Modal Decomposition Study of the Non-Reactive Flow Field in a Dual-Swirl Combustor
Abstract
1. Introduction
2. Numerical Setting and Methodology
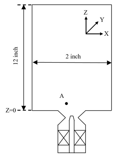
2.1. Calculation Domain and Boundary Conditions
2.2. Numerical Setup
2.3. Coherent Structure Extraction Method
2.3.1. Proper Orthogonal Decomposition
2.3.2. Spectral Proper Orthogonal Decomposition
3. Results
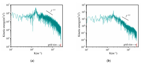
3.1. Model Validation
3.2. Steady and Transient Flow Characteristics of the Dual-Swirl Combustor
3.3. Proper Orthogonal Decomposition Analysis
3.4. Spectral Proper Orthogonal Decomposition Analysis
4. Conclusions
5. Future Recommendation
Author Contributions
Funding
Data Availability Statement
Conflicts of Interest
References
- Yu, H.; Suo, J.Q.; Zhu, P.F.; Zheng, L.X. The Characteristic of Flow Field and Emissions of a Concentric Staged Lean Direct Injection (LDI) Combustor. J. Northwest. Polytech. Univ. 2018, 36, 816–823. [Google Scholar] [CrossRef]
- Yu, H.; Suo, J.Q.; Zheng, L.X. Investigation of Non-Reaction and Reaction Flow Characteristic of Single Element Lean Direct Injection Combustor with Convergent Outlet. J. Propuls. Technol. 2019, 40, 608–618. [Google Scholar]
- Li, L.; Suo, J.Q.; Zheng, L.X. Effect of Rotating Direction on Flow and Temperature Field of Concentric Staged Combustor. J. Northwest. Polytech. Univ. 2020, 38, 1198–1209. [Google Scholar] [CrossRef]
- Li, L.; Suo, J.Q.; Yu, H.; Zhu, P.F.; Zheng, L.X. Non-Reaction Flow Characteristic of Concentric Staged Multi-Point Direct Injection Combustor. J. Propuls. Technol. 2021, 42, 1339–1350. [Google Scholar]
- Syred, N. A review of oscillation mechanisms and the role of the precessing vortex core (PVC) in swirl combustion systems. Prog. Energy Combust. Sci. 2006, 32, 93–161. [Google Scholar] [CrossRef]
- Steinberg, A.M.; Boxx, I.; Stoehr, M.; Carter, C.D.; Meier, W. Flow flame interactions causing acoustically coupled heat release fluctuations in a thermo-acoustically unstable gas turbine model combustor. Combust. Flame 2010, 157, 2250–2266. [Google Scholar] [CrossRef]
- Orbay, R.C.; Nogenmyr, K.J.; Klingmann, J.; Bai, X.S. Swirling turbulent flows in a combustion chamber with and without heat release. Fuel 2013, 104, 133–146. [Google Scholar] [CrossRef]
- Stopper, U.; Meier, W.; Sadanandan, R.; Stoehr, M.; Aigner, M.; Bulat, G. Experimental study of industrial gas turbine flames including quantification of pressure influence on flow field, fuel/air premixing and flame shape. Combust. Flame 2013, 160, 2103–2118. [Google Scholar] [CrossRef]
- Salvador, F.J.; Carreres, M.; Garcia-Tiscar, J.; Belmar-Gil, M. Modal decomposition of the unsteady non-reactive flow field in a swirl-stabilized combustor operated by a Lean Premixed injection system. Aerosp. Sci. Technol. 2021, 112, 106622. [Google Scholar] [CrossRef]
- Lucca-Negro, O.; O’Doherty, T. Vortex breakdown: A review. Prog. Energy Combust. Sci. 2001, 27, 431–481. [Google Scholar] [CrossRef]
- Chanaud, R.C. Observations of oscillatory motion in certain swirling flows. J. Fluid Mech. 2006, 21, 111–127. [Google Scholar] [CrossRef]
- Lilley, D.G. Swirl Flows in Combustion: A Review. AIAA J. 1977, 15, 1063–1078. [Google Scholar] [CrossRef]
- Terhaar, S.; Paredes, P.; Oberleithner, K.; Theofilis, V.; Paschereit, C.O. Investigation of the Global Mode in Swirling Combustor Flows: Experimental Observations and Local and Global Stability Analysis. Procedia IUTAM 2015, 14, 553–562. [Google Scholar] [CrossRef]
- Vashahi, F.; Lee, J. On the emerging flow from a dual-axial counter-rotating swirler; LES simulation and spectral transition. Appl. Therm. Eng. 2018, 129, 646–656. [Google Scholar] [CrossRef]
- Valera-Medina, A.; Syred, N.; Griffiths, A. Visualisation of isothermal large coherent structures in a swirl burner. Combust. Flame 2009, 156, 1723–1734. [Google Scholar] [CrossRef]
- Ranga Dinesh, K.K.J.; Kirkpatrick, M.P.; Jenkins, K.W. Investigation of the influence of swirl on a confined coannular swirl jet. Comput. Fluids 2010, 39, 756–767. [Google Scholar] [CrossRef][Green Version]
- Durox, D.; Moeck, J.P.; Bourgouin, J.F.; Morenton, P.; Viallon, M.; Schuller, T.; Candel, S. Flame dynamics of a variable swirl number system and instability control. Combust. Flame 2013, 160, 1729–1742. [Google Scholar] [CrossRef]
- Vanierschot, M.; Ogus, G. Experimental investigation of the precessing vortex core in annular swirling jet flows in the transitional regime. Exp. Therm. Fluid Sci. 2019, 106, 148–158. [Google Scholar] [CrossRef]
- Huang, D.X.; Xu, J.G.; Chen, R.Y.; Meng, H. Large eddy simulations of turbulent combustion of kerosene-air in a dual swirl gas turbine model combustor at high pressures. Fuel 2020, 282, 118820. [Google Scholar] [CrossRef]
- Gomez-Ramirez, D.; Ekkad, S.V.; Moon, H.K.; Kim, Y.; Srinivasan, R. Isothermal coherent structures and turbulent flow produced by a gas turbine combustor lean pre-mixed swirl fuel nozzle. Exp. Therm. Fluid Sci. 2017, 81, 187–201. [Google Scholar] [CrossRef]
- Ruan, C.; Chen, F.; Yu, T.; Cai, W.; Li, X.; Lu, X. Experimental characterization of flame/flow dynamics during transition between stable and thermo-acoustically unstable conditions in a gas turbine model combustor. Aerosp. Sci. Technol. 2020, 102, 105858. [Google Scholar] [CrossRef]
- Chen, Z.X.; Langella, I.; Swaminathan, N.; Stohr, M.; Meier, W.; Kolla, H. Large Eddy Simulation of a dual swirl gas turbine combustor: Flame/flow structures and stabilisation under thermoacoustically stable and unstable conditions. Combust. Flame 2019, 203, 279–300. [Google Scholar] [CrossRef]
- Zhu, R.J.; Pan, D.; Ji, C.Z.; Zhu, T.; Lu, P.P.; Gao, H. Combustion instability analysis on a partially premixed swirl combustor by thermoacoustic experiments and modeling. Energy 2020, 211, 118884. [Google Scholar] [CrossRef]
- Candel, S.; Durox, D.; Schuller, T.; Palies, P.; Bourgouin, J.-F.; Moeck, J.P. Progress and challenges in swirling flame dynamics. Comptes Rendus Mécanique 2012, 340, 758–768. [Google Scholar] [CrossRef]
- Lumley, J.L. The structure of inhomogeneous turbulent flows. In Atmospheric Turbulence and Radio Wave Propagation; Yaglom, A.M., Tatarski, V.I., Eds.; Nauka: Moscow, Russia, 1967; pp. 166–178. [Google Scholar]
- Duwig, C.; Fuchs, L.; Lacarelle, A.; Beutke, M.; Paschereit, C.O. Study of the Vortex Breakdown in a Conical Swirler Using LDV, LES and POD. In Proceedings of the Turbo Expo: Power for Land, Sea, and Air, Montreal, QC, Canada, 14–17 May 2007; Volume 2, pp. 1–10. [Google Scholar] [CrossRef]
- Terhaar, S.; Reichel, T.G.; Schrödinger, C.; Rukes, L.; Paschereit, C.O.; Oberleithner, K. Vortex Breakdown Types and Global Modes in Swirling Combustor Flows with Axial Injection. J. Propuls. Power 2015, 31, 219–229. [Google Scholar] [CrossRef]
- Paredes, P.; Terhaar, S.; Oberleithner, K.; Theofilis, V.; Paschereit, C.O. Global and Local Hydrodynamic Stability Analysis as a Tool for Combustor Dynamics Modeling. J. Eng. Gas Turbines Power 2016, 138, 021504. [Google Scholar] [CrossRef]
- Zhang, J.; Hu, B.; Fang, A.; Wang, Z.; Zhao, Q. Analysis of coherent structures in partly confined swirling flows. Aerosp. Sci. Technol. 2020, 107, 106280. [Google Scholar] [CrossRef]
- Towne, A.; Schmidt, O.T.; Colonius, T. Spectral proper orthogonal decomposition and its relationship to dynamic mode decomposition and resolvent analysis. J. Fluid Mech. 2018, 847, 821–867. [Google Scholar] [CrossRef]
- Sieber, M.; Oberleithner, K.; Paschereit, C.O. Spectral proper orthogonal decomposition. J. Fluid Mech. 2016, 792, 798–828. [Google Scholar] [CrossRef]
- Vanierschot, M.; Müller, J.S.; Sieber, M.; Percin, M.; van Oudheusden, B.Q.; Oberleithner, K. Single- and double-helix vortex breakdown as two dominant global modes in turbulent swirling jet flow. J. Fluid Mech. 2020, 883, A31. [Google Scholar] [CrossRef]
- Schmid, P. Dynamic mode decomposition of numerical and experimental data. J. Fluid Mech. 2010, 656, 5–28. [Google Scholar] [CrossRef]
- Nekkanti, A.; Schmidt, O.T. Frequency–time analysis, low-rank reconstruction and denoising of turbulent flows using SPOD. J. Fluid Mech. 2021, 926, A26. [Google Scholar] [CrossRef]
- Taira, K.; Brunton, S.L.; Dawson, S.T.M.; Rowley, C.W.; Colonius, T.; McKeon, B.J.; Schmidt, O.T.; Gordeyev, S.; Theofilis, V.; Ukeiley, L.S. Modal Analysis of Fluid Flows: An Overview. AIAA J. 2017, 55, 4013–4041. [Google Scholar] [CrossRef]
- Cai, J.; Jeng, S.-M.; Tacina, R. The Structure of a Swirl-Stabilized Reacting Spray Issued from an Axial Swirler. In Proceedings of the 43rd AIAA Aerospace Sciences Meeting and Exhibit, Reno, NV, USA, 10–13 January 2005; p. 1424. [Google Scholar]
- ANSYS, Inc. ANSYS Fluent Theory Guide, Release R1; ANSYS, Inc.: Canonsburg, PA, USA, 2020. [Google Scholar]
- Lilly, D.K. On the Application of the Eddy Viscosity Concept in the Inertial Sub-Range of Turbulence; National Center for Atmospheric Research: Boulder, CO, USA, 1966. [Google Scholar] [CrossRef]
- Foken, T. 50 Years of the Monin–Obukhov Similarity Theory. Bound.-Layer Meteorol. 2006, 119, 431–447. [Google Scholar] [CrossRef]
- Cazemier, W.; Verstappen, R.W.C.P.; Veldman, A.E.P. Proper orthogonal decomposition and low-dimensional models for driven cavity flows. Phys. Fluids 1998, 10, 1685–1699. [Google Scholar] [CrossRef]
- Manhart, M.; Wengle, H. A spatiotemporal decomposition of a fully inhomogeneous turbulent flow field. Theor. Comput. Fluid Dyn. 1993, 5, 223–242. [Google Scholar] [CrossRef]
- Schmidt, O. SpectralPOD/spod_matlab. 2022. Available online: https://github.com/SpectralPOD/spod_matlab (accessed on 20 October 2022).
- Welch, P. The use of fast Fourier transform for the estimation of power spectra: A method based on time averaging over short, modified periodograms. IEEE Trans. Audio Electroacoust. 1967, 15, 70–73. [Google Scholar] [CrossRef]
- Sirovich, L. Turbulence and the Dynamics of Coherent Structures. Q. Appl. Math. 1987, 45, 561–571. [Google Scholar] [CrossRef]
- Wang, S.; Yang, V.; Hsiao, G.; Hsieh, S.; Mongia, H. Large-eddy simulations of gas-turbine swirl injector flow dynamics. J. Fluid Mech. 2007, 583, 99–122. [Google Scholar] [CrossRef]
- Pope, S.B. Ten questions concerning the large-eddy simulation of turbulent flows. New J. Phys. 2004, 6, 35. [Google Scholar] [CrossRef]
- Li, L.; Zhu, P.; Li, Q.; Sao, J.; Zheng, L. Experimental and numerical investigation of non-reaction flow characteristics in a concentric staged dual-swirl combustor. J. Mech. Sci. Technol. 2022, 36, 2069–2082. [Google Scholar] [CrossRef]
- Syred, N.; Chong, W.; Rodriquez-Martinez, V.; Dawson, J.; Kelso, R. Characterisation of the occurrence of the precessing vortex core in partially premixed and non-premixed swirling flow. In Proceedings of the 12th International Symposium on the Applications of Laser Techniques to Fluid Mechanics, Lisbon, Portugal, 11–14 July 2004; pp. 21–23. [Google Scholar]
- Schmidt, O.T.; Colonius, T. Guide to Spectral Proper Orthogonal Decomposition. AIAA J. 2020, 58, 1023–1033. [Google Scholar] [CrossRef]
- Muld, T.W.; Efraimsson, G.; Henningson, D.S. Flow structures around a high-speed train extracted using Proper Orthogonal Decomposition and Dynamic Mode Decomposition. Comput. Fluids 2012, 57, 87–97. [Google Scholar] [CrossRef]
















Disclaimer/Publisher’s Note: The statements, opinions and data contained in all publications are solely those of the individual author(s) and contributor(s) and not of MDPI and/or the editor(s). MDPI and/or the editor(s) disclaim responsibility for any injury to people or property resulting from any ideas, methods, instructions or products referred to in the content. |
© 2023 by the authors. Licensee MDPI, Basel, Switzerland. This article is an open access article distributed under the terms and conditions of the Creative Commons Attribution (CC BY) license (https://creativecommons.org/licenses/by/4.0/).
Share and Cite
Feng, X.; Suo, J.; Li, Q.; Zheng, L. Modal Decomposition Study of the Non-Reactive Flow Field in a Dual-Swirl Combustor. Energies 2023, 16, 6182. https://doi.org/10.3390/en16176182
Feng X, Suo J, Li Q, Zheng L. Modal Decomposition Study of the Non-Reactive Flow Field in a Dual-Swirl Combustor. Energies. 2023; 16(17):6182. https://doi.org/10.3390/en16176182
Chicago/Turabian StyleFeng, Xiangzhou, Jianqin Suo, Qiandong Li, and Longxi Zheng. 2023. "Modal Decomposition Study of the Non-Reactive Flow Field in a Dual-Swirl Combustor" Energies 16, no. 17: 6182. https://doi.org/10.3390/en16176182
APA StyleFeng, X., Suo, J., Li, Q., & Zheng, L. (2023). Modal Decomposition Study of the Non-Reactive Flow Field in a Dual-Swirl Combustor. Energies, 16(17), 6182. https://doi.org/10.3390/en16176182
