Abstract
The hydrogen supply system is one of the important components of a hydrogen fuel cell engine, and its performance has an important impact on the economy and power of the engine system. In this paper, a hydrogen supply system based on cyclic mode is designed for a hydrogen fuel cell stack with a full load power of 150 kW, and the corresponding hydrogen fuel cell engine simulation model is built and validated. The control strategy of the fuel cell hydrogen supply system is developed, and its effect is verified through bench tests. The results show that the developed control strategy can keep the volume fraction of nitrogen below 6%, the hydrogen excess ratio does not exceed 1.5 under medium and high operating conditions, the anode pressure is relatively stable, and the stack can operate efficiently and reliably.
1. Introduction
With the advantages of high fuel calorific value, easy access to fuel, zero emissions, and high efficiency, hydrogen fuel cells are developing faster and faster around the world. The hydrogen supply system, as one of the important components of the fuel cell engine system, significantly affects operating conditions and stack performance.
The anode pressure is related to the output power of the fuel cell and the lifetime of the proton exchange membrane. He et al. considered the flow state of the two-phase flow inside the anode, developed a control-oriented dynamic model of the fuel cell system, designed a controller that can stably maintain the hydrogen excess ratio and the anode pressure, and performed a static and dynamic analysis of the controller’s performance [1]. Cheng et al. modeled the hydrogen circulation system [2] and designed linear and nonlinear multivariable controllers [3] for air and circulating hydrogen, which can control the differential cathode and anode pressures within a set range.
The arrangement of the hydrogen supply system determines hydrogen utilization. Hwang studied the effect of the arrangement of the hydrogen supply system on the efficiency of the fuel cell engine and controlled the hydrogen supply by algorithms to reduce the effect of nitrogen and liquid water on the stack performance to improve hydrogen utilization and fuel cell engine efficiency [4]. Toghyani et al. studied using simulation the performance of the mechanical compressor, inducer, and electrochemical pump compared for different gas inlet conditions, different numbers of single cells, and different effective areas of the stack [5]. Han et al. evaluated the performance of the hydrogen circulation pump and the eductor by establishing a simulation model for the 200 kW fuel cell system. The results show that the use of an eductor and hydrogen circulation pump in series as a hydrogen cycle system in a high-power fuel cell system can effectively improve the system efficiency [6]. Zhang et al. established a complete high-power fuel cell system model, based on which the control strategy of the proportional valve and hydrogen circulation pump was studied, and the calculation model and control strategy were verified by experiments [7].
Due to gas infiltration, nitrogen will enter from the cathode to the anode, decreasing the hydrogen content and degrading the stack’s performance. Not only a reasonable prediction of anode nitrogen content but also a suitable exhaust strategy to reduce the nitrogen content is required. Promislow et al. developed a hydrogen supply system model containing hydrogen circulation processes and nitrogen infiltration processes that can calculate the steady-state condition [8]. Hong et al. established the hydrogen supply system model of fuel cells, studied the nitrogen content problem of the hydrogen supply system, and designed a control strategy based on a nonlinear MIMO output feedback control algorithm, which has a good transient response under large-scale load fluctuations [9]. Mokmeli et al. developed a model of a fuel cell system including an exhaust valve, investigated the exhaust strategy with the objective of reducing anode pressure and hydrogen consumption, and developed an exhaust strategy that can stably maintain anode pressure when not exhausted [10]. Ahluwalia et al. simplified the exhaust valve to a permanently open vent and reduced the diameter of the vent substantially to obtain a relatively stable anode pressure and stack voltage [11]. Koski et al. experimentally verified the feasibility of this approach in a new hydrogen fuel cell laboratory simulating an automotive environment and concluded that it could reduce the cost of fuel cell engines [12]. Gade et al. optimized the diameter of the exhaust port to keep the nitrogen concentration at a low level [13].
Though the hydrogen supply system has been fully investigated and great progress has been made, the control strategy of the hydrogen supply system still needs to be further researched. Therefore, a hydrogen supply system based on cyclic mode is designed for a hydrogen fuel cell stack. In this study, the influence of control strategies and their parameters on the characteristics of the stack is studied based on a simulation model, and a corresponding control strategy is developed and verified.
2. Fuel Cell Engine System Modeling
A certain type of fuel cell engine is used as the modeling object; the fuel cell stack is a hydrogen fuel cell stack with a full load power of 150 kW; the hydrogen excess ratio is 1.5 at maximum; the inlet hydrogen humidity needs to be maintained at 20–40%; and the hydrogen is supplied in a cyclic mode, as shown in Figure 1.
Figure 1.
Schematic diagram of the fuel cell hydrogen supply system.
2.1. Modeling of the Hydrogen Fuel Cell Stack
To simplify the calculation, some assumptions are made as follows:
- The stack is a whole; the voltage, runner volume of cathode, cathode, and cooling water are the sum of a single cell, and the pressure, temperature, and flow rate of internal fluid are treated as a uniform distribution;
- Gases are treated as continuous, homogeneous ideal gases;
- Only consider the variation of flow rate and components;
- The water vapor inside the flow channel will become liquid water only when it exceeds the maximum amount of vapor that can be accommodated, and the liquid water will not collect inside the cathode and anode.
The simplified fuel cell stack consists of six sub-models: voltage model, anode flow model, cathode flow model, gas permeation model, water transport model across the membrane, and thermal model.
2.1.1. Voltage Model
After subtracting the polarization loss, ohmic loss, and concentration difference loss from the reversible open-circuit voltage, the terminal voltage of a single cell can be obtained:
In Equation (1), is the terminal voltage of the single cell, is the reversible open-circuit voltage, is the activation loss voltage, is the ohmic loss voltage, and is the concentration difference loss voltage. Their values can be calculated based on some references [14,15,16]. The voltage of the stack can be expressed by Equation (2):
where n is the number of cells per cell. In practice, the reaction gas is not evenly distributed inside the stack, and the voltage of each single cell is not exactly the same, so it is necessary to multiply an additional correction factor to fit reality.
2.1.2. Cathodic and Anode Flow Models and Heat Transfer Models
The fluid components in the cathode and anode flow channels are mainly hydrogen, oxygen, nitrogen, and water. Liquid water does not accumulate inside the cathode or anode. After the above simplification, using the law of conservation of mass, the equilibrium Equation (3) can be established to describe the mass transfer process of the cathode and anode:
where is quality; is the mass flow rate; the subscripts , , , , and represent hydrogen, oxygen, nitrogen, water, and water vapor, respectively; and represent ingress and egress, respectively; and indicate participation in the reaction and transmembrane transport, respectively.
In addition to the flow of fluid, the internal cathode and anode also contain the transfer of energy. According to the conservation of energy, the established thermal equilibrium equation is shown in Equation (4):
where is the sensible heat power of the fluid; is the mass transfer heat power; is the endothermic power of liquid water; and is heat transfer power for fluids and stacks.
2.1.3. Water Transport across Membranes
In fuel cells, there are two main reasons for water transmembrane transport: electroosmotic dragging caused by an electric field and reverse osmosis caused by concentration differences. The mass flow rate of water transported across the membrane in the stack is expressed by Equation (5).
where is the effective area of a single cell and is the flow of water through the membrane. The parameters can be calculated according to the references [17,18,19].
2.1.4. Nitrogen Permeation Model
In the actual situation, the proton exchange membrane cannot meet the requirements of only passing through protons: there will be a small amount of gas driven by the concentration difference moving between the cathode and anode. Here is the main analysis of nitrogen penetration in the fuel cell, nitrogen permeation, with Formula (6) to calculate:
where is the mass flow of nitrogen permeating the anode and is the flux of nitrogen permeating material. The parameters can be calculated according to the references [20,21].
2.1.5. Thermal Model
The energy generated by the internal chemical reaction of the fuel cell is part exported outward, and the other part becomes heat energy, most of which will be taken away by the coolant; a small part will be taken away by the fluid of the cathode and anode; a very small part will be absorbed by the liquid water in the battery; and the remaining heat is lost in the environment in the form of radiation. Using the energy conservation equation, the thermal equilibrium equation for fuel cells can be obtained:
In Equation (7), is the heat capacity of the stack; is the heat yield of the chemical reaction; is the fuel cell output power; is the heat absorption rate of liquid water; is the sensible heat power of the fluid; and is the thermal power radiated by the fuel cell to the environment. Some literature can be consulted for calculations [22,23].
2.1.6. Parameters of the Fuel Stack
The fuel cell stack parameters involved in the modeling are obtained from a 150 kW fuel cell stack, as shown in Table 1.
Table 1.
Fuel cell stack parameters.
2.2. Modeling of Fuel Cell Auxiliary System
To reduce the complexity of the model and improve computational efficiency, only some main auxiliary parts are modeled. The hydrogen storage tank and the pressure-reducing valve are regarded as a whole and simplified to an environment with a constant temperature and 0.6 MPa pressure. The separator is omitted since it is not the focus of this paper. Neither the intercooler nor the radiator is the focus of this paper, and by default both can work optimally to cool fluid to the target temperature, and the fluid does not undergo phase changes.
The proportional valve, throttle, and exhaust valve are all valve-like parts; thus, the valve is simplified to a scaled nozzle with a circular throat cross-section and variable area, and the flow rate and cross-sectional area of the nozzle throat are calculated by Equation (8) [24].
where CD is the flow coefficient of the valve; Avalve is the cross-sectional area of valve flow, m2; Pvalve,in is the fluid pressure flowing into the valve, Pa; Pvalve,out is the fluid pressure of the outflow valve, Pa; Tvalve,in is the temperature of the fluid flowing into the nozzle, and K; γ is the adiabatic index of the fluid.
The models of air compressor, water pump, and hydrogen circulation pump are established by the performance curves. The model of humidifier refers to a gas-air film humidifier, which uses wetted fluid at the cathode outlet to humidify the fluid flowing into the stack. According to the inlet fluid flow rate Wdry,in, using the characteristic curve, the inlet temperature ∆Td and inlet dew point ∆Td,in at the corresponding flow rate are obtained, from which the dry gas outlet temperature and dry gas outlet dew point can be calculated, as shown in Equations (9) and (10). Then the saturation vapor pressure formula is used to calculate the saturation water vapor pressure and the actual water vapor pressure to obtain the relative humidity of the fluid after passing through the humidifier, i.e., the relative humidity of the electric stack inlet.
2.3. Validation of the Fuel Cell Engine Model
To verify the model’s accuracy, the hydrogen volume flow rate, coolant outlet temperature, and polarization curves under different steady-state operating conditions are compared with experimental results. Figure 2, Figure 3, Figure 4 and Figure 5 show the comparison between simulation results and experimental results for the polarization curve, hydrogen flow rate, and cooling water outlet temperature, respectively. It can be seen that simulation results have the same trend as experimental results, and the overall error is within 6%. Therefore, the model has good accuracy and can be used for the control strategy research of the hydrogen supply system.
Figure 2.
Comparison of the polarization curve.
Figure 3.
Comparison of hydrogen flow rates.
Figure 4.
Comparison of cooling water outlet temperatures.
Figure 5.
The relationship between nitrogen volume fraction and duty cycle.
3. Simulation Study on the Control Strategy of the Fuel Cell Hydrogen Supply System
With the proportional valve, hydrogen circulation pump, and exhaust valve as the control objects, the control strategy of the hydrogen supply system of the fuel cell engine is studied based on the model to maintain the internal pressure of the stack as well as the hydrogen excess ratio and reduce the anode nitrogen content.
3.1. Analysis of the Hydrogen Supply System Control Strategy
3.1.1. Main Factors: Orthogonal Test Design
In cyclic mode, the hydrogen circulation pump speed has opposite effects on system efficiency and the hydrogen excess ratio. The control of the exhaust valve is mainly reflected in the exhaust cycle and duration, both of which have different influences on the additional hydrogen consumption, nitrogen content, and anode pressure. Therefore, the hydrogen circulation pump speed, exhaust duration, and cycle will be investigated in the next study.
Seventeen operating conditions are selected equidistantly in the current density range of 0.1–1.7 A/cm2, and the effects of hydrogen cycle pump speed, exhaust duration, and cycle on nitrogen volume fraction, hydrogen excess ratio, stack voltage, and anode pressure are analyzed under each operating condition by orthogonal tests. The factors and levels of the orthogonal test are shown in Table 2, which is a three-factor and three-level orthogonal test. The orthogonal test design table is shown in Table 3, which also includes the duty cycle and exhaust valve closing times to facilitate the analysis of the results.
Table 2.
Orthogonal test factors and levels.
Table 3.
Orthogonal experimental design table.
The initial temperature of the stack is set equal to the ambient temperature, i.e., 15 °C. Pure hydrogen is fed into the anode under a pressure of 1 bar, and air is fed into the cathode under a pressure of 1 bar. In order to ensure that the final calculation results can represent the steady-state conditions of the stack, the simulation time is set to 240 s.
3.1.2. Comparative Analysis of Simulation Results
The simulation results show that parameters have the same trend under different loads; therefore, three representative operating conditions are selected to analyze the characteristics of parameters, i.e., 20%, 60%, and 100% of full load power. Figure 5 shows the relationship between nitrogen volume fraction and the duty cycle under different operating conditions. It can be seen that the volume fraction of nitrogen decreases with the increase in duty cycle, and the rate of change of the nitrogen volume fraction gradually decreases.
Figure 6 shows the relationship between the amount of nitrogen variation and exhaust duration. When the exhaust cycle is 8 s, the shorter the exhaust time, the better the exhaust effect, and the nitrogen accumulated within one cycle is very little. When the exhaust cycle is 10 s, the amount of nitrogen variation rises first and then falls, reaching its peak at 9 s, which means the best exhaust effect at this time. When the exhaust cycle is 19 s, the amount of nitrogen variation increases with the increase in exhaust time, and the longer the exhaust duration, the better the exhaust effect. In summary, when the exhaust cycle is lower than 10 s, a smaller exhaust duration should be selected as far as possible to ensure a better exhaust effect.
Figure 6.
The relationship between the amount variation of nitrogen and exhaust duration.
Figure 7 shows the variation of nitrogen volume fraction with time for different test groups under load currents of 105 A, 350 A, and 595 A, respectively. Under different operating conditions, the trend of nitrogen volume fraction is basically the same, i.e., it gradually increases and finally fluctuates within a certain range. Only the value of group 9 has been in the rising state, which means that group 9 cannot reach the stable state within 240 s, thus it is not considered. Under the three operating conditions, the volume fraction of nitrogen is lower than 4%, 5%, and 6%, respectively. The nitrogen volume fraction increases with the increase in current, owing to the enhancement of nitrogen diffusion from cathode to anode. Combined with groups (1/4/7), (2/5/8), and (3/6/9), the nitrogen volume fraction is significantly different under the same pump speed; thus, the pump speed has no effect on the nitrogen volume fraction. Combined with groups (1/6/8), (3/5/7), and (2/4/9), the longer the duration, the lower the nitrogen content under the same exhaust cycle. Combined with groups (1/5/9), (2/6/7), and (3/4/8), the longer the exhaust cycle, the higher the nitrogen content, under the same exhaust duration.
Figure 7.
Variation of the anode nitrogen volume fraction for different groups.
Figure 8 shows the variation of hydrogen flow rate and hydrogen excess ratio with time for different test groups under load currents of 105 A, 350 A, and 595 A, respectively. It can be seen that the hydrogen flow rate and hydrogen excess ratio change abruptly and periodically, which is due to the periodic opening of the exhaust valve. Under different operating conditions, the hydrogen flow rate and excess ratio are stratified. The lowest layer is group (1/4/7), with the same pump speed of 2500 r/min. The middle layer is a group (2/5/8) with the same pump speed of 3000 r/min. There are obvious differences between groups (2/5) and 8, which is because the volume fraction of nitrogen in groups 2 and 5 is not much different. However, the volume fraction of nitrogen in group 8 is lower, leading to a higher volume fraction of hydrogen. The highest layer is group (3/6/9), with the same pump speed of 3500 r/min. There is an obvious difference between groups (3/6) and 9, and the volume fraction of nitrogen in group 9 is higher while the corresponding hydrogen content is lower.

Figure 8.
Variation of hydrogen flow rate and excess ratio for different groups.
Figure 9 and Figure 10 show the variation of voltage and anode pressure with time under different operating conditions. At the beginning of the simulation, the parameters were not stabilized, but they gradually stabilized after 50 s, and they can be considered to be in a stable state. Under the same current, the voltage and anode pressure do not show large differences or wide fluctuations, which indicates that the voltage and anode pressure of the stack remain stable and do not show wide fluctuations when the volume fraction of nitrogen is below 6%, the exhaust period does not exceed 20 s, and the exhaust duration does not exceed 1.5 s.
Figure 9.
Stack output voltage under different operating conditions.
Figure 10.
Anode pressure under different operating conditions (absolute pressure).
3.2. Hydrogen Supply System Control Strategy Development
The difference between target anode pressure Pan,obj and actual anode pressure Pan is adjusted by a proportional valve using a PI controller, and the control strategy block diagram is shown in Figure 11. Based on the above study, a control strategy for the exhaust valve is developed by dividing operating conditions into three zones, including 0–300 A, 300–450 A, and 450–595 A, as shown in Table 4, and each zone has the same exhaust cycle, exhaust duration, pump speed, and duty cycle.
Figure 11.
Block diagram of the control strategy of the hydrogen supply system.
Table 4.
Hydrogen supply system control strategy.
3.3. Simulation and Results Analysis of the Hydrogen Supply System Control Strategy
In order to verify the applicability of the control strategy, the simulations are conducted under the full operating conditions of the fuel cell engine, and the load current is set to 35 A, 70 A, 105 A, 140 A, 175 A, 210 A, 245 A, 280 A, 315 A, 350 A, 385 A, 420 A, 455 A, 490 A, 525 A, 560 A, and 595 A, respectively. Each condition is set to run for 240 s to achieve stable operation.
Figure 12 shows the nitrogen volume fraction before and after the exhaust valve opening under different operating conditions. In the range of 0–150 A, the nitrogen volume fraction remains within 5%, and the difference between different valve states is not significant. In the range of 150–600 A, the nitrogen volume fraction fluctuates within 4–6% with an obvious difference. This is because when a single working condition reaches a steady state, the volume fraction of nitrogen will still fluctuate slightly with time. In order to be able to clearly see the volume fraction of nitrogen under the entire working condition, the nitrogen integration number of each working condition is selected for 240 s to plot, which also means that the nitrogen integration number of some working conditions is above the average value of the fluctuation and some working conditions are located below the average value, resulting in fluctuations in the curve. This exhaust strategy can keep the anode nitrogen volume fraction below 6% for all operating conditions, which is much lower than the 20% in the literature [25]. The reduction in the volume fraction of nitrogen from 20% to 6% indicates that this control strategy can improve the performance of the stack. This is because the nitrogen transported through the transmembrane collects at the anode, causing the partial pressure of hydrogen to drop. The higher the volume fraction of nitrogen, the lower the partial pressure of hydrogen, and the lower the output power of the stack.
Figure 12.
The nitrogen volume fraction before and after the opening of the exhaust valve.
Figure 13 shows the hydrogen excess ratio before and after the opening of the exhaust valve under different operating conditions. The hydrogen excess ratio is kept below 1.5 in medium and high operating conditions, around 1.3 in medium current density, and around 1.2 in high current density, which is in accordance with the expected value.
Figure 13.
Hydrogen excess ratio under different operating conditions.
The hydrogen supply system dynamic characteristics under different operating conditions have a similar situation; therefore, only the operating condition at a load current of 315 A is selected as the analysis object, and the dynamic characteristics are shown in Figure 14. After the exhaust valve is opened, the flow rate, excess ratio of hydrogen, and nitrogen volume fraction change abruptly, but the change in anode pressure is within 1 kPa. When the exhaust valve is opened, some nitrogen and hydrogen flow out of the valve, leading to a decrease in hydrogen volume. Then the proportional valve opening is increased to quickly fill the loss of anode pressure, which indicates that the control strategy of the proportional valve achieved the expectation.
Figure 14.
Dynamic characteristics of the hydrogen supply system (load current: 350 A).
From above, the control strategy can ensure that the nitrogen volume fraction is below 6%, the hydrogen excess ratio is no more than 1.5, and the anode pressure maintains stable, which means the strategy of the hydrogen supply system can meet the demand of the fuel cell engine system.
4. Experimental Study of the Hydrogen Supply System Control Strategy
4.1. Fuel Cell Engine Test Bench
The fuel cell engine system test bench is shown in Figure 15. It consists of seven parts: the stack module, the hydrogen supply system, the air supply system, the hydrothermal management system, the control system, the electronic load system, and the auxiliary power system.
Figure 15.
Fuel cell engine system test platform.
The hydrogen supply system contains a hydrogen storage tank, proportional valve, flow meter, circulation pump, vapor separator, and safety device. Among them, the proportional valve is a direct-acting solenoid valve with a diameter range of 2–9.5 mm, a pressure range of 0–25 bar, and a power consumption of 16 W. It is controlled by a PID algorithm. The hydrogen circulation pump is a claw circulation pump with a rated pressure rise of 40 kPa, a rated speed of 8000 r/min, and a rated power consumption of 7 kW. The speed can be adjusted by the controller according to the load current. The air supply system contains an air filter, compressor, intercooler, humidifier, throttle, etc. The control system contains industrial control computers, upper computer software, data acquisition cards, etc. The electronic load is continuously adjustable, operated, and controlled by a computer, with two loading methods: constant power loading and constant current loading. The auxiliary power system contains a DC power supply and an auxiliary power supply; the former is responsible for providing power for battery start-up, and the latter provides power for auxiliary parts such as the controller, sensor, etc.
The sensors used in this test platform include voltage sensors, current sensors, temperature sensors, humidity sensors, flow meters, pressure sensors, etc., which are used to measure stack voltage, current, temperature, and pressure at the hydrogen inlet and outlet, temperature, pressure, and humidity at the air inlet and outlet, hydrogen and air mass flow, and other parameters. The measurement accuracy of these sensors is shown in Table 5.
Table 5.
Sensor measurement accuracy.
4.2. Fuel Cell Engine Test Program
In this test, the operating conditions are changed by changing the load current, and the states of the auxiliary components are also determined by the stack current, including the proportional valve opening, throttle opening, exhaust valve state, hydrogen circulation pump speed, pump speed, air compressor speed, etc. The specific test conditions are shown in Table 6.
Table 6.
Fuel cell engine system test conditions.
During the test, the load current is increased from 0 to 35 A, 70 A, 105 A, 140 A, 175 A, 210 A, 245 A, 280 A, 315 A, 350 A, 385 A, 420 A, 455 A, 490 A, 525 A, 560 A, and 595 A. The data sampling frequency of the acquisition system is 5 Hz. When the load changes, the inlet pressure, stack internal pressure, and cooling water pressure need to be raised to the corresponding level of the target current first, and then the load current is raised.
4.3. Analysis of Fuel Cell Engine Test Results
4.3.1. Power Analysis
Figure 16 shows the polarization curve and power density curve of the fuel cell, and it can be seen that the single cell voltage ranges from 0.6 to 0.85 V, and the difference between the theoretical voltages is greater than 0.35 V. The stack does not show a sudden drop in voltage, which means that the current density at full load does not reach the lower limit where the concentration polarization works. The power density curve increases with the increase in current density, but the change rate gradually decreases and the curve flattens out, indicating that the output power of the stack is near the maximum power point at full load.
Figure 16.
Polarization curve and power density curve.
Figure 17 shows the stack power and system power at different currents. Since some components of the fuel cell engine system, such as hydrogen circulation pumps, water pumps, air compressors, etc., require additional electrical energy input; when calculating system power, the energy consumption of this part must be subtracted, thus the system power is always less than the stack power. The output power increases with the increase in load current; the output power of the stack and the engine is 150 kW and 120 kW, respectively, under full load conditions. The difference between stack power and system power increases with the increase in current. With the increase in load current, the pump speed, air compressor, and water pump increase, and the energy consumed increases, leading to an increased difference between stack power and system power.
Figure 17.
Stack power and system power under different operating conditions.
4.3.2. Economic Analysis
Efficiency, including stack efficiency and system efficiency, and hydrogen consumption are used to evaluate the economy of the fuel cell engine. The stack efficiency and system efficiency are calculated as follows.
where ηst and ηsys are the stack efficiency and system efficiency, respectively. Pst and Psys are the stack power and system power, in kW. ∆Hlow is the low-level calorific value of hydrogen, in J/mol. WH2,in is the mass flow rate of dry hydrogen in kg/s. MH2 is the molar mass of hydrogen in kg/mol. Hydrogen consumption is the amount of hydrogen consumed per unit of power generation and is calculated as follows.
Figure 18 shows stack efficiency and system efficiency under different conditions. The stack efficiency ranges from 44 to 63%, the system efficiency ranges from 37 to 55%, and both decrease with the increase of load current within the current density of 100–600 A. Energy loss increases with the increase in current, plus a large part of energy is transformed into heat energy, which is taken away by cooling water or directly dissipated into the environment, which results in a lower stack efficiency. On the other hand, as the load current increases, the power consumption of the auxiliary components is also elevated. In the range of 25–100 A, the change in system efficiency does not conform to this trend because the model does not consider the control strategy adopted at startup, resulting in the simulation results at low load deviating from the experimental results. However, the stack generally operates at medium and high currents, and the starting strategy of the stack is not studied in this paper, so the deviation at low currents is not considered in this paper.
Figure 18.
Stack efficiency and system efficiency under different operating conditions.
Figure 19 shows the hydrogen consumption under different operating conditions. The hydrogen consumption increases gradually with the increase in current. In the full load current condition, the hydrogen consumption reaches 62.4 g/kWh. Under medium and low current conditions, the hydrogen consumption is basically linear with the current because the power and current of the stack are also basically linear at this time. Under high current conditions, hydrogen consumption rapidly increases, and the rate of change in hydrogen consumption gradually increases.
Figure 19.
Hydrogen consumption under different working conditions.
4.3.3. Analysis of the Hydrogen Supply System’s Dynamic Characteristics
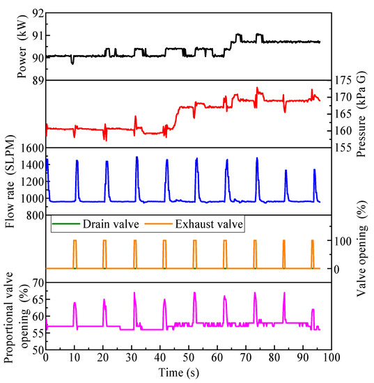
The hydrogen supply system dynamic characteristics at 315 A are shown in Figure 20. It can be seen that the opening of the drain valve and exhaust valve directly affects the opening of the proportional valve, which affects the dry hydrogen flow and anode pressure, and finally affects the power of the stack. The power and anode pressure have periodic changes, but the characteristics are not obvious.
Figure 20.
Dynamic characteristics of the hydrogen supply system at a load current of 315 A.
In the first two exhaust cycles, the stack power and the anode inlet pressure do not change significantly, but when the exhaust valve is opened, there is a sudden change.
During the fourth exhaust cycle, affected by the opening and closing of the valve, the anode inlet pressure begins to rise, and the stack power appears to rise first and then fall. The reason for this situation may be that with the adjustment of proportional valves, drain valves, and exhaust valves, the anode inlet pressure increases, the partial pressure of hydrogen increases, the reaction rate increases, and the power of the stack rises. With the progress of the reaction and the accumulation of nitrogen in the anode, the partial pressure of hydrogen decreases, and the power of the stack also decreases. During the sixth exhaust cycle, the anode inlet pressure after valve regulation fluctuates at a higher position, and the stack power also appears to rise first and then fall. In general, during 3–6 exhaust cycles, the stack power fluctuates without strong cycling characteristics, which may be caused by the system being in an unstable state due to the increase in anode pressure. In general, during the 3–6 exhaust cycles, the power of the stack fluctuates without strong cyclic characteristics, probably due to the unstable state of the system caused by the increase in anode pressure.
During the last three cycles, stack power and anode pressure gradually stabilized, with a large change only when the exhaust valve was opened. The power of the stack varies within 0.5 kW and the anode pressure varies within 5 kPa, while the hydrogen flow rate varies periodically within 500 SLPM and the proportional valve opening varies periodically within 5–10%. The nitrogen content can affect the power of the stack, but the negative impact of the nitrogen on the stack power is effectively reduced due to a reasonable exhaust strategy.
The proportional valve can quickly adjust the opening degree when the anode pressure changes and replenish the hydrogen for the anode, and the change of the anode pressure is within 10 kPa, which achieves the expected effect. The control strategy can meet the engine demands at low and medium current densities, and at high current densities, to a certain extent, it alleviates the problem of stack power drop.
5. Conclusions
In this paper, a hydrogen supply system for a fuel cell stack with a full load power of 150 kW is designed, the influence laws of control parameters on the characteristics of the stack are studied based on the model, and a corresponding control strategy is developed. Meanwhile, the effect of the control strategy is verified by experiments. The following conclusions can be obtained:
- (1)
- The nitrogen volume fraction in the anode increases with the increase in load current, but the growth rate gradually decreases, and is also inversely proportional to the duty cycle. When the exhaust cycle is short, a shorter exhaust duration should be selected. When the exhaust cycle is large, the longer the exhaust duration, the better the exhaust effect. When the volume fraction is less than 6%, the nitrogen will not significantly affect the output voltage and anode pressure;
- (2)
- The following control strategy of the hydrogen supply system is developed: when the current is 0–300 A, the hydrogen circulation pump speed is 2500 r/min, the exhaust cycle is 20 s, and the exhaust time is 1 s; when the current is 300–450 A, the hydrogen circulation pump speed is 3000 r/min, the exhaust cycle is 10 s, and the exhaust time is 0.5 s; when the current is 300~450 A, the hydrogen circulation pump speed is 3500 r/min, the exhaust cycle is 8 s, and the exhaust duration is 0.5 s;
- (3)
- The control strategy of the hydrogen supply system can keep the nitrogen volume fraction below 6%, the hydrogen excess ratio does not exceed 1.5 under medium and high working conditions, and the anode pressure is relatively stable, so it can operate efficiently and reliably. The proportional valve can quickly adjust the opening degree when the anode pressure changes to replenish the anode with hydrogen, and the anode pressure changes within 10 kPa, which achieves the expected effect. The control strategy of the exhaust valve can meet the actual needs at low and medium current densities and alleviate the stack power drop to a certain extent at high current densities.
Author Contributions
Conceptualization, M.Z. and W.W.; methodology, X.Z.; software, W.W.; validation, X.Z., M.C. and Z.G.; formal analysis, X.Z.; investigation, M.Z. and W.W.; resources, K.S., S.B. and G.L.; data curation, M.C.; writing—original draft preparation, M.Z.; writing—review and editing, W.W.; visualization, M.C.; supervision, K.S., S.B. and G.L.; project administration, S.B.; funding acquisition, S.B. All authors have read and agreed to the published version of the manuscript.
Funding
This research was funded by the National Key R&D Program of China, grant number 2020YFB0106603, the Shandong Province Key R&D Program, grant number 2020CXGC010404, and the Shandong Province Key R&D Program, grant number 2020CXGC010406.
Data Availability Statement
Data are available on request from the authors.
Acknowledgments
The authors want to express sincere thanks to all who have helped with the techniques for this research and all the authors of the references.
Conflicts of Interest
The authors declare no conflict of interest.
References
- He, J.; Ahn, J.; Choe, S. Analysis and control of a fuel delivery system considering a two-phase anode model of the polymer electrolyte membrane fuel cell stack. J. Power Source 2011, 196, 4655–4670. [Google Scholar] [CrossRef]
- Cheng, B.; Ouyang, M.; Yi, B. Modeling and control of air stream and hydrogen flow with recirculation in a PEM fuel cell system—I. Control-oriented modeling. Int. J. Hydrogen Energy 2006, 31, 1879–1896. [Google Scholar] [CrossRef]
- Cheng, B.; Ouyang, M.; Yi, B. Modeling and control of air stream and hydrogen flow with recirculation in a PEM fuel cell system—II. Linear and adaptive nonlinear control. Int. J. Hydrogen Energy 2006, 31, 1897–1913. [Google Scholar] [CrossRef]
- Hwang, J. Effect of Hydrogen Delivery Schemes on Fuel Cell Efficiency. J. Power Source 2013, 239, 54–63. [Google Scholar] [CrossRef]
- Toghyani, S.; Afshari, E.; Baniasadi, E. A parametric comparison of three fuel recirculation system in the closed loop fuel supply system of PEM fuel cell. Int. J. Hydrogen Energy 2019, 44, 7518–7530. [Google Scholar] [CrossRef]
- Han, J.; Kong, X.; Feng, J. Performance analysis of hydrogen cycle system of high-power fuel cell vehicles. Automot. Eng. 2022, 1, 1–7+35. [Google Scholar] [CrossRef]
- Zhang, J.; Ma, T.; Cong, M. Modeling and control of high-power fuel cell hydrogen system. Automot. Technol. 2021, 2, 23–27. [Google Scholar] [CrossRef]
- Promislow, K.; St-Pierre, J.; Wetton, B. A Simple, Analytic Model of Polymer Electrolyte Membrane Fuel Cell Anode Recirculation at Operating Power Including Nitrogen Crossover. J. Power Source 2011, 196, 10050–10056. [Google Scholar] [CrossRef]
- Hong, L. Hydrogen Circuit Control for Vehicle Fuel Cell Power Generation System. Master’s Thesis, Zhejiang University, Hangzhou, China, 2017. Available online: https://kns.cnki.net/KCMS/detail/detail.aspx?dbname=CMFD201702&filename=1017181069.nh (accessed on 16 September 2022).
- Mokmeli, A.; Asghari, S. An Investigation into the Effect of Anode Purging on the Fuel Cell Performance. Int. J. Hydrogen Energy 2010, 35, 9276–9282. [Google Scholar] [CrossRef]
- Ahluwalia, R.; Wang, X. Buildup of Nitrogen in Direct Hydrogen Polymer-electrolyte Fuel Cell Stacks. J. Power Source 2007, 171, 63–71. [Google Scholar] [CrossRef]
- Koski, P.; Pérez, L.; Ihonen, J. Comparing Anode Gas Recirculation with Hydrogen Purgeand Bleedina Novel PEMFC Laboratory Test Cell Configuration. Fuel Cells 2015, 15, 494–504. [Google Scholar] [CrossRef]
- Gade, P.; Sinha, M.; Sienkowski, J. Anode Bleed Control Strategy for Improved Water Management and Hydrogen Utilization. US20070764089. US2008312849A1.U.S. Patent No. 8,855,942, 7 October 2014. [Google Scholar]
- Springer, T.; Zawodzinski, T.; Gottesfeld, S. Polymer Electrolyte Fuel Cell Model. J. Electrochem. Soc. 1991, 138, 2334–2342. [Google Scholar] [CrossRef]
- Wei, X.; Zou, G.; Sun, Z. Battery modeling and parameter estimation in fuel cell vehicles. Chin. J. Power Source 2004, 10, 605–608. [Google Scholar] [CrossRef]
- Wang, J.; Wen, X.; Xu, Z. Experimental and modeling study on electrical performance of proton exchange membrane fuel cell. Chin. J. Power Source 2001, 1, 10–12+23. [Google Scholar] [CrossRef]
- Strahl, S.; Husar, A.; Serra, M. Development and experimental validation of a dynamic thermal and water distribution model of an open cathode proton exchange membrane fuel cell. J. Power Source 2011, 196, 4251–4263. [Google Scholar] [CrossRef]
- Ge, S.; Yi, B.; Xu, H. Water transport model for proton exchange membrane fuel cells. CIESC J. 1999, 39–48. [Google Scholar] [CrossRef]
- Ge, S.; Yi, B.; Xu, H. Research progress on proton exchange membrane fuel cell models. Electrochemistry 2002, 363–375. [Google Scholar]
- Wang, B.; Deng, H.; Jiao, K. Purge strategy optimization of proton exchange membrane fuel cell with anode recirculation. Appl. Energy 2018, 225, 1–13. [Google Scholar] [CrossRef]
- Siegel, J.; Bohac, S.; Stefanopoulou, A. Nitrogen Front Evolution in Purged Polymer Electrolyte Membrane Fuel Cell with Dead-Ended Anode. J. Electrochem. Soc. 2010, 157, B1081–B1093. [Google Scholar] [CrossRef]
- Shao, Q.; Cao, G.; Zhu, X. Dynamic heat transfer model of proton exchange membrane fuel cell stack. J. Shanghai Jiao Tong Univ. 2004, 1300–1303. [Google Scholar] [CrossRef]
- Gu, J.; Lu, L.; Ouyang, M. Modeling and Temperature Control of Thermal Management Subsystem of Fuel Cell System. J. Tsinghua Univ. (Nat. Sci. Ed.) 2007, 2036–2039. [Google Scholar] [CrossRef]
- Song, H. Engineering Fluid Mechanics, 4th ed.; Electric Power Press: Beijing, China, 2014; Chapter 7, Section 4. [Google Scholar]
- Boillot, M.; Bonnet, C.; Jatroudakis, N. Effect of Gas Dilution on PEM Fuel Cell Performance and Impedance Response. Fuel Cells 2006, 6, 31–37. [Google Scholar] [CrossRef]
Disclaimer/Publisher’s Note: The statements, opinions and data contained in all publications are solely those of the individual author(s) and contributor(s) and not of MDPI and/or the editor(s). MDPI and/or the editor(s) disclaim responsibility for any injury to people or property resulting from any ideas, methods, instructions or products referred to in the content. |
© 2023 by the authors. Licensee MDPI, Basel, Switzerland. This article is an open access article distributed under the terms and conditions of the Creative Commons Attribution (CC BY) license (https://creativecommons.org/licenses/by/4.0/).




















