A Self-Supplied Power Optimizer for Piezoelectric Energy Harvesters Operating under Non-Sinusoidal Vibrations
Abstract
1. Introduction
2. Operating Principle of the EHPO
3. Design and Implementation of the EHPO
3.1. The Feedback Control Loop
3.2. The Duty Cycle and the Switching Frequency
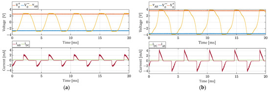
4. Experimental Results
4.1. Sinusoidal Input Vibrations
4.2. Non-Sinusoidal Input Vibrations
5. Conclusions
6. Patents
Author Contributions
Funding
Data Availability Statement
Acknowledgments
Conflicts of Interest
References
- Hung, L.-L.; Leu, F.-Y.; Tsai, K.-L.; Ko, C.-Y. Energy-Efficient Cooperative Routing Scheme for Heterogeneous Wireless Sensor Networks. IEEE Access 2020, 8, 56321–56332. [Google Scholar] [CrossRef]
- Femine, A.D.; Gallo, D.; Landi, C.; Schiavo, A.L.; Luiso, M. Low Power Contactless Voltage Sensor for Low Voltage Power Systems. Sensors 2019, 19, 3513. [Google Scholar] [CrossRef] [PubMed]
- Gulati, K.; Boddu, R.S.K.; Kapila, D.; Bangare, S.L.; Chandnani, N.; Saravanan, G. A review paper on wireless sensor network techniques in Internet of Things (IoT). Mater. Today Proc. 2021, 51, 161–165. [Google Scholar] [CrossRef]
- Harb, A. Energy harvesting: State-of-the-art. Renew. Energy 2011, 36, 2641–2654. [Google Scholar] [CrossRef]
- Costanzo, L.; Vitelli, M. Tuning Techniques for Piezoelectric and Electromagnetic Vibration Energy Harvesters. Energies 2020, 13, 527. [Google Scholar] [CrossRef]
- Costanzo, L.; Liu, M.; Schiavo, A.L.; Vitelli, M.; Zuo, L. Backpack Energy Harvesting System with Maximum Power Point Tracking Capability. IEEE Trans. Ind. Electron. 2022, 69, 506–516. [Google Scholar] [CrossRef]
- Brenes, A.; Morel, A.; Juillard, J.; Lefeuvre, E.; Badel, A. Maximum power point of piezoelectric energy harvesters: A review of optimality condition for electrical tuning. Smart Mater. Struct. 2020, 29, 033001. [Google Scholar] [CrossRef]
- Costanzo, L.; Schiavo, A.L.; Vitelli, M. Active Interface for Piezoelectric Harvesters Based on Multi-Variable Maximum Power Point Tracking. IEEE Trans. Circuits Syst. I Regul. Pap. 2020, 67, 2503–2515. [Google Scholar] [CrossRef]
- Piliposian, G.; Hasanyan, A.; Jilavyan, H. On the Sensing, Actuating and Energy Harvesting Properties of a Composite Plate with Piezoelectric Patches. Int. J. Precis. Eng. Manuf. Technol. 2020, 7, 657–668. [Google Scholar] [CrossRef]
- Li, T.; Lee, P.S. Piezoelectric Energy Harvesting Technology: From Materials, Structures, to Applications. Small Struct. 2022, 3, 2100128. [Google Scholar] [CrossRef]
- Brito-Pereira, R.; Ribeiro, C.; Pereira, N.; Lanceros-Mendez, S.; Martins, P. Printed multifunctional magnetically activated energy harvester with sensing capabilities. Nano Energy 2022, 94, 106885. [Google Scholar] [CrossRef]
- Shi, Y.; Li, N.; Ye, J.; Ma, J. Enhanced magnetoelectric response in nanostructures due to flexoelectric and flexomagnetic effects. J. Magn. Magn. Mater. 2020, 521, 167523. [Google Scholar] [CrossRef]
- Kong, C.S. A general maximum power transfer theorem. IEEE Trans. Educ. 1995, 38, 296–298. [Google Scholar] [CrossRef]
- Liao, Y.; Liang, J. Maximum power, optimal load, and impedance analysis of piezoelectric vibration energy harvesters. Smart Mater. Struct. 2018, 27, 075053. [Google Scholar] [CrossRef]
- Minami, M. Improvement in Output Characteristics Using a Resonator and Passive Rectifiers in Vibration Generators. IEEE Trans. Power Electron. 2018, 34, 7184–7191. [Google Scholar] [CrossRef]
- Ulusan, H.; Gharehbaghi, K.; Zorlu, O.; Muhtaroglu, A.; Kulah, H. A Fully Integrated and Battery-Free Interface for Low-Voltage Electromagnetic Energy Harvesters. IEEE Trans. Power Electron. 2014, 30, 3712–3719. [Google Scholar] [CrossRef]
- Hsieh, C.-Y.; Huang, B.; Golnaraghi, F.; Moallem, M. Regenerative Skyhook Control for an Electromechanical Suspension System Using a Switch-Mode Rectifier. IEEE Trans. Veh. Technol. 2016, 65, 9642–9650. [Google Scholar] [CrossRef]
- Datasheet. Available online: https://www.analog.com/en/products/ltc3588-1.html (accessed on 23 May 2023).
- Datasheet. Available online: https://www.analog.com/en/products/ltc3331.html (accessed on 23 May 2023).
- Datasheet. Available online: http://www.ti.com/tool/TIDA-00690#0 (accessed on 23 May 2023).
- Datasheet. Available online: https://datasheets.maximintegrated.com/en/ds/MAX17710.pdf (accessed on 23 May 2023).
- Costanzo, L.; Schiavo, A.L.; Vitelli, M. Design Guidelines for the Perturb and Observe Technique for Electromagnetic Vibration Energy Harvesters Feeding Bridge Rectifiers. IEEE Trans. Ind. Appl. 2019, 55, 5089–5098. [Google Scholar] [CrossRef]
- Guyomar, D.; Badel, A.; Lefeuvre, E.; Richard, C. Toward energy harvesting using active materials and conversion improvement by nonlinear processing. IEEE Trans. Ultrason. Ferroelectr. Freq. Control 2005, 52, 584–595. [Google Scholar] [CrossRef]
- Wu, L.; Do, X.-D.; Lee, S.-G.; Ha, D.S. A Self-Powered and Optimal SSHI Circuit Integrated with an Active Rectifier for Piezoelectric Energy Harvesting. IEEE Trans. Circuits Syst. I Regul. Pap. 2017, 64, 537–549. [Google Scholar] [CrossRef]
- Dicken, J.; Mitcheson, P.D.; Stoianov, I.; Yeatman, E.M. Power-extraction circuits for piezoelectric energy harvesters in miniature and low-power applications. IEEE Trans. Power Electron. 2012, 27, 4514–4529. [Google Scholar] [CrossRef]
- Lefeuvre, E.; Badel, A.; Brenes, A.; Seok, S.; Woytasik, M.; Yoo, C.S. Analysis of piezoelectric energy harvesting system with tunable SECE interface. Smart Mater. Struct. 2017, 26, 035065. [Google Scholar] [CrossRef]
- Patent. Available online: https://patentscope.wipo.int/search/en/detail.jsf?docId=EP348440005&_cid=P10-L2A8TC-36138-1 (accessed on 23 May 2023).
- De Marneffe, B.; Preumont, A. Vibration damping with negative capacitance shunts: Theory and experiment. Smart Mater. Struct. 2008, 17, 035015. [Google Scholar] [CrossRef]
- Neri, I.; Travasso, F.; Mincigrucci, R.; Vocca, H.; Orfei, F.; Gammaitoni, L. A real vibration database for kinetic energy harvesting application. J. Intell. Mater. Syst. Struct. 2012, 23, 2095–2101. [Google Scholar] [CrossRef]
- Vibration Signal. Available online: http://realvibrations.nipslab.org/node/235 (accessed on 23 May 2023).
- Vibration Signal. Available online: http://realvibrations.nipslab.org/node/152 (accessed on 23 May 2023).
- Yao, M.; Li, J.; Niu, Y. Adaptive impedance matching for power management circuit for a piezoelectric energy harvester on the bridge. Sens. Actuators A Phys. 2021, 331, 112986. [Google Scholar] [CrossRef]
- Yang, L.; Wei, T.; Chen, N. High-Efficiency Energy Management Circuit Combining Synchronized Switch Harvesting on Inductor Rectifier and Impedance Matching for Impact-Type Piezoelectric Energy Harvester. Energy Technol. 2022, 10, 2200434. [Google Scholar] [CrossRef]
- Fang, S.; Xia, H.; Xia, Y.; Ye, Y.; Shi, G.; Wang, X.; Chen, Z. An Efficient Piezoelectric Energy Harvesting Circuit with Series-SSHI Rectifier and FNOV-MPPT Control Technique. IEEE Trans. Ind. Electron. 2021, 68, 7146–7155. [Google Scholar] [CrossRef]
- Yang, L.; Wei, T.; Chen, N. A Piezoelectric Energy Management Circuit Combining ReL-SSHI and MPPT for Impact-Type Piezoelectric Harvesters. In Proceedings of the 2022 7th International Conference on Integrated Circuits and Microsystems (ICICM), Xi’an, China, 28–31 October 2022; pp. 12–16. [Google Scholar] [CrossRef]
- Ammar, M.B.; Sahnoun, S.; Fakhfakh, A.; Viehweger, C.; Kanoun, O. Self-Powered Synchronized Switching Interface Circuit for Piezoelectric Footstep Energy Harvesting. Sensors 2023, 23, 1830. [Google Scholar] [CrossRef]
- Chamanian, S.; Ciftci, B.; Muhtaroglu, A.; Kulah, H. A Self-Powered and Area Efficient SSHI Rectifier for Piezoelectric Harvesters. IEEE Access 2021, 9, 117703–117713. [Google Scholar] [CrossRef]
- Lo, Y.; Shu, Y. Self-powered SECE piezoelectric energy harvesting induced by shock excitations for sensor supply. Mech. Syst. Signal Process. 2022, 177, 109123. [Google Scholar] [CrossRef]



















| Component | Value | Component | Value |
|---|---|---|---|
| NMOS | ZVN4424A | ||
| PMOS | ZVP4424A | ||
| Diodes | 1N4148 | ||
| OP-AMP | MCP6241 | ||
| Comparator | LTC1440 | ||
| Publication | 2021 [32] | 2022 [33] | 2021 [34] | 2022 [35] | 2023 [36] | 2021 [37] | 2022 [38] | This Work |
| Type of Circuit | IM (2) | SSHI (3) and IM | SSHI and MPPT (4) | Rectifier-less SSHI | SSHI | SSHI | SECE (7) | EHPO (switch-mode converter for negative capacitance emulation) |
| Self-supplied | Yes | Yes | Yes | Yes (6) | Yes | Yes | Yes | Yes |
| Type of prototype | Discrete components | Integrated chip | Discrete components | Discrete components | Discrete components | Integrated chip | Discrete components | Discrete components |
| Tested RPVEH | Custom piezo device | PZT S452-J1FR-1808XB | Custom piezo device | S452-J1FR-1808XB | AB4113BLW100-R by Murata | MIDE V22BL | Piezo by Eleceram Technology | MIDE PPA-4011 |
| Sinusoidal Vibration Characteristics | N/A | N/A | 30 Hz, 4 V (5) | N/A | N/A | 208 Hz, 0.13 g | N/A | 232 Hz, 2 g |
| Maximum power under sinusoidal vibrations | N/A | N/A | 237.2 µW | N/A | N/A | 3.84 µW | N/A | 2.81 mW |
| Power gain under sinusoidal vibrations (1) | N/A | N/A | 292% | N/A | N/A | 523% | N/A | 190% |
| Non-sinusoidal vibration characteristics | Impact | Impact due to the rotation of air blades under a wind speed of 1.46 m/s | N/A | Impact | Footsteps pressure of a person (59 kg) walking with moderate speed | N/A | Impact | Scaled form of the vibration on a Ford Focus diesel engine turned on |
| Maximum power under non-sinusoidal vibrations | 1.05 mW | 294.2 µW | N/A | ≈82 µW (6) | 3.6 mW | N/A | 200 µ | 1.19 mW |
| Power gain under non-sinusoidal vibrations (1) | 122% | 368% | N/A | 176% (6) | N/A | N/A | ≈ 118% (8) | 245% |
Disclaimer/Publisher’s Note: The statements, opinions and data contained in all publications are solely those of the individual author(s) and contributor(s) and not of MDPI and/or the editor(s). MDPI and/or the editor(s) disclaim responsibility for any injury to people or property resulting from any ideas, methods, instructions or products referred to in the content. |
© 2023 by the authors. Licensee MDPI, Basel, Switzerland. This article is an open access article distributed under the terms and conditions of the Creative Commons Attribution (CC BY) license (https://creativecommons.org/licenses/by/4.0/).
Share and Cite
Costanzo, L.; Lo Schiavo, A.; Vitelli, M. A Self-Supplied Power Optimizer for Piezoelectric Energy Harvesters Operating under Non-Sinusoidal Vibrations. Energies 2023, 16, 4368. https://doi.org/10.3390/en16114368
Costanzo L, Lo Schiavo A, Vitelli M. A Self-Supplied Power Optimizer for Piezoelectric Energy Harvesters Operating under Non-Sinusoidal Vibrations. Energies. 2023; 16(11):4368. https://doi.org/10.3390/en16114368
Chicago/Turabian StyleCostanzo, Luigi, Alessandro Lo Schiavo, and Massimo Vitelli. 2023. "A Self-Supplied Power Optimizer for Piezoelectric Energy Harvesters Operating under Non-Sinusoidal Vibrations" Energies 16, no. 11: 4368. https://doi.org/10.3390/en16114368
APA StyleCostanzo, L., Lo Schiavo, A., & Vitelli, M. (2023). A Self-Supplied Power Optimizer for Piezoelectric Energy Harvesters Operating under Non-Sinusoidal Vibrations. Energies, 16(11), 4368. https://doi.org/10.3390/en16114368

