Next Article in Journal
A Comprehensive Review of Digital Twin Technology for Grid-Connected Microgrid Systems: State of the Art, Potential and Challenges Faced
Previous Article in Journal
A Hybrid Switched-Inductor/Switched-Capacitor DC-DC Converter with High Voltage Gain Using a Single Switch for Photovoltaic Application
 
 
Font Type:
Arial Georgia Verdana
Font Size:
Aa Aa Aa
Line Spacing:
Column Width:
Background:
Article

Effect of Temperature on Moisture Migration in Earth and Fiber Mixtures for Cob Materials

1
LUSAC, Université de Caen Normandie, Site Universitaire Bellevue, 120 Rue de L’exode, 50000 Saint-Lo, Manche, France
2
LPMAT Laboratory, Faculty of Science Ain Chock, Hassan II University, Casablanca 20000, Morocco
*
Author to whom correspondence should be addressed.
Energies 2023, 16(14), 5526; https://doi.org/10.3390/en16145526
Submission received: 8 June 2023 / Revised: 1 July 2023 / Accepted: 6 July 2023 / Published: 21 July 2023
(This article belongs to the Section G: Energy and Buildings)

Abstract

This paper highlights the impact of environmental conditions on cob buildings. Different factors such as wall thickness, material permeability and interactions between moisture and heat fluxes can all have significant effects on the performance and durability of cob buildings. An experimental and modeling-based study was conducted on the hygrothermal characterization of cob building materials, which were obtained by mixing earth and fibers. Two types of cob materials that can be used as insulation and to form structural materials in buildings were tested. The effect of outside temperature on adsorption isotherms was investigated for both materials. The experimental data were fitted using the GAB model, after which a new correlation of water content correlation was proposed. Three specific configurations were investigated in which cob material was subjected to moisture transfer and a zero, positive or negative temperature gradient. Based on the resulting measurements, a high coupling effect between heat and moisture transfer inside the structural material was analyzed. A comparison of the experimental and modeling results demonstrated the satisfactory correlation and reliability of the developed model. Simulations were carried out for various wall thicknesses, in order to assess the effect of heat and moisture transfer on water content. The three scenarios were simulated and distributions of water content inside the walls were determined. The results show that the wall thickness of cob buildings and the direction of heat and moisture fluxes affect water content distribution in the structure. A greater thickness of the cob wall leads to higher water content, but this relationship reverses when the heat and moisture fluxes move in the same direction.

1. Introduction

Scientists around the world have expressed great concern regarding high energy consumption and the greenhouse gas emissions associated with both commercial and residential buildings, which has led to a strong research focus on improving their energy efficiency. In order to address these issues, the French government has put in place a set of thermal and hygrometric regulations, aimed at improving the energy performance of buildings and reducing their environmental impact. From this perspective, earthen construction is considered a sustainable and effective alternative to meet the challenges presented by energy efficiency and the carbon footprints of French buildings. In addition to meeting governmental standards and complying with regulations for energy performance, energy efficiency offers myriad environmental and economic benefits.
Building is considered one of the highest energy-consuming sectors of society, representing about 40% of France’s total final energy consumption and overtaking the industry and transport sectors [1]. This consumption has led to an increase in CO2 emissions of 43% over the last two decades [2], making it vital to develop new and less energy-intensive construction technologies. The incorporation of more efficient building materials offers a promising solution. The major parameters impacting building efficiency are temperature and humidity, which also affect the durability of building materials, the level of human comfort and indoor air quality. Moisture accumulation within a building increases indoor humidity and the need for air-conditioning. It also has an impact on the thermal insulation efficiency of walls, reducing their ability to retain heat inside the building. As a result, more energy is required to maintain a comfortable indoor temperature. Moreover, a high humidity level can have a negative impact on the integrity of the construction and adverse effects on the inhabitants’ health [3,4]. In this context, the choice of materials used for construction and insulation, and an understanding of the basic physical phenomena related to climate, are essential factors to achieve a successful building design with low environmental impact and energy efficiency, while offering high levels of hygrothermal comfort.
Previously, studies have been carried out around the world to develop biobased materials for building construction [5,6,7,8,9]. As highlighted by Charlier and Risch [1], biobased materials require a low level of grey energy for production, transformation and distribution, and possess a neutral or negative CO2 balance, as opposed to the high-impact materials used in traditional building construction. For example, light earth building technologies are based on the use of earth slip, a mix of clayed earth and water supplemented with aggregates or fibers. Vegetable fibers and earthen mixtures are renewable resources and their use in construction has been advanced over thousands of years. Minke [10] carried out a large number of experiments on earthen construction materials. He found that earthen materials can reach moisture equilibrium more rapidly than other, more conventional materials. Ramesh et al. [11] presented a review on the use of fiber-based biomaterials as construction materials. While focusing on composite materials, the main advantages identified were ease of use, low environmental impact and high specific properties. Laborel-Préneron et al. [12] proposed a simple method for biosourced materials fabrication in that could be adapted to the building methods proposed in the literature. However, the issue of fungal growth has been studied under various environmental conditions, with or without the addition of straw or hemp [12].
Nevertheless, despite the known benefits, the use of biosourced materials in construction remains low compared to that of conventional materials such as cement, concrete, steel and wood. A lack of data on hygrothermal behavior has been identified; these missing data are essential for predicting the temperature and humidity fluctuations of indoor air and describing how building materials behave with respect to their own environment. It should be emphasized that any definition of the hygrothermal behavior of a material can take different forms. Laborel-Préneron et al. [13] studied the impact of mud bricks on the thermal conductivity and water vapor permeability when adding 3% and 6% hemp shives. They reported their findings that the content of hemp shives did not have a significant influence on the vapor permeability of the material, although the studied material remained very permeable to water vapor.
The hygrothermal characterization of biobased materials has recently received additional research attention. These studies generally focused on the analysis of heat and moisture storage properties and heat and water transfer properties [14,15,16]. Colinart et al. [17] focused on the hygrothermal properties of light-earth building materials made of hemp shiv and earth slip. They conducted various experiments on three hemp shiv materials, six earth materials and fifteen mixed materials. The influence of drying, in terms of temperature and humidity, on the thermal and water storage properties of the studied materials was measured. In particular, the authors determined the water content, capillary absorption coefficient and resistance to water vapor diffusion, as well as the thermal properties (conductivity and specific heat properties) of the various materials. Rahim et al. [18] analyzed the hygric properties of a new biobased material known as rape straw lime concrete, comparing it with hemp lime concrete. The tests focused on the sorption isotherm, water vapor permeability, capillary water absorption and humidity regulation capacity, using the Nordtest protocol. The results showed that the studied materials have very promising hygric properties and exhibit excellent moisture-buffering capacities.
In light of the previous analyses, it appears that data on the hygrothermal properties of biobased materials are necessary in order to study and predict the performance of future buildings. The present study focuses on investigating the hygrothermal properties of two biobased materials made from mixtures of soil and plant fibers via a series of experiments. The first type of material under study is a thermal insulator that contains a high fiber level corresponding to 50% of the mass of dry soil. This material provides high thermal performance but cannot withstand significant loads. The second type of material under study is characterized by a strong composition of soil and a low fiber level. It provides lower thermal performance but yields higher structural performance and can withstand significant loads [19]. In practice, a new building should be made from both these types of materials.
This work involved the development of an experimental setup to examine the influence of temperature on the migration of water vapor through structural materials under both isothermal and non-isothermal conditions. Three distinct scenarios were carried out, wherein the structural material was positioned between two chambers and subjected to zero, positive and negative temperature gradients during the water vapor diffusion process.
The capacity of each building material to transfer moisture to the ambient area and absorb it from the outside environment is determined using adsorption-desorption curves [20]. Moisture sorption isotherms were widely used in the building as input data for building hygrothermal performance [21,22]. In this work, moisture adsorption was performed by weighing the tested materials under various relative humidity (RH) and temperature conditions. The measured relative humidity was fitted using the GAB model and the material’s water content is correlated. The effect of ambient temperature on the adsorption isotherm was investigated, and the adsorption capacity of the two studied materials was also established. In addition, the proposed heat and moisture transfer model integrates temperature into mass transfer calculations using sorption isotherms at different temperatures. Simulations were then carried out to highlight the effect of environmental conditions and material properties on water content distribution. It was found that wall thickness and the various interactions between moisture and heat fluxes have a significant influence on moisture distribution in the walls of buildings and on a building’s performance and durability.

2. Experimental Measurement

The main objective of this research was to study the coupling mechanisms of heat and moisture transfer through biosourced material in a non-isothermal regime. As shown in Figure 1, the experimental device consisted of a cup into which the sample was placed, positioned between two chambers where the relative humidity and temperature were controlled. A salt solution that was placed in the bottom chamber was used to control the ambient relative humidity. The ambient temperature in each chamber was controlled by means of two electrical resistors and temperature regulators. Two types of humidity sensors were used. The first type was a combined temperature and humidity sensor (HMP110), placed in the top and bottom chambers of the device. The second type (HIH-400-003) was inserted inside the sample and on the surface to measure the distribution of relative humidity in the sample over time. Six type-K thermocouples, with diameters of 1 mm, were located inside the sample, on the sample’s surfaces and in each chamber. All the sensors were connected to the Labview acquisition cards and linked to a computer to record the experimental data, employing a time step of 60 s. Table 1 shows the accuracy and measurement ranges of each sensor.
The tested samples were made from a French soil excavated in Normandy (in the Manche and Calvados départements) and were then mixed with vegetable fibers (as shown in Figure 2). Using local resources for materials in construction reduces the corresponding material carbon footprint compared to that of constructions made from conventional materials. The walls in a cob-constructed building comprise dual cob layers that form the structural and insulating walls, giving the building good mechanical and thermal performance. A structural wall must be able to withstand heavy loads and can be used as a load-bearing wall. The tested structural sample was made with soil (1284 kg·m−3) with a significant silty fraction, mixed with 2.5% flax straw fibers and 28.5% water relative to the dry soil mass. The tested insulating sample was a mix of soil (1416 kg·m−3) with a significant clay fraction, 50% reed fibers and 80% water relative to the dry soil mass. The sample manufacturing procedure consisted of first mixing the soil with the required percentage of fiber in a dry state until a homogeneous mixture was obtained. The required mass of water was then added and the whole sample was remixed. Then, the mixture was placed in molds and stored at laboratory temperature for four days, yielding cubic samples with a size of 7 cm × 7 cm × 7 cm. Then, the samples were removed from the mold and stored in an oven at 40 °C for at least five days. Each sample was then covered with aluminum tape on the four vertical surfaces to ensure a one-dimensional mass diffusion from one chamber toward the other. After each test, the sample was stored at room temperature for three days. This step was designed to precondition the sample and allow the material to release any accumulated relative humidity before being subjected to another test. Three scenarios were investigated, to simulate different dynamic boundary conditions: (i) an isothermal scenario, (ii) vapor and temperature diffusion as a transfer from one chamber to the other, and (iii) vapor diffusion in the inverse direction to that of the heat transfer. Different relative humidity and ambient temperature conditions were studied, and the measurements were recorded in both transient and steady states.

3. Modeling of Heat and Vapor Diffusion in Cob Materials

The physical model used in this paper simulates the unsteady state transport of water vapor from the first chamber to the second chamber, shown in Figure 3. The two rooms are separated by a cob wall of thickness ‘e’. The whole system is assumed to be isothermal. The transfer of water vapor takes place through the boundary layer between chamber 1 and the surface of the left side of the wall, then, through the wall, and finally, through the boundary layer on the right side of the wall. The model is one-dimensional.
Elemental models can account for a concentration gradient, which is represented by the non-uniformity of the concentrations within the material. Elemental models usually describe compound transport as a serial assembly of two equations, with one representing the diffusion transport in the material, and the other representing compound transport on the material’s surface (boundary layer diffusion).
The instantaneous mass flow rate, m ˙ (kg·s−1), of a compound diffusing through a boundary layer is given by
m ˙ = ρ a i r h m S Δ C
where h m (m·s−1) is the convective mass transfer coefficient, ρ a i r is the air density (kg·m−3), S is the material’s surface that is exposed to the ambient air, and Δ C is the air phase concentration difference between the material surface and the ambient air (kg·kgair−1).
Diffusion in porous materials is constrained by the occurrence of adsorption/desorption phenomena along the diffusion path. Under these conditions, the water transport within the material can be defined as follows [23,24]:
D e ² C x ² = ε C t + ρ m a t ρ a i r ε W t
where C (kg/kgair) and W (kgwat/kgmat) represent the local vapor concentration and the adsorbed vapor concentration in the pores, respectively, D e (m2·s−1) represents the diffusion coefficient of the water vapor, ε (m3air/m3mat) represents the material’s porosity, and ρ m a t (kg·m−3) and ρ a i r (kg·m−3) represent the material and air densities, respectively. The first term of Equation (2) accounts for the gas diffusion along the spatial dimension x , while the second term combines the accumulation of the diffusing species in the air phase of the pores and of the species at the pore surfaces.
W is related to C through the adsorption isotherm of the gas and material system:
W t = W C . C t .
Substituting Equation (3) into Equation (2) yields
D e ² C x ² = ε + ρ m a t ρ a i r ε . W C C t .
Equation (4) takes the form of a Fickian diffusion equation, expressed here in terms of the air phase concentration in the pores. The latter can be coupled directly in series with the boundary layer equation, Equation (1), to describe the water vapor transport from the bulk air phase of the room to the depths of the materials, as well as vice versa. Experiments carried out on the cob samples yielded the following values for the density and porosity of the testing material at 1443.5 kg m−3 and 25%, respectively.
The instantaneous variation of air phase concentration in the air volume on both sides of the material is
d C d t = m ˙ ρ a i r V .
V (m3) represents the considered volume (over or below that of the tested material).
Among the different parameters of the model, some could be considered to be constant (such as the material density and the porosity), whereas others are dependent on the temperature. This is the case with air density, the diffusion coefficient, and the sorption isotherm. Experiments carried out on the cob samples allowed us to identify the relationship between C and W, which takes the form of a type 3 isotherm, according to Brunauer’s classification [25,26,27]:
W = a   e b C
where a and b are the empirical coefficients. The results of the experiments carried out at different temperatures give rise to the following temperature-dependence relationships for these coefficients:
a = 3.330 × 10 59 e 0.483   T
b = 7.697 × 10 8 e 0.072   T
The temperature, T , is the absolute value (expressed in kelvins). By applying the perfect gas law, the air density temperature dependence is given by the following equation:
ρ a i r = 353.06 T 1
Thus, the diffusion coefficient of the vapor water in the cob material and the convective mass transfer coefficient are also temperature-dependent. Their values were determined by fitting the experimental results. Finally, accurate modeling of the water vapor transport in the material is necessary to establish the effective temperature at each point of the material. Thus, thermal transfer was also studied.
The convective heat flow, Φ (W), is determined using Newton’s law [28]:
Φ = h S Δ T
where h is the heat transfer coefficient, and Δ T is the temperature difference between the material surface and the ambient air. Inside the material, the temperature profile is computed using the heat transfer equation; this transfer is assumed to be unidirectional and the thermo-physical properties to not be dependent upon the temperature and humidity.
² T x ² = 1 α T t
Here, α is the thermal diffusivity of the material, otherwise estimated to be equal to 2.14 × 10−7 m2·s−1, according to the thermo-physical properties (thermal conductivity and heat capacity).
These differential equations were solved iteratively using the explicit difference method. Discrete equations were based on the finite difference formula for the spatial and temporal differential terms. The physical parameters were computed using an iterative method. Validation of the proposed model was carried out on the basis of the experimental results.

4. Results and Analysis

4.1. Moisture Diffusion with a Temperature Difference

In this section, the structural material is placed between two chambers and then submitted to a zero, positive and negative temperature gradient during the water vapor diffusion process. Figure 4 shows three scenarios that were tested using the saturated saline solution K2SO4, allowing for a relative humidity of around 80%.
The first analysis of the results considers the transient regime and shows how relative humidity varies with temperature, along with the effect of temperature on the equilibrium time. The second analysis considers a steady-state regime and establishes the amount of water vapor that would diffuse through the material in response to variations in the ambient temperature. In the first scenario, the material was maintained under isothermal conditions at T = 22 °C. Water diffusion takes place through the surface of the material because of the high level of water concentration generated by the salt solution in the bottom chamber. The corresponding measured humidity at equilibrium was recorded at about 87% at the bottom chamber. Figure 5 shows the measured time variation of relative humidity at various depths in the tested material. The kinetics of the increase in relative humidity in the material is significantly higher at a depth of 2 cm (70%) than at a depth of 5 cm (60%) and also at the top surface (50%). This is due to the process of vapor diffusion through the sample; the closer the area is to the source of the moisture, the faster the increase. As mentioned previously, the diffusion of water vapor inside a material occurs due to a difference in vapor pressure. This diffusion passes from high vapor pressure to low vapor pressure. In the present case, the vapor pressure was 2320 Pa in the bottom chamber and 1350 Pa in the top chamber [29]. It can also be seen that an optimal state of equilibrium was reached after 5 days. Figure 5b illustrates the temperature distribution inside the material, as well as in the environment of the two chambers. From Figure 5, it can clearly be seen that the temperature remained constant throughout the test period, with slight disturbances to the order of 0.5 °C, which can be considered negligible. Moreover, these disturbances are minimal and do not significantly affect the results.
The second test consisted of reapplying the salt solution, which produced a relative humidity of about 80%, and setting the temperature at 29 °C in the bottom chamber. The temperature in the top chamber was set at 23 °C. Once the hygric equilibrium had been established, the temperature in the bottom chamber was increased to 32 °C. Figure 6a shows the relative humidity at different positions in the sample. Figure 6b shows that the temperature of the top chamber and the upper material s surface remained constant throughout the test. Indeed, for each test, the ambient temperature in the chamber seemed to be slightly variable; this is because the test required a long duration (3–4 days) and the outside temperature of the experimental setup could not be controlled at a fixed value during this period. For this reason, despite the controlling of chamber temperature, the temperature fluctuation inside the chamber was about 0.4 °C.
The temperature evolution inside the material was low, due to the low thermal conductivity and high heat capacity. It can be seen that when the temperature was 29 °C, hygric equilibrium was reached after 2 days, when the humidity in the bottom chamber became relatively constant and was close to 71%. When the temperature was increased up to 32 °C, the humidity increased to 80%. The humidity measured inside the material began to increase until it reached 81% at a depth of 2 cm, while at a depth of 5 cm, the relative humidity only reached 61% and, at the top surface, the measured humidity was 57%. The water vapor pressure in the bottom chamber was 3780 Pa and it was 1430 Pa in the top chamber. It can also be seen from Figure 6b that when the temperature changed from 29 °C to 32 °C, the temperature at the bottom surface and at a depth of 2 cm decreased proportionally to the humidity increase. This phenomenon may be caused by a probable evaporation phenomenon around the lower surface of the sample, which is an endothermic process that leads to increased vapor mass transfer from the bottom side of the sample to the upper side.
The third scenario consists of applying the two flows in an opposite direction. First, an ambient temperature of 43 °C was applied to the top chamber. Simultaneously, the ambient temperature in the bottom chamber was fixed at 23 °C and the relative humidity was set at 83% in conjunction with the salt solution. Therefore, the vapor transfer moved upward while the moisture flux moved from the top chamber to the bottom chamber. It can clearly be seen in Figure 7a that a state of equilibrium was reached more rapidly, taking less than 2 days. The curves show the progressive changes to the relative humidity inside the material. Figure 7 shows the establishment of a high gradient of humidity on the lower part of the material. At the beginning of the test, the relative humidity measured at the lower surface and to a depth of 3 cm began to increase to 73% and 79%, respectively. Inversely, at a depth of 5 cm and on the upper surface, the humidity dropped from 42% and 46% to 29% and 31%, respectively. In the upper compartment, we can also see that the relative humidity was 42%, which suddenly dropped to 10% due to a gradual increase in temperature from 22 °C to 43 °C.
It has been established that the relative humidity corresponds to the equilibrium, following the local evaporation and condensation rates. Thus, on the bottom surface of the material, condensation seemed to occur because the relative humidity was high, which implies that the rate of condensation was greater than the rate of evaporation. At a depth of 5 cm and on the upper surface, the low relative humidity values mean that the rate of evaporation greatly exceeded the rate of condensation, which resulted in evaporation on this area of the material. These results highlight the strong coupling between heat and relative humidity transfers moving through the material. Figure 7b illustrates the heat variation for the third scenario. It can be seen that temperatures inside the material and at the surface are not constant, but show negligible fluctuations. These variations can be explained by the two phenomena mentioned above, namely, evaporation and condensation inside the material. These phenomena are closely related to one another and are both endothermic and exothermic, contributing to the fluctuations observed in the measured temperatures.
Figure 8 shows the steady state temperature and the average humidity distributions of the ambient air in the chambers and inside the tested sample for the three scenarios. The same saline solution was used for the three tests, but the ambient relative humidity in the bottom chamber was affected by the variations in ambient temperature. For scenario 1, at an ambient temperature of 23 °C, the ambient relative humidity was around 87% in the bottom chamber. For scenario 3, at an ambient temperature of 24 °C, the measurements showed an ambient relative humidity of 84% in the bottom chamber. For scenario 2, at an ambient temperature of 32 °C, the relative humidity was about 79%. It can clearly be seen that the variation in temperature inside the samples was weak compared to the relative humidity responses for the three scenarios. The relative humidity distributions inside the material show that the moisture flux at the bottom of the chamber increased with an increase in the bottom ambient temperature, which, in turn, increased the kinetic energy of the water molecules and encouraged their evaporation.
The steady-state relative humidity distribution tended towards a linear profile in all three scenarios, which approximately characterized the homogeneous moisture diffusion through the tested samples. The difference in relative humidity between the two chambers for the first scenario was about 37%, while for the second test, the difference was about 23%. The third scenario yielded a relative humidity difference of 81% between the bottom and top chambers. It can be concluded that when the moisture flux and heat transfer moved in the same direction, the amount of moisture flux through the material increased with the rise in temperature. Conversely, if the moisture diffusion and heat transfer moved in opposite directions, the moisture flux migrated from the warm compartment to the cooler one, where the moisture content was high. In this case, the decrease in the relative humidity was recorded for the top side, which explains the substantial difference in the relative humidity between the two chambers.

4.2. Effect of Temperature on Sorption Isotherms

The sorption isotherm and the hygroscopic curves describe the equilibrium between water content and relative humidity at a fixed temperature. In the present work, the material samples were dried via heating at a temperature of 40 °C for more than 48 h, in accordance with the international standard, ISO 12570 [30]. After this step, the biosourced samples were exposed successively to increasing levels of relative humidity: 40%, 50%, 60%, 70% and then, at most, 80%, while maintaining a constant temperature in the climatic chamber (23 °C, 30 °C and 45 °C). For each relative humidity level, the sample remained exposed for 5 days. The mass gain measurements were made using a precision balance accurate to 0.001 g.
Based on the sorption isotherm curves, the adsorption capacity was calculated using the following equation:
θ = ( ρ · W ) R H
where θ is the moisture storage capacity ( K g w a t . · m 3 · R H % 1 ) , R H is the relative humidity (%) and ρ is the volumetric density ( K g w a t · m 3 ) and W represents the water content ( K g w a t / K g m a t ) :
W = m m s m s
where m s is the sample’s dry weight (in Kg) and m is the equilibrium sample mass at a given humidity (in Kg).
Figure 9 shows the mass variation of the insulating material over time under different humidity conditions for the selected temperatures. At a constant temperature, the sample mass increased with humidity. With an increasing ambient temperature, the samples reached equilibrium more quickly. The time taken to reach equilibrium at 40% relative humidity and at 45 °C was about one day, whereas the duration was longer than three days at 40% relative humidity and at 23 °C. Therefore, the equilibrium time of the material not only depends on humidity but also on temperature. This result indicates that the diffusion coefficients of the materials varied according to temperature.
Figure 10 shows the measured sorption isotherms according to the air humidity. According to the classification of the IUPAC [21], the present isotherms are of type II. Generally, the sorption isotherms contain three zones related to a particular water fixation mode affecting the materials. The first zone (RH < 35%) represents the molecular monolayer sorption of water on the internal surface of the material. The transition to the next zone (35% < HR < 70%) occurs when the entire surface is saturated, which means that some of the water molecules accumulate on the initial monolayer. For this reason, the second layer is considered to show the isothermal absorption of a multilayer system. The third zone (HR > 70%) represents the region of capillary condensation and occurs when the superposition of the water layers reaches the size of the pores, causing complete filling. This effect increases the water content considerably. The climatic chamber used in this work allowed us to apply a relative humidity of between 35% and 80%. This is the reason why the experimental points are found in the second area, which corresponds to the multilayer adsorption area. The water mass adsorbed by the insulation material at 23 °C varied between 2.62 at 35% RH (kgwat/kgmat of the material in its dry state) to 6.66% at 80% RH. The water mass adsorbed by the structural material varied between 0.6% and 1.5% when the relative humidity varied from 35% to 80%. These values are within the range of values found in the literature regarding earthen building materials [18,31,32,33].
It was also observed that the water content at equilibrium decreased when the temperature increased for a given relative humidity. This result is in accordance with previous studies [34,35,36] showing that the higher the temperature, the less water is adsorbed. In the case of the insulating material, when the relative humidity was 50%, the difference in water content at 23 °C and 45 °C was 1.8%. This difference was about 2.2% for a relative humidity of 80% at the same temperatures. At 30 °C, the difference in water content was 1% for a relative humidity of 50% and a difference of about 1.2% for a relative humidity of 80%. For a structural material at a relative humidity of 80%, the difference in the adsorbed water mass at 30 °C and 23 °C was 0.7%. Whatever the temperature, the adsorption capacity of the structural material remained lower than that of the insulating material, and the adsorption capacity decreased with the increasing temperature. These experimental results highlight the strong influence of temperature on the sorption process in the studied cob materials.
Figure 11 shows the sorption capacity of the various insulating and structural materials, according to humidity, and when the temperature was at 23 °C, 30 °C and 45 °C. It can clearly be seen that, for each temperature value, the absorption capacity of the insulating material was higher than that of the structural material. As example, the sorption capacity at 60% RH and 23 °C for the insulating material is 57.7 (kg·m−3·RH%), and that for the structural material is 34.8 (kg·m−3·RH%). This difference can be explained by the increase in open ports in the insulation due to the higher fiber content. This result confirms that fibers play an important role in the passive regulation of indoor humidity in the building. These results are in good agreement with those of Laborel-Préneron et al. [37], who studied the hygrothermal properties of seven earth-based construction materials containing 0.3% or 6% in weight of barley straw, hemp shiv, or corn cob. Their experimental tests demonstrated that water content increased with an increasing content of bio-aggregates, due to the high porosity of bio-based earth mixtures.

4.3. Water Content Correlation

The water content correlation is assessed by predicting the amount of water that can be absorbed by biosourced materials, according to the environmental conditions. In this work, the measured curves were fitted using the Guggenheim–Anderson–de Boer (GAB) model [38,39]. This model takes into account the interactions between the adsorbed molecules and the adsorption sites, as well as the interactions between the adsorbed molecules themselves. The mass water content (W) is expressed as
W = W w a t K   C   R H ( 1 K   R H ) ( 1 K   R H + C   K   R H )
where W w a t is the water content at the transition between the monolayer and multilayer, wherein monolayer saturation occurs. K is a kinetic constant related to multilayer adsorption, while C is a kinetic constant related to sorption in the first layer.
The GAB model parameters (K and C) were estimated by matching the model curve with the experimental curves. The non-linear least-squares method is used to estimate the parameters, employing the lsqcurvefit function in the MATLAB software. This method allows us to obtain the optimal values for the GAB model parameters that will minimize the difference between the experimental and theoretical curves.
The coefficient of determination, R 2 , is a measure of the model’s quality of fit to the experimental data; an optimal fit was obtained for R 2 , which was close to 1. Conversely, the root mean square ( R M S ) error value measures the accuracy of the model in predicting experimental data [40,41]. Generally, a model with a high R 2 and a low R M S value is considered more effective and relevant.
R 2 = 1 i ( W i W p i ) ² i ( W i W i ¯ ) ²
R M S = 100 × 1 N i = 1 N W i W p i W i 2
Here, 𝑁 represents the number of experimental data points, W i is the experimentally measured moisture content, W p i is the predicted moisture content from the model, and W i ¯ is the mean value of the measured moisture contents.
Table 2 presents the GAB parameters that were estimated for two biosourced materials at different temperatures. Figure 12 compares the experimental data to the GAB model’s prediction and shows that there was a good match between the experimental curve and the analytical curve of the adsorption isotherms for both samples. However, in the case of the structural material at a relative humidity of 40%, the mean square error was higher, compared to the other curves.

4.4. Validation of the Modeling Results

The thermal and hygric properties of the material were used as input data in the modeling process. Thermal conductivity and heat capacity were measured using the guarded hot-plate method. Water vapor permeability was measured using the cup method, according to the recommendations in Ref. [42]. Table 3 shows the material properties and sample sizes used to determine these properties.
As a first step, the thermal model results were compared to the measured results. Figure 13 shows a comparison between the measured temperatures and the steady-state model calculation for the three scenarios studied. Scenario 1 corresponded to the isothermal test, scenario 2 corresponded to an ascending heat flux, and scenario 3 corresponded to a descending flux. The boundary conditions used in the model were based on ambient temperature measurements, i.e., those readings taken in the two chambers. We found a satisfactory agreement between the calculated and measured temperature distributions, with a maximum deviation of about 1.2 °C. However, it is important to note that the error tended to increase with an increasing temperature difference. For example, the error is negligible in scenario 1, where the temperature was constant, but the error is 0.3 °C in scenario 2 and reaches 1.2 °C in scenario 3, where the temperature difference is the greatest.
Figure 14a gives the results of the mass transfer model in terms of water vapor concentration. These results were compared to the computed values from the experimental measurements, with the latter being expressed as relative humidity (RH). The conversion relationships used in this study are as follows:
C = 0.622 P v P a t m P v
where P a t m is the atmospheric pressure (101,325 Pa), and P v is the vapor pressure (Pa), depending on the relative humidity, as follows:
P v = P v s R H 100  
where P v s (Pa) is the saturation vapor pressure:
P v s = exp 51.673 6435 T 1 3.868 L n T
and the temperature T is expressed in kelvins.
Figure 14a presents the results for absolute humidity, as measured and calculated in a steady state for the three scenarios. Figure 14b compares the measured values for relative humidity with the computed values, where the concentration and temperature dependencies of the relative humidity are deducted from Equations (17) and (18). Despite making certain assumptions, the simulations showed a good overall agreement with the measurements, with a maximum error of about 3.2%. With regard to moisture transfer, the results showed that it is necessary to take into account the kinetics of sorption as a function of temperature in order to predict the dynamics of relative humidity reasonably effectively on a small scale.

4.5. The Effect of Thickness and Moisture Flux on the Water Content

Once our model had been validated, our first priority was to assess the impact of heat flux on the quantity of water present, as well as the influence of the thickness of the sample on this measured quantity of water. To achieve this, we performed simulations assuming different thicknesses, namely, 7, 15, 30, 60, 80 and 120 cm, for each scenario. We used the values measured in a steady state as the boundary conditions for each scenario. The initial conditions were a temperature of 23 °C and a humidity of 50% for all the cases studied. The amount of water present in a sample depends on several factors, such as its size, the porosity of the material, the ambient humidity and the water absorption capacity of the material itself. However, in our simulation, all samples were assumed to be in the same environmental conditions, which meant that all other factors were the same, except for the thickness of the sample.
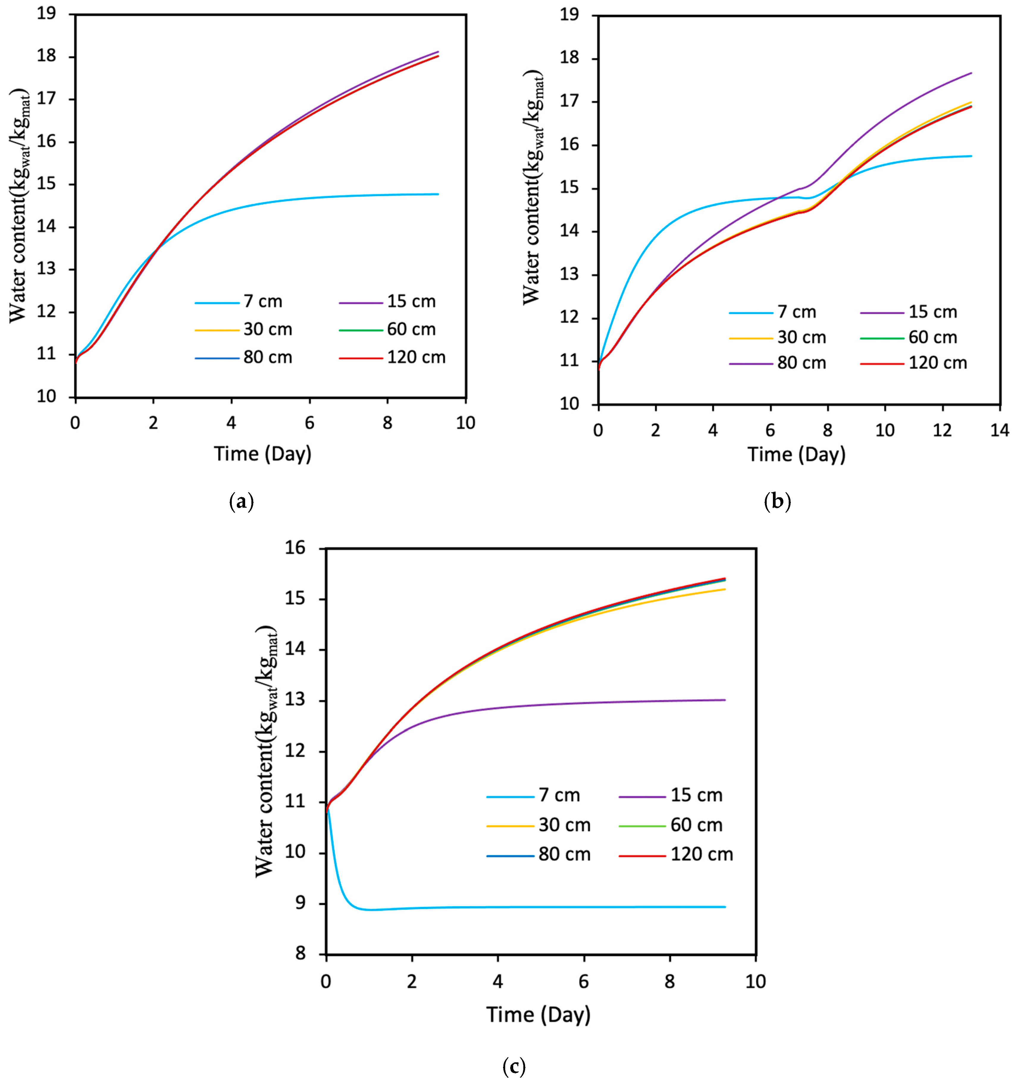
It can be observed from Figure 15 that the water content distribution in scenarios 1 and 2 was initially similar for all thicknesses (Figure 15a,b). This suggests that in these scenarios, samples of different thicknesses have a similar ability to hold water and maintain uniform water content. However, in scenario 3 (Figure 15c), the results indicate that the 7-centimeter- and 15-centimeter-thick samples would differ significantly from the other samples. A possible interpretation is that these greater thicknesses would create a barrier to water migration, causing the water to accumulate in specific areas. In addition, Figure 15 shows that the water content is higher when only moisture flux is present, compared to the other two cases (with heat flow and water flow in the same direction and vice versa). This can be explained by the fact that when only water flow is present, there is no additional dissipation factor that would be caused by heat heterogeneities. Therefore, water has a greater ability to accumulate in these materials, leading to higher water contents. The third scenario represents a case where there is a minimum of water content storage. Another possible interpretation is that the simultaneous presence of water flow and heat flow in opposite directions can create conditions that are less favorable for water retention. The interaction between these two fluxes can disturb the water balance of the sample and favor the loss of water via evaporation. This may explain the lower water content observed in this scenario, compared to the other scenarios.
Figure 16a shows the distribution of water content in scenario 1, which considers only the moisture flux without heat flux. The results refer to the water content measured at a depth of 5 cm. From our observations, we can conclude that the thinner the sample thickness, the more minimal the water content and the faster the water content reaches a steady state. This means that thinner samples have a lower capacity to retain water, which leads to a more rapid increase in water content until a constant value is reached. Figure 16b shows the distribution of water content at different thicknesses in scenario 2, where the heat flux and moisture flux move in the same direction. In this case, there is a difference from the situation where there is no heat flux. Specifically, thinner samples retain a greater percentage of water content. However, it is important to note that the steady state still remains valid, indicating that the thinner the sample, the faster it reaches a steady state. The increase in water content in the thinner samples can be explained by the moisture flux-induced condensation phenomenon. In general, hot air can hold more moisture, which causes evaporation on the surface of the materials and results in condensation inside the materials. Thus, when the thickness of the sample is greater, a spatial distribution of water content occurs. Figure 16c shows the distribution of water content at a depth of 5 cm for different samples of varying thicknesses, ranging from 7 cm to 120 cm, in the context of scenario 3 where the two flows are in opposite directions. From the resulting curves, we can observe that the greater the thickness, the higher the water content. However, when the two flows are moving in the same direction, this relationship reverses. Furthermore, at steady-state levels, it is evident that thinner samples reach this state more quickly. In the specific case of a 7-centimeter-thick sample, the water content decreases relative to other thicknesses, due to the thermal effect being in opposition to the water flux, especially because the test for the 7-centimeter-thick sample is located at a depth of 5 cm, where the thermal flux is more important than the water flux.
Figure 16 provides interesting information that allows us to draw an important conclusion. It is evident that beyond a thickness of 15 cm, the water content curves in the three scenarios overlap. This suggests that after a thickness of 30 cm, the thickness of the material no longer has a significant effect on the water content at a depth of 5 cm. In other words, once the sample reaches a thickness of about 30 cm, adding additional thickness no longer appears to have a measurable impact on the amount of water stored in the material. This observation indicates that there is a limit after which the thickness of the material no longer plays a determining role in the distribution of water content.

4.6. The Time Variation of the Moisture Front Moving into the Cob Material

A more detailed analysis of the time variation of the moisture front moving through the cob material was carried out for the three studied scenarios. Water content was initially fixed at 0.00865 kgwat/kgmat throughout the material and in the top and bottom chambers. Then, the bottom chamber concentration was suddenly increased, up to 0.015 kgwat/kgmat at the time of initiation (t = 0). Thus, water content increased progressively in the cob material according to duration and the distance from the bottom surface. For each node defined in the material, the characteristic time (τ) required to reach 63% of its local steady-state concentration jump was determined. This approach was carried out for the three studied scenarios, using a 7-centimeter-thick sample and applying the temperatures indicated in Table 4. Characteristic times that were obtained when the wall mean temperature was 25 °C are presented in Figure 17.
It can be observed that the characteristic time increases as the front progressed through the cob material in a non-linear way. The characteristic times increased more rapidly on the upstream side of the moisture flux, for an x/e value lower than 60%, than on the downstream side. We also observed that the presence of a thermal gradient in the same direction as the moisture flux reduced the characteristic time (scenario 2 versus scenario 1); conversely, the presence of a thermal gradient in the opposite direction of the flow increased the characteristic times (scenario 3 versus scenario 1).
Thus, the thermal gradient plays the role of an accelerator if it is established in the direction of the flow, then acts as a brake if it established is in the opposite direction. These braking and accelerating effects are present when a temperature gradient exists. Scenario 2 corresponds to the brake being placed downstream of the accelerator; scenario 3 corresponds to it being placed upstream. The visible effects of this on the characteristic times in Figure 17 indicate that most of the wall would reach a steady state of water concentration more rapidly in scenario 2, when a thermal gradient exists in the same direction as the vapor flow. Figure 18 shows the characteristic times when the wall mean temperature is 29 °C. The characteristic times are greatly reduced when the average temperature of the wall rises from 25 to 29 °C. This effect can be explained by the increase in diffusivity with increasing temperature.

5. Conclusions

Cob materials for construction require little grey energy for production, processing and distribution, and they have a neutral or negative CO2 balance, compared to standard materials that are commonly used in traditional building construction. In this work, the effect of temperature on moisture migration inside dual layers of bio-based materials was investigated using mixtures of soil and plant fibers. The thermal insulation material under investigation contained 50% fiber. The structural material had a higher soil composition and lower fiber proportion, in order to provide better structural performance. The results showed that there is a strong relationship between temperature and moisture diffusivity inside the cob material. The warmer the air, the more water vapor it can hold before becoming saturated. Moisture flux through the cob material depends on the ambient temperature; it increases with the increasing temperature.
The influence of temperature on the adsorption isotherm for both materials was examined. Generally, the temperature increase decreased the level of physically adsorbed vapor, due to the exothermic nature of the adsorption phenomenon. It can also raise the capillary phenomenon in different micropores, resulting in reduced water content for a given relative humidity. These two effects lead to a decline in water content at a given relative humidity as the temperature increases.
The modeling outcomes suggest that the materials’ sorption isotherms are accurately described by the GAB model, indicating that the model offers a good representation of the properties of these materials.
A simulation was performed to highlight the effect of environmental temperature and relative humidity on moisture and heat transfer through the building material, along with water content distribution over time. The results obtained from the developed model were compared to the actual measurements. The simulation results show that once the sample reaches a thickness of approximately 30 cm, adding any additional thickness appears to have no measurable impact on the amount of water contained in the material. This observation suggests that there is a limit beyond which the thickness of the material no longer plays a determining role in the distribution of water content.

Author Contributions

Conceptualization, H.L., Y.T., A.G. and M.E.A.; methodology, H.L., A.G. and M.E.A.; software, Y.T., A.-L.T. and M.M.; validation, Y.T. and A.-L.T.; formal analysis, H.L.; investigation, Y.T., H.L., M.E.A., A.G., E.L. and I.V.; data curation, Y.T.; writing—original draft preparation, Y.T.; writing—review and editing, Y.T. and H.L.; supervision, H.L.; project administration, H.L. All authors have read and agreed to the published version of the manuscript.

Funding

This paper is an extension work of the study conducted under the Cobbauge project selected by the European cross-border cooperation program INTEREG V France (Manche)-England. The authors would like to thank ERDF for the funding of this work.

Data Availability Statement

No new data were created or analyzed in this study. Data sharing is not applicable to this article.

Acknowledgments

This work was conducted as part of the CobBauge project selected by the European cross-border cooperation program, INTEREG V France (Manche)–England. The authors would like to thank the ERDF for funding this work.

Conflicts of Interest

The authors declare no conflict of interest.

References

  1. Charlier, D.; Risch, A. Evaluation of the impact of environmental public policy measures on energy consumption and greenhouse gas emissions in the French residential sector. Energy Policy 2012, 46, 170–184. [Google Scholar] [CrossRef]
  2. Pérez-Lombard, L.; Ortiz, J.; Pout, C. A review on buildings energy consumption information. Energy Build. 2008, 40, 394–398. [Google Scholar] [CrossRef]
  3. Bornehag, C.G.; Blomquist, G.; Gyntelberg, F.; Järvholm, B.; Malmberg, P.; Nordvall, L.; Nielsen, A.; Pershagen, G.; Sundell, J. Dampness in buildings and health. Nordic interdisciplinary review of the scientific evidence on associations between exposure to “dampness” in buildings and health effects (NORDDAMP). Indoor Air 2001, 11, 72–86. [Google Scholar] [CrossRef] [PubMed]
  4. Bornehag, C.G.; Sundell, J. Dampness in buildings as a risk factor for health effects. European multidisciplinary review of the entire literature (EUROEXPO). In Proceedings of the 9th International Conference on Indoor Air Quality and Climate, Monterey, CA, USA, 30 June–5 July 2002. [Google Scholar]
  5. Goodhew, S.; Griffiths, R. Sustainable earth walls to meet the building regulations. Energy Build. 2005, 37, 451–459. [Google Scholar] [CrossRef]
  6. Vinceslas, T.; Lecompte, T.; Hamard, E.; de Ménibus, A.H.; Lenormand, H.; Colinart, T. Methods to evaluate earth slip cohesion to build with light earth. Constr. Build. Mater. 2020, 238, 117665. [Google Scholar] [CrossRef]
  7. Chennouf, N.; Agoudjil, B.; Alioua, T.; Boudenne, A.; Benzarti, K. Experimental investigation on hygrothermal performance of a bio-based wall made of cement mortar filled with date palm fibers. Energy Build. 2019, 202, 109413. [Google Scholar] [CrossRef]
  8. Brouard, Y.; Belayachi, N.; Hoxha, D.; Ranganathan, N.; Méo, S. Mechanical and hygrothermal behavior of clay–Sunflower (Helianthus annuus) and rape straw (Brassica napus) plaster bio-composites for building insulation. Constr. Build. Mater. 2018, 161, 196–207. [Google Scholar] [CrossRef]
  9. Bui, Q.; Morel, J.; Reddy, B.V.; Ghayad, W. Durability of rammed earth walls exposed for 20 years to natural weathering. Build. Environ. 2009, 44, 912–919. [Google Scholar] [CrossRef]
  10. Minke, G. Building with earth. In Building with Earth; Birkhäuser: Basel, Switzerland, 2013. [Google Scholar]
  11. Ramesh, M.; Palanikumar, K.; Reddy, K.H. Plant fibre based bio-composites: Sustainable and renewable green materials. Renew. Sustain. Energy Rev. 2017, 79, 558–584. [Google Scholar] [CrossRef]
  12. Laborel-Préneron, A.; Ouédraogo, K.; Simons, A.; Labat, M.; Bertron, A.; Magniont, C.; Roques, C.; Roux, C.; Aubert, J.-E. Laboratory test to assess sensitivity of bio-based earth materials to fungal growth. Build. Environ. 2018, 142, 11–21. [Google Scholar] [CrossRef]
  13. Laborel-Préneron, A.; Aubert, J.E.; Magniont, C. Influence de la teneur en chènevotte sur les performances mécaniques et les propriétés hygrothermiques d’un éco-matériau à base de terre crue. In Proceedings of the Internationale Francophone NoMaD, Douai, France, 5–6 November 2015. [Google Scholar]
  14. Charai, M.; Mezrhab, A.; Moga, L. A structural wall incorporating biosourced earth for summer thermal comfort improvement: Hygrothermal characterization and building simulation using calibrated PMV-PPD model. Build. Environ. 2022, 212, 108842. [Google Scholar] [CrossRef]
  15. Palumbo, M.; Lacasta, A.M.; Giraldo, M.P.; Haurie, L.; Correal, E. Bio-based insulation materials and their hygrothermal performance in a building envelope system (ETICS). Energy Build. 2018, 174, 147–155. [Google Scholar] [CrossRef]
  16. Belarbi, Y.E.; Sawadogo, M.; Poullain, P.; Issaadi, N.; Hamami, A.E.A.; Bonnet, S.; Belarbi, R. Experimental Characterization of Raw Earth Properties for Modeling Their Hygrothermal Behavior. Buildings 2022, 12, 648. [Google Scholar] [CrossRef]
  17. Colinart, T.; Vinceslas, T.; Lenormand, H.; De Menibus, A.H.; Hamard, E.; Lecompte, T. Hygrothermal properties of light-earth building materials. J. Build. Eng. 2020, 29, 101134. [Google Scholar] [CrossRef]
  18. Rahim, M.; Douzane, O.; Tran Le, A.; Promis, G.; Langlet, T. Characterization and comparison of hygric properties of rape straw concrete and hemp concrete. Constr. Build. Mater. 2016, 102, 679–687. [Google Scholar] [CrossRef]
  19. Zeghari, K.; Gounni, A.; Louahlia, H.; Marion, M.; Boutouil, M.; Goodhew, S.; Streif, F. Novel Dual Walling Cob Building: Dynamic Thermal Performance. Energies 2021, 14, 7663. [Google Scholar] [CrossRef]
  20. Karoglou, M.; Moropoulou, A.; Maroulis, Z.; Krokida, M. Water Sorption Isotherms of Some Building Materials. Dry. Technol. 2005, 23, 289–303. [Google Scholar] [CrossRef]
  21. Reuge, N.; Collet, F.; Pretot, S.; Moisette, S.; Bart, M.; Style, O.; Shea, A.; Lanos, C. Hygrothermal effects and moisture kinetics in a bio-based multi-layered wall: Experimental and numerical studies. Constr. Build. Mater. 2020, 240, 117928. [Google Scholar] [CrossRef]
  22. Moujalled, B.; Ouméziane, Y.A.; Moissette, S.; Bart, M.; Lanos, C.; Samri, D. Experimental and numerical evaluation of the hygrothermal performance of a hemp lime concrete building: A long term case study. Build. Environ. 2018, 136, 11–27. [Google Scholar] [CrossRef]
  23. Axley, J.W. Adsorption Modelling for Building Contaminant Dispersal Analysis. Indoor Air 1991, 1, 147–171. [Google Scholar] [CrossRef]
  24. Blondeau, P.; Tiffonnet, A.L.; Allard, F.; Haghighat, F. Physically Based Modelling of the Material and Gaseous Contaminant Interactions in Buildings: Models, Experimental Data and Future Developments. Adv. Build. Energy Res. 2008, 2, 57–93. [Google Scholar] [CrossRef]
  25. Masel, R.I. Principles of Adsorption and Reaction on Solid Surfaces; John Wiley & Sons: Hoboken, NJ, USA, 1996. [Google Scholar]
  26. Ruthven, D.M. Principles of Adsorption and Adsorption Processes; John Wiley & Sons: Hoboken, NJ, USA, 1984. [Google Scholar]
  27. Hoàng, X. Mass-Transfer Operations, Third Edition. Consulté le: 27 2023. [En ligne]. Available online: https://www.academia.edu/29542203/Mass_Transfer_Operations_Third_Edition (accessed on 25 May 2023).
  28. Bejan, A. Convection Heat Transfer; John Wiley & Sons: Hoboken, NJ, USA, 2013. [Google Scholar]
  29. Collet, F.; Pretot, S. Experimental highlight of hygrothermal phenomena in hemp concrete wall. Build. Environ. 2014, 82, 459–466. [Google Scholar] [CrossRef]
  30. ISO 12570: 2000; Hygrothermal Performance of Building Materials and Products—Determination of Moisture Content by Drying at Elevated Temperature. British Standards Institution: London, UK, 2000.
  31. Saidi, M.; Cherif, A.S.; Zeghmati, B.; Sediki, E. Stabilization effects on the thermal conductivity and sorption behavior of earth bricks. Constr. Build. Mater. 2018, 167, 566–577. [Google Scholar] [CrossRef]
  32. Palumbo, M. Contribution to the Development of New Bio-Based Thermal Insulation Materials Made from Vegetal Pith and Natural Binders: Hygrothermal Performance, Fire Reaction and Mould Growth Resistance. Ph.D. Thesis, Universitat Politècnica de Catalunya, Barcelona, Spain, 2015. [Google Scholar]
  33. Maalouf, C.; Umurigirwa, B.S.; Viens, N.; Lachi, M.; Mai, T.H. Study of the hygric behaviour and moisture buffering performance of a hemp–starch composite panel for buildings. BioResources 2015, 10, 336–347. [Google Scholar] [CrossRef]
  34. Poyet, S. Experimental investigation of the effect of temperature on the first desorption isotherm of concrete. Cem. Concr. Res. 2009, 39, 1052–1059. [Google Scholar] [CrossRef]
  35. Daian, J.-F. Condensation and isothermal water transfer in cement mortar Part I—Pore size distribution, equilibrium water condensation and imbibition. Transp. Porous Media 1988, 3, 563–589. [Google Scholar] [CrossRef]
  36. de Burgh, J.M.; Foster, S.J. Influence of temperature on water vapour sorption isotherms and kinetics of hardened cement paste and concrete. Cem. Concr. Res. 2017, 92, 37–55. [Google Scholar] [CrossRef]
  37. Laborel-Préneron, A.; Magniont, C.; Aubert, J.-E. Hygrothermal properties of unfired earth bricks: Effect of barley straw, hemp shiv and corn cob addition. Energy Build. 2018, 178, 265–278. [Google Scholar] [CrossRef]
  38. Timmermann, E.O. Multilayer sorption parameters: BET or GAB values? Colloids Surfaces A Physicochem. Eng. Asp. 2003, 220, 235–260. [Google Scholar] [CrossRef]
  39. Colinart, T.; Glouannec, P. Temperature dependence of sorption isotherm of hygroscopic building materials. Part 1: Experimental evidence and modeling. Energy Build. 2017, 139, 360–370. [Google Scholar] [CrossRef]
  40. Alamri, M.S.; Mohamed, A.A.; Hussain, S.; Ibraheem, M.A.; Qasem, A.A.A. Determination of Moisture Sorption Isotherm of Crosslinked Millet Flour and Oxirane Using GAB and BET. J. Chem. 2018, 2018, 2369762. [Google Scholar] [CrossRef]
  41. Kaya, S.; Kahyaoglu, T. Thermodynamic properties and sorption equilibrium of pestil (grape leather). J. Food Eng. 2005, 71, 200–207. [Google Scholar] [CrossRef]
  42. ISO 12572:2016; Performance Hygrothermique des Matériaux et Produits Pour le Bâtiment—Détermination des Propriétés de Transmission de la Vapeur d’eau—Méthode de la Coupelle. ISO: Geneva, Switzerland. Available online: https://www.iso.org/fr/standard/64988.html (accessed on 25 May 2023).
Figure 1. The test cup’s experimental setup.
Figure 1. The test cup’s experimental setup.
Energies 16 05526 g001
Figure 2. French soils and fibers used in the cob mixes: (a) the insulating soil; (b) the structural soil; (c) flax straw and reed fibers.
Figure 2. French soils and fibers used in the cob mixes: (a) the insulating soil; (b) the structural soil; (c) flax straw and reed fibers.
Energies 16 05526 g002
Figure 3. The physical model description.
Figure 3. The physical model description.
Energies 16 05526 g003
Figure 4. Experimental conditions for heat and mass transfer in the cob samples.
Figure 4. Experimental conditions for heat and mass transfer in the cob samples.
Energies 16 05526 g004
Figure 5. Variations in RH (a) and temperature (b) at various depths over time in the first experiment.
Figure 5. Variations in RH (a) and temperature (b) at various depths over time in the first experiment.
Energies 16 05526 g005
Figure 6. The impact of ambient temperature variation: (a) relative humidity distribution, (b) temperature distribution.
Figure 6. The impact of ambient temperature variation: (a) relative humidity distribution, (b) temperature distribution.
Energies 16 05526 g006
Figure 7. Variation over time of relative humidity (a) and temperature (b) at different depths in the third scenario.
Figure 7. Variation over time of relative humidity (a) and temperature (b) at different depths in the third scenario.
Energies 16 05526 g007
Figure 8. The spatial response of (a) the temperature and (b) the relative humidity at equilibrium in the three scenarios.
Figure 8. The spatial response of (a) the temperature and (b) the relative humidity at equilibrium in the three scenarios.
Energies 16 05526 g008
Figure 9. Mass variation sample of the insulating material versus time for different temperatures.
Figure 9. Mass variation sample of the insulating material versus time for different temperatures.
Energies 16 05526 g009
Figure 10. Sorption isotherms of the insulating and structural materials versus humidity for different temperatures.
Figure 10. Sorption isotherms of the insulating and structural materials versus humidity for different temperatures.
Energies 16 05526 g010
Figure 11. The sorption capacity curve of structural and insulating materials as a function of humidity for different temperatures.
Figure 11. The sorption capacity curve of structural and insulating materials as a function of humidity for different temperatures.
Energies 16 05526 g011
Figure 12. Smoothing of the sorption isotherms using the GAB model.
Figure 12. Smoothing of the sorption isotherms using the GAB model.
Energies 16 05526 g012
Figure 13. Comparison of the modeling and measured temperatures for the three scenarios.
Figure 13. Comparison of the modeling and measured temperatures for the three scenarios.
Energies 16 05526 g013
Figure 14. Comparison of the modeling results and measurements: (a) absolute humidity, (b) relative humidity.
Figure 14. Comparison of the modeling results and measurements: (a) absolute humidity, (b) relative humidity.
Energies 16 05526 g014
Figure 15. The water content distribution for the different thicknesses in the three scenarios, with (a) scenario 1, (b) scenario 2 and (c) scenario 3.
Figure 15. The water content distribution for the different thicknesses in the three scenarios, with (a) scenario 1, (b) scenario 2 and (c) scenario 3.
Energies 16 05526 g015
Figure 16. The effect of thickness on water content distribution over a depth of 5 cm, with (a) scenario 1, (b) scenario 2 and (c) scenario 3.
Figure 16. The effect of thickness on water content distribution over a depth of 5 cm, with (a) scenario 1, (b) scenario 2 and (c) scenario 3.
Energies 16 05526 g016
Figure 17. Characteristic times at 25 °C.
Figure 17. Characteristic times at 25 °C.
Energies 16 05526 g017
Figure 18. Characteristic times at 29 °C.
Figure 18. Characteristic times at 29 °C.
Energies 16 05526 g018
Table 1. Sensor accuracy and the measurement range.
Table 1. Sensor accuracy and the measurement range.
SensorAccuracyMeasurement Range
Temperature and humidity sensor (HMP110)±1.5%
±0.4 °C
RH: [0, 90%]
T: [0, 80 °C]
Relative humidity (HIH-400-003)±3.5% [0, 100%]
Temperature (type K)±0.5 °C[−50 °C, 250 °C]
Table 2. The GAB model parameters for the adsorption isotherms for both samples at different temperatures.
Table 2. The GAB model parameters for the adsorption isotherms for both samples at different temperatures.
MaterialTemperature W w a t KCRMS (%)R2
23 °C0.0360.7252.5381.3350.998
Insulating30 °C0.0470.6680.9791.1500.999
45 °C0.3670.6490.0594.1580.994
Structural23 °C0.0060.8024.080.7160.999
30 °C0.0970.7040.03110.4090.979
Table 3. The properties of the material.
Table 3. The properties of the material.
TestSample Dimensions (cm3)Sample Properties
Thermal conductivity [w· m 1 · K 1 ]20 × 20 × 50.25
Specific heat capacity
[J· g 1 · K 1 ]
20 × 20 × 50.81
Water vapor permeability [Kg· m 1 · s 1 · P a 1 ]7 × 7 × 74 × 10 11
Table 4. Operating conditions.
Table 4. Operating conditions.
ScenarioTbottom-room (°C)Ttop-room (°C)Tbottom-room (°C)Ttop-room (°C)
Mean Wall Temperature = 25 °CMean Wall Temperature = 29 °C
Scenario 125252929
Scenario 231193523
Scenario 319312335
Disclaimer/Publisher’s Note: The statements, opinions and data contained in all publications are solely those of the individual author(s) and contributor(s) and not of MDPI and/or the editor(s). MDPI and/or the editor(s) disclaim responsibility for any injury to people or property resulting from any ideas, methods, instructions or products referred to in the content.

Share and Cite

MDPI and ACS Style

Taouirte, Y.; Tiffonnet, A.-L.; Marion, M.; Louahlia, H.; El Alami, M.; Gounni, A.; Lépinasse, E.; Voicu, I. Effect of Temperature on Moisture Migration in Earth and Fiber Mixtures for Cob Materials. Energies 2023, 16, 5526. https://doi.org/10.3390/en16145526

AMA Style

Taouirte Y, Tiffonnet A-L, Marion M, Louahlia H, El Alami M, Gounni A, Lépinasse E, Voicu I. Effect of Temperature on Moisture Migration in Earth and Fiber Mixtures for Cob Materials. Energies. 2023; 16(14):5526. https://doi.org/10.3390/en16145526

Chicago/Turabian Style

Taouirte, Yousra, Anne-Lise Tiffonnet, Michael Marion, Hasna Louahlia, Mustapha El Alami, Ayoub Gounni, Eric Lépinasse, and Ionut Voicu. 2023. "Effect of Temperature on Moisture Migration in Earth and Fiber Mixtures for Cob Materials" Energies 16, no. 14: 5526. https://doi.org/10.3390/en16145526

APA Style

Taouirte, Y., Tiffonnet, A.-L., Marion, M., Louahlia, H., El Alami, M., Gounni, A., Lépinasse, E., & Voicu, I. (2023). Effect of Temperature on Moisture Migration in Earth and Fiber Mixtures for Cob Materials. Energies, 16(14), 5526. https://doi.org/10.3390/en16145526

Note that from the first issue of 2016, this journal uses article numbers instead of page numbers. See further details here.

Article Metrics

Back to TopTop