-and-figures-materials (accessed on 1 August 2023).
  3. Roberts, M.; Allen, S.; Clarke, J.; Searle, J.; Coley, D. Understanding the global warming potential of circular design strategies: Life cycle assessment of a design-for-disassembly building. Sustain. Prod. Consum. 2023, 37, 331–343. [Google Scholar] [CrossRef]
  4. Iravani, A.; Akbari, M.H.; Zohoori, M. Advantages and disadvantages of green technology; goals, challenges and strengths. Int. J. Sci. Eng. Appl. 2017, 6, 272–284. [Google Scholar] [CrossRef]
  5. Task, I.B. Methane eMissions from Biogas Plants; IEA Bioenergy: Paris, France, 2017. [Google Scholar]
  6. Akratos, C.S.; Tekerlekopoulou, A.G.; Vasiliadou, I.A.; Vayenas, D.V. Cocomposting of olive mill waste for the production of soil amendments. In Olive Mill Waste; Elsevier: Amsterdam, The Netherlands, 2017; pp. 161–182. [Google Scholar]
  7. Sharma, S.; Ghoshal, S.K. Hydrogen the future transportation fuel: From production to applications. Renew. Sustain. Energy Rev. 2015, 43, 1151–1158. [Google Scholar] [CrossRef]
  8. Balat, M. Potential importance of hydrogen as a future solution to environmental and transportation problems. Int. J. Hydrogen Energy 2008, 33, 4013–4029. [Google Scholar] [CrossRef]
  9. Vendruscolo, F. Biohydrogen production from starch residues. World Acad. Sci. Eng. Technol. Int. J. Bioeng. Life Sci. 2014, 8, 1287–1293. [Google Scholar]
  10. Ahmed, K.; Farrok, O.; Rahman, M.M.; Ali, M.S.; Haque, M.M.; Azad, A.K. Proton exchange membrane hydrogen fuel cell as the grid connected power generator. Energies 2020, 13, 6679. [Google Scholar] [CrossRef]
  11. Sarker, A.K.; Azad, A.K.; Rasul, M.G.; Doppalapudi, A.T. Prospect of Green Hydrogen Generation from Hybrid Renewable Energy Sources: A Review. Energies 2023, 16, 1556. [Google Scholar] [CrossRef]
  12. Abánades, A.; Rubbia, C.; Salmieri, D. Technological challenges for industrial development of hydrogen production based on methane cracking. Energy 2012, 46, 359–363. [Google Scholar] [CrossRef]
  13. Balachandar, G.; Khanna, N.; Das, D. Biohydrogen production from organic wastes by dark fermentation. In Biohydrogen; Elsevier: Amsterdam, The Netherlands, 2013; pp. 103–144. [Google Scholar]
  14. Sebos, I. Fossil fraction of CO2 emissions of biofuels. Carbon Manag. 2022, 13, 154–163. [Google Scholar] [CrossRef]
  15. Liu, W.; Zhang, Z.; Xie, X.; Yu, Z.; Von Gadow, K.; Xu, J.; Zhao, S.; Yang, Y. Analysis of the global warming potential of biogenic CO2 emission in life cycle assessments. Sci. Rep. 2017, 7, 39857. [Google Scholar] [CrossRef]
  16. AlHumaidan, F.S.; Halabi, M.A.; Rana, M.S.; Vinoba, M. Blue hydrogen: Current status and future technologies. Energy Convers. Manag. 2023, 283, 116840. [Google Scholar] [CrossRef]
  17. Ambaye, T.G.; Djellabi, R.; Vaccari, M.; Prasad, S.; Aminabhavi, T.M.; Rtimi, S. Emerging technologies and sustainable strategies for municipal solid waste valorization: Challenges of circular economy implementation. J. Clean. Prod. 2023, 423, 138708. [Google Scholar] [CrossRef]
  18. Luo, S.; Xiao, B.; Hu, Z.; Liu, S.; Guan, Y.; Cai, L. Influence of particle size on pyrolysis and gasification performance of municipal solid waste in a fixed bed reactor. Bioresour. Technol. 2010, 101, 6517–6520. [Google Scholar] [CrossRef] [PubMed]
  19. Wei, S.; Cai, C.; Liu, P.; Lin, W.; Liang, B.; Zhang, H.; Ma, Z.; Ma, H.; Xing, Y.; Liu, W. Supercritical water gasification of food waste: Effect of parameters on hydrogen production. Int. J. Hydrogen Energy 2020, 45, 14744–14755. [Google Scholar]
  20. Mazhar, A.; Khoja, A.H.; Azad, A.K.; Mushtaq, F.; Naqvi, S.R.; Shakir, S.; Hassan, M.; Liaquat, R.; Anwar, M. Performance Analysis of TiO2-Modified Co/MgAl2O4 Catalyst for Dry Reforming of Methane in a Fixed Bed Reactor for Syngas (H2, CO) Production. Energies 2021, 14, 3347. [Google Scholar] [CrossRef]
  21. Policastro, G.; Cesaro, A. Composting of Organic Solid Waste of Municipal Origin: The Role of Research in Enhancing Its Sustainability. Int. J. Environ. Res. Public Health 2023, 20, 312. [Google Scholar] [CrossRef] [PubMed]
  22. Tian, H.; Li, J.; Yan, M.; Tong, Y.W.; Wang, C.; Wang, X. Organic waste to biohydrogen: A critical review from technological development and environmental impact analysis perspective. Appl. Energy 2019, 256, 113961. [Google Scholar] [CrossRef]
  23. Laurinavichene, T.; Tekucheva, D.; Laurinavichius, K.; Tsygankov, A. Utilization of distillery wastewater for hydrogen production in one-stage and two-stage processes involving photofermentation. Enzym. Microb. Technol. 2018, 110, 1–7. [Google Scholar] [CrossRef] [PubMed]
  24. Xia, A.; Cheng, J.; Ding, L.; Lin, R.; Song, W.; Zhou, J.; Cen, K. Enhancement of energy production efficiency from mixed biomass of Chlorella pyrenoidosa and cassava starch through combined hydrogen fermentation and methanogenesis. Appl. Energy 2014, 120, 23–30. [Google Scholar] [CrossRef]
  25. Chozhavendhan, S.; Rajamehala, M.; Karthigadevi, G.; Praveenkumar, R.; Bharathiraja, B. A review on feedstock, pretreatment methods, influencing factors, production and purification processes of bio-hydrogen production. Case Stud. Chem. Environ. Eng. 2020, 2, 100038. [Google Scholar] [CrossRef]
  26. Parmar, K.R.; Tuli, V.; Caiola, A.; Hu, J.; Wang, Y. Sustainable production of hydrogen and carbon nanotubes/nanofibers from plastic waste through microwave degradation. Int. J. Hydrogen Energy 2023, in press. [Google Scholar] [CrossRef]
  27. Saratale, G.D.; Saratale, R.G.; Banu, J.R.; Chang, J.-S. Chapter 10—Biohydrogen Production from Renewable Biomass Resources. In Biohydrogen, 2nd ed.; Ashok Pandey, S., Mohan, V., Chang, J.-S., Hallenbeck, P.C., Larroche, C., Eds.; Elsevier: Amsterdam, The Netherlands, 2019. [Google Scholar]
  28. Kumar, J.A.; Sathish, S.; Prabu, D.; Renita, A.A.; Saravanan, A.; Deivayanai, V.C.; Anish, M.; Jayaprabakar, J.; Baigenzhenov, O.; Hosseini-Bandegharaei, A. Agricultural waste biomass for sustainable bioenergy production: Feedstock, characterization and pre-treatment methodologies. Chemosphere 2023, 331, 138680. [Google Scholar] [CrossRef]
  29. Chang, K.-L.; Lin, Y.-C.; Shangdiar, S.; Chen, S.-C.; Hsiao, Y.-H. Hydrogen production from dry spirulina algae with downstream feeding in microwave plasma reactor assisted under atmospheric pressure. J. Energy Inst. 2020, 93, 1597–1601. [Google Scholar] [CrossRef]
  30. Acosta, N.; De Vrieze, J.; Sandoval, V.; Sinche, D.; Wierinck, I.; Rabaey, K. Cocoa residues as viable biomass for renewable energy production through anaerobic digestion. Bioresour. Technol. 2018, 265, 568–572. [Google Scholar] [CrossRef] [PubMed]
  31. Saravanan, A.; Kumar, P.S.; Khoo, K.S.; Show, P.-L.; Carolin, C.F.; Jackulin, C.F.; Jeevanantham, S.; Karishma, S.; Show, K.-Y.; Lee, D.-J.; et al. Biohydrogen from organic wastes as a clean and environment-friendly energy source: Production pathways, feedstock types, and future prospects. Bioresour. Technol. 2021, 342, 126021. [Google Scholar] [CrossRef] [PubMed]
  32. Rambabu, K.; Show, P.-L.; Bharath, G.; Banat, F.; Naushad, M.; Chang, J.-S. Enhanced biohydrogen production from date seeds by Clostridium thermocellum ATCC 27405. Int. J. Hydrogen Energy 2020, 45, 22271–22280. [Google Scholar] [CrossRef]
  33. Xie, L.; Dong, N.; Wang, L.; Zhou, Q. Thermophilic hydrogen production from starch wastewater using two-phase sequencing batch fermentation coupled with UASB methanogenic effluent recycling. Int. J. Hydrogen Energy 2014, 39, 20942–20949. [Google Scholar] [CrossRef]
  34. Lin, C.-Y.; Leu, H.-J.; Lee, K.-H. Hydrogen production from beverage wastewater via dark fermentation and room-temperature methane reforming. Int. J. Hydrogen Energy 2016, 41, 21736–21746. [Google Scholar] [CrossRef]
  35. Zhou, H.; Meng, A.; Long, Y.; Li, Q.; Zhang, Y. An overview of characteristics of municipal solid waste fuel in China: Physical, chemical composition and heating value. Renew. Sustain. Energy Rev. 2014, 36, 107–122. [Google Scholar] [CrossRef]
  36. Khandelwal, H.; Dhar, H.; Thalla, A.K.; Kumar, S. Application of life cycle assessment in municipal solid waste management: A worldwide critical review. J. Clean. Prod. 2019, 209, 630–654. [Google Scholar] [CrossRef]
  37. Salem, K.S.; Clayson, K.; Salas, M.; Haque, N.; Rao, R.; Agate, S.; Singh, A.; Levis, J.W.; Mittal, A.; Yarbrough, J.M. A critical review of existing and emerging technologies and systems to optimize solid waste management for feedstocks and energy conversion. Matter 2023, 6, 3348–3377. [Google Scholar] [CrossRef]
  38. Hannan, M.A.; Begum, R.A.; Al-Shetwi, A.Q.; Ker, P.J.; Al Mamun, M.A.; Hussain, A.; Hassan, B.; Mahlia, T.M.I. Waste collection route optimisation model for linking cost saving and emission reduction to achieve sustainable development goals. Sustain. Cities Soc. 2020, 62, 102393. [Google Scholar] [CrossRef]
  39. Gomes, A.P.; Matos, M.A.; Carvalho, I.C. Separate collection of the biodegradable fraction of MSW: An economic assessment. Waste Manag. 2008, 28, 1711–1719. [Google Scholar] [CrossRef] [PubMed]
  40. Patnaik, S.; Mishra, B.P.; Parida, K. A review on dimensionally controlled synthesis of g-C3N4 and formation of an isotype heterojunction for photocatalytic hydrogen evolution. Catal. Sci. Technol. 2021, 11, 7505–7524. [Google Scholar] [CrossRef]
  41. Wang, W.; Niu, Q.; Zeng, G.; Zhang, C.; Huang, D.; Shao, B.; Zhou, C.; Yang, Y.; Liu, Y.; Guo, H.; et al. 1D porous tubular g-C3N4 capture black phosphorus quantum dots as 1D/0D metal-free photocatalysts for oxytetracycline hydrochloride degradation and hexavalent chromium reduction. Appl. Catal. B Environ. 2020, 273, 119051. [Google Scholar] [CrossRef]
  42. Tahir, W.; Cheang, T.-Y.; Li, J.-H.; Ling, C.; Lu, X.-J.; Ullah, I.; Wang, G.; Xu, A.-W. Interfacial Ti≣N bonding of a g-C3N4/TiH1.92 type-II heterojunction photocatalyst significantly enhanced photocatalytic hydrogen evolution from water splitting. Catal. Sci. Technol. 2022, 12, 2023–2029. [Google Scholar] [CrossRef]
  43. Li, S.; Wang, J.; Lv, X.; Zheng, S.; Wang, J.; Li, Z. Controllable synthesis of MOFs-derived porous and tubular bimetallic Fe–Ni phosphides for efficient electrocatalytic water splitting. Catal. Sci. Technol. 2023, 13, 1512–1517. [Google Scholar] [CrossRef]
  44. Zhou, Z.; Jia, Y.; Wang, Q.; Jiang, Z.; Xiao, J.; Guo, L. Recent Progress on Molybdenum Carbide-Based Catalysts for Hydrogen Evolution: A Review. Sustainability 2023, 15, 14556. [Google Scholar] [CrossRef]
  45. Wang, Q.; Zhang, L.X.; Li, B.; Zhu, H.M.; Shi, J.L. 3D interconnected nanoporous Ta3N5 films for photoelectrochemical water splitting: Thickness-controlled synthesis and insights into stability. Sci. China Mater. 2021, 64, 1876–1888. [Google Scholar] [CrossRef]
  46. Vadalà, M.; Kröll, E.; Küppers, M.; Lupascu, D.C.; Brunstermann, R. Hydrogen production via dark fermentation by bacteria colonies on porous PDMS-scaffolds. Int. J. Hydrogen Energy 2023, 48, 25274–25284. [Google Scholar] [CrossRef]
  47. Rao, R.; Basak, N. Optimization and modelling of dark fermentative hydrogen production from cheese whey by Enterobacter aerogenes 2822. Int. J. Hydrogen Energy 2021, 46, 1777–1800. [Google Scholar] [CrossRef]
  48. Gupta, H.; Barua, M.K. Identifying enablers of technological innovation for Indian MSMEs using best–worst multi criteria decision making method. Technol. Forecast. Soc. Change 2016, 107, 69–79. [Google Scholar] [CrossRef]
  49. Chen, H.; Wu, J.; Huang, R.; Zhang, W.; He, W.; Deng, Z.; Han, Y.; Xiao, B.; Luo, H.; Qu, W. Effects of temperature and total solid content on biohydrogen production from dark fermentation of rice straw: Performance and microbial community characteristics. Chemosphere 2022, 286, 131655. [Google Scholar] [CrossRef] [PubMed]
  50. Karadag, D.; Jaakko, A. Puhakka. Effect of changing temperature on anaerobic hydrogen production and microbial community composition in an open-mixed culture bioreactor. Int. J. Hydrogen Energy 2010, 35, 10954–10959. [Google Scholar] [CrossRef]
  51. Mu, Y.; Zheng, X.-J.; Yu, H.-Q.; Zhu, R.-F. Biological hydrogen production by anaerobic sludge at various temperatures. Int. J. Hydrogen Energy 2006, 31, 780–785. [Google Scholar] [CrossRef]
  52. Fang, H.H.P.; Liu, H. Effect of pH on hydrogen production from glucose by a mixed culture. Bioresour. Technol. 2002, 82, 87–93. [Google Scholar] [CrossRef]
  53. Khanal, S.K.; Chen, W.-H.; Li, L.; Sung, S. Biological hydrogen production: Effects of pH and intermediate products. Int. J. Hydrogen Energy 2004, 29, 1123–1131. [Google Scholar] [CrossRef]
  54. Hwang, J.-H.; Choi, J.-A.; Abou-Shanab, R.A.I.; Bhatnagar, A.; Min, B.; Song, H.; Kumar, E.; Choi, J.; Lee, E.S.; Kim, Y.J.; et al. Effect of pH and sulfate concentration on hydrogen production using anaerobic mixed microflora. Int. J. Hydrogen Energy 2009, 34, 9702–9710. [Google Scholar] [CrossRef]
  55. Molina-Peñate, E.; Artola, A.; Sánchez, A. Organic municipal waste as feedstock for biorefineries: Bioconversion technologies integration and challenges. Rev. Environ. Sci. Bio/Technol. 2022, 21, 247–267. [Google Scholar] [CrossRef]
  56. Zhang, Z.P.; Show, K.Y.; Tay, J.H.; Liang, D.T.; Lee, D.J.; Jiang, W.J. Effect of hydraulic retention time on biohydrogen production and anaerobic microbial community. Process Biochem. 2006, 41, 2118–2123. [Google Scholar] [CrossRef]
Figure 1. Comparison of different fuel types (a) Energy content, (b) lower heating value (LHV), (c) carbon equivalent (CE), (d) fuel density [9].
Figure 1. Comparison of different fuel types (a) Energy content, (b) lower heating value (LHV), (c) carbon equivalent (CE), (d) fuel density [9].
Energies 16 07853 g001aEnergies 16 07853 g001b
Figure 2. Contribution of different types of fuel for global hydrogen production [16].
Figure 2. Contribution of different types of fuel for global hydrogen production [16].
Energies 16 07853 g002
Figure 3. Different pretreatment methods for hydrogen fuel production.
Figure 3. Different pretreatment methods for hydrogen fuel production.
Energies 16 07853 g003
Figure 4. Process flow diagram for hydrogen production [22].
Figure 4. Process flow diagram for hydrogen production [22].
Energies 16 07853 g004
Figure 5. Photo fermentation for hydrogen production.
Figure 5. Photo fermentation for hydrogen production.
Energies 16 07853 g005
Figure 6. Dark fermentation for hydrogen production.
Figure 6. Dark fermentation for hydrogen production.
Energies 16 07853 g006
Figure 7. Microbial electrolysis cell (a) Double−chamber MEC, (b) single−chamber MEC.
Figure 7. Microbial electrolysis cell (a) Double−chamber MEC, (b) single−chamber MEC.
Energies 16 07853 g007
Figure 8. Crucial process parameters impacting hydrogen production.
Figure 8. Crucial process parameters impacting hydrogen production.
Energies 16 07853 g008
Table 1. Hydrogen yield from different waste types through the dark fermentation process [22].
Table 1. Hydrogen yield from different waste types through the dark fermentation process [22].
Waste TypeMicroorganismHydrogen YieldReference
WastewaterMixed culture1.6 ± 0.3 L/L [23]
Agricultural wasteMixed culture71.8 ± 5.19 mL/g [24]
Food wasteMixed cultureControlled at 4.0–4.6 219.9 mL/g[25]
Plastic waste->92 vol%[26]
Fruit and vegetable wasteMixed culture3.46 mol/mol total
sugar
[27]
ConeMixed culture107.7 kg/t-bio[28]
Micro algaeMixed culture31–36%[29]
Cocoa waste-107 L kg−1[30]
Pine tree (saw dust)-0.1–0.4%[28]
Palm oil mill
effluent
Mixed culture108.35 mL/g
–Reducing sugars
[31]
Date seed wasteMixed culture103.97 mmol/L
glucose
[32]
Starch
wastewater
Mixed culture5.79 mmol/g—COD[31,33]
Beverage
wastewater
-1.53 mol/mol-
hexose
[31,34]
OFMSW, including paper, cardboardNo external inoculum57.3 mL/g[25]
Disclaimer/Publisher’s Note: The statements, opinions and data contained in all publications are solely those of the individual author(s) and contributor(s) and not of MDPI and/or the editor(s). MDPI and/or the editor(s) disclaim responsibility for any injury to people or property resulting from any ideas, methods, instructions or products referred to in the content.

Share and Cite

MDPI and ACS Style

Haque, N.; Azad, A.K. Comparative Study of Hydrogen Production from Organic Fraction of Municipal Solid Waste and Its Challenges: A Review. Energies 2023, 16, 7853. https://doi.org/10.3390/en16237853

AMA Style

Haque N, Azad AK. Comparative Study of Hydrogen Production from Organic Fraction of Municipal Solid Waste and Its Challenges: A Review. Energies. 2023; 16(23):7853. https://doi.org/10.3390/en16237853

Chicago/Turabian Style

Haque, Naimul, and Abul Kalam Azad. 2023. "Comparative Study of Hydrogen Production from Organic Fraction of Municipal Solid Waste and Its Challenges: A Review" Energies 16, no. 23: 7853. https://doi.org/10.3390/en16237853

APA Style

Haque, N., & Azad, A. K. (2023). Comparative Study of Hydrogen Production from Organic Fraction of Municipal Solid Waste and Its Challenges: A Review. Energies, 16(23), 7853. https://doi.org/10.3390/en16237853

Note that from the first issue of 2016, this journal uses article numbers instead of page numbers. See further details here.

Article Metrics

Back to TopTop