Molecular Simulation Techniques as Applied to Silica and Carbon-Based Adsorbents for Carbon Capture
Abstract
1. Introduction
2. Simulation Methods
2.1. Molecular Mechanics Methods
2.1.1. Forcefields in Molecular Mechanics
2.1.2. Generic Forcefields in Molecular Mechanics
2.1.3. Monte Carlo
2.2. Quantum Mechanics
- Ab initio (first principle) methods—Apply various approximations using wave functions to describe atomic orbitals and thus calculate properties at a molecular level.
- Semi-empirical methods—Apply a similar method to Ab Initio, but only for valence electrons.
- Density functional theory (DFT) methods—Identify the properties of the system using calculations relevant to the electron density of the system.
3. Applications of Computational Chemistry on Mesoporous Silica Adsorbents
3.1. MCM-41, SBA-15 and MCM-48—A Class of Mesoporous Silica
3.1.1. Forcefield Selection
| Adsorbent | Structure Construction | Functionality | Chemisorption | Scope | Structure and Adsorption Validation | Refs. |
|---|---|---|---|---|---|---|
| MCM-41 | Cylindrical pores in an amorphous silica Unit Cell. UFF Geometry optimization. BET = 983.4 m2/g | Grafted AP on the surface with energy bias for grafting sites. Monodentate bonding with the surface was used. Coupled-decoupled configurational bias to allow amine movement during grafting. | Modelled with a fixed pre-simulation minimum value of chemisorbed CO2 and carbamate formation. | Physisorption interactions increase with functionalization even as pore space decreases. Differences in experimental and simulation results at low pressures. | N2 isotherm at 77K—Small discrepancy at low pressure possibly because of a smaller simulation size compared to experimental. CO2 at 263K up to 20 bars— Matched very well at higher pressures with experimental data. | Builes et al. [52] |
| MCM-41 | Cylindrical pores in an amorphous silica UC. BET = 1161 m2/g | None | N/A | Two models with radius of 19 and 17 Å With BET equivalent to experimental MCM-41 studied. −OH branches at 5.38–5.85 OH/nm2. CO2 adsorption simulated its dependency on the surface functional groups. N2 adsorption simulated its dependency on pore volume. | Validated through comparison with experimental data. Added a correction coefficient based on structural differences to validate simulation XRD patterns validated with experimental. | Jing et al. [76] |
| MCM-41 | Cylindrical pores in an amorphous silica UC. BET = 1047 m2/g | None | N/A | The rough surface of the adsorbent provides hydroxyl groups and defects that work as active sites for adsorption. Simulation slightly higher than experimental at high pressures. | Validated through comparison with experimental data. | Zhuo et al. [31] |
| MCM-41 | Cylindrical pore in an amorphous silica UC. BET = 1047 m2/g | 8, 12, 16, and 24% amine coverage. | Simulated it using a strong physisorption interaction energy derived from the reaction to form carbamate. | Shown that higher grafting increases interaction with CO2 although less adsorbent active sites are available. The adsorption of CO2/N2 showed a decreasing selectivity of CO2/N2 attributed to enhanced packing effects for N2. | Validated through comparison with experimental data. | Zhu et al. [51] |
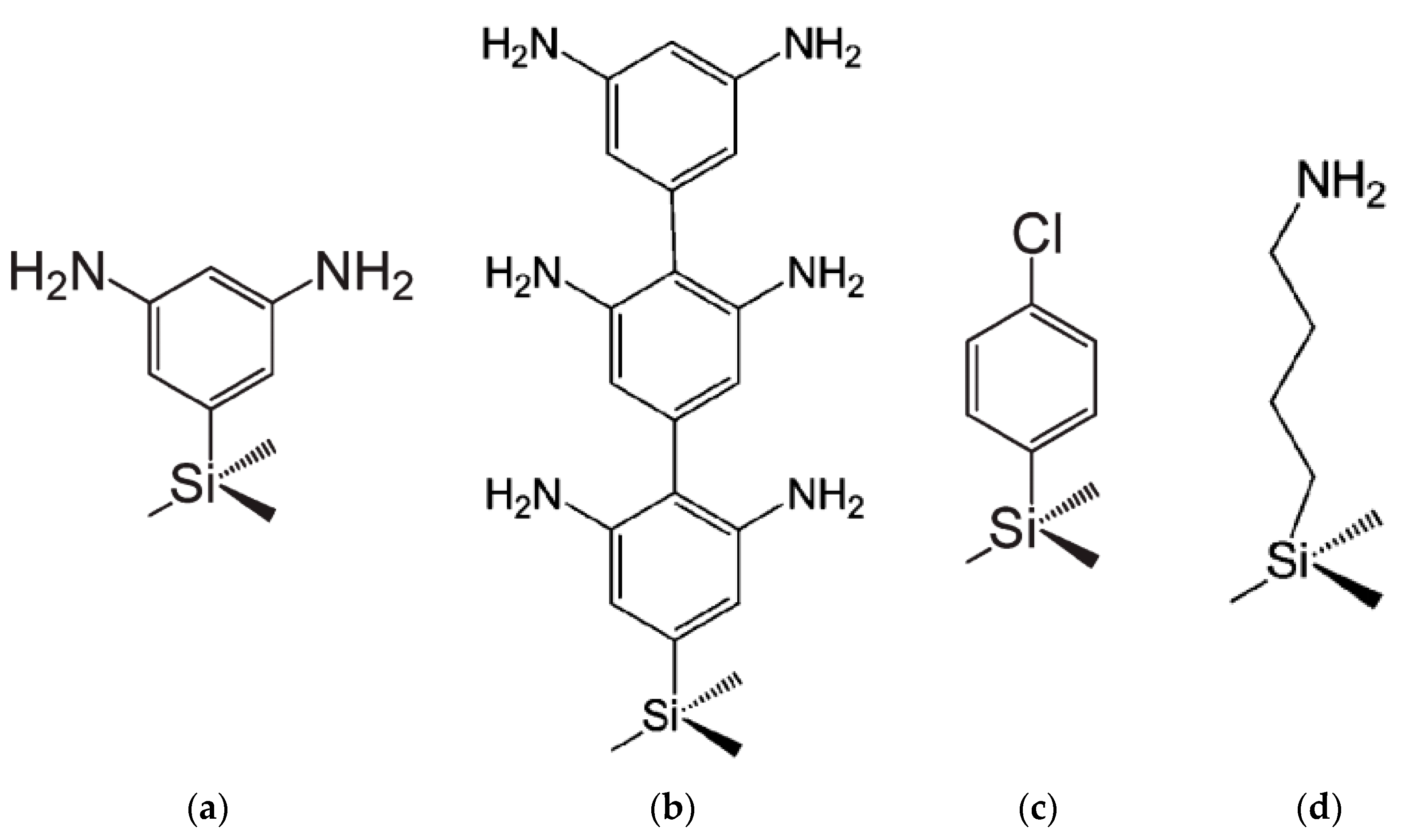
| MCM-41 | Kinetic Monte-Carlo (kMC) used for structure. Organic molecules randomly introduced for functionalization and then swapped through Monte-Carlo to ensure lowest energy configurations | Variety of functional groups were tested in this study. Aminopropyl functionalized MCM-41 and phenyl-MCM-41 explicitly compared | Ignored chemisorption and studies concentrated on Pressures above 1 bar (values in which physisorption dominates). Validated using high-pressure region for Propylamine functionalized MCM-41 | Higher pressure results were predictive. Showed:
| Validated through comparison with experimental data. Higher densities of amines did not match experimental since chemisorption was not considered. | Williams and Schumacher et al. [33,35,77]. |
| SBA-15 | The structure’s pore diameter was set at 35 Angstrom as well, lower than typical SBA-15. | None | N/A | Effect of moisture on the adsorption and diffusion of CO2/CH4 was studied. Mapped the movement of water clusters within the pores and identified a dense water layer along the pore walls that may be formed regardless of pressure. | Validated through comparison with experimental data within literature. | Sizova et al. [78] |
| Hybrid MCM-41 (Confined solvent) | Cylindrical pore in an amorphous silica UC carved independently of the confined solvent. GCMC is used to fill the pores with the solvent. Solvent: octamethylcyclo-tetrasiloxane [OMCTS]) | None | N/A | Studied CO2 solubility in hybrid MCM-41, summarized by the effect of solvent size on the adsorbed CO2 density profile. An analysis of the location of CO2 molecules adsorbed as a function of solvent size was carried out. | Validated through comparison with experimental data. | Ho et al. [40] |
3.1.2. Surface Structure Conception
3.1.3. Amorphous Silica Matrix and Dreiding FF
3.1.4. Core Structure and Oxygen Contributions
3.1.5. Cristoballite Matrix, Surface Roughness and the MM2 Force Field
3.1.6. Structural Design for Alternative Applications
3.2. Surface Groups and Chemisorption
3.2.1. DFT in Functionalized Adsorption Studies
3.2.2. GCMC and Modelling Simulated Chemisorption
3.2.3. GCMC and Analysing Physisorption
- (1)
- Adding a Correction factor
- (2)
- Describing it as a strong physisorption energy
- (3)
- Highlighting regions in which chemisorption is negligible.
4. Application of Computational Chemistry for Carbon-Based Adsorbents
4.1. Disordered Carbon–Structure Conception
4.2. Activated Carbon and CNTs—Simulation Applications

4.3. Surface Group Effects—CNTs
4.4. DFT in CNTs and ACs
4.5. DFT in Functionalized CNTs and ACs
5. Novel Applications of Computational Chemistry—Polymeric Adsorbents
6. Intersection of Molecular Simulation and Experimental Data
7. Conclusions and Future Work
Funding
Conflicts of Interest
References
- National for Centers Environmental Information. State of the Climate: Global Climate Report for Annual 2019; 2020. Available online: https://www.ncdc.noaa.gov/sotc/global/201913 (accessed on 1 March 2021).
- Hansen, J.; Ruedy, R.; Sato, M.; Lo, K. Global surface temperature change. Rev. Geophys. 2010, 48, RG4004. [Google Scholar] [CrossRef]
- Department for Business, Energy and Industrial Strategy. The Climate Change Act 2008 (2050 Target Amendment) Order 2019; Department for Business, Energy and Industrial Strategy: London, UK, 2019. [Google Scholar]
- World Energy Balances: Overview (2019). 2019. Available online: https://www.oecd.org/publications/world-energy-balances-25186442.htm (accessed on 1 March 2020).
- Lee, S.Y.; Park, S.J. A review on solid adsorbents for carbon dioxide capture. J. Ind. Eng. Chem. 2015, 23, 1–11. [Google Scholar] [CrossRef]
- Abdelrasoul, A.; Zhang, H.; Cheng, C.H.; Doan, H. Applications of molecular simulations for separation and adsorption in zeolites. Microporous Mesoporous Mater. 2017, 242, 294–348. [Google Scholar] [CrossRef]
- Farha, O.K.; Özgür Yazaydın, A.; Eryazici, I.; Malliakas, C.D.; Hauser, B.G.; Kanatzidis, M.G.; Nguyen, S.T.; Snurr, R.Q.; Hupp, J.T. De novo synthesis of a metal–organic framework material featuring ultrahigh surface area and gas storage capacities. Nat. Chem. 2010, 2, 944–948. [Google Scholar] [CrossRef]
- Sturluson, A.; Huynh, M.T.; Kaija, A.R.; Laird, C.; Yoon, S.; Hou, F.; Feng, Z.; Wilmer, C.E.; Colón, Y.J.; Chung, Y.G. The role of molecular modelling and simulation in the discovery and deployment of metal-organic frameworks for gas storage and separation. Mol. Simul. 2019, 45, 1082–1121. [Google Scholar] [CrossRef]
- Getman, R.B.; Bae, Y.-S.; Wilmer, C.E.; Snurr, R.Q. Review and analysis of molecular simulations of methane, hydrogen, and acetylene storage in metal–organic frameworks. Chem. Rev. 2012, 112, 703–723. [Google Scholar] [CrossRef] [PubMed]
- Wang, H.; Qu, Z.; Yin, Y.; Bai, J.; Yu, B. Review of Molecular Simulation Method for Gas Adsorption/desorption and Diffusion in Shale Matrix. J. Therm. Sci. 2019, 28, 1–16. [Google Scholar] [CrossRef]
- Ruipérez, F. Application of quantum chemical methods in polymer chemistry. Int. Rev. Phys. Chem. 2019, 38, 343–403. [Google Scholar] [CrossRef]
- Ben-Mansour, R.; Habib, M.A.; Bamidele, O.E.; Basha, M.; Qasem, N.A.A.; Peedikakkal, A.; Laoui, T.; Ali, M. Carbon capture by physical adsorption: Materials, experimental investigations and numerical modeling and simulations—A review. Appl. Energy 2016, 161, 225–255. [Google Scholar] [CrossRef]
- Li, S.; Deng, S.; Zhao, L.; Zhao, R.; Lin, M.; Du, Y.; Lian, Y. Mathematical modeling and numerical investigation of carbon capture by adsorption: Literature review and case study. Appl. Energy 2018, 221, 437–449. [Google Scholar] [CrossRef]
- Rafiee, R.; Moghadam, R.M. On the modeling of carbon nanotubes: A critical review. Compos. Part B Eng. 2014, 56, 435–449. [Google Scholar] [CrossRef]
- Ungerer, P.; Lachet, V.; Tavitian, B.; Applications, B.T.; Ungerer, P.; Lachet, V.; Tavitian, B. Applications of Molecular Simulation in Oil and Gas Production and Processing. Oil Gas Sci. Technol. IFP 2006, 61, 387–403. [Google Scholar] [CrossRef]
- Salminen, P. Brownian Motion. In Encyclopedia of Actuarial Science; John Wiley & Sons: Hoboken, NJ, USA, 2004. [Google Scholar] [CrossRef]
- Li, S.; Lieberzeit, P.A.; Piletsky, S.A.; Turner, A.P. (Eds.) Molecular Mechanics. In Smart Polymer Catalysts and Tunable Catalysis; Elsevier: Amsterdam, The Netherlands, 2019. [Google Scholar]
- Christie, R.M. 2.9.3 Molecular Mechanics. In Colour Chemistry, 2nd ed.; Royal Society of Chemistry: London, UK, 2015; ISBN 978-1-84973-328-1. [Google Scholar]
- Calvaresi, M.; Zerbetto, F. Atomistic molecular dynamics simulations reveal insights into adsorption, packing, and fluxes of molecules with carbon nanotubes. J. Mater. Chem. A 2014, 2, 12123–12135. [Google Scholar] [CrossRef]
- Kondratyuk, N.; Nikolskiy, V.; Pavlov, D.; Stegailov, V. GPU-accelerated molecular dynamics. Int. J. High Perform. Comput. Appl. 2021, 35, 312–324. [Google Scholar] [CrossRef]
- Monticelli, L.; Salonen, E. (Eds.) Biomolecular Simulations: Methods and Protocols; Humana Press: Totowa, NJ, USA, 2013; Volume 924, ISBN 9781627030175. [Google Scholar]
- González, M.A. Force fields and molecular dynamics simulations. École Thématique Société Française Neutron. 2011, 12, 169–200. [Google Scholar] [CrossRef]
- Frenkel, D.; Smit, B. (Eds.) Chapter 1—Introduction. In Understanding Molecular Simulation, 2nd ed.; Academic Press: San Diego, CA, USA, 2002; pp. 1–6. [Google Scholar] [CrossRef]
- Emami, F.S.; Puddu, V.; Berry, R.J.; Varshney, V.; Patwardhan, S.V.; Perry, C.C.; Heinz, H. Force field and a surface model database for silica to simulate interfacial properties in atomic resolution. Chem. Mater. 2014, 26, 2647–2658. [Google Scholar] [CrossRef]
- Potoff, J.J.; Siepmann, J.I. Vapor–liquid equilibria of mixtures containing alkanes, carbon dioxide, and nitrogen. AIChE J. 2001, 47, 1676–1682. [Google Scholar] [CrossRef]
- Delhommelle, J.; Millié, P.; Delhommelle’, J.; Millie’, P. Molecular Physics Inadequacy of the Lorentz-Berthelot combining rules for accurate predictions of equilibrium properties by molecular simulation Inadequacy of the Lorentz-Berthelot combining rules for accurate predictions of equilibrium properties by mole. Mol. Phys. 2001, 99, 619–625. [Google Scholar] [CrossRef]
- Gomez, L.F.; Zacharia, R.; Bénard, P.; Chahine, R. Simulation of binary CO2/CH4 mixture breakthrough profiles in mil-53 (al). J. Nanomater. 2015, 2015, 439382. [Google Scholar] [CrossRef]
- Mayo, S.L.; Olafson, B.D.; Goddard, W.A. DREIDING: A generic force field for molecular simulations. J. Phys. Chem. 1990, 94, 8897–8909. [Google Scholar] [CrossRef]
- Rappé, A.K.; Casewit, C.J.; Colwell, K.S.; Goddard III, W.A.; Skiff, W.M. UFF, a full periodic table force field for molecular mechanics and molecular dynamics simulations. J. Am. Chem. Soc. 1992, 114, 10024–10035. [Google Scholar] [CrossRef]
- Moreau, F.; Da Silva, I.; Al Smail, N.H.; Easun, T.L.; Savage, M.; Godfrey, H.G.W.; Parker, S.F.; Manuel, P.; Yang, S.; Schröder, M. ARTICLE Unravelling exceptional acetylene and carbon dioxide adsorption within a tetra-amide functionalized metal-organic framework. Nat. Commun. 2017, 8, 14085. [Google Scholar] [CrossRef]
- Zhuo, S.; Huang, Y.; Hu, J.; Liu, H.; Hu, Y.; Jiang, J. Computer simulation for adsorption of CO2, N2 and flue gas in a mimetic MCM-41. J. Phys. Chem. C 2008, 112, 11295–11300. [Google Scholar] [CrossRef]
- Frierson, M.R.; Imam, M.R.; Zalkow, V.B.; Allinger, N.L. The MM2 Force Field for Silanes and Polysilanes. J. Org. Chem. 1988, 53, 5248–5258. [Google Scholar] [CrossRef]
- Williams, J.J.; Wiersum, A.D.; Seaton, N.A.; Düren, T. Effect of Surface Group Functionalization on the CO2/N2 Separation Properties of MCM-41: A Grand-Canonical Monte Carlo Simulation Study. J. Phys. Chem. C 2010, 114, 18538–18547. [Google Scholar] [CrossRef]
- Colón, Y.J.; Snurr, R.Q. High-throughput computational screening of metal–organic frameworks. Chem. Soc. Rev. 2014, 43, 5735–5749. [Google Scholar] [CrossRef]
- Schumacher, C.; Seaton, N.A. Modeling of Organically Functionalized Mesoporous Silicas for the Design of Adsorbents; Springer: Berlin/Heidelberg, Germany, 2005; Volume 11. [Google Scholar]
- Jorgensen, W.L.; Tirado-Rives, J. The OPLS Potential Functions for Proteins. Energy Minimizations for Crystals of Cyclic Peptides and Crambin. J. Am. Chem. Soc. 1988, 110, 8. [Google Scholar] [CrossRef] [PubMed]
- Babarao, R.; Hu, Z.; Jiang, J.; Chempath, S.; Sandler, S.I. Storage and Separation of CO2and CH4 in Silicalite, C168 Schwarzite, and IRMOF-1: A Comparative Study from Monte Carlo Simulation. Langmuir 2007, 23, 659–666. [Google Scholar] [CrossRef] [PubMed]
- Pérez-Pellitero, J.; Amrouche, H.; Siperstein, F.R.; Pirngruber, G.; Nieto-Draghi, C.; Chaplais, G.; Simon-Masseron, A.; Bazer-Bachi, D.; Peralta, D.; Bats, N. Adsorption of CO2, CH4, and N2 on Zeolitic Imidazolate Frameworks: Experiments and Simulations. Chem. A Eur. J. 2010, 16, 1560–1571. [Google Scholar] [CrossRef]
- Harris, J.G.; Yung, K.H. Carbon Dioxide’s Liquid-Vapor Coexistence Curve and Critical Properties As Predicted by a Simple Molecular Model. J. Phys. Chem. 1995, 99, 12021–12024. Available online: https://pubs.acs.org/sharingguidelines (accessed on 1 June 2020). [CrossRef]
- Ho, L.N.; Pellitero, J.P.; Porcheron, F.; Pellenq, R.J.-M. Enhanced CO2 Solubility in Hybrid MCM-41: Molecular Simulations and Experiments. Langmuir 2011, 27, 8187–8197. [Google Scholar] [CrossRef]
- Liu, L.; Bhatia, S.K. Molecular Simulation of CO2 Adsorption in the Presence of Water in Single-Walled Carbon Nanotubes. J. Phys. Chem. C 2013, 117, 13479–13491. [Google Scholar] [CrossRef]
- Skoulidas, A.I.; Sholl, D.S.; Johnson, J.K. Adsorption and diffusion of carbon dioxide and nitrogen through single-walled carbon nanotube membranes. J. Chem. Phys. 2006, 124, 54708. [Google Scholar] [CrossRef] [PubMed]
- Huang, L.; Zhang, L.; Shao, Q.; Lu, L.; Lu, X.; Jiang, S.; Shen, W. Simulations of Binary Mixture Adsorption of Carbon Dioxide and Methane in Carbon Nanotubes: Temperature, Pressure, and Pore Size Effects. J. Phys. Chem. C 2007, 111, 11912–11920. [Google Scholar] [CrossRef]
- Lu, L.; Wang, S.; Müller, E.A.; Cao, W.; Zhu, Y.; Lu, X.; Jackson, G. Adsorption and separation of CO2/CH4 mixtures using nanoporous adsorbents by molecular simulation. Fluid Phase Equilib. 2014, 362, 227–234. [Google Scholar] [CrossRef]
- Ghoufi, A.; Gaberova, L.; Rouquerol, J.; Vincent, D.; Llewellyn, P.L.; Maurin, G. Adsorption of CO2, CH4 and their binary mixture in Faujasite NaY: A combination of molecular simulations with gravimetry–manometry and microcalorimetry measurements. Microporous Mesoporous Mater. 2009, 119, 117–128. [Google Scholar] [CrossRef]
- Makrodimitris, K.; Papadopoulos, G.K.; Theodorou, D.N. Prediction of Permeation Properties of CO2 and N2 through Silicalite via Molecular Simulations. J. Phys. Chem. B 2001, 105, 777–788. [Google Scholar] [CrossRef]
- Kumar, K.; Kumar, A. Enhanced CO2Adsorption and Separation in Ionic-Liquid-Impregnated Mesoporous Silica MCM-41: A Molecular Simulation Study. J. Phys. Chem. C 2018, 122, 8216–8227. [Google Scholar] [CrossRef]
- Martin, M.G.; Siepmann, J.I. Transferable Potentials for Phase Equilibria. 1. United-Atom Description of n-Alkanes. J. Phys. Chem. B 1998, 102, 2569–2577. [Google Scholar] [CrossRef]
- Liu, Y.; Wilcox, J. Molecular simulation studies of CO2 adsorption by carbon model compounds for carbon capture and sequestration applications. Environ. Sci. Technol. 2013, 47, 95–101. [Google Scholar] [CrossRef]
- Karra, J.R.; Walton, K.S. Molecular Simulations and Experimental Studies of CO2, CO, and N2 Adsorption in Metal−Organic Frameworks. J. Phys. Chem. C 2010, 114, 15735–15740. [Google Scholar] [CrossRef]
- Zhu, Y.; Zhou, J.; Hu, J.; Liu, H. The effect of grafted amine group on the adsorption of CO2 in MCM-41: A molecular simulation. Catal. Today 2012, 194, 53–59. [Google Scholar] [CrossRef]
- Builes, S.; Vega, L.F. Understanding CO2 Capture in Amine-Functionalized MCM-41 by Molecular Simulation. J. Phys. Chem. C 2012, 116, 3017–3024. [Google Scholar] [CrossRef]
- Goj, A.; Sholl, D.S.; Akten, E.D.; Kohen, D. Atomistic Simulations of CO2 and N2 Adsorption in Silica Zeolites: The Impact of Pore Size and Shape. J. Phys. Chem. B 2002, 106, 8367–8375. [Google Scholar] [CrossRef]
- Metropolis, N.; Rosenbluth, A.W.; Rosenbluth, M.N.; Teller, A.H.; Teller, E. Equation of State Calculations by Fast Computing Machines. J. Chem. Phys. 1953, 21, 1087–1092. [Google Scholar] [CrossRef]
- Ungerer, P.; Tavitian, B.; Boutin, A. Applications of Molecular Simulation in the Oil and Gas Industry: Monte Carlo Methods; Editions Technip: Paris, France, 2005. [Google Scholar]
- Ugliengo, P.; Sodupe, M.; Musso, F.; Bush, I.; Orlando, R.; Dovesi, R. Coordinates of the Optimized MCM-41; ResearchGate: Berlin, Germany, 2013. [Google Scholar]
- Dubbeldam, D.; Torres-Knoop, A.; Walton, K.S. Monte carlo codes, tools and algorithms on the inner workings of Monte Carlo codes. Mol. Simul. 2013, 39, 1253–1292. [Google Scholar] [CrossRef]
- Cote, A.; Smith, B.; Lindan, P. Periodic Boundary Conditions. Available online: https://www.ucl.ac.uk/~ucfbasc/Theory/pbc-mi.html (accessed on 15 June 2020).
- Cook, D.B. 1.1 Introduction. In Handbook of Computational Quantum Chemistry; Dover Publications: New York, NY, USA; ISBN 978-0-486-44307-2.
- Latour, R.A. 3.14 Molecular Simulation Methods to Investigate Protein Adsorption Behavior at the Atomic Level. Compr. Biomater. II 2017, 3, 268–294. [Google Scholar] [CrossRef]
- Frisch, M.J.; Trucks, G.W.; Schlegel, H.B.; Scuseria, G.E.; Robb, M.A.; Cheeseman, J.R.; Scalmani, G.; Barone, V.; Petersson, G.A.; Nakatsuji, H.; et al. Gaussian 16 Revision C. 01. 2016; Gaussian Inc.: Wallingford, CT, USA, 2016. [Google Scholar]
- Stewart, J. Molecular Orbital Package. 2007. Available online: http://openmopac.net/ (accessed on 23 May 2023).
- Barca, G.M.J.; Bertoni, C.; Carrington, L.; Datta, D.; De Silva, N.; Deustua, J.E.; Fedorov, D.G.; Gour, J.R.; Gunina, A.O.; Guidez, E.; et al. Recent developments in the general atomic and molecular electronic structure system. J. Chem. Phys. 2020, 152, 154102. [Google Scholar] [CrossRef]
- Sholl, D.; Steckel, J.A. Density Functional Theory: A Practical Introduction; John Wiley & Sons: Hoboken, NJ, USA, 2011; ISBN 1118211049. [Google Scholar]
- Hohenberg, P.; Kohn, W. Inhomogeneous electron gas. Phys. Rev. 1964, 136, B864. [Google Scholar] [CrossRef]
- Kohn, W.; Sham, L.J. Self-consistent equations including exchange and correlation effects. Phys. Rev. 1965, 140, A1133. [Google Scholar] [CrossRef]
- Giustino, F. Materials Modelling Using Density Functional Theory: Properties and Predictions; Oxford University Press: Oxford, UK, 2014; ISBN 0199662436. [Google Scholar]
- Cabeza, L.F. Advances in thermal energy storage systems: Methods and applications. In Advances in Thermal Energy Storage Systems; Elsevier: Amsterdam, The Netherlands, 2014; pp. 37–54. [Google Scholar]
- Rana, M.K.; Koh, H.S.; Hwang, J.; Siegel, D.J. Comparing van der Waals density functionals for CO2adsorption in metal organic frameworks. J. Phys. Chem. C 2012, 116, 16957–16968. [Google Scholar] [CrossRef]
- Wu, H.; Simmons, J.M.; Srinivas, G.; Zhou, W.; Yildirim, T. Adsorption sites and binding nature of CO2in prototypical metal− organic frameworks: A combined neutron diffraction and first-principles study. J. Phys. Chem. Lett. 2010, 1, 1946–1951. [Google Scholar] [CrossRef]
- Lim, G.; Lee, K.B.; Ham, H.C. Effect of N-Containing Functional Groups on CO2 Adsorption of Carbonaceous Materials: A Density Functional Theory Approach. J. Phys. Chem. C 2016, 120, 8087–8095. [Google Scholar] [CrossRef]
- Jahandar Lashaki, M.; Khiavi, S.; Sayari, A. Stability of amine-functionalized CO2 adsorbents: A multifaceted puzzle. Chem. Soc. Rev. 2019, 48, 3320–3405. [Google Scholar] [CrossRef]
- Ünveren, E.E.; Monkul, B.Ö.; Sarıoğlan, Ş.; Karademir, N.; Alper, E. Solid amine sorbents for CO2 capture by chemical adsorption: A review. Petroleum 2017, 3, 37–50. [Google Scholar] [CrossRef]
- Young, D.M.; Crowell, A.D. Physical Adsorption of Gases; Butterworths: London, UK, 1962. [Google Scholar]
- Swaddle, T.W. 6.1.1 Physical Adsorption and Chemisorption. In Inorganic Chemistry—An Industrial and Environmental Perspective; Elsevier: Amsterdam, The Netherlands, 1990; pp. 116–117. ISBN 978-0-12-678550-0. [Google Scholar]
- Jing, Y.; Wei, L.; Wang, Y.; Yu, Y. Molecular simulation of MCM-41: Structural properties and adsorption of CO2, N2 and flue gas. Chem. Eng. J. 2013, 220, 264–275. [Google Scholar] [CrossRef]
- Schumacher, C.; Gonzalez, J.; Wright, P.A.; Seaton, N.A. Generation of atomistic models of periodic mesoporous silica by kinetic Monte Carlo simulation of the synthesis of the material. J. Phys. Chem. B 2006, 110, 319–333. [Google Scholar] [CrossRef] [PubMed]
- Sizova, A.A.; Sizov, V.V.; Brodskaya, E.N. Adsorption of CO2/CH4 and CO2/N2 mixtures in SBA-15 and CMK-5 in the presence of water: A computer simulation study. Colloids Surf. A Physicochem. Eng. Asp. 2015, 474, 76–84. [Google Scholar] [CrossRef]
- Beck, J.S.; Vartuli, J.C.; Roth, W.J.; Leonowicz, M.E.; Kresge, C.T.; Schmitt, K.D.; Chu, C.T.W.; Olson, D.H.; Sheppard, E.W.; McCullen, S.B. A new family of mesoporous molecular sieves prepared with liquid crystal templates. J. Am. Chem. Soc. 1992, 114, 10834–10843. [Google Scholar] [CrossRef]
- Schumacher, K.; Grün, M.; Unger, K.K. Novel synthesis of spherical MCM-48. Microporous Mesoporous Mater. 1999, 27, 201–206. [Google Scholar] [CrossRef]
- Zhao, D.; Sun, J.; Li, Q.; Stucky, G.D. Morphological control of highly ordered mesoporous silica SBA-15. Chem. Mater. 2000, 12, 275–279. [Google Scholar] [CrossRef]
- Neimark, A.V.; Ravikovitch, P.I.; Grün, M.; Schüth, F.; Unger, K.K. Pore size analysis of MCM-41 type adsorbents by means of nitrogen and argon adsorption. J. Colloid Interface Sci. 1998, 207, 159–169. [Google Scholar] [CrossRef]
- Hanwell, M.D.; Curtis, D.E.; Lonie, D.C.; Vandermeersch, T.; Zurek, E.; Hutchison, G.R. Avogadro: An advanced semantic chemical editor, visualization, and analysis platform. J. Cheminform. 2012, 4, 17. [Google Scholar] [CrossRef]
- Humphrey, W.; Dalke, A.; Schulten, K. VMD: Visual Molecular Dynamics. J. Mol. Graph. 1996, 14, 33–38. [Google Scholar] [CrossRef] [PubMed]
- Landmesser, H.; Kosslick, H.; Storek, W.; Fricke, R. Interior surface hydroxyl groups in ordered mesoporous silicates. Solid State Ion. 1997, 101–103, 271–277. [Google Scholar] [CrossRef]
- Van Der Voort, P.; Gillis-D’Hamers, I.; Vrancken, K.C.; Vansant, E.F. Effect of porosity on the distribution and reactivity of hydroxyl groups on the surface of silica gel. J. Chem. Soc. Faraday Trans. 1991, 87, 3899–3905. [Google Scholar] [CrossRef]
- Chang, S.-C.; Chien, S.-Y.; Chen, C.-L. Analyzing adsorption characteristics of CO2, N2 and H2O in MCM-41 silica by molecular simulation. Appl. Surf. Sci. 2015, 331, 225–233. [Google Scholar] [CrossRef]
- Yun, J.-H.; He, Y.; Otero, M.; Düren, T.; Seaton, N.A. Adsorption equilibrium of polar/non-polar mixtures on MCM-41: Experiments and Monte Carlo simulation. In Studies in Surface Science and Catalysis; Elsevier: Amsterdam, The Netherlands, 2002; Volume 144, pp. 685–692. ISBN 0167-2991. [Google Scholar]
- Yun, J.-H.; Düren, T.; Keil, F.J.; Seaton, N.A. Adsorption of methane, ethane, and their binary mixtures on MCM-41: Experimental evaluation of methods for the prediction of adsorption equilibrium. Langmuir 2002, 18, 2693–2701. [Google Scholar] [CrossRef]
- Arkadi Bezus, B.Y.G.; Kiselev, A.V.; Lopatkin, A.A.; QUANG Du, P.; Bezus, A.G.; Kiselev, A.V.; Lopatkin, A.A.; Du, P.Q. Molecular statistical calculation of the thermodynamic adsorption characteristics of zeolites using the atom–atom approximation. Part 1.—Adsorption of methane by zeolite NaX. J. Chem. Soc. Faraday Trans. 2 Mol. Chem. Phys. 1978, 74, 367–379. [Google Scholar]
- Maddox, M.W.; Olivier, J.P.; Gubbins, K.E. Characterization of MCM-41 using molecular simulation: Heterogeneity effects. Langmuir 1997, 13, 1737–1745. [Google Scholar] [CrossRef]
- Schumacher, C.; Gonzalez, J.; Pérez-Mendoza, M.; Wright, P.A.; Seaton, N.A. Design of Hybrid Organic/Inorganic Adsorbents Based on Periodic Mesoporous Silica. Ind. Eng. Chem. Res. 2006, 45, 5586–5597. [Google Scholar] [CrossRef]
- Williams, C.D.; Travis, K.P.; Burton, N.A.; Harding, J.H. A new method for the generation of realistic atomistic models of siliceous MCM-41. Microporous Mesoporous Mater. 2016, 228, 215–223. [Google Scholar] [CrossRef]
- He, Y.; Seaton, N.A. Experimental and Computer Simulation Studies of the Adsorption of Ethane, Carbon Dioxide, and Their Binary Mixtures in MCM-41. Langmuir 2003, 19, 10132–10138. [Google Scholar] [CrossRef]
- Coasne, B.; Pellenq, R.J.M. Grand canonical Monte Carlo simulation of argon adsorption at the surface of silica nanopores: Effect of pore size, pore morphology, and surface roughness. J. Chem. Phys. 2004, 120, 2913–2922. [Google Scholar] [CrossRef] [PubMed]
- Bhattacharya, S.; Coasne, B.; Hung, F.R.; Gubbins, K.E. Modeling Micelle-Templated Mesoporous Material SBA-15: Atomistic Model and Gas Adsorption Studies. Langmuir 2009, 25, 5802–5813. [Google Scholar] [CrossRef]
- Pellenq, R.J.M.; Levitz, P.E. Capillary condensation in a disordered mesoporous medium: A grand canonical Monte Carlo study. Mol. Phys. 2002, 100, 2059–2077. [Google Scholar] [CrossRef]
- Coasne, B.; Hung, F.R.; Pellenq, R.J.-M.; Siperstein, F.R.; Gubbins, K.E. Adsorption of Simple Gases in MCM-41 Materials: The Role of Surface Roughness. Langmuir 2006, 22, 194–202. [Google Scholar] [CrossRef]
- Couck, S.; Gobechiya, E.; Kirschhock, C.E.A.; Serra-Crespo, P.; Juan-Alcañiz, J.; Martinez Joaristi, A.; Stavitski, E.; Gascon, J.; Kapteijn, F.; Baron, G.V.; et al. Adsorption and Separation of Light Gases on an Amino-Functionalized Metal-Organic Framework: An Adsorption and In Situ XRD Study. ChemSusChem 2012, 5, 740–750. [Google Scholar] [CrossRef]
- Belmabkhout, Y.; Sayari, A. Isothermal versus non-isothermal adsorption-desorption cycling of triamine-grafted pore-expanded MCM-41 mesoporous silica for CO2 capture from flue gas. Energy Fuels 2010, 24, 5273–5280. [Google Scholar] [CrossRef]
- Pino, L.; Italiano, C.; Vita, A.; Fabiano, C.; Recupero, V. Sorbents with high efficiency for CO2 capture based on amines-supported carbon for biogas upgrading. J. Environ. Sci. 2016, 48, 138–150. [Google Scholar] [CrossRef] [PubMed]
- Rao, N.; Wang, M.; Shang, Z.; Hou, Y.; Fan, G.; Li, J. CO2 Adsorption by Amine-Functionalized MCM-41: A Comparison between Impregnation and Grafting Modification Methods. Energy Fuels 2018, 32, 670–677. [Google Scholar] [CrossRef]
- Mafra, L.; Čendak, T.; Schneider, S.; Wiper, P.V.; Pires, J.; Gomes, J.R.B.; Pinto, M.L. Amine functionalized porous silica for CO2/CH4 separation by adsorption: Which amine and why. Chem. Eng. J. 2018, 336, 612–621. [Google Scholar] [CrossRef]
- Sanz-Pérez, E.S.; Dantas, T.C.M.; Arencibia, A.; Calleja, G.; Guedes, A.P.M.A.; Araujo, A.S.; Sanz, R. Reuse and recycling of amine-functionalized silica materials for CO2 adsorption. Chem. Eng. J. 2017, 308, 1021–1033. [Google Scholar] [CrossRef]
- Hiyoshi, N.; Yogo, K.; Yashima, T. Adsorption characteristics of carbon dioxide on organically functionalized SBA-15. Microporous Mesoporous Mater. 2005, 84, 357–365. [Google Scholar] [CrossRef]
- Sanz, R.; Calleja, G.; Arencibia, A.; Sanz-Pérez, E.S. CO2 capture with pore-expanded MCM-41 silica modified with amino groups by double functionalization. Microporous Mesoporous Mater. 2015, 209, 165–171. [Google Scholar] [CrossRef]
- Chang, F.Y.; Chao, K.J.; Cheng, H.H.; Tan, C.S. Adsorption of CO2 onto amine-grafted mesoporous silicas. Sep. Purif. Technol. 2009, 70, 87–95. [Google Scholar] [CrossRef]
- Mafra, L.; Schneider, S.; Wiper, P.V.; Gomes, R.B.; Pinto, L. Structure of Chemisorbed CO2Species in Amine-Functionalized Mesoporous Silicas Studied by Solid-State NMR and Computer Modeling. J. Am. Chem. Soc. 2017, 139, 389–408. [Google Scholar] [CrossRef]
- Kwon, S.; Kwon, H.J.; Choi, J., II; Kim, K.C.; Seo, J.G.; Park, J.E.; You, S.J.; Park, E.D.; Jang, S.S.; Lee, H.C. Enhanced selectivity for CO2adsorption on mesoporous silica with alkali metal halide due to electrostatic field: A molecular simulation approach. ACS Appl. Mater. Interfaces 2017, 9, 31683–31690. [Google Scholar] [CrossRef]
- Serna-Guerrero, R.; Da’na, E.; Sayari, A. New insights into the interactions of CO2 with amine-functionalized silica. Ind. Eng. Chem. Res. 2008, 47, 9406–9412. [Google Scholar] [CrossRef]
- Belmabkhout, Y.; Serna-Guerrero, R.; Sayari, A. Adsorption of CO2 from dry gases on MCM-41 silica at ambient temperature and high pressure. 1: Pure CO2 adsorption. Chem. Eng. Sci. 2009, 64, 3721–3728. [Google Scholar] [CrossRef]
- Otowa, T.; Tanibata, R.; Itoh, M. Production and adsorption characteristics of MAXSORB: High-surface-area active carbon. Gas Sep. Purif. 1993, 7, 241–245. [Google Scholar] [CrossRef]
- Lu, C.; Bai, H.; Wu, B.; Su, F.; Hwang, J.F. Comparative study of CO2 capture by carbon nanotubes, activated carbons, and zeolites. Energy Fuels 2008, 22, 3050–3056. [Google Scholar] [CrossRef]
- Drage, T.C.; Blackman, J.M.; Pevida, C.; Snape, C.E. Evaluation of activated carbon adsorbents for CO2 capture in gasification. Energy Fuels 2009, 23, 2790–2796. [Google Scholar] [CrossRef]
- Wei, H.; Deng, S.; Hu, B.; Chen, Z.; Wang, B.; Huang, J.; Yu, G. Granular Bamboo-Derived Activated Carbon for High CO2 Adsorption: The Dominant Role of Narrow Micropores. ChemSusChem 2012, 5, 2354–2360. [Google Scholar] [CrossRef]
- Martín, C.F.; Stöckel, E.; Clowes, R.; Adams, D.J.; Cooper, A.I.; Pis, J.J.; Rubiera, F.; Pevida, C. Hypercrosslinked organic polymer networks as potential adsorbents for pre-combustion CO2 capture. J. Mater. Chem. 2011, 21, 5475–5483. [Google Scholar] [CrossRef]
- Plaza, M.G.; Pevida, C.; Arias, B.; Fermoso, J.; Casal, M.D.; Martín, C.F.; Rubiera, F.; Pis, J.J. Development of low-cost biomass-based adsorbents for postcombustion CO2 capture. Fuel 2009, 88, 2442–2447. [Google Scholar] [CrossRef]
- González, A.S.; Plaza, M.G.; Rubiera, F.; Pevida, C. Sustainable biomass-based carbon adsorbents for post-combustion CO2 capture. Chem. Eng. J. 2013, 230, 456–465. [Google Scholar] [CrossRef]
- Presser, V.; Heon, M.; Gogotsi, Y. Carbide-derived carbons—From porous networks to nanotubes and graphene. Adv. Funct. Mater. 2011, 21, 810–833. [Google Scholar] [CrossRef]
- Gogotsi, Y.; Nikitin, A.; Ye, H.; Zhou, W.; Fischer, J.E.; Yi, B.; Foley, H.C.; Barsoum, M.W. Nanoporous carbide-derived carbon with tunable pore size. Nat. Mater. 2003, 2, 591–594. [Google Scholar] [CrossRef] [PubMed]
- Chandra, V.; Yu, S.U.; Kim, S.H.; Yoon, Y.S.; Kim, D.Y.; Kwon, A.H.; Meyyappan, M.; Kim, K.S. Highly selective CO2 capture on N-doped carbon produced by chemical activation of polypyrrole functionalized graphene sheets. Chem. Commun. 2012, 48, 735–737. [Google Scholar] [CrossRef] [PubMed]
- Sevilla, M.; Fuertes, A.B. Sustainable porous carbons with a superior performance for CO2 capture. Energy Environ. Sci. 2011, 4, 1765–1771. [Google Scholar] [CrossRef]
- Pevida, C.; Plaza, M.G.; Arias, B.; Fermoso, J.; Rubiera, F.; Pis, J.J. Surface modification of activated carbons for CO2 capture. Appl. Surf. Sci. 2008, 254, 7165–7172. [Google Scholar] [CrossRef]
- Mosher, K.; He, J.; Liu, Y.; Rupp, E.; Wilcox, J. Molecular simulation of methane adsorption in micro- and mesoporous carbons with applications to coal and gas shale systems. Int. J. Coal Geol. 2013, 109–110, 36–44. [Google Scholar] [CrossRef]
- Cinke, M.; Li, J.; Bauschlicher, C.W.; Ricca, A.; Meyyappan, M. CO2 adsorption in single-walled carbon nanotubes. Chem. Phys. Lett. 2003, 376, 761–766. [Google Scholar] [CrossRef]
- Kurniawan, Y.; Bhatia, S.K.; Rudolph, V. Simulation of binary mixture adsorption of methane and CO2 at supercritical conditions in carbons. AIChE J. 2006, 52, 957–967. [Google Scholar] [CrossRef]
- Davies, G.M.; Seaton, N.A. The effect of the choice of pore model on the characterization of the internal structure of microporous carbons using pore size distributions. Carbon N. Y. 1998, 36, 1473–1490. [Google Scholar] [CrossRef]
- Heuchel, M.; Davies, G.M.; Buss, E.; Seaton, N.A. Adsorption of carbon dioxide and methane and their mixtures on an activated carbon: Simulation and experiment. Langmuir 1999, 15, 8695–8705. [Google Scholar] [CrossRef]
- Farmahini, A.H.; Opletal, G.; Bhatia, S.K. Structural modelling of silicon carbide-derived nanoporous carbon by hybrid reverse Monte Carlo simulation. J. Phys. Chem. C 2013, 117, 14081–14094. [Google Scholar] [CrossRef]
- Lu, L.; Nicholson, D.; Bhatia, S.K. Adsorption of CH4 and CH4/CO2 mixtures in carbon nanotubes and disordered carbons: A molecular simulation study. Chem. Eng. Sci. 2015, 121, 268–278. [Google Scholar] [CrossRef]
- Zhao, J.; Buldum, A.; Han, J.; Lu, J.P. Gas molecule adsorption in carbon nanotubes and nanotube bundles. Nanotechnology 2002, 13, 195–200. [Google Scholar] [CrossRef]
- Xiao, J.; Sitamraju, S.; Janik, M.J. CO2 adsorption thermodynamics over N-substituted/grafted graphanes: A DFT study. Langmuir 2014, 30, 1837–1844. [Google Scholar] [CrossRef] [PubMed]
- Knowles, G.P.; Graham, J.V.; Delaney, S.W.; Chaffee, A.L. Aminopropyl-functionalized mesoporous silicas as CO2 adsorbents. Fuel Process. Technol. 2005, 86, 1435–1448. [Google Scholar] [CrossRef]
- Philemon, K.T.; Korir, K.K. Carbon dioxide gas sensing, capture, and storage potential of calcium oxide surface and single walled carbon nanotube: Insights from ab initio simulation. J. Phys. Condens. Matter 2020, 32, 245901. [Google Scholar] [CrossRef]
- Tan, L.; Tan, B. Hypercrosslinked porous polymer materials: Design, synthesis, and applications. Chem. Soc. Rev. 2017, 46, 3322–3356. [Google Scholar] [CrossRef] [PubMed]
- Lu, W.; Yuan, D.; Sculley, J.; Zhao, D.; Krishna, R.; Zhou, H.C. Sulfonate-grafted porous polymer networks for preferential CO2 adsorption at low pressure. J. Am. Chem. Soc. 2011, 133, 18126–18129. [Google Scholar] [CrossRef]
- James, A.; Reynolds, J.; Reed, D.; Styring, P.; Dawson, R. A Pressure Swing Approach to Selective CO2 Sequestration Using Functionalised Hypercrosslinked Polymers. ChemRxiv 2019, preprint. [Google Scholar] [CrossRef]
- Sun, L.B.; Kang, Y.H.; Shi, Y.Q.; Jiang, Y.; Liu, X.Q. Highly Selective Capture of the Greenhouse Gas CO2 in Polymers. ACS Sustain. Chem. Eng. 2015, 3, 3077–3085. [Google Scholar] [CrossRef]
- Xu, C.; Hedin, N. Microporous adsorbents for CO2 capture—A case for microporous polymers? Mater. Today 2014, 17, 397–403. [Google Scholar] [CrossRef]
- Fang, W.; Zhang, L.; Jiang, J. Polymers of intrinsic microporosity for gas permeation: A molecular simulation study. Mol. Simul. 2010, 36, 992–1003. [Google Scholar] [CrossRef]
- Sun, Y.; Wang, L.; Wang, R.; Zheng, S.; Liao, X.; Zhu, Z.; Zhao, Y. Insight on microscopic mechanisms of CH4 and CO2 adsorption of coal with different ranks. Fuel 2022, 330, 125715. [Google Scholar] [CrossRef]
- Hasegawa, Y.; Abe, C. Prediction of Adsorption and Diffusion Behaviors of CO2 and CH4 in All-Silica Zeolites Using Molecular Simulation. Membranes 2021, 11, 392. [Google Scholar] [CrossRef] [PubMed]
- Tang, D.; Kupgan, G.; Colina, C.M.; Sholl, D.S. Rapid Prediction of Adsorption Isotherms of a Diverse Range of Molecules in Hyper-Cross-Linked Polymers. J. Phys. Chem. C 2019, 123, 17884–17893. [Google Scholar] [CrossRef]
- Yilmaz, G.; Ozcan, A.; Keskin, S. Computational screening of ZIFs for CO2 separations. Mol. Simul. 2014, 41, 713–726. [Google Scholar] [CrossRef]
- Khosrowshahi, M.S.; Abdol, M.A.; Mashhadimoslem, H.; Khakpour, E.; Emrooz, H.B.M.; Sadeghzadeh, S.; Ghaemi, A. The role of surface chemistry on CO2 adsorption in biomass-derived porous carbons by experimental results and molecular dynamics simulations. Sci. Rep. 2022, 12, 8917. [Google Scholar] [CrossRef]
- Gomaa, I.; Guerrero, J.; Heidari, Z.; Espinoza, D.N. Experimental Measurements and Molecular Simulation of Carbon Dioxide Adsorption on Carbon Surface. In SPE Annual Technical Conference and Exhibition; OnePetro: Richardson, TX, USA, 2022. [Google Scholar] [CrossRef]
- Ma, X.; Xu, W.; Su, R.; Shao, L.; Zeng, Z.; Li, L.; Wang, H. Insights into CO2 capture in porous carbons from machine learning, experiments and molecular simulation. Sep. Purif. Technol. 2023, 306, 122521. [Google Scholar] [CrossRef]
















| Reference | Scope of Review |
|---|---|
| Abdelrasoul et al. [6] | Discusses the benefits of computational studies through Monte Carlo and Molecular Dynamics in better understanding adsorbent properties in diffusion and adsorption processes. This includes detailed revision of cation–zeolite–adsorbate interactions and their influence on structural dynamics and adsorbent properties. |
| Sturluson et al. [8] | Gas adsorption simulations and their use in the discovery of high-performing MOF structures. A comprehensive list of applications is reviewed from methane, hydrogen, and oxygen storage to CO2 capture, and xylene enrichment. |
| Wang et al. [10] | Molecular Simulation Methods through DFT, GCMC, and MD applications in shale matrix. This is specific to understanding gas transport in shale matrix through studying the intermolecular interactions that play a part in the amount of adsorbed gas on shale matrix and dissolved gas in the bulk [10]. |
| Ruiperez [11] | The use of quantum chemistry in characterising polymer material through reaction modelling for polymerisation, dynamic bonds and associated interactions, and analysis of intermediate and excited states. |
| Mansour et al. [12] | Experimental and numerical modelling for carbon capture through physisorption. Simulation via mathematical modelling at a macro scale rather than molecular scale is reviewed in fixed bed columns utilizing MOFs, zeolites, and carbon-based materials. |
| Li et al. [13] | Methods of macro modelling of CO2 and N2 adsorption, and a screening methodology for the representative equation group of each specific system. The equation group includes parameters representing the kinetics, equilibrium, momentum loss and heat loss within a system. |
| Getman et al. [9] | Adsorption modelling of Methane, Hydrogen, and Acetylene storage in MOFs and COFs through GCMC and Quantum calculations. In-depth discussions on simulation techniques for parameterization and system dependency. An analysis of functionalization and Cation-doped adsorbents is included, including limitations in modelling such systems. |
| Rafiee and Moghadam [14] | Techniques in modelling the structures of carbon nanotube, and their effectiveness in predicting the mechanical behaviour of CNTs. A detailed analysis of computational time, applicability to larger systems, as well as accuracy in representations as a continuum structure compared to atomistic modelling. |
| Pore Diameter = 4.2 nm | Pore Diameter = 1.9 nm | |||
|---|---|---|---|---|
| 1 bar | 10 bar | 1 bar | 10 bar | |
| unmodified MCM-41 | 7.0 | 6.4 | 9.0 | 8.5 |
| difluorophenyl | 12.3 | 8.9 | 12.7 | 12.8 |
| diaminophenyl | 16.5 | 13.9 | 16.9 | 18.0 |
| propylamine | 8.7 | 7.2 | 10.0 | 9.3 |
Disclaimer/Publisher’s Note: The statements, opinions and data contained in all publications are solely those of the individual author(s) and contributor(s) and not of MDPI and/or the editor(s). MDPI and/or the editor(s) disclaim responsibility for any injury to people or property resulting from any ideas, methods, instructions or products referred to in the content. |
© 2023 by the authors. Licensee MDPI, Basel, Switzerland. This article is an open access article distributed under the terms and conditions of the Creative Commons Attribution (CC BY) license (https://creativecommons.org/licenses/by/4.0/).
Share and Cite
Wadi, B.; Golmakani, A.; N.Borhani, T.; Manovic, V.; Nabavi, S.A. Molecular Simulation Techniques as Applied to Silica and Carbon-Based Adsorbents for Carbon Capture. Energies 2023, 16, 5013. https://doi.org/10.3390/en16135013
Wadi B, Golmakani A, N.Borhani T, Manovic V, Nabavi SA. Molecular Simulation Techniques as Applied to Silica and Carbon-Based Adsorbents for Carbon Capture. Energies. 2023; 16(13):5013. https://doi.org/10.3390/en16135013
Chicago/Turabian StyleWadi, Basil, Ayub Golmakani, Tohid N.Borhani, Vasilije Manovic, and Seyed Ali Nabavi. 2023. "Molecular Simulation Techniques as Applied to Silica and Carbon-Based Adsorbents for Carbon Capture" Energies 16, no. 13: 5013. https://doi.org/10.3390/en16135013
APA StyleWadi, B., Golmakani, A., N.Borhani, T., Manovic, V., & Nabavi, S. A. (2023). Molecular Simulation Techniques as Applied to Silica and Carbon-Based Adsorbents for Carbon Capture. Energies, 16(13), 5013. https://doi.org/10.3390/en16135013

