Next Article in Journal
Short-Term Power Load Forecasting Based on PSO-Optimized VMD-TCN-Attention Mechanism
Previous Article in Journal
Research Progress on Audible Noise Emitted from HVDC Transmission Lines
 
 
Font Type:
Arial Georgia Verdana
Font Size:
Aa Aa Aa
Line Spacing:
Column Width:
Background:
Article

Determination of Dielectric Models Based on Effective Multi-Exponential Fittings

by
Jedsada Raxsa
1,
Phethai Nimsanong
2,
Thanatorn Mai-Eiam
1 and
Peerawut Yutthagowith
1,*
1
Department of Electrical Engineering, School of Engineering, King Mongkut’s Institute of Technology Ladkrabang, Bangkok 10520, Thailand
2
Metropolitan Electricity Authority, Bangkok 10110, Thailand
*
Author to whom correspondence should be addressed.
Energies 2023, 16(12), 4615; https://doi.org/10.3390/en16124615
Submission received: 14 April 2023 / Revised: 23 May 2023 / Accepted: 27 May 2023 / Published: 9 June 2023
(This article belongs to the Topic High Voltage Engineering)

Abstract

In high-voltage (HV) transmission and distribution systems, HV apparatuses are subjected to electrical, thermal, and mechanical stresses that deteriorate the insulation performance. The polarization and depolarization current (PDC) measurement is an effective tool used for evaluating insulation performances. The depolarization current represented by the summation of the discharge currents with the different time constants can be utilized for the development of the dielectric model based on the extended Debye’s model (EDM). This paper presents effective techniques for determining the dielectric model. Iterative approaches with predetermination of the time constants and least squares methods (either linear ordinary or percentage ones) were utilized to fit the depolarization current in the form of multi-exponential functions. The fitting parameters determined by the proposed method with the linear ordinary least squares (OLLS) method and provided by commercial software agree very well only in the high current and beginning range. Application of the linear percentage least squares (PLLS) method shows better accuracy than that of the OLLS method, and the deviation from the measured one in the low current range and the late measuring time were reduced significantly. The fitted current by this proposed technique with the PLLS method agrees well with the measured current throughout the whole recording time, even in the low current and late time range. From the accurately fitted currents, the dielectric model and the dielectric loss factors can be determined precisely, and the insulation condition of HV equipment can be evaluated properly.

1. Introduction

High-voltage (HV) apparatuses installed in electrical transmission and distribution systems are subjected to physical stresses consisting of electrical stress, mechanical stress, thermal stress, and so on. Such stresses deteriorate the insulation performance of the HV apparatuses. Therefore, effective analysis of the electrical insulation performance is an important tool for assessing equipment life expectancy and planning maintenance.
Polarization and depolarization current (PDC) measurement [1,2,3,4] is commonly an effective tool used for the evaluation of the dielectric condition of HV equipment [5]. Under the PDC measurement, the depolarization current being discharging current can be represented by the summation of the discharged current with the different time constants [6]. This characteristic of the depolarization current is utilized to develop the dielectric model based on the extended Debye’s model (EDM) [7,8,9]. From the model and its equivalent circuit, the dielectric loss factor (tan δ) can be determined in the frequency domain. At each frequency range, the dielectric loss factor [10] can be used for the evaluation of the dielectric condition of the HV equipment. For example, as illustrated in Figure 1, the dielectric loss factor in the high- and low-frequency ranges can be utilized to estimate the moisture content in the cellulose, and in the mid-frequency range is affected by oil conductivity [11].
The EDM requires accurate multi-exponential fitting to obtain the dielectric model parameters [1,12,13]. Such parameters are generally determined using a conventional non-linear curve fitting method. On the other hand, the fitting approach is not always a useful tool since it requires an initial value close to the solution and is frequently trapped by the local minimum [1,14]. In some specific cases, the conventional method fails in fitting the depolarization current. Furthermore, in certain cases, a commercial curve fitting tool cannot deliver accurate results at a low current range and late PDC measurement time. Inaccurate current fitting in this range affects the accuracy of the dielectric loss factor in the low-frequency range (0.01 to 0.001 Hz) as well as the precision of evaluating insulation age and moisture [11]. Therefore, there are some attempts to fit the depolarization current using non-parametric methods such as particle swarm optimization [15] and the genetic algorithm [16]. It was found that such methods could provide a better solution than the non-linear curve fitting and the commercial software in some cases. However, the non-parametric methods seem impractical for the determination of the dielectric model, because the methods are quite time-consuming, and the number of branches of the model is necessary to specify.
To overcome such problems with fitting the depolarization current, this paper presents simple and effective curve-fitting techniques for the determination of the dielectric model parameters. The proposed techniques start with the predetermination of the time constant span throughout the recorded time of the depolarization current and use either an ordinary linear least squares (OLLS) method or a percentage linear least squares (PLLS) method [17] to determine the unknown coefficient terms. Then, the components with negative coefficients are removed. The process is carried out repeatedly until there is no negative coefficient. The technique with the OLLS method cannot provide a fitted current that agrees with the measured one in the late time and low current range. To overcome such a problem, instead of the OLLS method, the PLLS method [18] is utilized to determine the unknown coefficients. For a demonstration of the performance of the proposed techniques, the PDC measurement was performed on the various HV apparatuses. The proposed techniques and the commercial software [19,20,21] were applied to determine the fitted depolarization currents, the dielectric models, and the dielectric loss factors. Comparison of the relative root mean square errors (RRMSEs) and the root mean square relative errors (RMSREs) of the depolarization current computed by the proposed techniques and the commercial software are presented. From the demonstrated cases, the technique with the PLLS method can fit the depolarization current very well, not only at the beginning but also at the late time and in the low current range. There is no case failing in the determination of the EDM. It is also found in some cases that the dielectric loss factor computed by the model of the improved approach is quite different from that of the first developed technique and the commercial software. Such deviations from the dielectric loss factors may influence the evaluation of the insulation condition of HV equipment. For the comprehensive presentation, this paper is separated into 4 sections. Section 1 devotes to the introduction of this paper, Section 2 presents the dielectric model and its parameter determination, and the proposed techniques are explained in Section 3. In Section 4, the proposed techniques were verified by various cases of the HV apparatuses, and the conclusions are presented in Section 5.

2. The Dielectric Model and Its Parameter Determination

The parameters of the dielectric model based on the EDM can be determined from the depolarization current collected from the PDC measurement. The EDM can well represent the relaxation process (charging and discharging processes) of the insulation material. The PDC measurement and the parameter determination of the dielectric model are described in the following subsections.

2.1. Polarization and Depolarization Measurement

PDC measurement is an effective tool used to diagnose the insulation of HV apparatuses. The equivalent circuit for PDC measurement is illustrated in Figure 2. The measurement procedure starts with the application of the DC voltage to the insulation for a specific time range. During the DC voltage application of electrical stress, the current flow through the insulation material is defined as the polarization current, consisting of decay current and DC conduction current. In this process, the insulation material behaves as a capacitor that stores energy within. Then, when the insulation material is short-circuited, some of the stored energy and charge are discharged. The discharged energy leads to the current flow, which is defined as the depolarization current. The polarization and depolarization current waveforms [6] are shown in Figure 3.

2.2. Extended Debye’s Model

From the procedure of the PDC measurement, the application of DC voltage to the insulation material, a dipole molecule within the insulation is excited and aligned in the direction of the electric field. Then, by short-circuiting the insulation material, a dipole is relaxed and returned to its normal state [6]. The change in the dipole state under the electric field requires the energy of the moving charge or current, called the relaxation current. In the insulation material, there are various dipole groups with different characteristics and response times. These relaxation currents can be utilized to develop the dielectric model based on EDM, as shown in Figure 4. The EDM was developed based on the relaxation process (charging and discharging processes) within the insulation material. The total relaxation current can be represented by the sum of various relaxation currents (with different response times). Such relaxation mechanisms can be presented by an equivalent circuit model consisting of parallel branches. Each branch is represented by a resistor and a capacitor (RC) connected in series. R 0 and C 0 are the insulation resistance and geometrical capacitance of the insulation material, respectively. R 0 can be calculated from the conduction current, which is a component of a polarization current flowing through the insulation. C 0 can be determined by conventional capacitor measurement techniques at the power frequency [14].
From the equivalent circuit in Figure 4, the depolarization current can be represented by the summation of the discharging current of the RC branches, so it can be written in the form of the sum of exponential functions as expressed by (1).
i d = i = 1 n ( A i e t / τ i )
The coefficient ( A i ) and the time constant ( τ i ) of the ith branch can be calculated by (2) and (3), where U 0 and τ c are the DC voltage applied during the charging process and the charging time of PDC measurement, respectively.
τ i = R i C i
A i = U 0 R i ( 1 e ( t c / τ i ) )
From the determination of the EDM circuit parameters, the dielectric loss factor of the insulation can be determined in the next subsection.

2.3. The Dielectric Loss Factor

The insulation material in HV equipment has behaved as the capacitor, the capacitance of the insulation material in the frequency domain can be written in the complex form as given in (4) that is separated into real and imaginary parts as given in (5) and (6), respectively.
C ω = C ω j C ( ω )
Real part:
C ( ω ) = C 0 + i = 1 n C i 1 + ( ω R i C i ) 2
Imaginary part:
C ω = 1 ω R 0 ω R i C i 2 1 + ( ω R i C i ) 2
With the known parameters ( A i and τ i ) in (1), R i and C i can be calculated by (2) and (3). From (5) and (6), the dielectric loss factor (tan δ) can be determined as the ratio of the imaginary and real parts of the complex capacitance as given in (7).
tan δ = C ( ω ) C ( ω )

3. Proposed Techniques for Determining the Dielectric Model Parameters

The relaxation process in the insulation material is represented by the depolarization current, which is the sum of the discharged currents of the RC branches from the EDM. The interpretation of the depolarization current is significant for developing the precise dielectric model. As has been mentioned, the depolarization current can be written in the form of the sum of exponential functions. Several techniques [22,23,24] for fitting the sum of exponential functions have been proposed, but there are some restrictions in terms of computational accuracy, efficiency, and stability. Therefore, two simple and effective techniques for fitting the depolarization current are presented in the following subsections.

3.1. The First Developed Technique

The first developed technique is based on fitting a sum of multi-exponential functions. The procedure for the determination of the current fitting and the EDM parameters is expressed in Figure 5.
This technique starts with the selection of the time constant ( τ i ) of (1) as given in (8), where i is an integer in the range of 1 to n. τ 1 , τ 2 , τ 3 , …, and τ n are selected to span throughout the recorded time of the depolarization current ( i d ) , so n is the minimum positive integer which τ n is greater than the record time of the depolarization current.
τ i = ( 10 0.25 ) i 2
Secondly, the application of an ordinary linear regression to fit the recorded depolarization current with (1), the coefficients ( A 1 , A 2 , A 3 , …, and A n ) can be determined. Then, all exponential terms with negative coefficients are removed from (1). Therefore, there are time constants with only positive coefficients, and the application of linear regression as is carried out in the second step for the determination of the coefficients. The processes for the determination of the time constants and the coefficient are performed repetitively until no negative coefficient is found. Finally, the fitted current is determined from (1), and the number of branches in the EDM equals the final number of the exponential terms in (1).
From the known time constants, coefficients, and applied DC voltage, the dielectric model parameters, i.e., R i and C i can be determined by (2) and (3).
In most cases, it was found that the fitted depolarization currents determined by the first developed technique agreed well with those of the measured data and those determined by the commercial software. However, in some cases, the computed results are deviated in the low current and the late time range. Therefore, a more accurate technique for fitting the depolarization current is still required for further development.

3.2. The Improved Technique

The improved technique is based on the first developed technique, but the percentage linear least squares (PLLS) method is applied for determining the coefficients instead of the ordinary linear least squares (OLLS) method [17]. The procedure for the determination of the fitting current and EDM parameters is also presented in Figure 5.
The PLLS method [18] is a kind of weighted linear least squares method [25], and the weight of the ith recorded current (id(i)) is set to be an inversed proportion of its value as given in (9). From the predetermination of the time constants, the coefficients can be computed by (10), where N, {y}, {A}, [X], and [W] given in (11) to (14) are the number of the current recorded points, a column vector of the depolarization current, a vector column of the unknown coefficients in (1), a matrix of the calculated value of the basis function in (1), and a diagonal matrix of the weights associated with (9), respectively.
w ( i ) = 1 / i d ( i )
{A} = ([X]t[W]2[X])−1 [X]t [W]2{y}
{ y } = i d t 0 i d t 1 i d t 2 i d t N i d t N 1 t
{ A } = A 1 A 2 A 3 A n 1 A n t
[ X ] = e t 0 / 1 e t 0 / τ 2 e t 1 / 1 e t 1 / τ 2 e t 0 / τ 3 e t 1 / τ 3 e t 0 / τ n 1 e t 0 / τ n e t 1 / τ n 1 e t 1 / τ n e t N 1 / τ 1 e t N 1 / τ 2 e t N / τ 1 e t N / τ 2 e t N 1 / τ 3 e t N / τ 3 e t N 1 / τ n 1 e t N 1 / τ n e t N / τ n 1 e t N / τ n
Weighting diagonal matrix:
[ W ] = 1 / i d t 0 0 0 1 / i d t 1 0 0 0 0 0 0 0 0 0 0 0 1 / i d t N 1 0 0 1 / i d t N
With the same process as the first developed technique, the exponential terms with negative coefficients are removed, and the calculation of the coefficients is performed repetitively until no negative coefficient is found. Most of the determined time constants and coefficients, including R i and C i , from this technique are different from those determined by the first developed technique. It was found that this technique can provide quite accurate results throughout the recorded time, including at the low current and late time range.

4. Verification of Proposed Techniques

Using some experimental data from the PDC measurement, the two proposed techniques (the first developed and improved ones) were verified by comparison of the depolarization current, and the dielectric loss factor determined by the proposed techniques and commercial software (polarization and depolarization current evaluation program (Version 3.0: 2000) produced by ALFF Engineering Co., Ltd., Gomweg 7, CH8915 Hausen am Albis, Switzerland). For the demonstration of the performance and stability of the proposed methods, which can be applied to all cases of HV apparatuses, there are sixteen cases of PDC measurement on HV apparatuses consisting of bushings in Cases 1 and 2, cables in Cases 3 to 6, rotating machines in Cases 7 to 12, and transformers in Cases 13 to 16. Some photos of the actual experiments are illustrated in Figure 6. In the experiment, the compact and commercial instrument (PDC-ANALYSER-1MOD (ed. 2012) produced by ALFF Engineering Co., Ltd.) [20] was utilized for the PDC measurements. The rating of the considered HV apparatuses and the testing parameters of the PDC measurements are given in Table 1 and Table 2, respectively.
Comparisons of the depolarization currents from measurement, from the commercial software [19,20,21], and computed by the proposed techniques are presented in Figure 7a, Figure 8a, Figure 9a, Figure 10a, Figure 11a, Figure 12a, Figure 13a, Figure 14a, Figure 15a, Figure 16a, Figure 17a, Figure 18a, Figure 19a, Figure 20a, Figure 21a and Figure 22a. For the sake of the presentation in a compact manner and the requirement of the space limitation, the EDM circuit parameters in only Cases 2, 9, and 11 are presented in Table 3, Table 4 and Table 5 because these cases are used for demonstration of the performance of the proposed techniques. In addition, comparisons of the computed dielectric loss factors by the commercial software and the proposed techniques are also presented in Figure 7b, Figure 8b, Figure 9b, Figure 10b, Figure 11b, Figure 12b, Figure 13b, Figure 14b, Figure 15b, Figure 16b, Figure 17b, Figure 18b, Figure 19b, Figure 20b, Figure 21b and Figure 22b.
The relative root mean square error (RRMSE) and the root mean square relative error (RMSRE) utilized to evaluate the accuracy of the proposed techniques can be calculated by (15) and (16), where y i and y ^ i is the actual and estimated values, respectively, and n is the number of the considered points. The RRMSE and The RMSRE of the fitted currents determined by the proposed methods and the commercial software are presented in Table 6 and Table 7, and the measured currents are used as the reference (the actual values, y ^ i in (15) and (16)).
R R M S E = 1 n i = 1 n ( y i y ^ i ) 2 i = 1 n ( y i ) 2
R M S R E = 1 n i = 1 n y i y ^ i y i 2
The results determined by the proposed techniques and the commercial software in the considered cases presented by Figure 7, Figure 8, Figure 9, Figure 10, Figure 11, Figure 12, Figure 13, Figure 14, Figure 15, Figure 16, Figure 17, Figure 18, Figure 19, Figure 20, Figure 21 and Figure 22 and Table 3, Table 4, Table 5, Table 6 and Table 7 can be noticed and are described as follows.
(1)
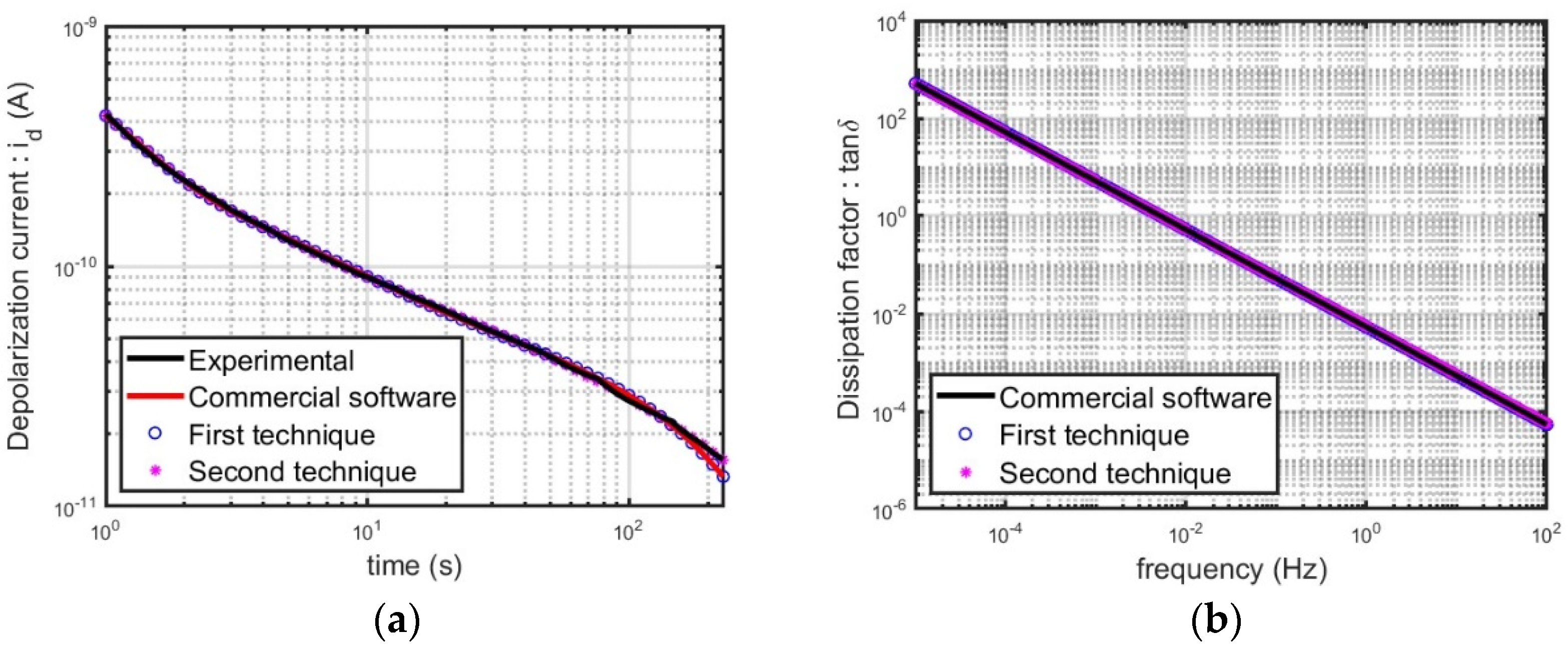
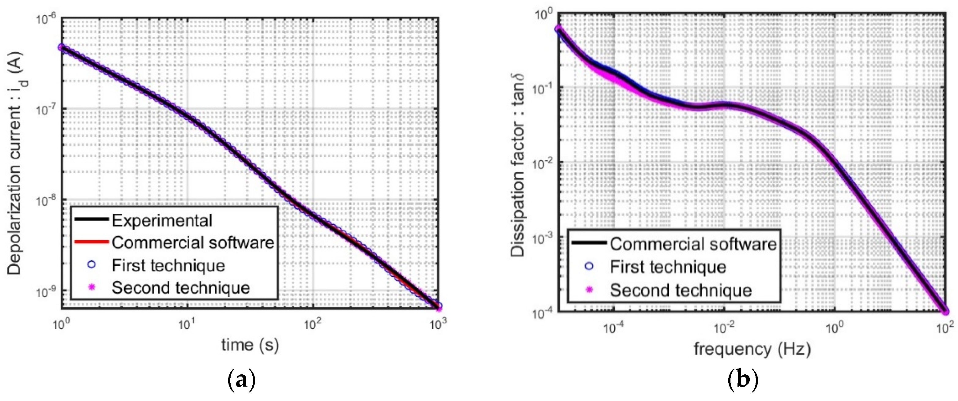
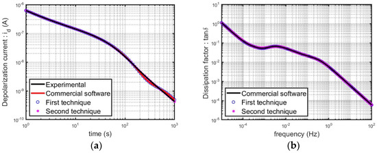
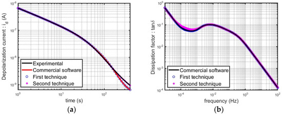
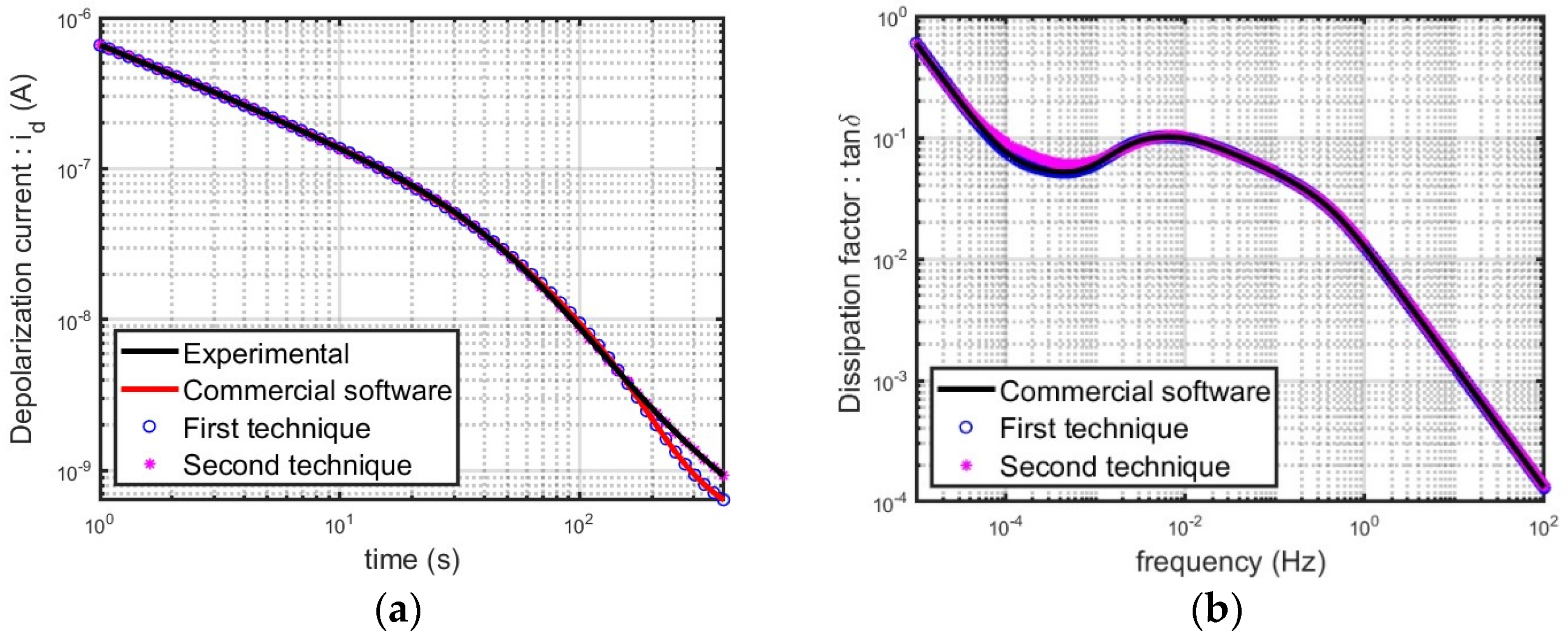
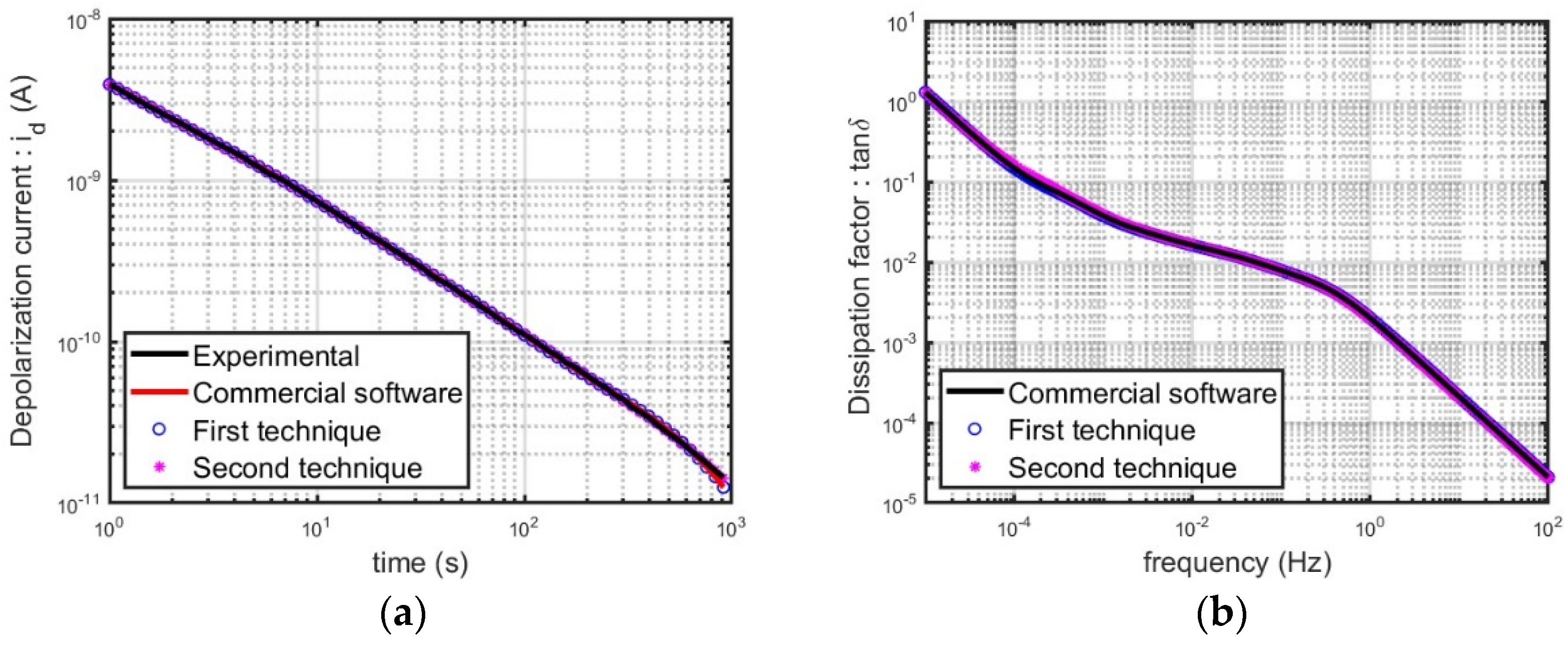
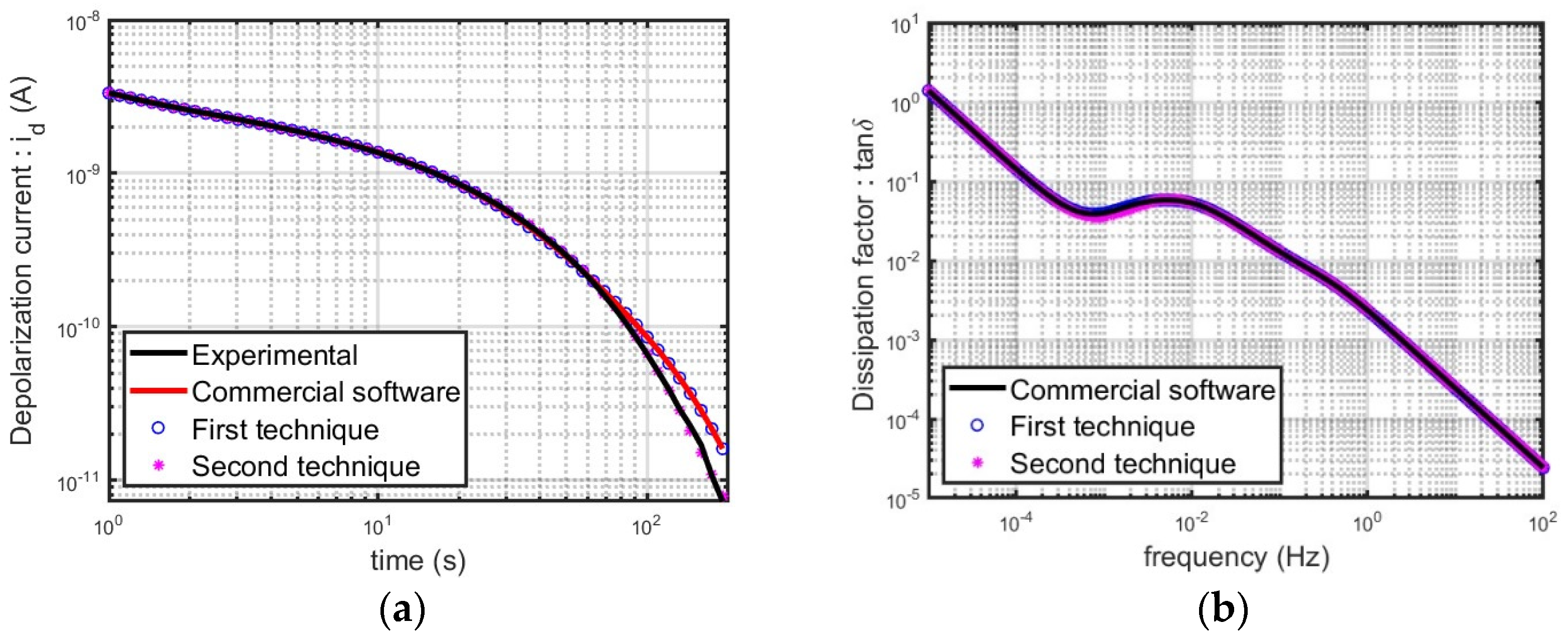
In the cases of the bushings (Cases 1 and 2), there is no significant difference in the results in Case 1 (Figure 7), but the first technique and the commercial software provide the fitting current that deviated from the measured one in the low current and late time ranges in Case 2 (Figure 8). The improved technique still provides good agreement with the measured one throughout the recording time. It results in the difference of the dielectric loss factors in the low-frequency range (10−5 Hz to 10−2 Hz) as noticed by the results in Figure 8.
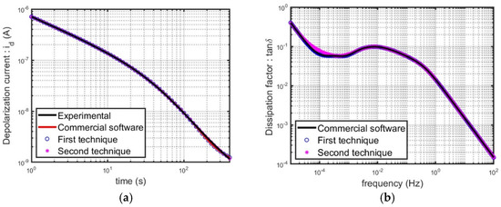
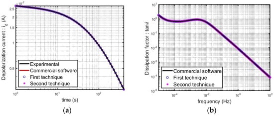
(2)
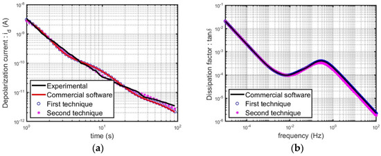
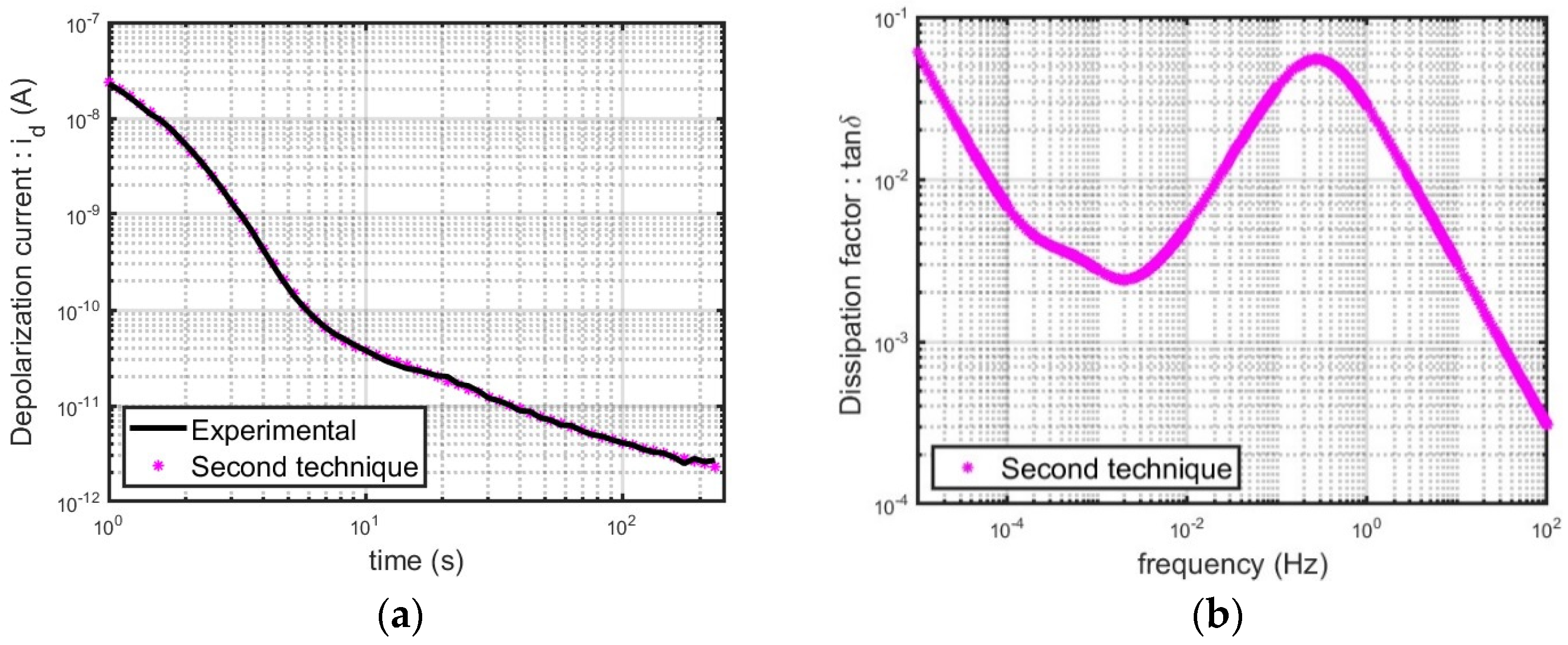
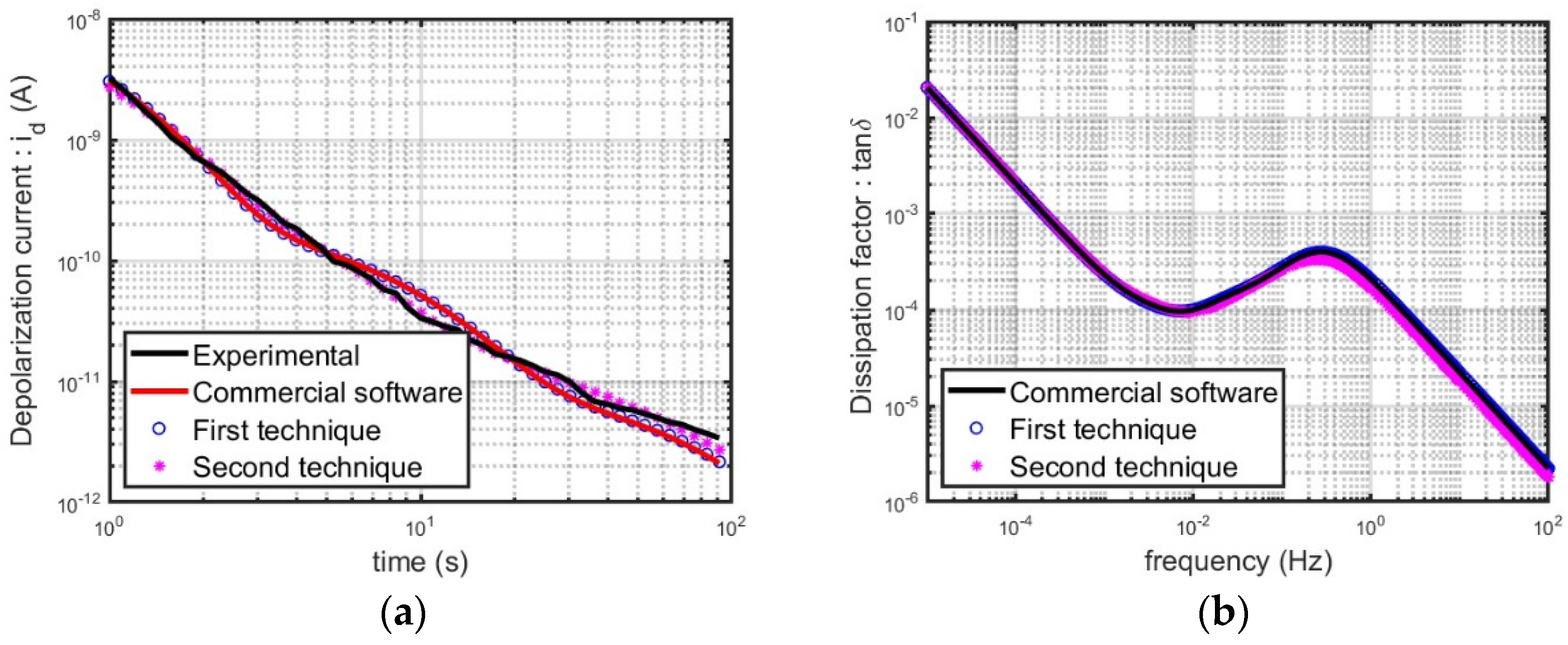
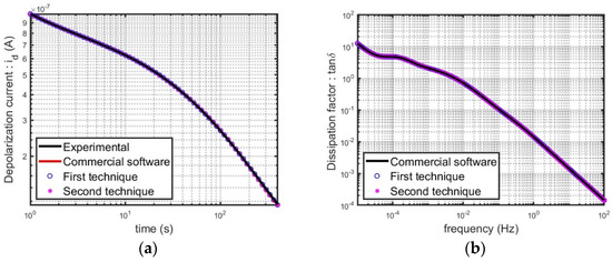
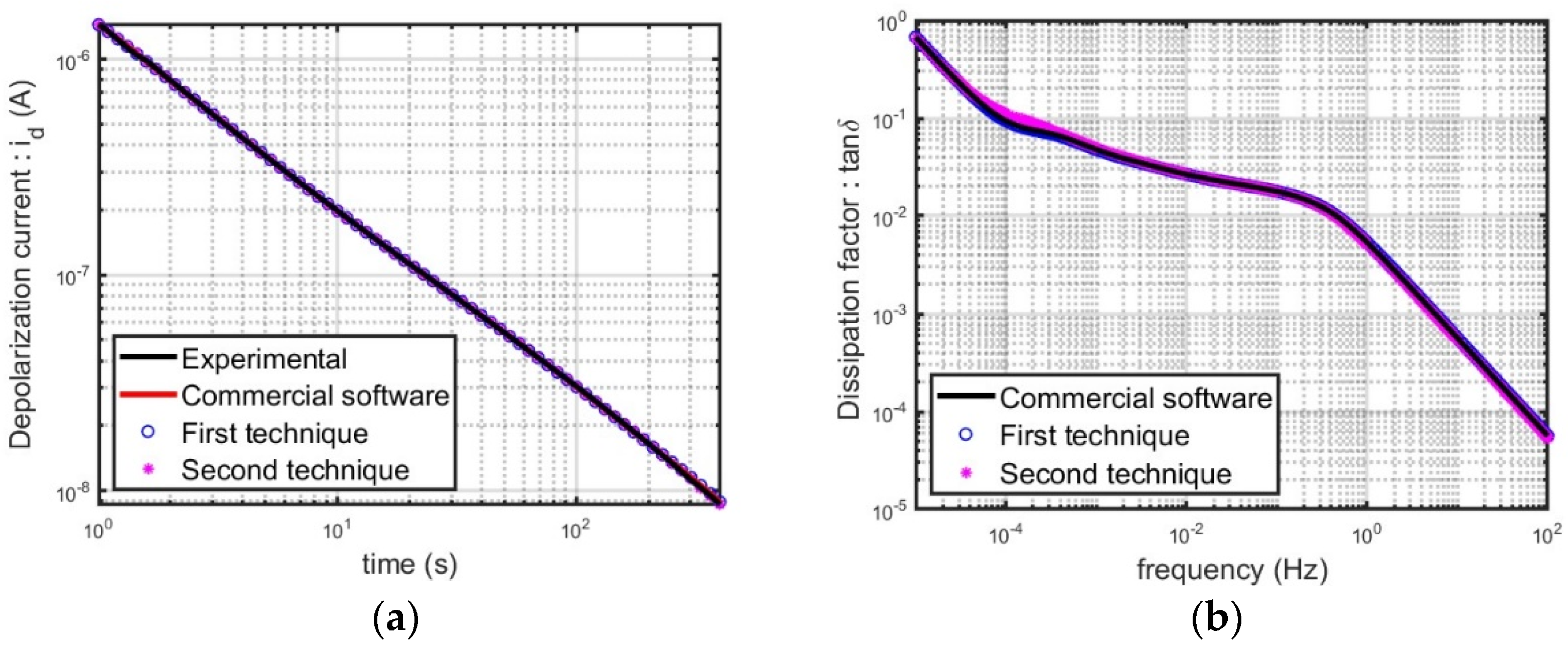
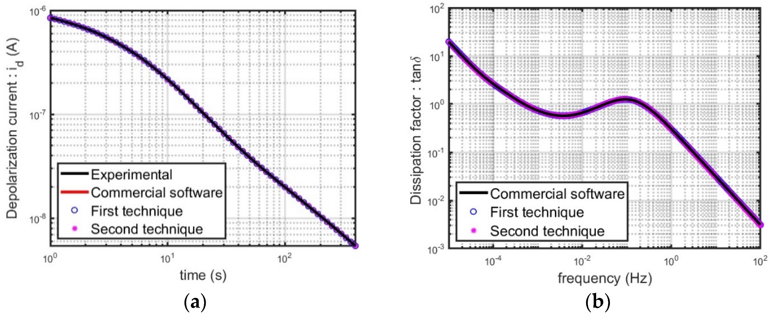
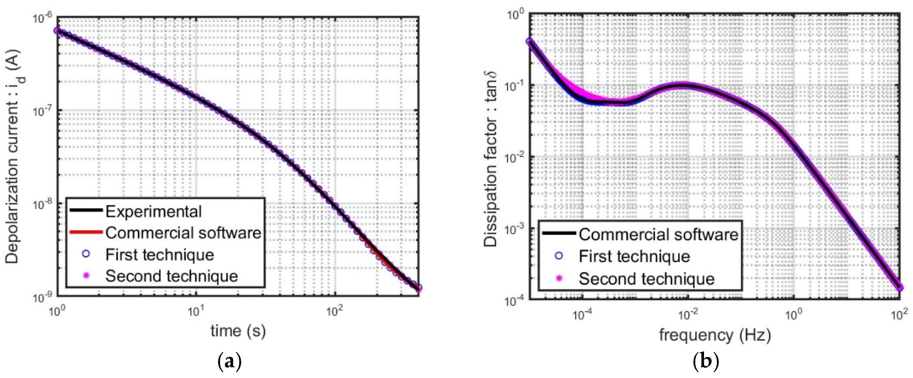
In the cases of the cables (Cases 3 to 7), there is no significant difference in results in Cases 3, 5, and 7 (Figure 9, Figure 11 and Figure 13), but the first technique and the commercial software provide the fitting current that deviated from the measured one throughout the recording ranges in Case 4 (Figure 10), and it leads to the deviation of the loss factor throughout the considered frequency range (10−5 Hz to 102 Hz). In addition, they also fail in fitting the depolarization current in Case 6 (Figure 12). From the failure in the current fitting, the dielectric loss factor also cannot be determined. However, the improved technique still provides good agreement with the measured one throughout the recording time in all considered cases of the cables.
(3)
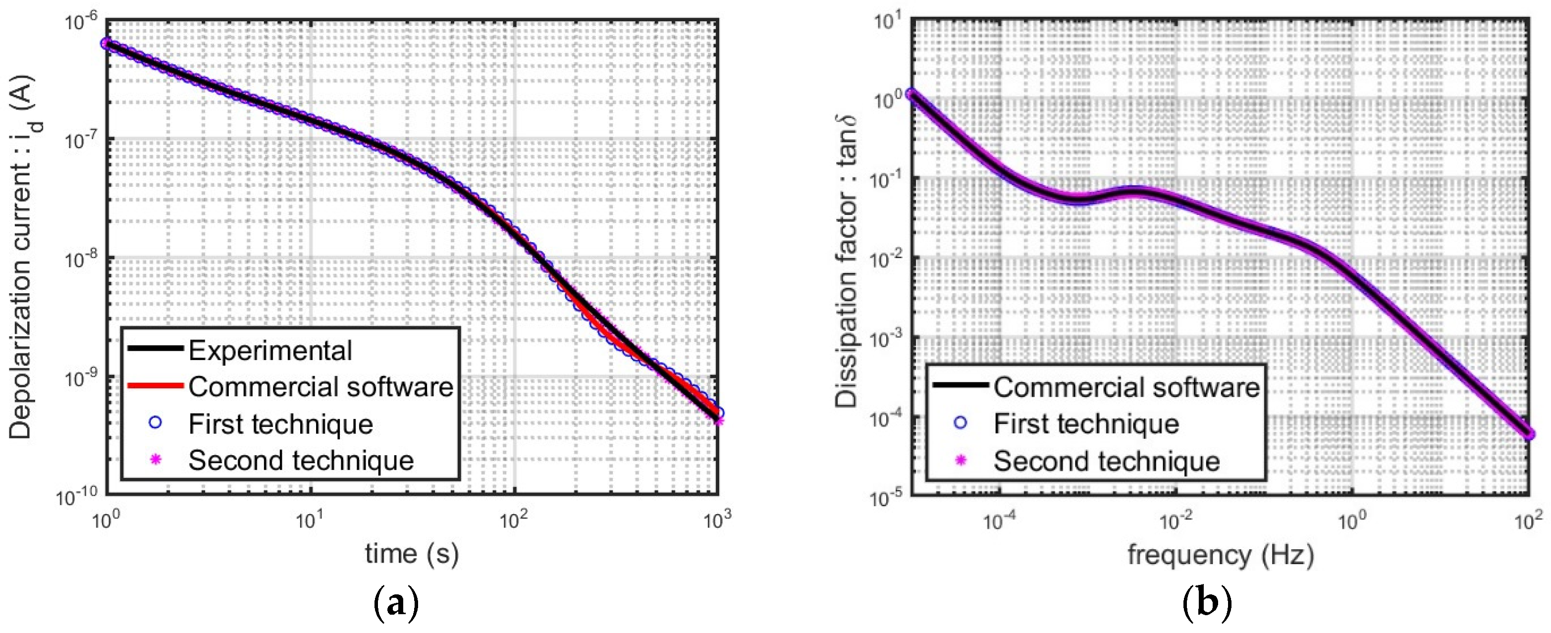
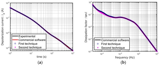
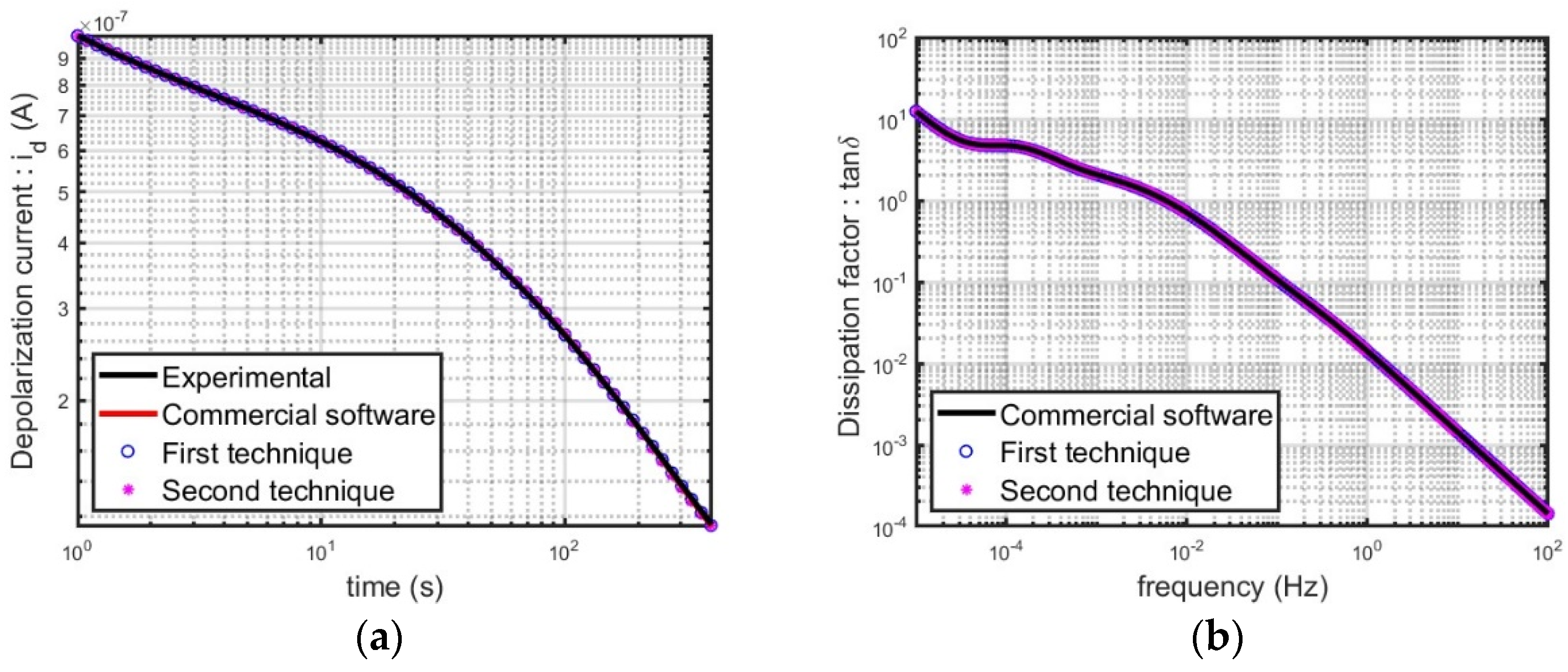
In the cases of the rotating machines (Cases 8 to 13), the significant difference in the results cannot be found in Cases 8, 12, and 13 (Figure 14, Figure 18 and Figure 19), but the first technique and the commercial software provide the fitting current that deviated from the measured one in the low current and late time ranges in Cases 9 to 11 (Figure 15, Figure 16 and Figure 17). Such deviation affects the computed dielectric loss factor in the low-frequency range (10−5 Hz to 10−2 Hz). However, the improved technique still provides good agreement with the measured one throughout the recording time in all considered cases of the rotating machines.
(4)
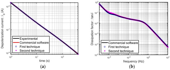
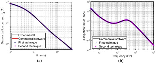
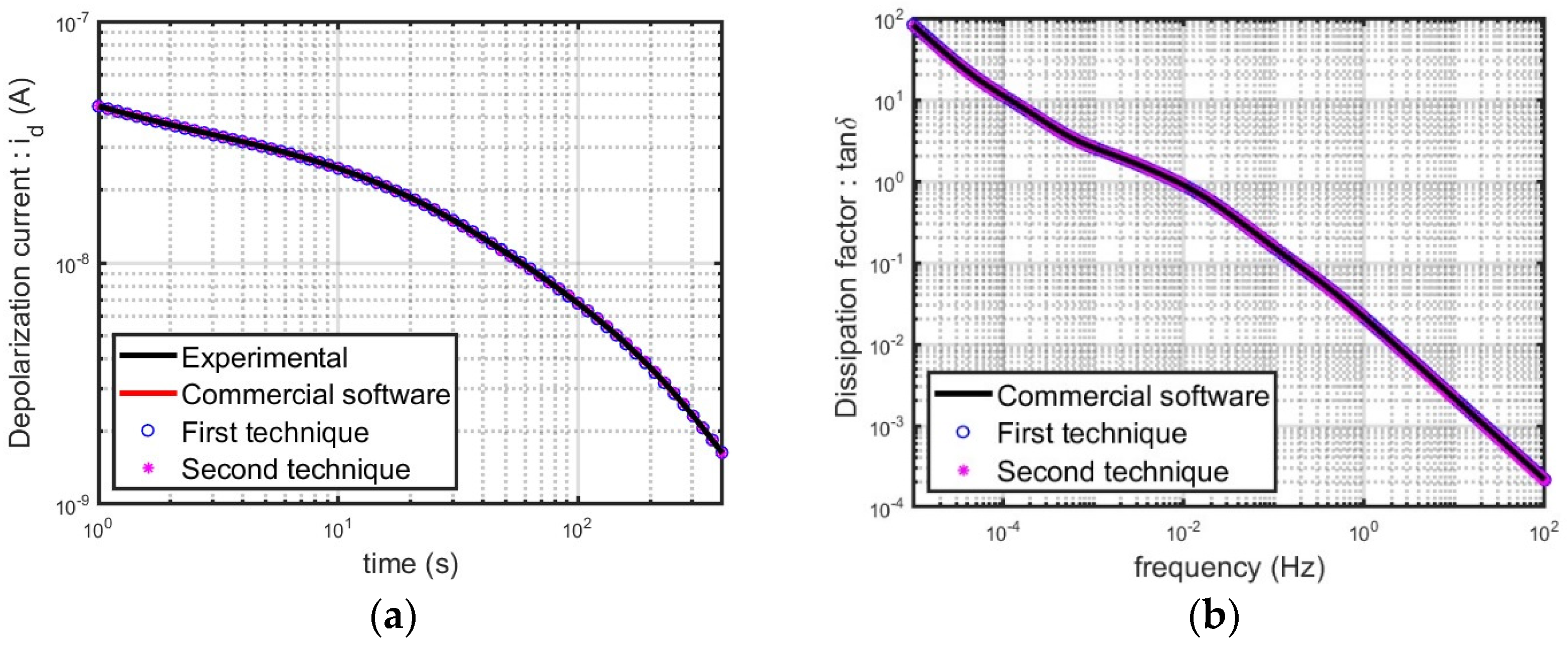
In the cases of the transformers (Cases 14 to 16), the proposed technique and the commercial software provide almost the same results in Cases 14 to 16 (Figure 20, Figure 21 and Figure 22), which agree with the measured one.
(5)
In all cases, the first developed technique and the commercial software provide almost the same results as the fitted depolarization currents, the determined EDM, and computed dielectric loss factors.
(6)
As noticed in Table 6, even though the RRMSEs of the current computed by the improved technique in some cases are a bit higher than those of the first technique, the RRMSEs of the improved technique are still on the same level as those of the first technique. Furthermore, as noticed in Table 7, the RMSREs of the improved technique are lower than those of the first one in all cases. The maximum RMSRE of the improved technique is around 8%, whereas that of the commercial software is around 22%. The fitted current by the first technique and the commercial software deviates significantly from the measured one in the late time and low current range, but the improved method can fit the current agreeing well with the measured one throughout the recorded time even in the low current and late time range.
(7)
The deviations of the current computed by the first technique in the low current and late time affect the computed dielectric loss factors in the low-frequency range (10−5 Hz to 10−3 Hz) as can be seen in the results in the Cases of 2, 9, and 11 (Figure 8, Figure 15 and Figure 17). Additionally, in Case 6 (Figure 12), the first developed technique with the OLLS method and the commercial software failed in the determination of the dielectric model and fitting with the measured current, but the improved technique with the PLLS method can provide the fitted current agreeing well with the measured one.
(8)
The application of the PLLS method in the improved technique can provide a better performance in terms of accuracy and stability than the OLLS method and the commercial software. To achieve higher accuracy of the improved technique than that of the first technique and commercial software, a higher number of branches in the EDM determined by the improved technique is required as noticed in Table 3, Table 4 and Table 5.

5. Conclusions

This paper has presented effective iterative techniques for fitting the depolarization current and parameter determination of the dielectric model based on the EDM. The first developed technique employs the predetermination of the time constants. Then, an ordinary linear least squares method for the determination of the coefficients of the fitting function in the form of the sum of exponential functions. The exponential terms with negative coefficients are removed during the iterative process of coefficient determination. The results of this technique agree very well with those provided by the commercial software. The RRMSEs and RMSREs of the fitted depolarization current by the first developed technique are almost the same as those provided by the commercial software. However, in some cases of the considered HV equipment, this technique provides the deviated current at the low current and the late time range. It affects the deviation of the determined dielectric loss factor in the low-frequency range (0.001 Hz to 0.01 Hz) and influences the precision in the evaluation of the moisture content in the insulation and insulation aging. Additionally, in some cases, the first-developed technique and the commercial software cannot provide the proper fit of the depolarization current and the dielectric model parameters. In some cases, the first developed technique provides high deviations of the fitted currents in the low current and late time range and fails to fit the depolarization current. Therefore, the improved technique has been proposed to increase the accuracy and the reliability of the first developed technique, and the percentage least squares method was utilized to determine the dielectric parameters instead of the ordinary one. It was found that the RRMSEs of the fitted depolarization current by the improved technique are almost the same as those of the first developed one, but the RMSREs of the improved technique are lower than those of the first developed one and the commercial software. There are no cases in this paper that the improved technique cannot use to determine the dielectric parameters. Using the improved technique, the depolarization current can be very well fitted, and the dielectric model and the dielectric loss factors can be accurately determined. Additionally, the insulation condition of HV equipment can be evaluated properly.

Author Contributions

Conceptualization, J.R. and P.Y.; methodology, J.R., P.N. and P.Y.; validation, J.R. and T.M.-E.; formal analysis, P.Y.; investigation, P.Y. and J.R.; writing—original draft preparation, J.R. and P.Y.; writing—review and editing, P.Y. and J.R.; supervision, P.Y. All authors have read and agreed to the published version of the manuscript.

Funding

This work is supported by King Mongkut’s Institute of Technology Ladkrabang [2565-02-01-103].

Data Availability Statement

Not applicable.

Acknowledgments

The authors would also like to thank the School of Engineering, King Mongkut’s Institute of Technology Ladkrabang, and ID Co., Ltd. for supporting testing facilities and King Mongkut’s Institute of Technology Ladkrabang [2565-02-01-103] for financial support.

Conflicts of Interest

The authors declare no conflict of interest.

References

  1. David, E.; Soltani, R.; Lamarre, L. PDC measurements to assess machine insulation. IEEE Trans. Dielectr. Electr. Insul. 2010, 17, 1461–1469. [Google Scholar] [CrossRef]
  2. Mishra, D.; Haque, N.; Baral, A.; Chakravorti, S. Assessment of interfacial charge accumulation in oil-paper interface in transformer insulation from polarization-depolarization current measurements. IEEE Trans. Dielectr. Electr. Insul. 2017, 24, 1665–1673. [Google Scholar] [CrossRef]
  3. Wang, D.; Zhou, L.; Yang, Z.-X.; Cui, Y.; Wang, L.; Jiang, J.; Guo, L. A New Testing Method for the Dielectric Response of Oil-Immersed Transformer. IEEE Trans. Ind. Electron. 2020, 67, 10833–10843. [Google Scholar] [CrossRef]
  4. Zhou, K.; Yuan, H.; Li, Y.; Li, M.; Li, Z.; Lin, S. Assessing Aging Status and Type of XLPE Cable Insulation with a Graphic Approach Based on PDC Measurement. IEEE Trans. Power Deliv. 2022, 37, 5114–5123. [Google Scholar] [CrossRef]
  5. Der Houhanessian, V. Measurement and Analysis of Dielectric Response in Oil-Paper Insulation Systems. Ph.D. Thesis, Swiss Federal Institute of Technology, Zurich, Switzerland, 1998. [Google Scholar] [CrossRef]
  6. Saha, T.K.; Purkait, P.; Muller, F. Deriving an equivalent circuit of transformers insulation for understanding the dielectric response measurements. IEEE Trans. Power Deliv. 2005, 20, 149–157. [Google Scholar] [CrossRef]
  7. Zhang, Y.; Liu, J.; Zheng, H.; Wei, H.; Liao, R. Study on Quantitative Correlations between the Ageing Condition of Transformer Cellulose Insulation and the Large Time Constant Obtained from the Extended Debye Model. Energies 2017, 10, 1842. [Google Scholar] [CrossRef]
  8. Cheng, X.; Ye, G.; Sun, H.; Li, T.; Sun, C. Analysis of low-frequency dielectric loss of XLPE cable insulation based on extended Debye model. AIP Adv. 2021, 11, 085103. [Google Scholar] [CrossRef]
  9. Yang, F.; Tang, C.; Zhou, Q.; Du, L.; Wan, H.; Chen, J. Novel Characteristic Quantities for Determining the Moisture State of Oil-Impregnated Cellulose Insulation Using the Extended Debye Model. IEEE Trans. Dielectr. Electr. Insul. 2022, 29, 1087–1094. [Google Scholar] [CrossRef]
  10. Kuffel, E.; Zaengl, W.S.; Kuffel, J. Non-destructive insulation test techniques. In High Voltage Engineering Fundamental, 2nd ed.; Buttherworth-Heinemann: Oxford, UK, 2000; pp. 411–421. [Google Scholar]
  11. IEEE Standard C57.152TM-2013; Guide for Diagnostic Field Testing of Fluid-Filled Power Transformers, Regulators, and Reactors. IEEE: Piscataway, NJ, USA, 2013.
  12. Papy, J.M.; De Lathauwer, L.; Van Huffel, S. Exponential data fitting using multilinear algebra: The single-channel and multi-channel case. Numer. Linear Algebra Appl. 2005, 12, 809–826. [Google Scholar] [CrossRef]
  13. Brübach, J.; Janicka, J.; Dreizler, A. An algorithm for the characterisation of multi-exponential decay curves. Opt. Lasers Eng. 2009, 47, 75–79. [Google Scholar] [CrossRef]
  14. Roongroj, C.h.; Pattanadech, N.; Praisuwanna, P.; Yutthagowith, P.; Thongkaemkaew, K. Equivalent circuit approximation of transformer insulation by using PDC measurement. In Proceedings of the 5th International Conference on Electrical Engineering/Electronics, Computer, Telecommunications and Information Technology, Krabi, Thailand, 14–17 May 2008. [Google Scholar]
  15. Mousavi, S.A.; Bigdeli, M. A Particale Swarm Optimization based method for estimation of transformer insulation model parameters. In Proceedings of the 9th International Conference on Electrical Engineering/Electronics, Computer, Telecommunications and Information Technology, Phetchaburi, Thailand, 16–18 May 2012. [Google Scholar] [CrossRef]
  16. Mousavi, S.A. Genetic Algorithm in evaluating insulation model parameters. In Proceedings of the International Conference on Intelligent and Advanced Systems, Kuala Lumpur, Malaysia, 15–17 June 2010. [Google Scholar]
  17. Montgomery, D.C.; Peck, E.A.; Vining, G.G. Multiple linear regression. In Introduction to Linear Regression Analysis, 6th ed.; Wiley-Blackwell: Hoboken, NJ, USA, 2021; pp. 69–86. [Google Scholar]
  18. Tofallis, C. Least squares percentage regression. J. Mod. Appl. Stat. Meth. 2009, 7. [Google Scholar] [CrossRef]
  19. Houhanessian, V.D. PDC Evaluation: Polarization and Depolarization Current Evaluation Program. In ALFF Engineering, Version 3.0. 2000. Available online: http://www.alff-engineering.ch/ (accessed on 10 October 2015).
  20. Alff, J.; Houhanessian, V.D.; Zaengl, W.S.; Kachler, A.J. A novel, compact instrument for the measurement and evaluation of relaxation currents conceived for on-site diagnosis of electric power apparatus. In Proceedings of the 2000 IEEE International Symposium on Electrical Insulation, Anaheim, CA, USA, 5 April 2002; pp. 161–167. [Google Scholar] [CrossRef]
  21. Zaengl, W.S. Dielectric spectroscopy in time and frequency domain for HV power equipment (transformers, cables etc.). In Proceedings of the 12th International Symposium on High Voltage Engineering-ISH 2001, Bangalore, India, 20–24 August 2001. [Google Scholar]
  22. Pattanadech, N.; Yutthagowith, P. Fast curve fitting algorithm for parameter evaluation in lightning impulse test technique. IEEE Trans. Dielectr. Electr. Insul. 2015, 22, 2931–2936. [Google Scholar] [CrossRef]
  23. Yutthagowith, P.; Pattanadech, N. Improved least-square Prony analysis technique for parameter evaluation of lightning impulse voltage and current. IEEE Trans. Power Deliv. 2016, 31, 271–277. [Google Scholar] [CrossRef]
  24. Yutthagowith, P. Effective technique for circuit and waveform parameter extraction in impulse current tests and its application. IEEE Trans. Power Deliv. 2016, 31, 704–710. [Google Scholar] [CrossRef]
  25. Carroll, R.J.; Ruppert, D. Combining transformations and weighting. In Transformation and Weighting in Regression, 1st ed.; Spinger: New York, NY, USA, 1988; pp. 161–165. [Google Scholar] [CrossRef]
Figure 1. The dielectric frequency response.
Figure 1. The dielectric frequency response.
Energies 16 04615 g001
Figure 2. The equivalent circuit of PDC measurement.
Figure 2. The equivalent circuit of PDC measurement.
Energies 16 04615 g002
Figure 3. Waveforms of applied voltage and polarization and depolarization currents during the PDC measurement.
Figure 3. Waveforms of applied voltage and polarization and depolarization currents during the PDC measurement.
Energies 16 04615 g003
Figure 4. The equivalent circuit of the extended Debye’s model.
Figure 4. The equivalent circuit of the extended Debye’s model.
Energies 16 04615 g004
Figure 5. The procedure the first developed and improved techniques for the determination of the EDM parameters.
Figure 5. The procedure the first developed and improved techniques for the determination of the EDM parameters.
Energies 16 04615 g005
Figure 6. Examples of the actual experiments for the PDC measurements, (a) 6 m cable (b) 1.65 MW motor (c) 72 MVA transformer.
Figure 6. Examples of the actual experiments for the PDC measurements, (a) 6 m cable (b) 1.65 MW motor (c) 72 MVA transformer.
Energies 16 04615 g006
Figure 7. Comparison results of Case 1 determined by the proposed techniques, commercial software, and collected from the experiment, (a) depolarization currents (b) dielectric loss factors.
Figure 7. Comparison results of Case 1 determined by the proposed techniques, commercial software, and collected from the experiment, (a) depolarization currents (b) dielectric loss factors.
Energies 16 04615 g007
Figure 8. Comparison results of Case 2 determined by the proposed techniques, commercial software, and collected from the experiment, (a) depolarization currents (b) dielectric loss factors.
Figure 8. Comparison results of Case 2 determined by the proposed techniques, commercial software, and collected from the experiment, (a) depolarization currents (b) dielectric loss factors.
Energies 16 04615 g008
Figure 9. Comparison results of Case 3 determined by the proposed techniques, commercial software, and collected from the experiment, (a) depolarization currents (b) dielectric loss factors.
Figure 9. Comparison results of Case 3 determined by the proposed techniques, commercial software, and collected from the experiment, (a) depolarization currents (b) dielectric loss factors.
Energies 16 04615 g009
Figure 10. Comparison results of Case 4 determined by the proposed techniques, commercial software, and collected from the experiment, (a) depolarization currents (b) dielectric loss factors.
Figure 10. Comparison results of Case 4 determined by the proposed techniques, commercial software, and collected from the experiment, (a) depolarization currents (b) dielectric loss factors.
Energies 16 04615 g010
Figure 11. Comparison results of Case 5 determined by the proposed techniques, commercial software, and collected from the experiment, (a) depolarization currents (b) dielectric loss factors.
Figure 11. Comparison results of Case 5 determined by the proposed techniques, commercial software, and collected from the experiment, (a) depolarization currents (b) dielectric loss factors.
Energies 16 04615 g011
Figure 12. Comparison results of Case 6 determined by the proposed techniques, commercial software, and collected from the experiment, (a) depolarization currents (b) dielectric loss factors.
Figure 12. Comparison results of Case 6 determined by the proposed techniques, commercial software, and collected from the experiment, (a) depolarization currents (b) dielectric loss factors.
Energies 16 04615 g012
Figure 13. Comparison results of Case 7 determined by the proposed techniques, commercial software, and collected from the experiment, (a) depolarization currents (b) dielectric loss factors.
Figure 13. Comparison results of Case 7 determined by the proposed techniques, commercial software, and collected from the experiment, (a) depolarization currents (b) dielectric loss factors.
Energies 16 04615 g013
Figure 14. Comparison results of Case 8 determined by the proposed techniques, commercial software, and collected from the experiment, (a) depolarization currents (b) dielectric loss factors.
Figure 14. Comparison results of Case 8 determined by the proposed techniques, commercial software, and collected from the experiment, (a) depolarization currents (b) dielectric loss factors.
Energies 16 04615 g014
Figure 15. Comparison results of Case 9 determined by the proposed techniques, commercial software, and collected from the experiment, (a) depolarization currents (b) dielectric loss factors.
Figure 15. Comparison results of Case 9 determined by the proposed techniques, commercial software, and collected from the experiment, (a) depolarization currents (b) dielectric loss factors.
Energies 16 04615 g015
Figure 16. Comparison results of Case 10 determined by the proposed techniques, commercial software, and collected from the experiment, (a) depolarization currents (b) dielectric loss factors.
Figure 16. Comparison results of Case 10 determined by the proposed techniques, commercial software, and collected from the experiment, (a) depolarization currents (b) dielectric loss factors.
Energies 16 04615 g016
Figure 17. Comparison results of Case 11 determined by the proposed techniques, commercial software, and collected from the experiment, (a) depolarization currents (b) dielectric loss factors.
Figure 17. Comparison results of Case 11 determined by the proposed techniques, commercial software, and collected from the experiment, (a) depolarization currents (b) dielectric loss factors.
Energies 16 04615 g017
Figure 18. Comparison results of Case 12 determined by the proposed techniques, commercial software, and collected from the experiment, (a) depolarization currents (b) dielectric loss factors.
Figure 18. Comparison results of Case 12 determined by the proposed techniques, commercial software, and collected from the experiment, (a) depolarization currents (b) dielectric loss factors.
Energies 16 04615 g018
Figure 19. Comparison results of Case 13 determined by the proposed techniques, commercial software, and collected from the experiment, (a) depolarization currents (b) dielectric loss factors.
Figure 19. Comparison results of Case 13 determined by the proposed techniques, commercial software, and collected from the experiment, (a) depolarization currents (b) dielectric loss factors.
Energies 16 04615 g019
Figure 20. Comparison results of Case 14 determined by the proposed techniques, commercial software, and collected from the experiment, (a) depolarization currents (b) dielectric loss factors.
Figure 20. Comparison results of Case 14 determined by the proposed techniques, commercial software, and collected from the experiment, (a) depolarization currents (b) dielectric loss factors.
Energies 16 04615 g020
Figure 21. Comparison results of Case 15 determined by the proposed techniques, commercial software, and collected from the experiment, (a) depolarization currents (b) dielectric loss factors.
Figure 21. Comparison results of Case 15 determined by the proposed techniques, commercial software, and collected from the experiment, (a) depolarization currents (b) dielectric loss factors.
Energies 16 04615 g021
Figure 22. Comparison results of Case 16 determined by the proposed techniques, commercial software, and collected from the experiment, (a) depolarization currents (b) dielectric loss factors.
Figure 22. Comparison results of Case 16 determined by the proposed techniques, commercial software, and collected from the experiment, (a) depolarization currents (b) dielectric loss factors.
Energies 16 04615 g022
Table 1. Considered cases and their rating.
Table 1. Considered cases and their rating.
CaseHV ApparatusesRating
1Bushing 69 kV
2Bushing 69 kV
3Cable (6 m) 22 kV
4Cable (100 m) 22 kV
5Cable (6 m) 115 kV
6Cable (100 m) 115 kV
7Rotating machine (Motor) 1.65 MW
8Rotating machine (Generator) 50 MVA
9Rotating machine (Generator) 50 MVA
10Rotating machine (Generator)150 MVA
11Rotating machine (Generator) 150 MVA
12Rotating machine (Generator) 800 MVA
13Transformer T36 MVA
14Transformer T46 MVA
15Transformer T155 MVA
16Transformer T272 MVA
Table 2. Testing parameters of the PDC measurements.
Table 2. Testing parameters of the PDC measurements.
Case U 0 (V) t c (s) R 0 (Ω) C 0 (F)
1 5003001.2200 × 10113.1900 × 10−10
2 10001502.4000 × 10134.1500 × 10−10
3 50010007.3200 × 10121.5210 × 10−9
4 10001006.3700 × 10131.2150 × 10−8
5 4002501.5000 × 10102.0380 × 10−9
6 4002501.4925 × 10141.5710 × 10−9
7 50010001.1741 × 10113.1900 × 10−10
8 10011001.5000 × 10111.8280 × 10−7
9 1006501.0100 × 10111.8700 × 10−7
10 10011008.5700 × 10102.3180 × 10−7
11 5011004.9400 × 10104.3130 × 10−7
12 10011009.5800 × 10101.9360 × 10−7
13 20021007.4500 × 1093.5940 × 10−9
14 20021008.4700 × 1093.0400 × 10−9
15 100031002.4300 × 1092.1370 × 10−8
16 100031001.3100 × 10115.8430 × 10−9
Table 3. The determined EDM circuit parameters by the commercial software, the first developed technique, and the improved technique in Case 2.
Table 3. The determined EDM circuit parameters by the commercial software, the first developed technique, and the improved technique in Case 2.
The Commercial Software
Coefficient ( A i ) Alpha (α)Time Constant ( τ i ) R i (Ω) C i (F)
2.8384 × 10−91.7783 × 1005.6234 × 10−13.5231 × 10111.5962 × 10−12
7.9682 × 10−105.6234 × 10−11.7783 × 1001.2550 × 10121.4170 × 10−12
5.8131 × 10−101.7783 × 10−15.6234 × 1001.7203 × 10123.2689 × 10−12
1.5337 × 10−95.6234 × 10−21.7783 × 1016.5189 × 10112.7279 × 10−11
4.7419 × 10−101.7783 × 10−25.6234 × 1011.9624 × 10122.8655 × 10−11
The First Developed Technique
Coefficient   ( A i ) Alpha (α)Time constant   ( τ i ) R i   (Ω) C i   (F)
2.8393 × 10−91.7783 × 1005.6234 × 10−13.5220 × 10111.5966 × 10−12
7.9760 × 10−105.6234 × 10−11.7783 × 1001.2538 × 10121.4184 × 10−12
5.8055 × 10−101.7783 × 10−15.6234 × 1001.7225 × 10123.2647 × 10−12
1.5341 × 10−95.6234 × 10−21.7783 × 1016.5171 × 10112.7286 × 10−11
4.7414 × 10−101.7783 × 10−25.6234 × 1011.9627 × 10122.8652 × 10−11
The Improved Technique
Coefficient   ( A i ) Alpha (α)Time constant  ( τ i ) R i   (Ω) C i   (F)
2.8186 × 10−91.7783 × 1005.6234 × 10−13.5478 × 10111.5850 × 10−12
4.3474 × 10−101.0000 × 1001.0000 × 1002.3002 × 10124.3474 × 10−13
7.3157 × 10−103.1623 × 10−13.1623 × 1001.3669 × 10122.3134 × 10−12
9.6876 × 10−101.0000 × 10−11.0000 × 1011.0322 × 10129.6876 × 10−12
1.3011 × 10−93.1623 × 10−23.1623 × 1017.6191 × 10114.1505 × 10−11
3.1810 × 10−111.0000 × 10−21.0000 × 1022.4422× 10134.0947 × 10−12
Table 4. The determined EDM circuit parameters by the commercial software, the first developed technique, and the improved technique in Case 9.
Table 4. The determined EDM circuit parameters by the commercial software, the first developed technique, and the improved technique in Case 9.
The Commercial Software
Coefficient ( A i ) Alpha (α)Time Constant ( τ i ) R i (Ω) C i (F)
8.1400 × 10−71.7794 × 1005.6200 × 10−11.2300 × 1084.5800 × 10−9
3.8500 × 10−75.6180 × 10−11.7800 × 1002.6000 × 1086.8400 × 10−9
1.7300 × 10−71.7794 × 10−15.6200 × 1005.7800 × 1089.7300 × 10−9
1.1400 × 10−75.6180 × 10−21.7800 × 1018.7900 × 1082.0200 × 10−8
4.7600 × 10−81.7794 × 10−25.6200 × 1012.1000 × 1092.6800 × 10−8
1.2200 × 10−91.7794 × 10−35.6200 × 1025.6200 × 10101.0000 × 10−8
The First Developed Technique
Coefficient   ( A i ) Alpha (α)Time constant  ( τ i ) R i   (Ω) C i   (F)
8.1375 × 10−71.7783 × 1005.6234 × 10−11.2289 × 1084.5761 × 10−9
3.8484 × 10−75.6234 × 10−11.7783 × 1002.5985 × 1086.8436 × 10−9
1.7303 × 10−71.7783 × 10−15.6234 × 1005.7793 × 1089.7303 × 10−9
1.1376 × 10−75.6234 × 10−21.7783 × 1018.7906 × 1082.0229 × 10−8
4.7640 × 10−81.7783 × 10−25.6234 × 1012.0991 × 1092.6790 × 10−8
1.2187 × 10−91.7783 × 10−35.6234 × 1025.6227 × 10101.0001 × 10−8
The Improved Technique
Coefficient   ( A i ) Alpha (α)Time constant  ( τ i ) R i   (Ω) C i   (F)
8.6611 × 10−71.7783 × 1005.6234 × 10−11.1546 × 1084.8705 × 10−9
2.8482 × 10−75.6234 × 10−11.7783 × 1003.5110 × 1085.0648 × 10−9
1.3974 × 10−73.1623 × 10−13.1623 × 1007.1559 × 1084.4191 × 10−9
8.5825 × 10−81.7783 × 10−15.6234 × 1001.1652 × 1094.8263 × 10−9
2.8281 × 10−81.0000 × 10−11.0000 × 1013.5359 × 1092.8281 × 10−9
8.4108 × 10−85.6234 × 10−21.7783 × 1011.1890 × 1091.4957 × 10−8
4.6875 × 10−83.1623 × 10−23.1623 × 1012.1333 × 1091.4823 × 10−8
1.8408 × 10−81.7783 × 10−25.6234 × 1015.4324 × 1091.0352 × 10−8
3.3961 × 10−91.0000 × 10−21.0000 × 1022.9401 × 10103.4012 × 10−9
1.9161 × 10−95.6234 × 10−31.7783 × 1025.0839 × 10103.4978 × 10−9
6.2805 × 10−103.1623 × 10−33.1623 × 1021.3884 × 10112.2777 × 10−9
6.9180 × 10−101.0000 × 10−31.0000 × 1036.9088 × 10101.4474 × 10−8
Table 5. The determined EDM circuit parameters by the commercial software, the first developed technique, and the improved technique in Case 11.
Table 5. The determined EDM circuit parameters by the commercial software, the first developed technique, and the improved technique in Case 11.
The Commercial Software
Coefficient ( A i ) Alpha (α)Time Constant ( τ i ) R i (Ω) C i (F)
7.3177 × 10−71.7783 × 1005.6234 × 10−16.8328 × 1078.2301 × 10−9
1.1616 × 10−75.6234 × 10−11.7783 × 1004.3043 × 1084.1314 × 10−9
2.0380 × 10−71.7783 × 10−15.6234 × 1002.4534 × 1082.2921 × 10−8
9.1652 × 10−85.6234 × 10−21.7783 × 1015.4554 × 1083.2597 × 10−8
4.0236 × 10−95.6234 × 10−31.7783 × 1021.2401 × 10101.4340 × 10−8
1.2693 × 10−95.6234 × 10−41.7783 × 1031.8172 × 10109.7860 × 10−8
The First Developed Technique
Coefficient   ( A i ) Alpha (α)Time constant  ( τ i ) R i   (Ω) C i   (F)
7.3181 × 10−71.7783 × 1005.6234 × 10−16.8324 × 1078.2305 × 10−9
1.1615 × 10−75.6234 × 10−11.7783 × 1004.3049 × 1084.1308 × 10−9
2.0380 × 10−71.7783 × 10−15.6234 × 1002.4533 × 1082.2922 × 10−8
9.1650 × 10−85.6234 × 10−21.7783 × 1015.4555 × 1083.2596 × 10−8
4.0240 × 10−95.6234 × 10−31.7783 × 1021.2400 × 10101.4341 × 10−8
1.2691 × 10−95.6234 × 10−41.7783 × 1031.8173 × 10109.7852 × 10−8
The Improved Technique
Coefficient   ( A i ) Alpha (α)Time constant  ( τ i ) R i   (Ω) C i   (F)
6.9323 × 10−71.7783 × 1005.6234 × 10−17.2126 × 1077.7966 × 10−9
1.5630 × 10−75.6234 × 10−11.7783 × 1003.1989 × 1085.5590 × 10−9
1.0538 × 10−71.7783 × 10−15.6234 × 1004.7447 × 1081.1852 × 10−8
1.3719 × 10−71.0000 × 10−11.0000 × 1013.6446 × 1082.7438 × 10−8
1.3839 × 10−85.6234 × 10−21.7783 × 1013.6130 × 1094.9219 × 10−9
1.2973 × 10−83.1623 × 10−23.1623 × 1013.8541 × 1098.2050 × 10−9
4.7912 × 10−91.0000 × 10−21.0000 × 1021.0436 × 10109.5827 × 10−9
1.7842 × 10−93.1623 × 10−33.1623 × 1022.7158 × 10101.1644 × 10−8
1.0548 × 10−91.0000 × 10−31.0000 × 1033.1625 × 10103.1621 × 10−8
Table 6. RRMSEs of the computed depolarization currents.
Table 6. RRMSEs of the computed depolarization currents.
CaseRRMSEs (Commercial Software) (%)RRMSEs (First Developed Technique) (%)RRMSEs (Improved Technique) (%)
12.5688 × 10−22.5663 × 10−22.4902 × 10−2
27.6491 × 10−47.6485 × 10−42.9245 × 10−4
35.1845 × 10−25.1828 × 10−25.8238 × 10−2
49.8655 × 10−19.8819 × 10−11.8918 × 100
51.6587 × 10−11.6584 × 10−11.5483 × 10−1
6N/AN/A3.3313 × 10−1
79.3972 × 10−29.4638 × 10−21.0161 × 10−1
83.1191 × 10−23.1230 × 10−22.6966 × 10−2
94.0939 × 10−24.0928 × 10−22.4202 × 10−2
104.6411 × 10−24.6394 × 10−23.3456 × 10−2
116.0334 × 10−26.0177 × 10−22.7993 × 10−2
122.4518 × 10−22.4487 × 10−22.5346 × 10−2
131.0728 × 10−21.0769 × 10−22.5134 × 10−2
141.0151 × 10−29.8452 × 10−21.0583 × 10−2
153.9636 × 10−33.9484 × 10−38.4784 × 10−3
162.8953 × 10−22.8984 × 10−23.9954 × 10−2
Table 7. RMSREs of the computed depolarization currents.
Table 7. RMSREs of the computed depolarization currents.
CaseRMSREs (Commercial Software) (%)RMSREs (First Developed Technique) (%)RMSREs (Improved Technique) (%)
13.4947 × 10−13.4219 × 10−11.2406 × 10−1
22.7007 × 1012.6999 × 1012.0769 × 100
32.2025 × 1012.2071 × 1005.8930 × 10−1
42.2385 × 1012.1767 × 1018.1292 × 100
53.1970 × 1003.1934 × 1009.2343 × 10−1
6N/AN/A4.1612 × 100
72.5932 × 1002.5939 × 1005.2441 × 10−1
86.8378 × 1006.8414 × 1001.0861 × 10−1
91.2869 × 1011.2870 × 1011.2791 × 10−1
107.1240 × 1007.1347 × 1002.7699 × 10−1
111.3595 × 1011.3591 × 1013.2594 × 10−1
122.5091 × 1002.5195 × 1001.1860 × 10−1
139.7362 × 10−19.7317 × 10−18.2364 × 10−1
148.0304 × 10−18.0176 × 10−17.2518 × 10−2
151.7513 × 10−11.7351 × 10−17.9266 × 10−1
161.9291 × 1001.9297 × 1001.9225 × 100
Disclaimer/Publisher’s Note: The statements, opinions and data contained in all publications are solely those of the individual author(s) and contributor(s) and not of MDPI and/or the editor(s). MDPI and/or the editor(s) disclaim responsibility for any injury to people or property resulting from any ideas, methods, instructions or products referred to in the content.

Share and Cite

MDPI and ACS Style

Raxsa, J.; Nimsanong, P.; Mai-Eiam, T.; Yutthagowith, P. Determination of Dielectric Models Based on Effective Multi-Exponential Fittings. Energies 2023, 16, 4615. https://doi.org/10.3390/en16124615

AMA Style

Raxsa J, Nimsanong P, Mai-Eiam T, Yutthagowith P. Determination of Dielectric Models Based on Effective Multi-Exponential Fittings. Energies. 2023; 16(12):4615. https://doi.org/10.3390/en16124615

Chicago/Turabian Style

Raxsa, Jedsada, Phethai Nimsanong, Thanatorn Mai-Eiam, and Peerawut Yutthagowith. 2023. "Determination of Dielectric Models Based on Effective Multi-Exponential Fittings" Energies 16, no. 12: 4615. https://doi.org/10.3390/en16124615

APA Style

Raxsa, J., Nimsanong, P., Mai-Eiam, T., & Yutthagowith, P. (2023). Determination of Dielectric Models Based on Effective Multi-Exponential Fittings. Energies, 16(12), 4615. https://doi.org/10.3390/en16124615

Note that from the first issue of 2016, this journal uses article numbers instead of page numbers. See further details here.

Article Metrics

Back to TopTop