Harmonic Analysis of Sliding-Mode-Controlled Buck Converters Imposed by Unmodeled Dynamics of Hall Sensor
Abstract
:1. Introduction
- The unified mathematical model of the whole system is established by combining the SM controller, the buck converter, and the Hall sensor, and the signal loss caused by the non-ideal Hall sensor is considered;
- Investigations of the stability and the tuning range of the SM controller are carried out in the time domain and frequency domain for comparison;
- By utilizing the DF approach, the harmonics induced by the sensor unmodeled dynamics can be proved;
- The relationship between the amplitude frequency characteristics of the output signal and the Hall sensor is determined.
2. System Description and Modelling
2.1. Buck Converter
2.2. Hall Sensor
2.3. SM Controller
3. Design of SM Controller in Frequency Domain
- For the case of λ ≥ RO/L, (23) has an imaginary root and there is no intersection point for the trajectory G(jω) and the real axis, which means the system can be kept stable;
- For the case of 0 < λ < RO/L, we substitute (23) into (22) and the intersection point of the trajectory G(jω) and the real axis can be calculated as (βERO/L, 0), which indicates that G(jω) does not intersect with the negative real axis and the system can also be kept stable.
4. Influence of the Unmodeled Dynamics of Hall Sensor
4.1. Stability Analysis
- Case 1: If λ > ROC, ω2 is an imaginary root. Since there is no intersection point for the trajectory of Gs(s) and the negative real axis, the system still keeps stable even with the consideration of the Hall sensor.
- Case 2: If 0 < λ < ROC, ω2 is a real root. By substituting (27) into (24), the intersection for the trajectory of Gs(s) and the real axis can be deduced as
4.2. Harmonic Analysis Affected by Hall Sensor
- If the SM controller parameter λ > ωn2ROC, the whole closed-loop control system of the SM-controlled buck converter system has no harmonics;
- If the SM controller parameter 0 < λ < ROC, the constraint of the harmonic frequency f2 ≥ fm can be deduced, and the rising time ψ of the Hall sensor can also be obtained, which gives guidance to the choice of SM parameter λ and the Hall sensor in practical systems.
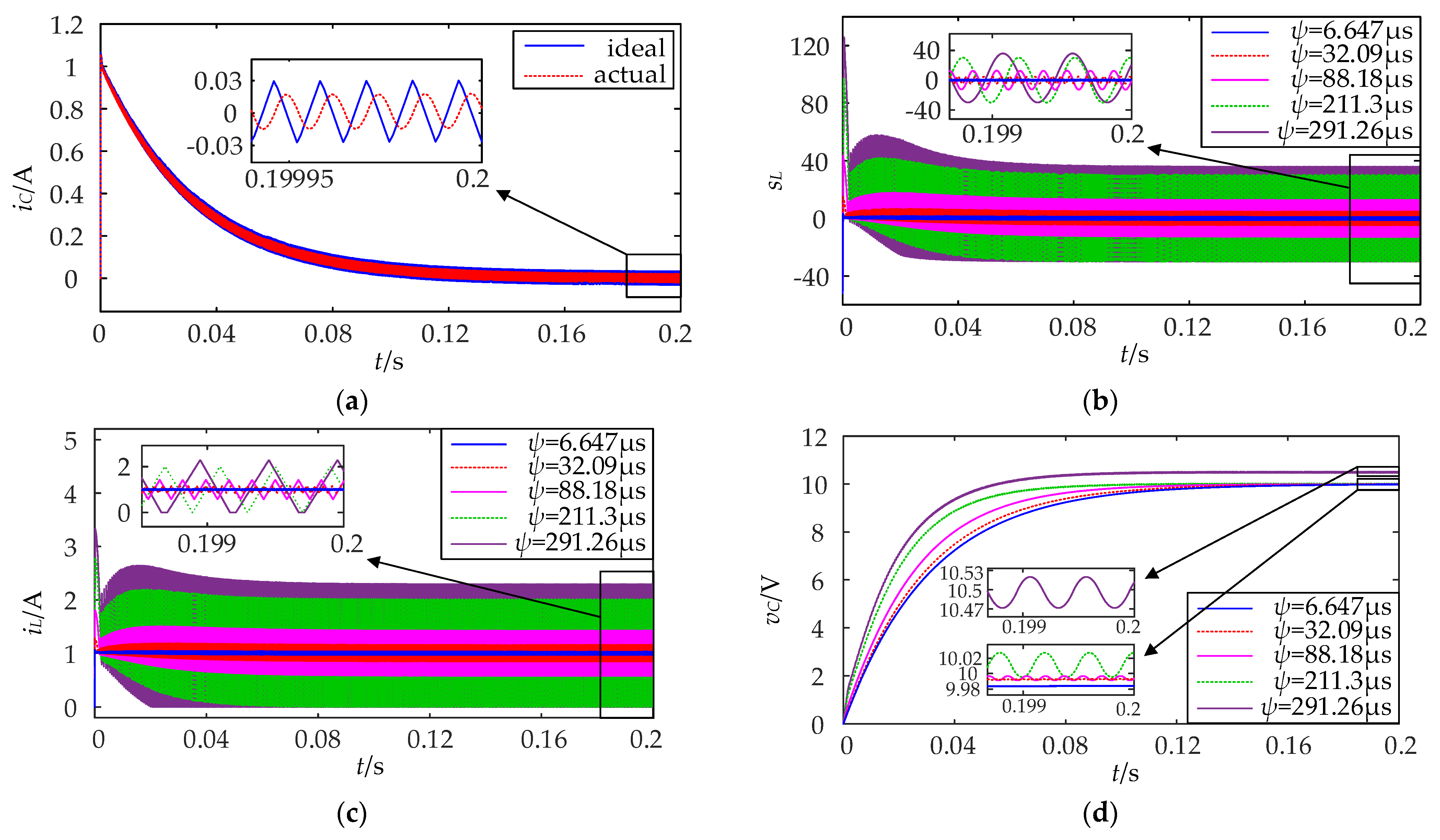
5. Simulations and Experiments
5.1. Simulation Results
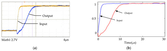
5.2. Experimental Results
6. Conclusions
- The unmodelled dynamics of the Hall sensor are included into the modelling of the SM-controlled converter system, and the experimental modeling approach in Figure 6 and (38) guarantees the modelling precision and accuracy;
- For the design of SM controller, this paper replaces the traditional time-domain approach based on the Lyapunov stability theorem with a frequency-domain approach by using DF and Nyquist stability criterion, which innovatively proves the inevitable existence of harmonics caused by the unmodeled dynamics of Hall sensor;
- The quantitative relationship between the amplitude frequency characteristics of the output signal and the Hall sensor is determined, seen in (33) and (34), which gives guidance for the choice of SM parameter λ and the Hall sensor in practical systems.
- In this paper, the sensor unmodelled dynamics are only considered; what about other or multiple unmodelled dynamics affect the stability and control performance of the system?
- In this paper, the commonly used linear sliding mode control approach is adopted; what about other complex SM types are used for the control of buck converters?
- What is significant and valuable for the theoretical and applied research of SM-controlled buck converter systems.
Author Contributions
Funding
Data Availability Statement
Conflicts of Interest
References
- Batarseh, I.; Alluhaybi, K. Emerging Opportunities in Distributed Power Electronics and Battery Integration: Setting the Stage for an Energy Storage Revolution. IEEE Trans. Power Electron. 2020, 7, 22–32. [Google Scholar] [CrossRef]
- AndradeL, A.M.S.S.; Schuch, L.; Martins, M.L.D.S. Analysis and Design of High-Efficiency Hybrid High Step-Up DC–DC Converter for Distributed PV Generation Systems. IEEE Trans. Ind. Electron. 2019, 66, 3860–3868. [Google Scholar] [CrossRef]
- Mayo-Maldonado, J.C.; Ruiz-Martinez, O.F.; Escobar, G.; Valdez-Resendiz, J.E.; Maupong, T.M.; Rosas-Caro, J.C. Nonlinear Stabilizing Control Design for DC–DC Converters Using Lifted Models. IEEE Trans. Ind. Electron. 2021, 68, 10772–10783. [Google Scholar] [CrossRef]
- Riaz, M.; Yasin, A.; Uppal, A.; Yasin, A. A Novel Dynamic Integral Sliding Mode Control for Power Electronic Converters. Sci. Prog. 2021, 104, 00368504211044848. [Google Scholar] [CrossRef] [PubMed]
- Wu, L.; Liu, J.; Vazquez, S.; Mazumder, S.K. Sliding Mode Control in Power Converters and Drives: A Review. IEEE/CAA J. Autom. Sin. 2022, 9, 392–406. [Google Scholar] [CrossRef]
- Rosales, A.; Ibarra, L.; Ponce, P.; Molina, A. Fuzzy Sliding Mode Control Design Based on Stability Margins. J. Frankl. Inst. 2019, 356, 5260–5273. [Google Scholar] [CrossRef]
- Prieto, P.J.; Cazarez-Castro, N.R.; Aguilar, L.T.; Cardenas-Maciel, S.L. Chattering Existence and Attenuation in Fuzzy-Based Sliding Mode Control. Eng. Appl. Artif. Intell. 2017, 61, 152–160. [Google Scholar] [CrossRef]
- Zhao, Y.; Niu, B.; Wang, H.; Yang, D. Adaptive Neural Tracking Control of Nonlinear Nonstrict-Feedback Systems with Unmodeled Dynamics. IEEE Access 2019, 7, 90206–90214. [Google Scholar] [CrossRef]
- Wang, J.; Luo, W.; Liu, J.; Wu, L. Adaptive Type-2 FNN-Based Dynamic Sliding Mode Control of DC–DC Boost Converters. IEEE Trans. Syst. Man Cybern. Syst. 2021, 51, 2246–2257. [Google Scholar] [CrossRef]
- Gheisarnejad, M.; Farsizadeh, H.; Khooban, M.H. A Novel Nonlinear Deep Reinforcement Learning Controller for DC–DC Power Buck Converters. IEEE Trans. Ind. Electron. 2021, 68, 6849–6858. [Google Scholar] [CrossRef]
- Zhang, L.; Wang, Z.; Li, S.; Ding, S.; Du, H. Universal Finite-Time Observer Based Second-Order Sliding Mode Control for DC-DC Buck Converters with Only Output Voltage Measurement. J. Frankl. Inst. 2020, 357, 11863–11879. [Google Scholar] [CrossRef]
- Wu, W.; Qiu, L.; Liu, X.; Guo, F.; Rodriguez, J.; Ma, J.; Fang, Y. Data-Driven Iterative Learning Predictive Control for Power Converters. IEEE Trans. Power Electron. 2022, 37, 14028–14033. [Google Scholar] [CrossRef]
- Shieh, H.; Chen, Y. A Sliding Surface-Regulated Current-Mode Pulse-Width Modulation Controller for a Digital Signal Processor-Based Single Ended Primary Inductor Converter-Type Power Factor Correction Rectifier. Energies 2017, 10, 1175. [Google Scholar] [CrossRef]
- Wang, J.; Li, S.; Yang, J.; Wu, B.; Li, Q. Extended State Observer-Based Sliding Mode Control for PWM-Based DC-DC Buck Power Converter Systems with Mismatched Disturbances. IET Control. Theory Appl. 2015, 9, 579–586. [Google Scholar] [CrossRef]
- Guo, J. Application of Full Order Sliding Mode Control Based on Different Areas Power System with Load Frequency Control. ISA Trans. 2019, 92, 23–34. [Google Scholar] [CrossRef] [PubMed]
- Wu, L.; Mei, P.; Lei, B.; Lin, Z. Dead-Beat Terminal Sliding Mode Control with Application to DC–DC Buck Converters. IEEE Trans. Circuits Syst. II: Express Briefs 2023, 70, 2470–2474. [Google Scholar] [CrossRef]
- Wang, Z.; Li, S.; Li, Q. Continuous Nonsingular Terminal Sliding Mode Control of DC–DC Boost Converters Subject to Time-Varying Disturbances. IEEE Trans. Circuits Syst. II Express Briefs 2020, 67, 2552–2556. [Google Scholar] [CrossRef]
- Ni, C.J.; Liu, C.; Pang, X. Fuzzy Fast Terminal Sliding Mode Controller Using an Equivalent Control for Chaotic Oscillation in Power System. Acta Phys. Sin. 2013, 62, 190507. [Google Scholar]
- Jiang, C.; Wang, Q.; Li, Z.; Zhang, N.; Ding, H. Nonsingular Terminal Sliding Mode Control of PMSM Based on Improved Exponential Reaching Law. Electronics 2021, 10, 1776. [Google Scholar] [CrossRef]
- Abolvafaei, M.; Ganjefar, S. Adaptive Second-Order Terminal PID Sliding Mode Control Design for Integer-Order Approximation of Wind Turbine System for Maximum Power Extraction. IET Control. Theory Appl. 2021, 15, 2210–2220. [Google Scholar] [CrossRef]
- Hu, R.; Deng, H.; Zhang, Y. Novel Dynamic-Sliding-Mode-Manifold-Based Continuous Fractional-Order Nonsingular Terminal Sliding Mode Control for a Class of Second-Order Nonlinear Systems. IEEE Access 2020, 8, 19820–19829. [Google Scholar] [CrossRef]
- Bernardo, D.; Johansson, K.; Vasca, F. Self-Oscillations and Sliding in Relay Feedback Systems: Symmetry and Bifurcations. Int. J. Bifurc. Chaos 2021, 11, 1121–1140. [Google Scholar] [CrossRef]
- Boiko, I.; Fridman, L.; Pisano, A.; Usai, E. Fast Oscillations in Feedback Control Systems with Fast Actuators Driven by the Second-Order Sliding Mode Suboptimal Algorithm. In Proceedings of the 43rd IEEE Conference on Decision and Control, SNC Lavalin, Calgary, AB, Canada, 14–17 December 2004. [Google Scholar]
- Li, H.; Shang, J.; Zhang, B.; Zhao, X.; Tan, N.; Liu, C. Stability Analysis with Considering the Transition Interval for PWM DC-DC Converters Based on Describing Function Method. IEEE Access 2018, 6, 48113–48124. [Google Scholar] [CrossRef]
- Inanlou, R.; Shoaei, O.; Tamaddon, M.; Rescati, M.; Baschirotto, A. Analysis and Design of an Asynchronous Pulse-Width Modulation Technique for Switch Mode Power Supply. IET Power Electron. 2020, 13, 1639–1648. [Google Scholar] [CrossRef]
- Marquart, C.A.; Zourntos, T.; Magierowski, S.; Mathai, N.J. Sliding-Mode Amplitude Control Techniques for Harmonic Oscillators. IEEE Trans. Circuits Syst. II Express Briefs 2007, 54, 1014–1018. [Google Scholar] [CrossRef]
- Aranya, C.; Murat, A. Robust Stabilization and Performance Recovery of Nonlinear Systems with Unmodeled Dynamics. IEEE Trans. Autom. Control. 2009, 54, 1351–1356. [Google Scholar]
- Yan, H.; Xu, Y.; Zhao, W.; Zhang, H.; Gerada, C. DC Drift Error Mitigation Method for Three-Phase Current Reconstruction with Single Hall Current Sensor. IEEE Trans. Magn. 2019, 55, 1–4. [Google Scholar] [CrossRef]
- Liu, C.; Liu, H.J.G. Offset Error Reduction in Open Loop Hall Effect Current Sensors Powered with Single Voltage Source. In Proceedings of the 2014 IEEE International Workshop on Applied Measurements for Power Systems Proceedings (AMPS), Aachen, Germany, 24–26 September 2014. [Google Scholar]
- Wang, L.; Sun, Y.; Yang, L.; Lv, Y.; Tang, L. Numerical Model of Hall Sensor at the Source of a Rectangular Magnet Field. In Proceedings of the 2022 International Conference on Sensing, Measurement & Data Analytics in the Era of Artificial Intelligence (ICSMD), Harbin, China, 30 November–2 December 2022. [Google Scholar]
- Lee, H.; Utkin, V. Chattering Suppression Methods in Sliding Mode Control Systems. Annu. Rev. Control. 2007, 31, 179–188. [Google Scholar] [CrossRef]
- Wang, W.; Ma, J.; Li, X.; Cheng, Z.; Zhu, H.; Teo, C.S.; Lee, T.H. Iterative Super-Twisting Sliding Mode Control for Tray Indexing System with Unknown Dynamics. IEEE Trans. Ind. Electron. 2021, 68, 9855–9865. [Google Scholar] [CrossRef]
- Si, Y.; Pu, J.; Lu, B.; Sun, L. An Improved Adaptive Neural Network Sliding Mode Method for Tracking Control. In Proceedings of the 2018 Chinese Automation Congress (CAC), Xi’an, China, 30 November–2 December 2018. [Google Scholar]
- Alipour, M.; Zarei, J.; Razavi-Far, R.; Saif, M.; Mijatovic, N.; Dragičević, T. Observer-Based Backstepping Sliding Mode Control Design for Microgrids Feeding a Constant Power Load. IEEE Trans. Ind. Electron. 2023, 70, 465–473. [Google Scholar] [CrossRef]
- Zhao, Z.; Gu, H.; Zhang, J.; Ding, G. Terminal Sliding Mode Control Based on Super-Twisting Algorithm. J. Syst. Eng. Electron. 2017, 28, 145–150. [Google Scholar] [CrossRef]
- Sung, G.; Wang, W.; Yu, C. Analysis and Modeling of One-Dimensional Folded Vertical Hall Sensor with Readout Circuit. IEEE Sens. J. 2017, 17, 6880–6887. [Google Scholar] [CrossRef]
- Ranasingh, S.; Pradhan, T.; Raju, D.; Singh, A.; Piantini, A. An Approach to Wire-Wound Hall-Effect Based Current Sensor for Offset Reduction. IEEE Sens. J. 2022, 22, 2006–2015. [Google Scholar] [CrossRef]
- Li, L.; Chen, Y.; Zhou, H.; Ma, H.; Liu, J. The Application of Hall Sensors ACS712 in the Protection Circuit of Controller for Humanoid Robots. In Proceedings of the 2010 International Conference on Computer Application and System Modeling (ICCASM 2010), Taiyuan, China, 22–24 October 2010. [Google Scholar]
- De Gusseme, K.; Van de Sype, D.M.; Van den Bossche, A.P.; Melkebeek, J.A. Digitally Controlled Boost Power-Factor-Correction Converters Operating in Both Continuous and Discontinuous Conduction Mode. IEEE Trans. Ind. Electron. 2005, 52, 88–97. [Google Scholar] [CrossRef]
- ACS712 Datasheet (PDF)-Allegro MicroSystems. Available online: https://www.alldatasheet.com/datasheet-pdf/pdf/168326/ALLEGRO/ACS712.html (accessed on 18 August 2023).













| Component | Symbol | Value |
|---|---|---|
| Input voltage | E | 20 V |
| Inductor | L | 1 mH |
| Capacitor | C | 3.2 mF |
| Load resistor | R | 10 Ω |
| Divider resistor 1 | R1 | 10,000 Ω |
| Divider resistor 2 | R2 | 50,000 Ω |
| Reference output voltage | Vref/β | 10 V |
| Rise Time ψ (μs) | Theoretical Value of Harmonic Amplitude A2 (mV) | Simulation Value of Harmonic Amplitude A2 (mV) | Theoretical Value of Harmonic Frequency f2 (kHz) | Simulation Value of Harmonic Frequency f2 (kHz) | Steady Error of Output Voltage vC (mV) |
|---|---|---|---|---|---|
| 6.647 | 0.94 | 0.96 | 79.45 | 78.74 | 0.032 |
| 32.09 | 4.55 | 4.62 | 16.46 | 16.18 | 0.741 |
| 88.18 | 12.51 | 12.67 | 5.99 | 5.88 | 5.59 |
| 211.3 | 30.03 | 29.99 | 2.50 | 2.50 | 31.3 |
| 291.26 | 41.44 | 32.99 | 1.81 | 1.99 | 48.6 |
| Rise Time ψ (μs) | Adjusted Capacitor CF (nF) | Harmonic Amplitude A2 (mV) | Steady Error of Output Voltage vC (mV) |
|---|---|---|---|
| 6.647 | 0 | 428 | 12.3 |
| 32.09 | 10 | 528 | 26.1 |
| 88.18 | 47 | 568 | 50.1 |
| 211.3 | 70 | 688 | 83.4 |
| 291.26 | 100 | 812 | 103.7 |
Disclaimer/Publisher’s Note: The statements, opinions and data contained in all publications are solely those of the individual author(s) and contributor(s) and not of MDPI and/or the editor(s). MDPI and/or the editor(s) disclaim responsibility for any injury to people or property resulting from any ideas, methods, instructions or products referred to in the content. |
© 2023 by the authors. Licensee MDPI, Basel, Switzerland. This article is an open access article distributed under the terms and conditions of the Creative Commons Attribution (CC BY) license (https://creativecommons.org/licenses/by/4.0/).
Share and Cite
Wang, Y.; Duan, G.; Yu, J.; Yue, W.; Ning, J.; Liu, B. Harmonic Analysis of Sliding-Mode-Controlled Buck Converters Imposed by Unmodeled Dynamics of Hall Sensor. Energies 2023, 16, 6124. https://doi.org/10.3390/en16176124
Wang Y, Duan G, Yu J, Yue W, Ning J, Liu B. Harmonic Analysis of Sliding-Mode-Controlled Buck Converters Imposed by Unmodeled Dynamics of Hall Sensor. Energies. 2023; 16(17):6124. https://doi.org/10.3390/en16176124
Chicago/Turabian StyleWang, Yanmin, Guangxin Duan, Juan Yu, Wenjiao Yue, Jiaming Ning, and Bailiang Liu. 2023. "Harmonic Analysis of Sliding-Mode-Controlled Buck Converters Imposed by Unmodeled Dynamics of Hall Sensor" Energies 16, no. 17: 6124. https://doi.org/10.3390/en16176124
APA StyleWang, Y., Duan, G., Yu, J., Yue, W., Ning, J., & Liu, B. (2023). Harmonic Analysis of Sliding-Mode-Controlled Buck Converters Imposed by Unmodeled Dynamics of Hall Sensor. Energies, 16(17), 6124. https://doi.org/10.3390/en16176124

