Study on the Influence of Radial Inlet Chamber Splitter Blades on the Oblique Flow Compressor Performance
Abstract
1. Introduction
2. RIC Design
3. Computational Model and Numerical Methodology
3.1. Computational Model
3.2. Evaluation Indicators
3.3. Mesh Generation and Calculation Method
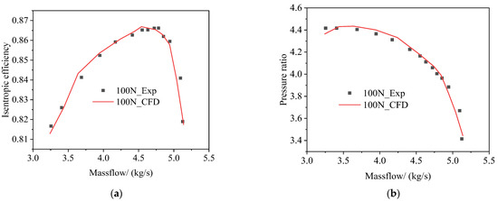
3.4. Verification of Numerical Calculation Method
4. Calculation Results and Discussion
4.1. Overall Performance
4.1.1. Whole Machine
4.1.2. RIC
4.1.3. Impeller
4.2. Tip Leakage
4.3. Analysis of Flow Field
4.3.1. RIC
4.3.2. Impeller
4.3.3. Blade to Blade
5. Conclusions
- With the increase of splitter blades in the RIC, the stable operation range and surge margin of the whole stage gradually increase, the pressure ratio increases first and then decreases, and the isentropic efficiency gradually increases at the design point. The surge margin increases from 6.3% to 13.94%. At the design point, the isentropic efficiency of the whole stage (RIC with 17 blades) increases by 0.33% compared to the 0 splitter blade (the lowest) and reduces by 1.49% compared to that without RIC. The total pressure ratio of the whole stage (RIC with 11 blades) is the largest, and the total pressure ratio is reduced by 1.14% compared to the compressor without RIC;
- The relative tip leakage of the models with different numbers of splitter blades have a similar trend with mass flow, and all decrease with the increase of mass flow. The decline rate accelerates significantly at large mass flow. Compared with the compressor without RIC, the relative tip leakage and attack angle distribution uniformity of the other 4 compressors with different RIC are poor. With the increase of the splitter blade number, the uniformity of the relative leakage and attack angle distribution shows a better trend;
- With the increase of the splitter blade number in RIC, the flow loss in RIC increases, but the uniformity of outlet aerodynamic parameters distribution is significantly improved. It is possible to determine the best compromise between total pressure loss and outlet distortion.
Author Contributions
Funding
Institutional Review Board Statement
Informed Consent Statement
Data Availability Statement
Conflicts of Interest
Nomenclature
| Symbols | |
| P | Static pressure, Pa |
| P* | Total pressure, Pa |
| Average static pressure, Pa | |
| Kp | Total pressure loss coefficient |
| T | Temperature, K |
| T* | Total temperature, K |
| k | Adiabatic coefficient |
| D | Diameter |
| b | Thickness of spiral channel |
| l | Width of spiral channel |
| m | Mass flow |
| q | Volume flow |
| A | Area |
| c | Velocity |
| Greek symbols | |
| λ | Relative turning radius |
| ε | Total pressure ratio |
| η | Isentropic efficiency |
| ζ | Distortion coefficient |
| θ | Swirl angle, ° |
| σ | Convergence degree |
| π | Ratio of circumference to diameter |
| Subscripts | |
| c | Circumferential |
| m | Meridian |
| in | Inlet |
| out | Outlet |
| s | Surge condition |
| d | Designed condition |
| c | Choke condition |
| v | Volume flow |
| Acronyms | |
| RIC | Radial inlet chamber |
| CAES | Compressed Air Energy Storage |
| SM | Surge margin |
| OM | Stable operation range |
| IGV | Inlet guide vane |
| HPCC | High-pressure centrifugal compressor |
References
- Chen, H.; Cong, T.N.; Yang, W.; Tan, C.; Li, Y.; Ding, Y. Progress in electrical energy storage system: A critical review. Prog. Nat. Sci. 2009, 19, 291–312. [Google Scholar] [CrossRef]
- Guo, H.; Xu, Y.; Zhang, Y.; Liang, Q.; Tang, H.; Zhang, X.; Zuo, Z.; Chen, H. Off-design performance and an optimal operation strategy for the multistage compression process in adiabatic compressed air energy storage systems. Appl. Therm. Eng. 2019, 149, 262–274. [Google Scholar] [CrossRef]
- Zhou, X.; Zuo, Z.; Liang, Q.; Hou, H.; Tang, H.; Chen, H. Synergy Methodology for Internal Flow of Turbomachinery. J. Therm. Sci. 2020, 29, 730–742. [Google Scholar] [CrossRef]
- Lin, Z.; Zuo, Z.; Li, W.; Sun, J.; Zhou, X.; Chen, H.; Zhou, X. Experimental and Numerical Analysis of the Impeller Backside Cavity in a Centrifugal Compressor for CAES. Energies 2022, 15, 420. [Google Scholar] [CrossRef]
- Sun, J.; Zhou, X.; Liang, Q.; Zuo, Z.; Chen, H. The Effect of Wet Compression on a Centrifugal Compressor for a Compressed Air Energy Storage System. Energies 2019, 12, 906. [Google Scholar] [CrossRef]
- Engeda, A.; Kim, Y.; Aungier, R.; Direnzi, G. The Inlet Flow Structure of a Centrifugal Compressor Stage and Its Influence on the Compressor Performance. J. Fluids Eng. 2003, 125, 779–785. [Google Scholar] [CrossRef]
- Wu, D.P.; Wang, L.B.; Chen, J.; Liu, G.Y.; Xiao, L.W. The Design Method of Radial Inlet Volute in Centrifugal Compressor. Compress. Blower Fan Technol. 2010, 215, 23–27. [Google Scholar]
- Tan, J.; Wang, X.J.; Liu, J.; Qi, D.T.; Han, F.; Wang, R. Review of the Study on the Radial Inlet of Centrifugal Compressor. Compress. Blower Fan Technol. 2014, 56, 63–70. [Google Scholar]
- Semlitsch, B.; Mihaescu, M. Flow Phenomena Leading to Surge in a Centrifugal Compressor. Energy 2016, 103, 572–587. [Google Scholar] [CrossRef]
- Gunn, E.J.; Tooze, S.E.; Hall, C.A.; Colin, Y. An Experimental Study of Loss Sources in a Fan Operating With Continuous Inlet Stagnation Pressure Distortion. J. Turbomach. 2013, 135, 051002. [Google Scholar] [CrossRef]
- Mack, E.; Gillespie, J.; Frohnapfel, D.J.; O’Brien, W.F.; Untăroiu, A. Pressure Screen—SteamVane Interaction Effects on Downstream Flow Distortion Pattern. In Proceedings of the 2018 Joint Propulsion Conference, Cincinnati, OH, USA, 9–11 July 2018. [Google Scholar]
- Zhang, J.; Lin, F.; Chen, J.; Nie, C. The Flow Mechanism of How Distorted Flows Deteriorate Stability of an Axial Flow Compressor. In Proceedings of the ASME Turbo Expo 2007: Power for Land, Sea, and Air, Montreal, QC, Canada, 14–17 May 2007. [Google Scholar]
- Galindo, J.; Serrano, J.R.; Margot, X.; Tiseira, A.; Schorn, N.; Kindl, H. Potential of flow pre-whirl at the compressor inlet of automotive engine turbochargers to enlarge surge margin and overcome packaging limitations. Int. J. Heat Fluid Flow 2007, 28, 374–387. [Google Scholar] [CrossRef]
- Wang, R.; Qi, D.T.; Wang, X.J.; Zhang, Y. Numerical Study on the Interior Flow in the Radial Inlet Volute for Centrifugal Compressor. Fluid Mach. 2008, 432, 19–24. [Google Scholar]
- Flathers, M.B.; Bache, G.E.; Rainsberger, R. An Experimental and Computational Investigation of Flow in a Radial Inlet of an Industrial Pipeline Centrifugal Compressor. J. Turbomach. 1996, 118, 371–384. [Google Scholar] [CrossRef]
- Moore, J.J.; Flathers, M.B. Aerodynamically Induced Radial Forces in a Centrifugal Gas Compressor: Part 1—Experimental Measurement. J. Eng. Gas Turbines Power 1998, 120, 383–390. [Google Scholar] [CrossRef]
- Flathers, M.B.; Bache´, G.E. Aerodynamically Induced Radial Forces in a Centrifugal Gas Compressor: Part 2—Computational Investigation. J. Eng. Gas Turbines Power 1999, 121, 725–734. [Google Scholar] [CrossRef]
- Koch, J.M.; Chow, P.N.; Hutchinson, B.R.; Elias, S.R. Experimental and Computational Study of a Radial Compressor Inlet. In Proceedings of the ASME 1995 International Gas Turbine and Aeroengine Congress and Exposition, Houston, TX, USA, 5–8 June 1995; p. V001T01A014. [Google Scholar]
- Pazzi, S.; Michelassi, V. Analysis and Design Outlines of Centrifugal Compressor Inlet Volutes. In Proceedings of the ASME Turbo Expo 2000: Power for Land, Sea, and Air, Munich, Germany, 8–11 May 2000; p. V001T03A037. [Google Scholar]
- Hohlweg, W.; Amineni, N. Effect of Reduced Inlet Space on a Medium Flow Coefficient Centrifugal Compressor Stage. In Proceedings of the ASME 2000 International Mechanical Engineering Congress and Exposition, Orlando, Fl, USA, 5–10 November 2000. [Google Scholar]
- Kim, Y.; Koch, J. Design and Numerical Investigation of Advanced Radial Inlet for a Centrifugal Compressor Stage. In Proceedings of the ASME 2004 International Mechanical Engineering Congress and Exposition, Anaheim, CA, USA, 13–19 November 2004. [Google Scholar]
- Han, F.; Mao, Y.; Tan, J.; Zhao, C.; Zhang, Y. Flow measurement and simulation of a radial inlet for centrifugal compressor. Proc. Inst. Mech. Eng. Part A J. Power Energy 2015, 229, 367–380. [Google Scholar] [CrossRef]
- Han, F.; Mao, Y.; Tan, J. Influences of flow loss and inlet distortions from radial inlets on the performances of centrifugal compressor stages. J. Mech. Sci. Technol. 2016, 30, 4591–4599. [Google Scholar] [CrossRef]
- Han, F.; Wang, Z.; Mao, Y.; Tan, J.; Li, W. Experimental and numerical studies on the influence of inlet guide vanes of centrifugal compressor on the flow field characteristics of inlet chamber. Adv. Mech. Eng. 2020, 12, 1687814020974909. [Google Scholar] [CrossRef]
- Han, F.; Wang, Z.; Mao, Y.; Tan, J.; Li, W. Flow Control of Radial Inlet Chamber and Downstream Effects on a Centrifugal Compressor Stage. Appl. Sci. 2021, 11, 2168. [Google Scholar] [CrossRef]
- Saladino, A.J.; Bielecki, S.J. Streamlining of the Radial Inlet Design Process for Centrifugal Compressors. In Proceedings of the ASME 2002 International Mechanical Engineering Congress and Exposition, New Orleans, LA, USA, 17–22 November 2002. [Google Scholar]
- Yagi, M.; Shibata, T.; Nishida, H.; Kobayashi, H.; Tanaka, M.; Sugimura, K. Optimizing a Suction Channel to Improve Performance of a Centrifugal Compressor Stage. In Proceedings of the ASME Turbo Expo 2010: Power for Land, Sea, and Air, Glasgow, UK, 14–18 June 2010. [Google Scholar]
- Chen, J.; Zuo, Z.; Zhou, X.; Guo, W.; Sun, J.; Chen, H. Genetic optimization design for aerodynamic structure of oblique flow compressor radial inlet chamber in CAES. Energy Storage 2023, e452. [Google Scholar] [CrossRef]
- Mckain, T.F.; Holbrook, G.J. Coordinates for a High Performance 4:1 Pressure Ratio Centrifugal Compressor; NASA Contract NAS 3-23268; National Aeronautics and Space Administration: Washington, DC, USA, 1997.
- Skoch, G.J.; Prahst, P.S.; Wernet, M.P.; Wood, J.R.; Strazisar, A.J. Laser Anemometer Measurements of the Flow Field in a 4:1 Pressure Ratio Centrifugal Impeller. In Proceedings of the ASME 1997 International Gas Turbine and Aeroengine Congress and Exhibition, Orlando, FL, USA, 2–5 June 1997; p. V001T03A049. [Google Scholar]





















| Model | Radial Inlet Chamber | Compressor |
|---|---|---|
| Model 0 | - | IGV + Impeller + Vaneless diffuser |
| Model 1 | 0 blades | |
| Model 2 | 7 blades | |
| Model 3 | 11 blades | |
| Model 4 | 17 blades |
| Parameters | Value |
|---|---|
| Rotation speed (r/min) | 3000 |
| Inlet total pressure (Pa) | 99,330 |
| Designed pressure ratio | 1.9 |
| Number of IGV | 12 |
| Number of impellers | 13 |
| Tip clearance (mm) | 1.5 |
| Impeller inlet width (mm) | 1460 |
| Impeller outlet width (mm) | 115 |
| Section | Mesh Number/Million |
|---|---|
| Compressor | 1.57 |
| RIC without blade | 1.98 |
| RIC with 7 blades | 2.32 |
| RIC with 11 blades | 2.75 |
| RIC with 17 blades | 3.17 |
Disclaimer/Publisher’s Note: The statements, opinions and data contained in all publications are solely those of the individual author(s) and contributor(s) and not of MDPI and/or the editor(s). MDPI and/or the editor(s) disclaim responsibility for any injury to people or property resulting from any ideas, methods, instructions or products referred to in the content. |
© 2023 by the authors. Licensee MDPI, Basel, Switzerland. This article is an open access article distributed under the terms and conditions of the Creative Commons Attribution (CC BY) license (https://creativecommons.org/licenses/by/4.0/).
Share and Cite
Chen, J.; Zuo, Z.; Zhou, X.; Sun, J.; Li, J.; Guo, W.; Chen, H. Study on the Influence of Radial Inlet Chamber Splitter Blades on the Oblique Flow Compressor Performance. Energies 2023, 16, 4384. https://doi.org/10.3390/en16114384
Chen J, Zuo Z, Zhou X, Sun J, Li J, Guo W, Chen H. Study on the Influence of Radial Inlet Chamber Splitter Blades on the Oblique Flow Compressor Performance. Energies. 2023; 16(11):4384. https://doi.org/10.3390/en16114384
Chicago/Turabian StyleChen, Jixiang, Zhitao Zuo, Xin Zhou, Jianting Sun, Jingxin Li, Wenbin Guo, and Haisheng Chen. 2023. "Study on the Influence of Radial Inlet Chamber Splitter Blades on the Oblique Flow Compressor Performance" Energies 16, no. 11: 4384. https://doi.org/10.3390/en16114384
APA StyleChen, J., Zuo, Z., Zhou, X., Sun, J., Li, J., Guo, W., & Chen, H. (2023). Study on the Influence of Radial Inlet Chamber Splitter Blades on the Oblique Flow Compressor Performance. Energies, 16(11), 4384. https://doi.org/10.3390/en16114384

