Next Article in Journal
Analytical Approach for Sharp Corner Reconstruction in the Kernel Free Boundary Integral Method during Magnetostatic Analysis for Inductor Design
Previous Article in Journal
Robust Fractional-Order Proportional-Integral Controller Tuning for Load Frequency Control of a Microgrid System with Communication Delay
 
 
Font Type:
Arial Georgia Verdana
Font Size:
Aa Aa Aa
Line Spacing:
Column Width:
Background:
Article

Low-Temperature Sinterable Cu@Ag Paste with Superior Strength Driven by Pre-Heating Process

Electronic Convergence Material & Device Research Center, Korea Electronics Technology Institute (KETI), 25, Saenari-ro, Seongnam-si 13509, Gyeonggi-do, Republic of Korea
*
Author to whom correspondence should be addressed.
Energies 2023, 16(14), 5419; https://doi.org/10.3390/en16145419
Submission received: 25 May 2023 / Revised: 12 July 2023 / Accepted: 13 July 2023 / Published: 17 July 2023
(This article belongs to the Section E: Electric Vehicles)

Abstract

To preserve the structural integrity of power semiconductor devices, ensuring a reliable connection between wide-bandgap (WBG) chips and their substrates at temperatures above 200 °C is crucial. Therefore, easily processable chip-attach materials with high bonding strengths at high temperatures should be developed. Herein, we determined the optimal pre-heating conditions of chip-attach materials to achieve highly reliable WBG semiconductor devices. Sintering with silver-coated copper (Cu@Ag) particle paste was investigated as a model system for chip attachment in electric power devices. After printing the paste onto a direct-bonded ceramic substrate and placing the Si chip on the paste, the pre-heating process was conducted at 50 and 70 °C for different periods of time. Finally, the samples were sintered at a pressure of 9 MPa at 250 °C in an N2 atmosphere for 1 h. The quality of the obtained Cu@Ag joints significantly varied depending on the pre-heating temperature and time. When Cu@Ag joints were pre-heated at 50 °C, more reliable and reproducible bonding was achieved than at 70 °C. In particular, high-quality sintered joints were obtained with a pre-heating time of 4 min. However, after excessive pre-heating time, cracks and voids were generated impacting negatively the performance of the sintered joints.

1. Introduction

Power devices based on wide-bandgap (WBG) semiconductors, including silicon carbide and gallium nitride, have attracted significant attention because of their ability to operate at higher temperatures, voltages, and frequencies [1,2,3,4]. Compared to conventional silicon-based power devices, the operating temperature of the power devices based on WBG semiconductors can exceed 200 °C [5,6,7,8], suggesting that their size and weight can be reduced by reducing the number and dimensions of the cooling parts. Therefore, there is an increasing demand for developing highly robust interconnection materials that help maintain the linkage between WBG chips and substrates at high temperatures and thus preserve the structural integrity of the devices [9]. Although traditional lead-free solders, such as Sn-Ag and Sn-Ag-Cu, are effective in Si chip bonding [10,11], they exhibit poor reliability at temperatures above 200 °C because of their low melting point (below 300 °C) [12,13]. Thus, developing alternative chip-attach materials, which can be easily processed at low temperatures and exhibit reliable bonding strength at high temperatures and exceptional electrical/thermal conductivity, has become an area of great interest in recent research.
Among the various chip-attach materials for WBG devices, sinterable metallic-particle-based pastes have received the most attention owing to their high melting temperatures and attractive properties, including intrinsically superior electrical and thermal conductivities [14,15,16,17,18,19]. For example, metallic-particle-based pastes, including silver, copper, and Ag-coated Cu particles (Cu@Ag), demonstrate high electrical and thermal conductivities and are, therefore, considered promising chip-attach materials [20,21,22]. Because the bonding behavior at the joints critically determines the reliability of the bonding for chip-attach materials, various sintering processing parameters (e.g., pre-heating conditions, heating rate, sintering temperature, atmosphere, pressure, and time) of metallic-particle-based pastes have been well studied [14,23]. For example, Chen et al. [24] evaluated the properties of a hybrid paste consisting of micro-Ag flake particles and sintered Ag spherical particles in the air and N2 atmosphere. They showed that the Ag nanoparticle-based layer is formed when the nanoparticles are sintered in air, and a strong necking occurs between them. Calabretta et al. [25] analyzed the effect of three different pressure values on Ag sintering, and performed thermal and reliability stress tests to confirm the deterioration of the sintered layer. Furthermore, Yan et al. [26] presented a method for sintering Ag pastes in formic acid vapor using a vacuum reflowing furnace. The Ag paste in formic acid vapor was densely sintered and oxidation of the direct bond ceramic (DBC) substrate could be prevented. The pre-heating process, which is one of the important sintering processing parameters, is conventionally conducted to remove the solvent before the sintering step, and avoid rapid volatilization during sintering to prevent interfacial cracks and voids within the sintered joint [27]. Although a few studies investigating the effect of sintering processing parameters on the bonding behavior of metallic-particle-based pastes have been reported [13], the effect of pre-heating on the sintering joint characteristics and microstructure has not yet been thoroughly investigated.
In this study, we systematically investigated the pre-heating process of pastes to achieve a robust sintered bonding microstructure. We prepared a Cu@Ag particle-incorporated paste as the model paste, and conducted a two-step sintering process involving pre-heating the screen-printed Cu@Ag paste under an N2 atmosphere followed by sintering in an infrared oven to examine the effect of the pre-heating process (Figure 1). Further, we characterized the rheological properties of the Cu@Ag paste under various pre-heating conditions (e.g., pre-heating temperature and time). Furthermore, based on extensive analyses of the Cu@Ag joint microstructures formed under various pre-heating conditions, a sintering mechanism of our pre-heated and sintered Cu@Ag chip-attachment joints is proposed here, and the best conditions to achieve a highly sintered network are determined.

2. Material and Methods

2.1. Materials

Ag-coated Cu powder (Cu@Ag, 1100Y) with a D50 size of 1.1 μm was purchased from Mitsui (Tokyo, Japan). Ethanol and n-hexane were purchased from Samchun Chemical Co., Ltd. (Seoul, Republic of Korea). Alkyl-thiol and anhydrous terpineol were purchased from Sigma-Aldrich (Burlington, MA, USA). DBC substrates composed of Al2O3 (thickness of 0.63 mm) and electroplated Cu (thickness of 0.3 mm) with dimensions of 6 mm × 6 mm were purchased from Ferrotec (Tokyo, Japan).

2.2. Preparation of Cu@Ag Paste

Before the preparation of the Cu@Ag pastes, the surface of the Cu@Ag particles was modified with alkyl chains to prevent aggregation. First, Cu@Ag powder, ethanol, and alkyl-thiol were added to a 250 mL flask and stirred at 40 °C. After 24 h of stirring, the surface-treated Cu@Ag powder was purified by repeated centrifugation in n-hexane. Then, the evaporation process was conducted at 60 °C in a vacuum to remove any remaining solvent and to obtain a purified Cu@Ag powder. Finally, the Cu@Ag powder and terpineol were homogeneously mixed using a planetary mixer (ARE-310, Thinky, Laguna Hills, CA, USA) to prepare the Cu@Ag paste.

2.3. Sintering Process of Cu@Ag Paste

To investigate the performance of the Cu@Ag paste as a chip-attach material, the paste was printed on the Cu DBC with a size of 3 mm × 3 mm using a metal mask and a 3 mm × 3 mm Ag-finished Si chip was mounted on the Cu@Ag paste with a pressure of 0.02 MPa. The bottom faces of as-received Si chips used in the present research were metalized with a Ti/Ni/Ag multi-layer metallization, and the Ag outermost layer had a thickness of 600 nm. Subsequently, the Si chip-mounted DBC was pre-heated in an N2 atmosphere for 0.5, 1, 4, 7, and 14 min at 50 and 70 °C. After pre-heating, the obtained Si chip-mounted DBC was sintered at 250 °C for 1 h under 9 MPa in an N2 atmosphere.

2.4. Characterization

The rheological characteristics of the Cu@Ag pastes were determined at 50 °C using a Brookfield DVNext rheometer (Manassas, VG, USA) equipped with a CPA-51Z spindle. The viscosity was measured at a shear rate of 10 rpm. To analyze the mechanical properties of the sintered Cu@Ag paste, the shear strength was evaluated using a shear tester (Dage 4000, Decatur, GA, USA) with a 200 kg chip shear module and shear speed of 10 mm/min and test height at 10 μm. The aspect of the Si chip-mounted DBC after sintering was monitored using an optical microscope (S9i; Leica, Wetzler, Germany). The cross-sectional morphologies of the Si chip and sintered Cu@Ag pastes were characterized using a scanning electron microscope (SEM; S-4800, HITACHI, Tokyo, Japan) with an acceleration voltage of 15 kV. The particle size of the Cu@Ag powder was examined using a particle size analyzer (LV-960V2, HORIBA, Tokyo, Japan). The amount of solvent and organic compounds inside the Cu@Ag paste as a function of pre-heating time was measured using a thermogravimetric analyzer (STA Q600, TA Instruments, New Castle, DE, USA). After deducing the amount of solvent and organic compounds present in the center and at the edge of the paste-printed area at different pre-heating times, the weight of the paste was measured up to 400 °C (heating rate: 10 °C min−1) in an N2 atmosphere using a thermogravimetric analyzer.

3. Results and Discussion

Pre-heating is reportedly conducted at approximately 50–100 °C, below the conventional sintering temperature of the paste [28,29]. To monitor the thermal degradation behavior of the Cu@Ag paste used in this study and determine its pre-heating conditions, a TGA analysis was conducted. As shown in Figure 2a, the weight of the Cu@Ag paste decreases from 50 °C and reduces rapidly from 120 °C to approximately 10% due to the evaporation and thermal degradation of organic vehicles, including terpineol. To obtain a sintered microstructure with dense networks by escaping the organic component, we set the pre-heating temperature to around 50~70 °C. Figure 2b shows the changes in viscosity of the Cu@Ag paste at different pre-heating times at 50 °C and confirms that the viscosity increases with the increasing pre-heating time. Starting with a viscosity of approximately 6000 cps, it linearly increased until 7 min (7800 cps), followed by a sudden rise after 8 min. After 25 min of pre-heating, the viscosity reached 21,130 cps, which is more than three times higher than the initial viscosity of the paste. The viscosity of the Cu@Ag paste changes over time because terpineol volatilizes at 50 °C. Therefore, it can also be expected that the sintering characteristics will change as the pre-heating time increases.
To investigate the effect of pre-heating time on sintered Cu@Ag joints, the pre-heating time-dependent shear strength of the chip was measured after the pressure sintering under the same sintering conditions (250 °C, 60 min, 9 MPa). Figure 3 compares the shear strength of the chip and the sintered bonding thickness at different pre-heating times. As shown in Figure 3a, when pre-heated at 50 °C, the highest shear strength (48.4 MPa) and the lowest bonding thickness of the paste (3 μm) can be observed at 0.5 min. The shear strength decreases from 0.5 to 7 min and the thickness increases as the pre-heating time elapses. As the pre-heating time increased from 7 min to 14 min, its shear strength increased from 12.5 MPa to 16.9 MPa and thickness decreased by approximately 10 μm. Figure 3b shows the bonding strength and thickness variations over time when the paste was pre-heated at 70 °C. At the pre-heating time of 0.5 min, there was a difference of approximately 20 MPa in the bonding strength measured at 50 and 70 °C. Furthermore, the joint strength values at 70 °C exhibited large standard deviations. Because low shear strength of the chip with a broad standard deviation indicates poor reliability of the joints, pre-heating the Cu@Ag paste at 70 °C seems inferior to doing so at 50 °C. At both 50 and 70 °C, the thickness of the sintered paste increased as the pre-heating time was increased. Subsequently, the paste was expected to solidify at a specific time and remain solid, and the thickness would not change. However, as shown in Figure 3a,b, the thickness decreased after a specific time.
To further explore this phenomenon, microscopic analysis was conducted to analyze the sintered joints. As shown in Figure 4 and Figure 5, an over-fillet of the Cu@Ag paste beneath the chip was observed in the top area of sintered samples after the pre-heating at 50 and 70 °C. The Cu@Ag paste was spread on the surface of the chip at the pre-heating times of 0.5 and 1 min (Figure 4a,b). Furthermore, a relatively large amount of Cu@Ag paste was distributed on the side of the chip compared with the bottom. When the pre-heating time is insufficient in the pressure sintering process, the paste overflows from the chip and covers the surface of the chip with a very thin paste layer. After pressure sintering, cracks were observed on the outside fillet of the sintered joint at 0.5 min. When the pre-heating time was too short, the solvent in the Cu@Ag paste was assumed to volatilize rapidly at the edges of the sintered joint during the sintering, forming micro-cracks that propagated at the bonding interfaces between the Cu@Ag particles. After 4 min, the Cu@Ag paste did not flow off the chip and the fillets were adequately formed. The sintered joint had a thickness of 64 μm and no cracks were observed. As shown in Figure 4d,e, when the pre-heating was performed for 7 min or more, the paste did not spread to both sides, fillets were not formed, and crack propagation at the fillets were observed. Moreover, the thickness of the paste was lower at 14 min than at 7 min and a vertical void was also observed.
Figure 5 shows that the paste overflowed from the chip when pre-heated at 70 °C for 0.5 and 1 min. The cross-sectional SEM images in Figure 5a,b show that the fillet covers the top of the chip, and cracks appear on the chip. When pressure sintering was performed after 4 min of pre-heating, suitable fillets were formed, while large vertical cracks and voids were observed in the corresponding cross-sectional SEM image (Figure 5c). When the pre-heating time was increased to 7 min or more, the paste at the edges dried and fillets were not formed. Moreover, longer and larger cracks were generated when the paste was pre-heated at 70 °C than at 50 °C. Therefore, we suggest that the pre-heating process at 50 °C is necessary to obtain high-quality joints of sintered Cu@Ag paste. Future discussions will focus on the results obtained under this condition.
If the pre-heating time is short, the paste spreads on the chip when pressure is applied. In contrast, if the pre-heating time is too long, the paste hardens and does not spread even if pressure is applied. Therefore, as the pre-heating time continues to increase, the thickness of the paste increases and, after a certain period, the thickness of the paste is expected to be constant.
The Cu@Ag particle size was measured with the pre-heating time and the cause of the decrease in thickness after a certain period was analyzed. Figure 6 shows the change in the median particle size (D50) of the Cu@Ag particles with the increasing pre-heating time. When dried at room temperature for 240 min, the Cu@Ag particles retained their original size of 1.3 µm, indicating that the Cu@Ag particles did not aggregate at the initial stage. After 20 min of pre-heating, the D50 of the Cu@Ag particles increased to approximately 1.74 µm, suggesting that the aggregation of the Cu@Ag particles occurred. Therefore, it can be assumed that the pre-heating at 50 °C densifies the particles because of the evaporation of the solvent within the paste, thereby reducing the thickness of the bonding layer [30,31]. This result agrees with the decreasing tendency of the joint thickness after a specific pre-heating time, as shown in Figure 4 and Figure 5.
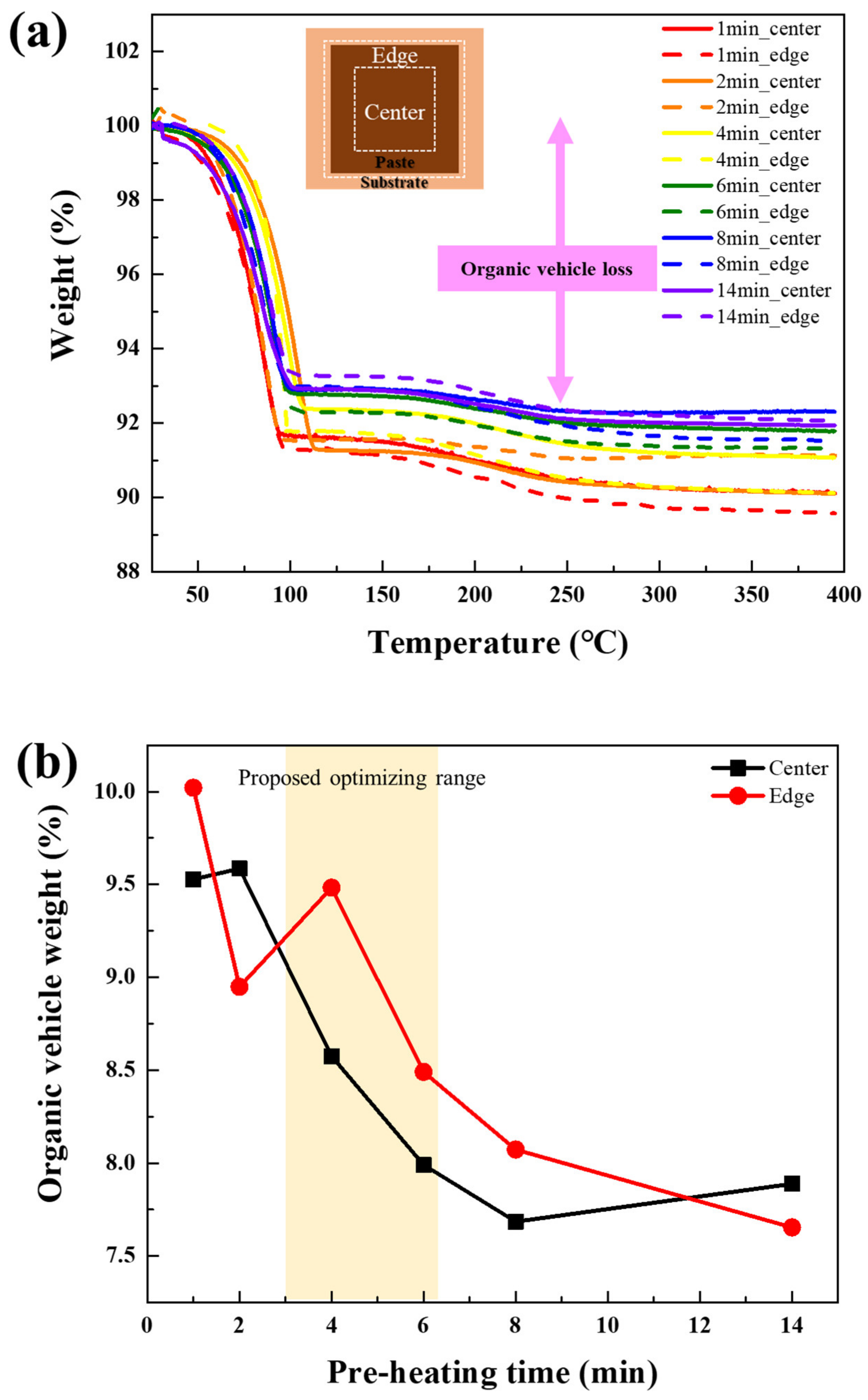
As the amount of solvent in the paste significantly affects the sintering process, we expected the number of organic components in the center and on the edges to vary depending on the diffusion of organic compounds. Therefore, the solvent distributions in the center and on the edges were monitored. Figure 7a shows TGA curves obtained from the central and edge areas at different pre-heating times. As the temperature increases, the weight of the paste decreases, indicating that organic vehicles, consisting of the solvent and organic compounds, evaporate from the paste. In particular, it can be seen that almost all organic vehicles decomposed and volatilized up to 250 °C. Figure 7b illustrates the number of organic vehicles at the central and edge regions at 250 °C after different pre-heating times. After pre-heating for 1 min, the solvent volatilized at the edges, thereby reducing the amount of organic compounds and solvent by approximately 1%. After 4 min of pre-heating, the amount of solvent and organic compounds in the center and edges were reversed, decreasing from 9.59% to 8.57% in the center and increasing from 8.95% to 9.48% at the edges. This indicates that the solvent and organic compounds in the center moved toward the edge region. Until pre-heating for 8 min, the solvent and organic compounds continued to move within the paste at the center and edges, reducing the overall amount of volatile compounds. After 14 min, the amount of solvent and organic compounds in the paste was higher at the center than at the edges. Based on these results, we hypothesize that the remaining solvent and fluidity decrease as the pre-heating time elapses; thus, the solvent is trapped inside and defects, such as voids and cracks, are generated. This observation is consistent with the results obtained from the cross-sectional SEM image in Figure 4e, which shows the generation of vertical voids within the sintered networks.
Figure 8 illustrates the proposed sintering mechanism of our pre-heated and sintered Cu@Ag chip-attachment joints. When sintered at 9 MPa without pre-heating, the paste overflows on the chip and micro-cracks are generated, as shown in Figure 4a. Therefore, micro-cracks are formed before a certain pre-heating time due to insufficient solvent evaporation. However, fillets were formed at a particular pre-heating time when an appropriate amount of the solvent remained, and no voids or defects were generated. After this time elapsed, the Cu@Ag particles aggregated and captured the solvent, thereby reducing the fluidity of the paste. Consequently, the pre-heated paste had only a small amount of solvent left on the edges, forming a defective Cu@Ag joint. For a longer pre-heating time, more Cu@Ag particles aggregate, and the paste becomes less fluid, forming large voids and cracks.

4. Conclusions

In this study, the pre-heating conditions of the Cu@Ag paste were optimized by controlling the temperature and time to achieve a high-quality chip-attach joint under pressure sintering at 250 °C. It was observed that longer cracks were generated when the paste was pre-heated at 70 °C than at 50 °C. It seems that more cracks occurred because of the rapid volatilization of the solvent at higher temperatures. When pressure was applied for a short pre-heating time, the paste spread on the chip. With prolonged pre-heating, the paste hardened and did not spread on the chip, forming cracks and voids. Moreover, particle aggregation occurred if the pre-heating was performed longer than a specific time (4 min at 50 °C). The solvent and organic compounds within the Cu@Ag paste moved and were partially trapped, creating voids and defects that hinder achieving robust sintered networks. Our observations provide valuable insights into optimizing the sinter joining process to produce high-quality, reliable joints.

Author Contributions

All authors contributed to the conception and design of the study. Material preparation, data collection, and data analysis were performed by M.W., D.K., H.Y., and C.O. The first draft of the manuscript was written by M.W. and all authors commented on previous versions of the manuscript. All authors have read and agreed to the published version of the manuscript.

Funding

This work was supported by the Industrial Strategic Technology Development Program (20010981) funded by the Ministry of Trade, Industry & Energy (MI, Korea).

Data Availability Statement

The datasets generated during and/or analyzed during the current study are available from the corresponding author upon reasonable request.

Conflicts of Interest

The authors declare that they have no known competing financial interests or personal relationships that could have appeared to influence the work reported in this paper.

References

  1. Kim, K.S.; Yu, C.H.; Kim, N.H.; Kim, N.K.; Chang, H.J.; Chang, E.G. Isothermal aging characteristics of Sn–Pb micro solder bumps. Microelectron. Reliab. 2023, 43, 757–763. [Google Scholar] [CrossRef]
  2. Ramanathan, L.N.; Jang, J.W.; Lin, J.K.; Frear, D.R. Solid-State Annealing Behavior of Two High-Pb Solders, 95Pb5Sn and 90Pb10Sn, on Cu Under Bump Metallurgy. J. Electron. Mater. 2005, 34, 43–46. [Google Scholar] [CrossRef]
  3. Laurila, T.; Vuorinen, V.; Kivilahti, J.K. Interfacial reactions between lead-free solders and common base materials. Mater. Sci. Eng. R Rep. 2005, 49, 1–60. [Google Scholar] [CrossRef]
  4. Bajwa, A.A.; Qin, Y.; Reiner, R.; Quay, R.; Member, S. Assembly and Packaging Technologies for GaN Devices. IEEE Trans. Compon. Packag. Manuf. Technol. 2015, 5, 1402–1416. [Google Scholar] [CrossRef]
  5. Noh, S.; Zhang, H.; Suganuma, K. Heat-Resistant Microporous Ag Die-Attach Structure. Materials 2018, 11, 2531. [Google Scholar] [CrossRef] [PubMed]
  6. Van Do, T.; Trovão, J.P.F.; Li, K.; Boulon, L. Wide-bandgap power semiconductors for electric vehicle systems: Challenges and trends. IEEE Veh. Technol. Mag. 2021, 16, 89–98. [Google Scholar] [CrossRef]
  7. Matsunami, H. Current SiC technology for power electronic devices beyond Si. Microelectron. Eng. 2006, 83, 2–4. [Google Scholar] [CrossRef]
  8. Chen, F.; Chen, S.; Fan, G.; Yan, X.; LaBarbera, C.; Kresge, L.; Lee, N.C. Pressureless Sintering of Nano-Ag Paste with Low Porosity for High Power Die Attach. In Proceedings of the PCIM Asia 2015, International Exhibition and Conference for Power Electronics, Intelligent Motion, Renewable Energy and Energy Management, VDE, Shanghai, China, 24–26 June 2015; pp. 1–10. [Google Scholar]
  9. Göbl, C.; Faltenbacher, J.; Gmbh, S.E.; Göbl, C.K.G.C.; Nürnberg, S.D. Low temperature sinter technology Die attachment for power electronic applications. In Proceedings of the 6th International Conference on Integrated Power Electronics Systems, Nuremberg, Germany, 16–18 March 2010; pp. 1–5. [Google Scholar]
  10. Yu, F.; Cui, J.; Zhou, Z.; Fang, K.; Johnson, R.W.; Hamilton, M.C. Reliability of Ag Sintering for Power Semiconductor Die Attach in High Temperature Applications. IEEE Trans. Power Electron. 2016, 32, 7083–7095. [Google Scholar] [CrossRef]
  11. Chin, H.U.I.S.; Cheong, K.Y.E.W.; Ismail, A.B. A Review on Die Attach Materials for SiC-Based High-Temperature Power Devices. Metall. Mater. Trans. B 2010, 41, 824–832. [Google Scholar] [CrossRef]
  12. Mannan, S.H.; Clode, M.P. Materials and Processes for Implementing High-Temperature Liquid Interconnects. IEEE Trans. Adv. Packag. 2004, 27, 508–514. [Google Scholar] [CrossRef]
  13. Li, J.; Mark, C.; Buttay, C.; Sabbah, W.; Azzopardi, S. Bonding strength of multiple SiC die attachment prepared by sintering of Ag nanoparticles. J. Mater. Process. Technol. 2015, 215, 299–308. [Google Scholar] [CrossRef]
  14. Siow, K.S. Mechanical properties of nano-silver joints as die attach materials. J. Alloys Compd. 2012, 514, 6–19. [Google Scholar] [CrossRef]
  15. Yan, J.; Ag, S. A Review of Sintering-Bonding Technology Using Ag Nanoparticles for Electronic Packaging in the synthesis. Nanomaterials 2021, 11, 927. [Google Scholar] [CrossRef] [PubMed]
  16. Li, J.F.; Agyakwa, P.A.; Johnson, C.M. Effect of trace Al on growth rates of intermetallic compound layers between Sn-based solders and Cu substrate. J. Alloys Compd. 2012, 545, 70–79. [Google Scholar] [CrossRef]
  17. Bai, J.G.; Lu, G. Thermomechanical Reliability of Low-Temperature Sintered Silver Die Attached SiC Power Device Assembly. IEEE Trans. Device Mater. Reliab. 2006, 6, 436–441. [Google Scholar] [CrossRef]
  18. Zhang, Z.; Chen, C.; Suetake, A.; Hsieh, M.; Suganuma, K. Reliability of Ag sinter-Joining Die Attach Under Harsh Thermal Cycling and Power Tests. J. Mater. Sci. 2021, 50, 6597–6606. [Google Scholar] [CrossRef]
  19. Dai, J.; Li, J.; Agyakwa, P.; Corfield, M.; Johnson, C. Comperative Thermal and Structural Characterization of Sintered Nano-Silver and High-lead Solder Die Attachments During Power Cycling. IEEE Trans. Device Mater. Reliab. 2018, 18, 256–265. [Google Scholar] [CrossRef]
  20. Hyunju, K.; Song, K.H.; Choe, J. Synthesis of silver-coated copper particles with thermal oxidation stability for a solar cell conductive paste. Chem. Lett. 2015, 44, 1223–1225. [Google Scholar]
  21. Jia, Q.; Zou, G.; Wang, W.; Ren, H.; Zhang, H.; Deng, Z.; Feng, B.; Liu, L. Sintering mechanism of a supersaturated Ag–Cu nanoalloy film for power electronic packaging. ACS Appl. Mater. Interfaces 2020, 12, 16743–16752. [Google Scholar] [CrossRef]
  22. Jo, J.; Anai, K.; Yamauchi, S.; Sakaue, T. The properties of Cu sinter paste for pressure sintering at low temperature. In Proceedings of the 69th Electronic Components and Technology Conference (ECTC), IEEE, Las Vegas, NV, USA, 28–31 May 2019; pp. 76–80. [Google Scholar]
  23. Paknejad, S.A.; Mannan, S.H. Microelectronics Reliability Review of silver nanoparticle based die attach materials for high power/temperature applications. Microelectron. Reliab. 2017, 70, 1–11. [Google Scholar] [CrossRef]
  24. Chen, C.; Yeom, J.; Choe, C.; Liu, G.; Gao, Y. Necking growth and mechanical properties of sintered Ag particles with different shapes under air and N2 atmosphere. J. Mater. Sci. 2019, 54, 13344–13357. [Google Scholar] [CrossRef]
  25. Calabretta, M.; Sitta, A.; Oliveri, S.M. Silver sintering for silicon carbide die attach: Process optimization and structural modeling. Appl. Sci. 2021, 11, 7012. [Google Scholar] [CrossRef]
  26. Yan, H.; Mei, Y.H.; Wang, M.; Li, X.; Lu, G.Q. Pressureless sintering multi-scale Ag paste by a commercial vacuum reflowing furnace for massive production of power modules. J. Mater. Sci. Mater. Electron. 2019, 30, 9634–9641. [Google Scholar] [CrossRef]
  27. Siow, K.S. Are Sintered Silver Joints Ready for Use as Interconnect Material in Microelectronic Packaging? J. Electron. Mater. 2014, 43, 947–961. [Google Scholar] [CrossRef]
  28. Aktiengesellschaft, S. Method of Securing Electronic Composition to a Substrate. U.S. Patent 4810672, 7 March 1989. [Google Scholar]
  29. Schmitt, W.; Schafer, M. Printed Circuit Boards. U.S. Patent US 2010/0051319 A1, 4 February 2010. [Google Scholar]
  30. Feng, S.; Mei, Y.; Chen, G.; Li, X.; Lu, G. Characterizations of Rapid Sintered Nanosilver Joint for Attaching Power Chips. Materials 2016, 9, 564. [Google Scholar] [CrossRef]
  31. Large-area, A.; Lei, T.G.; Calata, J.N.; Lu, G.; Chen, X.; Luo, S. Low-Temperature Sintering of Nanoscale Silver. IEEE Trans. Comp. Packag. Technol. 2009, 33, 98–104. [Google Scholar]
Figure 1. Graphical illustration of the chip-attach process flow used in our study.
Figure 1. Graphical illustration of the chip-attach process flow used in our study.
Energies 16 05419 g001
Figure 2. (a) TGA curve of the Cu@Ag paste used in this study. (b) Viscosity of the Cu@Ag paste in terms of the pre-heating time at 50 °C.
Figure 2. (a) TGA curve of the Cu@Ag paste used in this study. (b) Viscosity of the Cu@Ag paste in terms of the pre-heating time at 50 °C.
Energies 16 05419 g002
Figure 3. Shear strength and thickness of Cu@Ag joints sintered at various pre-heating times at (a) 50 °C and (b) 70 °C.
Figure 3. Shear strength and thickness of Cu@Ag joints sintered at various pre-heating times at (a) 50 °C and (b) 70 °C.
Energies 16 05419 g003
Figure 4. Cross-sectional SEM and optical microscopy images (top view) of the sintered chip-attached Cu@Ag paste at different pre-heating times: (a) 0.5 min, (b) 1 min, (c) 4 min, (d) 7 min, and (e) 14 min at 50 °C.
Figure 4. Cross-sectional SEM and optical microscopy images (top view) of the sintered chip-attached Cu@Ag paste at different pre-heating times: (a) 0.5 min, (b) 1 min, (c) 4 min, (d) 7 min, and (e) 14 min at 50 °C.
Energies 16 05419 g004
Figure 5. Cross-sectional SEM and optical microscopy images (top view) of the sintered chip-attached Cu@Ag paste at different pre-heating times: (a) 0.5 min, (b) 1 min, (c) 4 min, and (d) 7 min at 70 °C.
Figure 5. Cross-sectional SEM and optical microscopy images (top view) of the sintered chip-attached Cu@Ag paste at different pre-heating times: (a) 0.5 min, (b) 1 min, (c) 4 min, and (d) 7 min at 70 °C.
Energies 16 05419 g005
Figure 6. Cu@Ag paste characteristics when pre-heated at 50 °C. (a) Cu@Ag median particle size (D50) with pre-heating time by particle size analyzer. Replotting (a,b) dependency of the Cu@Ag median particle size (D50) on different pre-heating times.
Figure 6. Cu@Ag paste characteristics when pre-heated at 50 °C. (a) Cu@Ag median particle size (D50) with pre-heating time by particle size analyzer. Replotting (a,b) dependency of the Cu@Ag median particle size (D50) on different pre-heating times.
Energies 16 05419 g006
Figure 7. (a) TGA curves of the Cu@Ag paste obtained from the center and edges after pre-heating; solid line: central position, dashed line: edge position. (b) Organic vehicle weights (%) at 250 °C.
Figure 7. (a) TGA curves of the Cu@Ag paste obtained from the center and edges after pre-heating; solid line: central position, dashed line: edge position. (b) Organic vehicle weights (%) at 250 °C.
Energies 16 05419 g007
Figure 8. Schematic illustration of the proposed mechanism of pre-heated pressure sintering.
Figure 8. Schematic illustration of the proposed mechanism of pre-heated pressure sintering.
Energies 16 05419 g008
Disclaimer/Publisher’s Note: The statements, opinions and data contained in all publications are solely those of the individual author(s) and contributor(s) and not of MDPI and/or the editor(s). MDPI and/or the editor(s) disclaim responsibility for any injury to people or property resulting from any ideas, methods, instructions or products referred to in the content.

Share and Cite

MDPI and ACS Style

Won, M.; Kim, D.; Yang, H.; Oh, C. Low-Temperature Sinterable Cu@Ag Paste with Superior Strength Driven by Pre-Heating Process. Energies 2023, 16, 5419. https://doi.org/10.3390/en16145419

AMA Style

Won M, Kim D, Yang H, Oh C. Low-Temperature Sinterable Cu@Ag Paste with Superior Strength Driven by Pre-Heating Process. Energies. 2023; 16(14):5419. https://doi.org/10.3390/en16145419

Chicago/Turabian Style

Won, Miso, Dajung Kim, Hyunseung Yang, and Chulmin Oh. 2023. "Low-Temperature Sinterable Cu@Ag Paste with Superior Strength Driven by Pre-Heating Process" Energies 16, no. 14: 5419. https://doi.org/10.3390/en16145419

APA Style

Won, M., Kim, D., Yang, H., & Oh, C. (2023). Low-Temperature Sinterable Cu@Ag Paste with Superior Strength Driven by Pre-Heating Process. Energies, 16(14), 5419. https://doi.org/10.3390/en16145419

Note that from the first issue of 2016, this journal uses article numbers instead of page numbers. See further details here.

Article Metrics

Back to TopTop