Next Article in Journal
External Environmental Costs of Solid Biomass Production against the Legal and Political Background in Europe
Previous Article in Journal
Conversion of a Small-Size Passenger Car to Hydrogen Fueling: Evaluating the Risk of Backfire and the Correlation to Fuel System Requirements through 0D/1D Simulation
 
 
Font Type:
Arial Georgia Verdana
Font Size:
Aa Aa Aa
Line Spacing:
Column Width:
Background:
Article

An Overall Linearized Modeling Method and Associated Delay Time Model for the PV System

College of Intelligent Systems Science and Engineering, Hubei Minzu University, Enshi 445000, China
*
Author to whom correspondence should be addressed.
Energies 2023, 16(10), 4202; https://doi.org/10.3390/en16104202
Submission received: 10 April 2023 / Revised: 14 May 2023 / Accepted: 17 May 2023 / Published: 19 May 2023
(This article belongs to the Topic Advanced Technologies and Methods in the Energy System)

Abstract

There are some significant nonlinearity and delay issues in photovoltaic (PV) system circuits. Therefore, it is very difficult for the existing classic linear control theories to be used in PV systems; this hinders the design of the optimal energy dispatch by considering real-time generation power forecasting methods. To solve this problem, an overall linearized model with variable weather parameters (OLM-VWP) of the PV system is proposed on the basis of small-signal modeling. Meanwhile, a corresponding simplified overall linearized model with variable weather parameters (SOLM-VWP) is presented. The SOLM-VWP avoids analyzing delay characteristics of the complex high-order PV system. Moreover, it can reduce hardware cost and computation time, which makes analysis of the transient performance index of the PV system more convenient. In addition, on the basis of the OLM-VWP and SOLM-VWP, a delay-time model with variable weather parameters (DTM-VWP) of the PV system is also proposed. The delay time of the system can be accurately calculated using the DTM-VWP, and it provides a preliminary theoretical basis for carrying out real-time energy scheduling of the PV system. Finally, simulations are implemented using the MATLAB tool, and experiments are conducted. The results verify that the proposed linearization model of the PV system is accurate and reasonable under varying irradiance and temperature conditions. Meanwhile, the results also verify that the proposed SOLM-VWP and DTM-VWP of the PV system are feasible. Additionally, the results show that some transient performance indexes (delay time, rise time, settling time, and peak time) can be solved by means of equations when the circuit parameters and real-time weather parameters are given.

1. Introduction

As the proportion of the PV system continues to increase, grid-connected PV systems are expected to reduce the effective system inertia due to the lack of inertia inlarge-scale PV generation [1,2]. In a reduced-inertia power system, the active balance is usually disrupted by large and random weather changes following PV generation. To date, many research efforts have been conducted in this area. The use of accurate PV power prediction for dispatch control is considered an important means to effectively solve the above problem. Therefore, it is crucial to accurately develop the DTM-VWP of the PV system to solve problems related to grid dispatch. To obtain this model, however, it is necessary to build a linear model of the overall association. The PV system is a strongly nonlinear system that cannot be studied and analyzed using classic linear control theory. Therefore, the proposed OLM-VWP must completely remove obstacles to using linear theory to analyze these systems. To date, much work has been reported in the literature on linearized modeling, which mainly includes linearized modeling of DC/DC, DC/AC, and PV cells. The current mainstream methods for modeling DC/DC include the description function method, the switching network averaging modeling method, and the state–space averaging method. To improve the accuracy of DC/DC stability analysis, Refs. [3,4] have proposed the description function method to model the linearization of the switching process in DC/DC. The descriptive function method cannot linearize the modeling of DC/DC containing nonlinear links. To address this limitation, Refs. [5,6,7] have proposed the linearized modeling method for switching network averaging. In addition, the well-known state-space averaging method has been proposed, which is simple and easy to use for steady-state and small-signal analysis of DC/DC [8]. This state-space averaging method provides important guidelines for DC/DC operation in low-frequency small-signal analysis. The main DC/AC modeling methods are the D-Q small-signal method, the generalized averaging method, and the traditional state-space averaging method [9]. In weak grid conditions, changes in PLL bandwidth may cause the inverter system to lose stability. To overcome this drawback, Refs. [9,10,11] have proposed the small-signal linearized circuit model for the grid-connected inverter power stage in the system D-Q framework. The D-Q small-signal linearization modeling methods have limitations such as low accuracy and long simulation application time; in contrast, Refs. [12,13] have proposed a generalized averaging linearization model for single-phase and three-phase pulse-width modulated inverters. Modeling based on the generalized averaging method takes into account effects of different parameters, such as amplitude modulation ratio, dead time, and switching frequency. This method ensures accurate estimation of the fundamental components of voltage and current and improves the computational efficiency of the inverter simulation. However, the traditional state-space averaging method used in previous studies still has irreplaceable advantages in low- and medium-frequency systems [14,15,16]. First, it can be implemented simply and with clear physical meaning. Second, it can improve the stability of the system by analyzing the eigenvalues of the state–space matrix. Finally, it can be further simplified to a reduced-order model by removing states that are irrelevant to the specific stability problem. A large number of contributions have been made by previous researchers in modeling the linearization of DC/DC and DC/AC, but an important obstacle to the overall linearization of the PV system is the linearization of PV cells. These cells exhibit strong nonlinearity as affected by irradiance and temperature. The main methods used to build the linearization model of PV cells are the segmental linearization method and small-signal linearization method. In Ref. [17], a new, explicit mathematical model is proposed using the segmented linearization method to represent the expression of the I V relationship for the conventional two-diode model of the PV cell. To improve the real-time accuracy of PV MPPT under nonuniform conditions, a new segmented linear model is proposed [18] for the fast and accurate real-time simulation of the PV cell. To simplify the linearized model to a greater extent, Ref. [19] has derived the algebraic equation for the PV cell model using the Taylor approximation in conjunction with traditionally segmented linearization. However, the segmented linearization modeling method has limitations such as computational complexity and MPP inaccuracy. Therefore, most researchers have linearized the modeling of PV cells operating at the MPP. In Ref. [20], researchers proposed equating the diode in the single-diode circuit model to a series connection of resistance and capacitance at the MPP, and the original circuit is equated to Thevenin’s equivalent circuit. On the other hand, Ref. [21] has established a linearized model of weather parameters and the external equivalence of the PV cell, and the model included a functional relationship between the MPPT control parameters and the weather, providing a convenient way to implement MPPT. However, previous research has not linearized the overall PV system, and, in particular, no explicit mathematical model is available for the study and analysis of the overall PV system. This drawback prevents the use of classic linear control theory to easily analyze the characteristics of PV systems. Moreover, it is not possible to find the delay time of the system using classic control theory. The DC-side linearization model and OLM-VWP of the PV system are first proposed by modeling the overall PV system with a small signal under input-to-output conditions and control-to-output conditions. These results provide a favorable theoretical basis for the analysis of delay characteristics, the development of energy scheduling strategies, and the selection of control methods. One of the main objectives and contributions is to obtain DC-side linearization models and OLM-VWP of the PV system.
Another purpose of proposing the linearized mathematical model is to simplify the complex higher-order model of the PV system by using the reduced-order method. It is very difficult to directly study the transient characteristics of a PV system with inverters. For this reason, previous studies have aimed to mathematically model the DC/DC or the DC/AC of the PV system separately [22,23,24]. These studies have reduced the fourth-order primal systems to second-order models by using functional approximation so that the simplified systems retain the basic characteristics of the primal systems. These studies do not focus on the overall PV system reduced-order model. On this basis, Ref. [25] has divided the overall PV system into two simplified linearized models for research and analysis to address the analysis of low-frequency oscillations. The research of [26] has concluded that the reduced-order model of the DC-side microgeneration system is not applicable to the AC system. In Ref. [27], a small-signal model for inverter-based microgrids with reduced order is proposed, and the microgrid system is simplified using the singular ingestion algorithm. The linearized mathematical models as proposed in Refs. [25,26,27] are still matrix equations of higher order, which cannot be directly calculated using the classic linear control theory to analyze the PV system. These models are still time-consuming and have a large computational burden when using linear control theory in time-domain analysis. Especially for applications related to real-time scheduling control by calculating delay times and transient characteristics, the existing linearized models still lack engineering practicality. Therefore, the OLM-VWP is further developed for simplified modeling. To remedy this deficiency, this paper uses the simplified OLM-VWP based on the Routh approximation reduced-order method. On the one hand, the transient characteristics of the analyzed PV system are solved more easily using this model based on real-time values of irradiance and temperature. On the other hand, it is easy to analyze the steady-state performance of the PV system based on this model. The proposed SOLM-VWP of the PV system is crucial in developing the DTM-VWP of the PV system and developing a control strategy for real-time energy dispatch of the PV system. The SLOM can avoid computational complexity in its scheduling controller, making the hardware (especially the microprocessor) less expensive and the computation time shorter. This work plays an important role in engineering applications for the PV system.
Delays in a PV system can affect system stability. For example, in Ref. [28], the inverter delay was found to affect the harmonic characteristics of a grid-connected large PV system; in Ref. [29], the introduction of a digital time delay increased the system steady-state error; and in Ref. [30], the system time-lag limited the performance of the active damping method. Researchers in [31] investigated the delay time of three different DC/DC systems for a comparative analysis of the transient response due to lightning strikes. Researchers in [32] studied MPPT under partial shading conditions, where delay parameters affected PV system security and electrical faults, as well as output power and operating point variations [33]. To ensure voltage stability of the distribution network, the power compensation control of the PV system is based on the delay parameter. The delay-tolerant predictive power compensation control for distribution feeder voltage regulation is proposed in Ref. [34]. Moreover, Refs. [28,35] have performed small-signal modeling of the PV system and discussed the effect of delay time on dynamic and steady-state performance. The abovementioned studies generally have focused on delay time affecting the PV system and have provided many methods to compensate for the associated impact. However, few mathematical expressions for the DTM-VWP of PV systems have been reported. Therefore, it is impossible to calculate the delay time of the PV system. These problems also hinder the optimal control of these systems in real time. To solve this problem, the DTM-VWP for the PV system is proposed based on the SOLM-VWP. The relationships between irradiance, temperature, and circuit parameters have been proposed in some VWP methods [36,37,38]. These transient performances (delay time and output power) of the PV system can be calculated using these methods in advance. This method provides the prior theoretical basis for implementing a real-time, predictive control energy scheduling method and carrying out an active energy scheduling method. Obviously, using the linearized DTM-VWP to solve the scheduling control problem is very different from other existing problems that involve solving scheduling control strategies, which is one of the main contributions and innovations of the present work.
The main innovations and contributions of this work can be illustrated as follows:
(1)
A new method for modeling the overall linearization of the PV system is proposed.
(2)
A first attempt is made to study the PV system DTM-VWP by solving for S and T .
(3)
An SOLM-VWP of the PV system containing a reduced-order model is proposed.
(4)
The t d and output characteristic of the PV system can be solved directly using S and T .
(5)
Through this work, v o of the PV system can be predicted using t d of the PV system.
The paper is divided into the following sections. In Section 2.1, based on the small-signal modeling of each unit of the PV system, it is proposed that from the input c ( S , T ) or control d ( S , T ) to the DC-side output v o and OLM-VWP, respectively. In Section 2.2, the OLM-VWP of the PV system is presented so that the system can be analyzed using classic linear control theory. In Section 2.3, the proposed SOLM-VWP is based on the OLM-VWP of the PV system. The main purpose is to improve the engineering practicality of the OLM-VWP and to provide a theoretical basis for modeling the DTM-VWP of the PV system. The OLM-VWP is reduced in order using the Routh approximation method to derive its SOLM-VWP. In Section 2.4, the delay time t d and output transient performance of the system are investigated by linearizing the model using classic linear control theory, and the DTM-VWP of the system is further proposed. In Section 3, the input c ( S , T ) to output the v o small-signal linearization model and the control variable d ( S , T ) to output the v o small-signal linearization model and its simplified model are simulated and validated against actual circuits. The dynamic performance of the higher-order linearization model and that of the simplified second-order model are compared and analyzed. In addition, the proposed DTM-VWP is validated in conjunction with experiments to verify the accuracy and validity of the model. In Section 4 and Section 5, some important conclusions are separately analyzed and summarized.

2. Materials and Methods

2.1. The Small-Signal Model for the PV System

2.1.1. Circuit Model of the PV System

Before modeling the PV system circuit, some assumptions are given. (1) The PV system is always near the MPP at a steady state. (2) The sampled S and T values measured using the sensors must be accurate and obtained in real time. The VWP-MPPT control method [38] is applied for maximum power tracking, and the block diagram of the PV system composition is displayed in Figure 1. The main circuit mainly consists of the PV cell, DC/DC, DC/AC, digital controller, and grid connection or load. The digital controller is mainly used to acquire the S and T of the PV cell and the voltage and current of the inverter output, and to drive DC/DC for MPPT and DC/AC for grid-connected operation. There are three main basic topologies of DC/DC in the PV system [39]: Buck circuit, Boost circuit, and Buck–Boost circuit. Figure 2 is used as the object of study for the PV system. The study establishes the OLM-VWP of the whole system, which is theoretically based on the small-signal linearized mathematical model of the PV cell, DC/DC, DC/AC, and digital controller.

2.1.2. The dc-Side linearization Models of the PV System

The mathematical model of the PV cell is expressed using Equation (1) [37], which is simulated using MATLAB simulation software (Version 2019), and the corresponding I V curves are shown in Figure 3.
I = I L I 0 e q V + I R s A K T 1 V eq + I R s R sh
To establish the mathematical model of the PV system, it is necessary to linearize the PV cell response. The PV system can be linearized when a tangent is applied to the I V curve at the MPP [37] to simplify the equivalent model into the Thevenin equivalent circuit model. To ensure that the PV system operates under continuous current conditions, the characteristic that the cell is capacitive on the generation side is also considered. Therefore, an equivalent substitution is made by connecting a capacitor in parallel to the equivalent circuit of the cell. The equivalent circuit model can be obtained as shown in Figure 4. Equations (2) and (3) apply when the PV system is operating at the MPP; based on these, the corresponding transfer function of the equivalent cell circuit is obtained as Equation (4). The value of the parameter C ( S , T ) is related to the PV cell itself and to S and T of the weather conditions in Equation (3).
R eq = R i = V MPP I MPP
V SM = 2 V MPP = 2 C ( S , T )
G 1 ( s ) = V eq V SM = V eq 2 C ( S , T ) = 1 R eq C 1 s + 1
The nonlinear components of DC/DC include power switching devices and diodes and are thus nonlinear circuits. When DC/DC runs near a certain steady-state operating point, the small-signal perturbations can be linearized using the state-space averaging method. Then, DC/DC can be described using the transfer function. When the system at the MPP is established as equal D and D max ( S , T ) , the maximum power is P max [38,40]. D max ( S , T ) can be expressed using curve fitting as a function of S and T . The corresponding mathematical models of D max ( S , T ) for the three basic DC/DC (Buck circuit, Boost circuit, and Buck–Boost circuit) are shown in Equations (5)–(7), respectively. Thus, the relationship between the duty cycles D max ( S , T ) , S , and T is established, where D M is the abbreviated form of D max ( S , T ) .
D M = D max ( S , T ) = P max ( S , T ) R 1 C ( S , T )
D M = D max ( S , T ) = 1 C ( S , T ) P max ( S , T ) R 1
D M = D max ( S , T ) = 1 C ( S , T ) C ( S , T ) + P max ( S , T ) R 1
The DC-side linearization model of the PV system from input-to-output for the PV-Buck circuit, PV-Boost circuit, and PV-Buck–Boost circuit structures can be represented using Equations (8)–(10), respectively. These equations are derived from the small-signal model of DC/DC and Equation (4) in conjunction with Equations (5)–(7).
G 2 ( s ) = v d ( s ) c ( S , T ) ( s ) d ( S , T ) ( s ) = 0 = 2 D M L 1 C 2 s 2 + L 1 R 1 s + 1 R eq C 1 s + 1
G 3 ( s ) = v d ( s ) c ( S , T ) ( s ) d ( S , T ) ( s ) = 0 = 2 1 D M L 1 C 2 s 2 + L 1 R 1 s + 1 D M 2 R eq C 1 s + 1
G 4 ( s ) = v d ( s ) c ( S , T ) ( s ) d ( S , T ) ( s ) = 0 = 2 D M 1 D M L 1 C 2 s 2 + L 1 R 1 s + 1 D M 2 R eq C 1 s + 1
Similarly, the DC-side linearization model of the PV system from control to output for the PV-Buck circuit, PV-Boost circuit, and PV-Buck–Boost circuit structures can be represented using Equations (11)–(13), respectively. These equations are derived from the small-signal model of the DC/DC and Equation (4) in conjunction with Equations (5)–(7).
G 5 ( s ) = v d ( s ) d ( S , T ) ( s ) c ( S , T ) ( s ) = 0 = 2 C ( S , T ) L 1 C 2 s 2 + L 1 R 1 s + 1 R eq C 1 s + 1
G 6 ( s ) = v d ( s ) d ( S , T ) ( s ) c ( S , T ) ( s ) = 0 = 2 C ( S , T ) 1 L 1 ( 1 D M ) 2 R 1 s L 1 C 2 s 2 + L 1 R 1 s + ( 1 D M ) 2 R eq C 1 s + 1
G 7 ( s ) = v d ( s ) d ( S , T ) ( s ) c ( S , T ) ( s ) = 0 = 2 C ( S , T ) L 1 D M ( 1 D M ) 2 R 1 s 1 L 1 C 2 s 2 + L 1 R 1 s + ( 1 D M ) 2 R eq C 1 s + 1

2.1.3. The Linearization Model of the DC/AC

When analyzing DC/AC, the state-space averaging method used in this paper is the linear model. The switching states are not continuous during the DC/AC circuit operation. The topology diagram of the single-phase full-bridge inverter is shown in Figure 2. The transfer function G 8 is shown in Equation (14). In the DC/AC system using the SPWM control method [41], V tri is usually set as 1, and V m is equal to the proportionality factor K pwm so that the modulation ratio M in the SPWM control method is equal to K pwm . This mathematical relationship is expressed in Equation (15).
G 8 ( s ) = V o V d = K pwm L 2 C 3 s 2 + L 2 R L + r C 3 s + 1 + r R L
When the equivalent series inductor r during filtering is ignored, Equations (14) and (15) can be reduced to Equation (16).
K pwm = M = V o ( s ) V d ( s ) = V m V tri
G 9 ( s ) = V o V d = M L 2 C 3 s 2 + L 2 R L s + 1

2.1.4. Linearized Modeling for the PV System Controller’s Delay Time

In PV power control systems, different structures of digital controllers operate discretely, which increases the control system delay time [42,43]. The total delay time comprises the delay time in the sampling period of the microcontroller, the delay time in the calculation cycle of the A/D converter, and the delay time in PWM control. The mathematical expression of these delay times is shown using Equation (17). This equation can also be reduced to Equation (18), where T s refers to the sampling period.
G 10 ( s ) = e T s s 1 e T s s T s s
G 10 G 11 ( s ) = 1 T d s + 1
In the PV control system, the delay time T d of the controller is set to 1.5 times the sampling period T s . Therefore, the transfer function of the delay link can be expressed as in Equation (19).
G 12 ( s ) = e T d s

2.2. The OLM-VWP of the PV System

According to the theory of PV cell linearization in Section 2.1.2, the PV cell can be linearized only when the PV system operates at the MPP. However, the necessary condition is that R eq equals R i to make the PV system MPPT. In the actual PV system, the DC/DC is controlled using the digital signal controller. In this way, these converters perform MPPT by changing the final R i to R eq [37]. Before analyzing the OLM-VWP of the PV system, the following assumptions are made about the circuit structure of Figure 2:
(1)
All circuit components in the circuit are ideal components.
(2)
The capacity values of the inductor and capacitor of the DC/DC are set to larger values to ensure that the DC/DC operates in continuous mode.
(3)
The PV system is always controlled at the MPP.
First, according to Figure 2, Equations (20)–(23) are established based on the power balance relationship and the circuit theorem.
V eq I eq = V d I d = V o I o
R i = V eq I eq
R 1 = V d I d
R L = V o I o
In a PV cell equivalent circuit, three different DC/DCs, DC/ACs, and digital controllers constitute the PV system. These circuit parameters are shown in Table 1. The OLM-VWP of the PV system can be derived from Equations (24)–(26) and Table 1.
V o = M V eq 2
R 1 = 2 R L M 2
P M = P max ( S , T ) 2 R L M 2
D M is the duty cycle at the MPP, and P max ( S , T ) is the maximum power. The mathematical relationship between P max ( S , T ) and S , T can be expressed using Equation (27). The mathematical relationship between C S , T and S , T can be expressed using Equation (28).
P max ( S , T ) = 11.772 × 10 8 S 3 11.968 × 10 5 S 2 + 0.5986 S + 10.656 0.18 T 0 T 40 11.772 × 10 8 S 3 11.968 × 10 5 S 2 + 0.5988 S + 10.656 20 T 0
C ( S , T ) = 18.48 × 10 6 × ( S 638.25 ) 2 + 69.148 + ( 25 T ) × 2.064
Then, when the Buck circuit is used as the DC/DC of the PV system, the structure of the PV system is the PV-Buck circuit. The OLM-VWP of the PV-Buck structure from input-to-output can be represented using Equation (29), derived by combining Equations (4), (8), (16), (19), (27) and (28).
G 13 ( s ) = v o ( s ) c ( S , T ) ( s ) d ( S , T ) ( s ) = 0 = 2 D M G 12 G 9 2 C 1 R L M 2 D M 2 s + 1 L 1 C 2 s 2 + M 2 L 1 2 R L s + 1
Similarly, when the Boost circuit is used as the DC/DC of the PV system, the structure of the PV system is the PV-Boost circuit. The OLM-VWP of the PV-Boost circuit structure from input-to-output can be represented using Equation (30), derived by combining Equations (4), (9), (16), (19), (27) and (28).
G 14 ( s ) = v o ( s ) c ( S , T ) ( s ) d ( S , T ) ( s ) = 0 = 2 D M ( 1 D M ) G 12 G 9 2 R L ( 1 D M ) 2 C 1 M 2 D M 2 s + 1 L 1 C 2 s 2 + M 2 L 1 2 R L s + ( 1 D M ) 2
Similarly, when the Buck–Boost circuit is used as the DC/DC of the PV system, the structure of the PV system is the PV-Buck–Boost circuit. The OLM-VWP of the PV-Buck–Boost circuit structure from input-to-output can be represented using Equation (31), derived by combining Equations (4), (10), (16), (19), (27) and (28).
G 15 ( s ) = v o ( s ) c ( S , T ) ( s ) d ( S , T ) ( s ) = 0 = 2 D M ( 1 D M ) G 12 G 9 2 R L ( 1 D M ) 2 C 1 M 2 D M 2 s + 1 L 1 C 2 s 2 + M 2 L 1 2 R L s + ( 1 D M ) 2
Similarly, the OLM-VWP of the PV-Buck circuit structure from control-to-output can be represented using Equation (32), derived by combining Equations (4), (11), (16), (19), (27) and (28).
G 16 ( s ) = v o ( s ) d ( S , T ) ( s ) c ( S , T ) ( s ) = 0 = 2 C ( S , T ) G 12 G 9 2 C 1 R L M 2 ( D M ) 2 s + 1 L 1 C 2 s 2 + M 2 L 1 2 R L s + 1
Similarly, the OLM-VWP of the PV-Boost circuit structure from control-to-output can be represented using Equation (33), derived by combining Equations (4), (12), (16), (19), (27) and (28).
G 17 ( s ) = v o ( s ) d ( S , T ) ( s ) c ( S , T ) ( s ) = 0 = 2 C ( S , T ) 1 M 2 L 1 2 ( 1 D M ) 2 R L s G 12 G 9 2 ( 1 D M ) 2 C 1 R L M 2 s + 1 L 1 C 2 s 2 + M 2 L 1 2 R L s + 1 D M 2
Finally, the OLM-VWP of the PV-Buck–Boost circuit structure from control-to-output can be represented using Equation (34), derived by combining Equations (4), (13), (16), (19), (27) and (28).
G 18 ( s ) = v o ( s ) d ( S , T ) ( s ) c ( S , T ) ( s ) = 0 = 2 C ( S , T ) D M M 2 L 1 2 ( 1 D M ) 2 R L s 1 G 12 G 9 2 ( 1 D M ) 2 C 1 R L M 2 ( D M ) 2 s + 1 L 1 C 2 s 2 + M 2 L 1 2 R L s + ( 1 D M ) 2

2.3. The OLM-VWP of Order Reduction

The SOLM-VWP of the PV system is proposed by reducing the higher-order system of Equations (29)–(34) to the second-order system. The first reason is that the SOLM-VWP is proposed as a prerequisite to subsequently solving the DTM-VWP. The second reason is to reduce the analysis complexity of the output transient characteristics of the PV system. The third reason is to augment the practicality and effectiveness of the OLM-VWP for the PV systems in engineering practice. Note that the complex higher-order OLM-VWP can be simplified using the proposed improved Routh approximation method [43]. This method can fill the gap in many higher-order systems where the traditional dominant pole method is not applicable. There is no dominant pole in the unit negative feedback system of the OLM-VWP of the PV system. For example, the unit negative feedback of Equation (29) is shown in Figure 5. The SOLM-VWP of the PV system is proposed using the Routh approximation, which requires solving two parameter tables, namely, the alpha table ( α -table) and the beta table ( β -table). In these tables, the process of computing the parameters in the α -table is as easy as computing the parameters of the Routh–Hurwitz table [44]. However, the process of solving for the parameters in the β -table is much more complicated than that of the α -table. To avoid the complicated computer procedure associated with the α and β -tables, a mathematical model based on the Routh approximation is proposed to reduce the sixth-order transfer function of Equation (35) to the second-order Equation (43). This model retains the low- and medium-frequency characteristics when e T d s in Equation (29) is replaced by Equation (18) to better carry out the higher-order model simplified calculation. Similarly, the OLM-VWP of the PV system in Equations (29)–(34) constitutes the degraded reduction of this method, and the SOLM-VWP does not lose the important control characteristics of the original higher-order system. After successful order reduction, the typical second-order system provides more convenience for studying the DTM-VWP theory of the PV system. Equations (35)–(43) provide the reduced-order model for the OLM of the PV-Buck circuit structure. For additional structures of the oversized linear models, the reduced-order methods are calculated accordingly.
G ( s ) = v o ( s ) c ( S , T ) ( s ) d ( S , T ) ( s ) = 0 = B 0 s + B 1 A 0 s 6 + A 1 s 5 + A 2 s 4 + A 3 s 3 + A 4 s 2 + A 5 s + A 6
A 0 = 2 C 1 C 2 C 3 L 1 L 2 R L T d ( D M ) 2 M 2
A 1 = L 1 L 2 C 2 C 3 T d ( D M ) 2 M 2 + C 1 C 3 T d M 2 + 2 C 1 C 2 T d + 2 C 1 C 2 C 3 R L ( D M ) 2 M 2
A 2 = 4 C 1 C 2 L 1 R L 2 T d + 4 C 1 C 3 L 2 R L 2 T d + 2 C 1 L 1 L 2 M 4 T d + 4 C 1 C 2 L 1 L 2 R L + 2 C 1 C 3 L 1 L 2 M 2 R L + 2 C 2 ( D M ) 2 L 1 L 2 M 2 T d + C 3 ( D M ) 2 L 1 L 2 M 4 T d + 2 C 2 C 3 ( D M ) 2 L 1 L 2 M 2 R L 2 ( D M ) 2 M 2 R L
A 3 = 4 C 1 C 2 L 1 R L 2 T d + 4 C 1 C 3 L 2 R L 2 T d + 2 C 1 L 1 L 2 M 4 T d + 4 C 1 C 2 L 1 L 2 R L + 2 C 1 C 3 L 1 L 2 M 2 R L + 2 C 2 ( D M ) 2 L 1 L 2 M 2 T d + C 3 ( D M ) 2 L 1 L 2 M 4 T d + 2 C 2 C 3 ( D M ) 2 L 1 L 2 M 2 R L 2 ( D M ) 2 M 2 R L
A 4 = L 2 R L + L 1 M 2 2 R L + 2 C 1 R L ( D M ) 2 M 2 T d + C 1 L 1 ( D M ) 2 + 2 C 1 L 2 ( D M ) 2 M 2 + L 1 L 2 M 2 2 R L 2 + C 2 L 1 + C 3 L 2
A 5 = T d + L 2 R L + L 1 M 2 2 R L + 2 C 1 R L ( D M ) 2 M 2
A 6 = 1 B 0 = 0 B 1 = 2 ( D M ) M
G s = B 0 F s + B 1 F s 2 + A 5 F s + A 6 F A 5 F = A 4 A 6 × A 3 A 5

2.4. The DTM-VWP of the PV System

The OLM-VWP and SOLM-VWP of the PV system are proposed in the preceding section. These results provide the theoretical basis for solving the DTM-VWP of the PV system. The DTM-VWP is used to analyze the relationship between the output and the delay time of the system, as well as its transient characteristics. The algorithm that solves the DTM-VWP of the PV system is shown below. First, the small-disturbance signal inputs for the OLM-VWP are c ( S , T ) or d ( S , T ) . The OLM-VWP of the PV-Buck circuit, PV-Boost circuit, and PV-Buck–Boost circuit structures are represented using Equations (29)–(34), respectively. Based on this, the SOLM-VWP is derived by reducing the order of the OLM-VWP. Then, based on the SOLM-VWP, the functional relationship between the output of the PV system and the delay time can be derived from the theoretical method of classic control theory. Finally, the classic linear control theory is used to solve for the delay time of the system with overdamping. The delay time of the PV system is equal to the time that it takes for the system to reach half of its steady-state value for the first time, and its functional relationship is expressed using Equation (44). To derive the time required for v t , the SOLM-VWP is fitted to the curve function, which solves for the delay time t d corresponding to the output of the PV system. The values of c ( S , T ) and d ( S , T ) of the SOLM-VWP can be measured, and the circuit parameters and circuit structure are known. The delay time can be calculated directly from Equations (45)–(50).
v t = v o 2
Equation (45) can be derived from the SOLM-VWP model of Equation (43) and Equation (44). It is the DTM-VWP of the PV-Buck circuit in the condition of input perturbation.
t ( v t ) = a 1 v t 2 + a 2 v t + a 3 v t 3 + b 1 v t 2 + b 2 v t + b 3
Equation (46) can be derived from the SOLM-VWP model of Equation (43) and Equation (44). It is the DTM-VWP of the PV-Boost circuit in the condition of input perturbation.
t ( v t ) = a 1 v t 2 + a 2 v t + a 3 v t 3 + b 1 v t 2 + b 2 v t + b 3
Equation (47) can be derived from the SOLM-VWP model of Equation (43) and Equation (44). It is the DTM-VWP of the PV-Buck–Boost circuit in the condition of input perturbation.
t ( v t ) = a 1 v t 3 + a 2 v t 2 + a 3 v t + a 4 v t 5 + b 1 v t 4 + b 2 v t 3 + b 3 v t 2 + b 4 v t + b 5  
Equation (48) can be derived from the SOLM-VWP model of Equation (43) and Equation (44). It is the DTM-VWP of the PV-Buck circuit in the condition of control perturbation.
t ( v t ) = a 1 v t 3 + a 2 v t 2 + a 3 v t + a 4 b 1 v t 4 + b 2 v t 3 + b 3 v t 2 + b 4 v t + b 5
Equation (49) can be derived from the SOLM-VWP model of Equation (43) and Equation (44). It is the DTM-VWP of the PV-Boost circuit in the condition of control perturbation.
t ( v t ) =   a 1 v t 4 + a 2 v t 3 + a 3 v t 2 + a 4 v t + a 5 v t 5 + b 1 v t 4 + b 2 v t 3 + b 3 v t 2 + b 4 v t + b 5  
Equation (50) can be derived from the SOLM-VWP model of Equation (43) and Equation (44). It is the DTM-VWP of the PV-Buck–Boost circuit in the condition of control perturbation.
t ( v t ) = a 1 v t 4 + a 2 v t 3 + a 3 v t 2 + a 4 v t + a 5 v t 5 + b 1 v t 4 + b 2 v t 3 + b 3 v t 2 + b 4 v t + b 5
Equations (45) and (46) are the DTM-VWP for PV-Buck and PV-Boost under the input perturbation condition, respectively. From the expressions, it can be seen that the functional expressions of Equations (45) and (46) are similar. Similarly, the expressions of Equations (49) and (50) are similar. Although the function expressions are similar, the parameters in their expressions are not the same. This result can also be seen in Section 3.1.4 regarding DTM-VWP.

3. Results

3.1. Simulation Experiments

3.1.1. The OLM-VWP Verification on the DC Side of the PV System

The linearized model for the DC side of the PV system at the MPP is given by Equations (8)–(13). These results provide the theoretical basis for proposing the OLM of the PV system with inverters under the MPP conditions. For this purpose, six sets of simulation experiments are carried out using MATLAB software. The proposed DC-side linearization model is verified by experiments. In these experiments, the PV system is assumed to operate at maximum power at constant irradiance and temperature for the following conditions. For the simulation experiments, the parameters of the PV cell and the circuit are given in Table 2 and Table 3, respectively. The DC/DC of the PV system is selected as the Buck circuit, Boost circuit, and Buck–Boost circuit structures for simulation verification.
To verify whether the OLM-VWP is of greater engineering utility, the experimental data are simulated by choosing data from the actual PV power stations, and these data characteristics are given in Figure 6. The simulation experiment was conducted by selecting three sets of representative data from the one-day operation of the PV system. The experimental results are given in Table 4 and Table 5. The experimental results are shown in Figure 7, Figure 8, Figure 9, Figure 10, Figure 11 and Figure 12.
According to Figure 7, Figure 8, Figure 9, Figure 10, Figure 11 and Figure 12, in the simulation experiments, the PV system at S and T   ( 400   W / m 2 ,   10   ° C ) is operating at the steady state. S and T   ( 1000   W / m 2 ,   25   ° C ) represent the perturbed signal inputs. These experiments verify that the DC-side linearization model is feasible and usable. On the one hand, an intuitive analysis of Figure 7, Figure 8 and Figure 9 indicates that the response characteristics of the DC-side linearization models and the simulated circuit are approximately the same when the VWP is used as an input perturbation. Alternately, Figure 10, Figure 11 and Figure 12 indicate that the response characteristics of the DC-side linearization model and the simulated circuit are approximately the same when the control variable is used as an input perturbation.
In addition, the linearized model dynamic performance index values in Figure 7, Figure 8, Figure 9, Figure 10, Figure 11 and Figure 12 are approximately equal to the dynamic performance index values computed in Table 4 and Table 5. The above findings further verify that the linearized model of the DC side has good practicality and feasibility.

3.1.2. SOLM-VWP Verification of the PV System

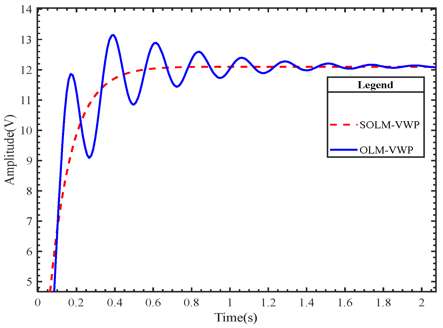
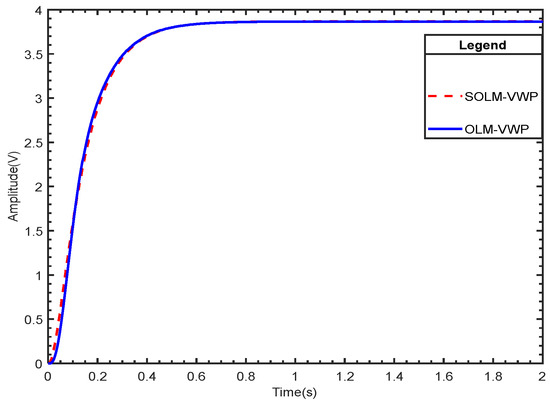
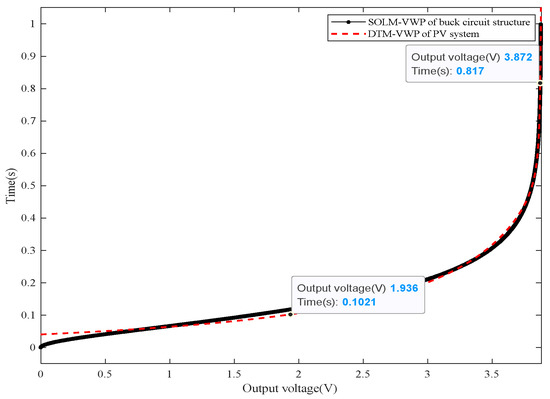
The OLM-VWP of the PV system with the VWP is given by Equations (29)–(34). To completely eliminate the complexity of modeling a PV system and to improve the utility and convenience of the associated linearized models, based on the Routh approximation SOLM-VWP is proposed. Equations (35)–(42) to the second-order model Equation (43) by reducing the order of the sixth-order transfer function model, which can still retain low- and medium-frequency characteristics.
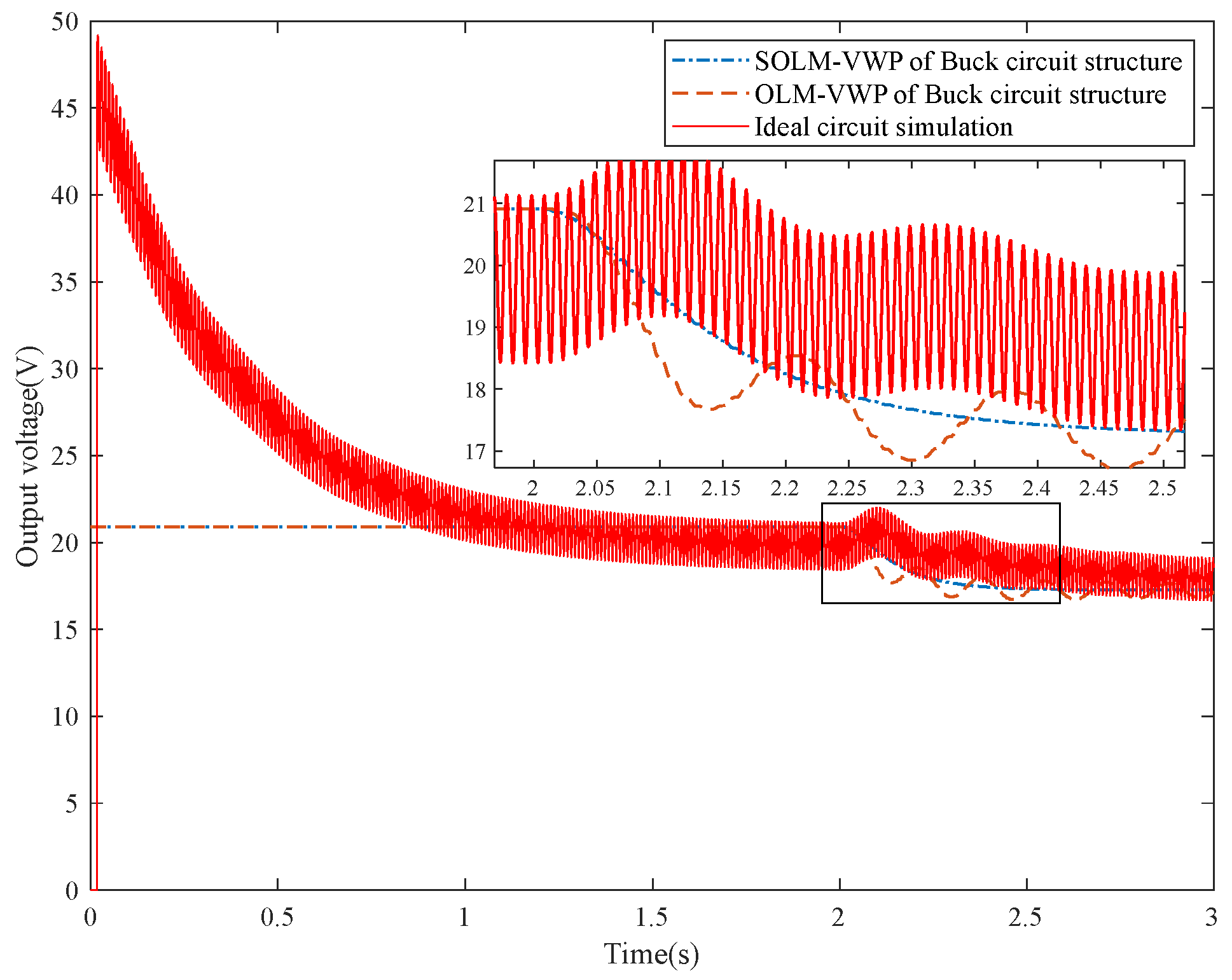
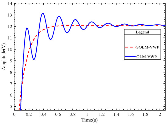
Then, simulation comparison experiments between the higher-order model and the reduced-order (second-order) model are conducted using MATLAB software to verify the model’s accuracy. In these experiments, Equations (35)–(43) are verified under the condition that the PV system is subjected to small perturbation signals of irradiance and temperature as step signals. The results of these experiments are shown in Figure 13, Figure 14, Figure 15, Figure 16, Figure 17 and Figure 18. These dynamic characteristics of the linearized model can be analyzed via the figures. In the case where the weather variables and control variables are the inputs, these analyzed linearized models include the PV system with the PV-Buck circuit, PV-Boost circuit, and PV-Buck–Boost circuit structures. Figure 13 and Figure 16 show that the dynamic performance of the higher-order system and the second-order system with the PV-Buck circuit structure is basically the same. This result indicates that the second-order model established using Equation (43) can successfully analyze the dynamic performance of the higher-order system. Figure 14, Figure 15, Figure 17 and Figure 18 show that the dynamic performance of the PV-Boost circuit and PV-Buck–Boost circuit high-order systems and second-order systems are basically the same. Although some errors remain, they are within the allowed range of the system, indicating that the dynamic performance of the high-order system can also be effectively analyzed using the reduced-order model.

3.1.3. Linearized Modeling of the PV System for Verification

To verify the OLM-VWP of the PV system and its simplified model proposed in Section 2.3, the following simulation experiments are conducted to analyze the feasibility and usability of the model. The experiments are carried out by building the PV system circuit model in MATLAB/Simulink, as well as the linearized mathematical model of the system, to simulate the dynamic response characteristics. The simulation experiments are carried out in two aspects. On the one hand, the simulation is intended to verify the OLM-VWP of the PV system from the small input perturbation to the output. On the other hand, the dynamic response characteristics of the model are verified by simulating the OLM-VWP of the PV system from a small control disturbance to the output. In this case, the SOLM-VWP is represented by a second-order model in the simulation experiment. The simulation experiment is based on the circuit structure of the PV system in Figure 2, in which the DC/DC is chosen as a Buck circuit, Boost circuit, or Buck–Boost circuit structure, and the DC/AC is chosen as a full-bridge inverter circuit. These constitute the PV-Buck circuit, PV-Boost circuit, and PV-Buck–Boost circuit structures of the PV system.
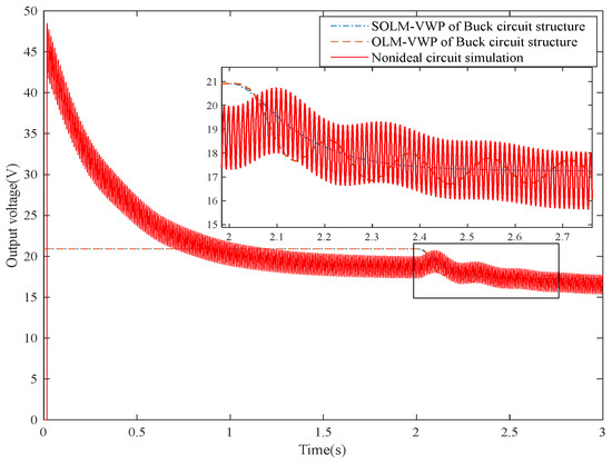
To better analyze the dynamic characteristics of the OLM-VWP, the simulated circuit is verified under the situation in which the S and T steady-state values are 400   W / m 2 , 10   ° C and the perturbation is 1000   W / m 2 , 25   ° C . The OLM-VWP of the PV system is verified using a simulation with ideal and nonideal circuit components. In the nonideal case, the parameters of the simulated circuit are as given in Table 3. For the experimental conditions in Section 3.1.1, three classic data sets are chosen to characterize the operation of the system over one day. In addition, the small perturbations are experimentally verified for three cases: varying S with constant T , constant S with varying T , and varying S with varying T .
(1)
Validation of the OLM-VWP from input-to-output
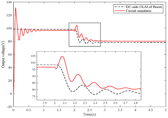
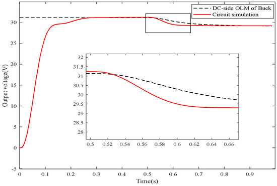
Figure 19 and Figure 20 show the case of a perturbation signal that has been fed to the simulation at 0.5 s; the simulated circuit and the linearized mathematical model in both figures stabilize after 0.98 s. Moreover, the experimental results of the circuit simulation and the OLM-VWP for the small signal are approximately equal in the ideal and nonideal cases. Figure 19 indicates that the linearized model of the PV system can be stable at the steady-state point of 1.02 s.
The circuit simulation already reaches the steady-state point at only 0.87 s, and the error in reaching the steady-state point is approximately 2%. Simulation experiments are performed to analyze the accuracy of OLM-VWP and SOLM-VWP, and the results are shown in Table 6, where c ( S , T ) , D max ( S , T ) , t d , t p , t r , and t s can be calculated using Equations (28) and (29) and Table 1 to evaluate the dynamic performance index of the PV-Buck circuit structure.
The dynamic characteristic indexes calculated in Table 6 are exactly consistent with the simulation results in Figure 19, but the rise and delay times still have an error of approximately 2%. These results reveal the feasibility, usability, and rationality of the OLM-VWP and SOLM-VWP for different c S , T conditions.
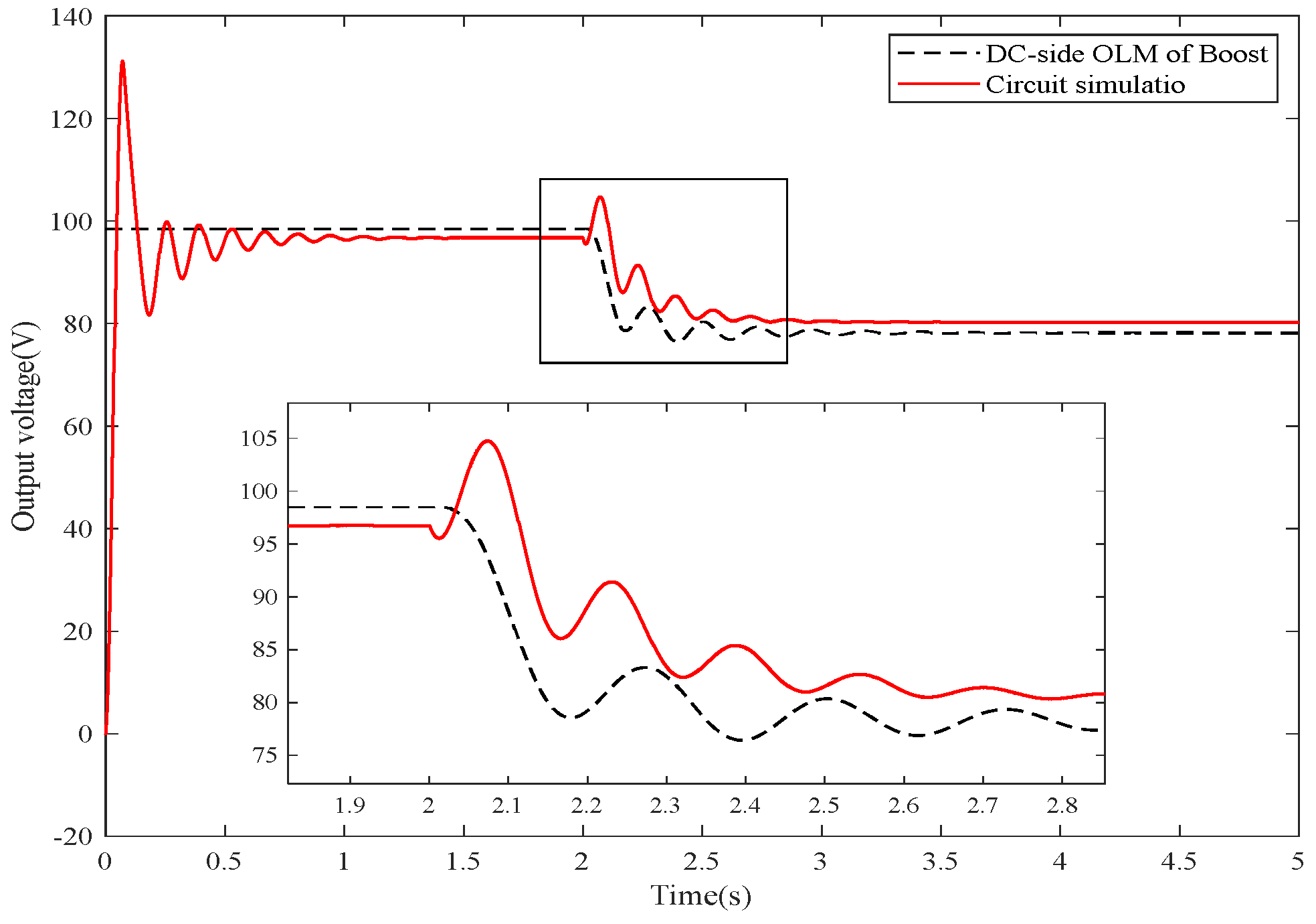
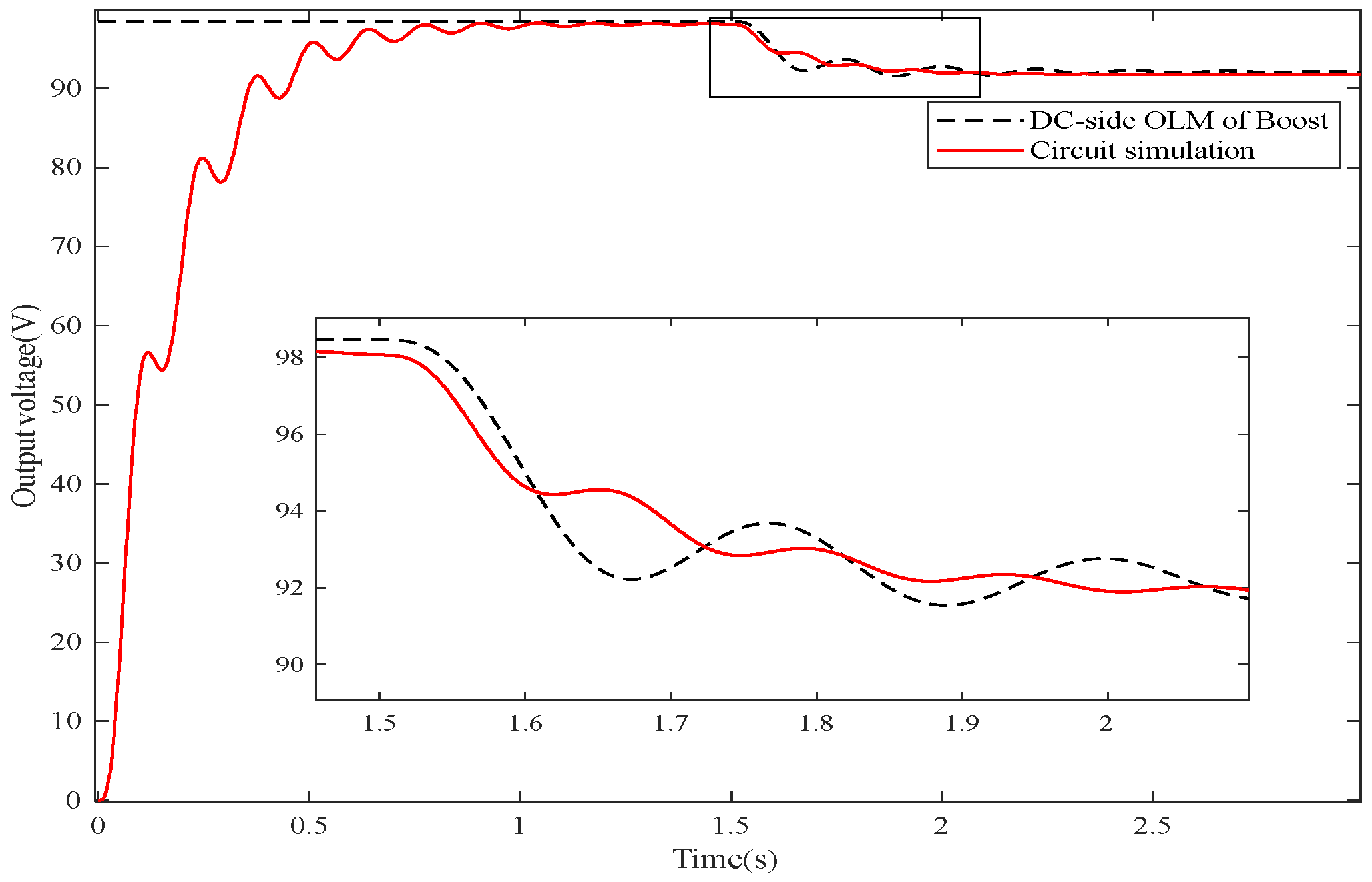
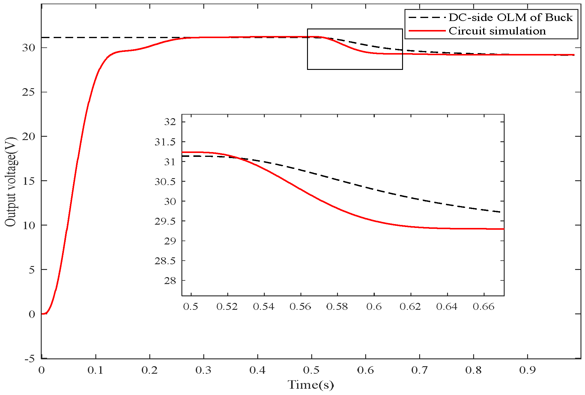
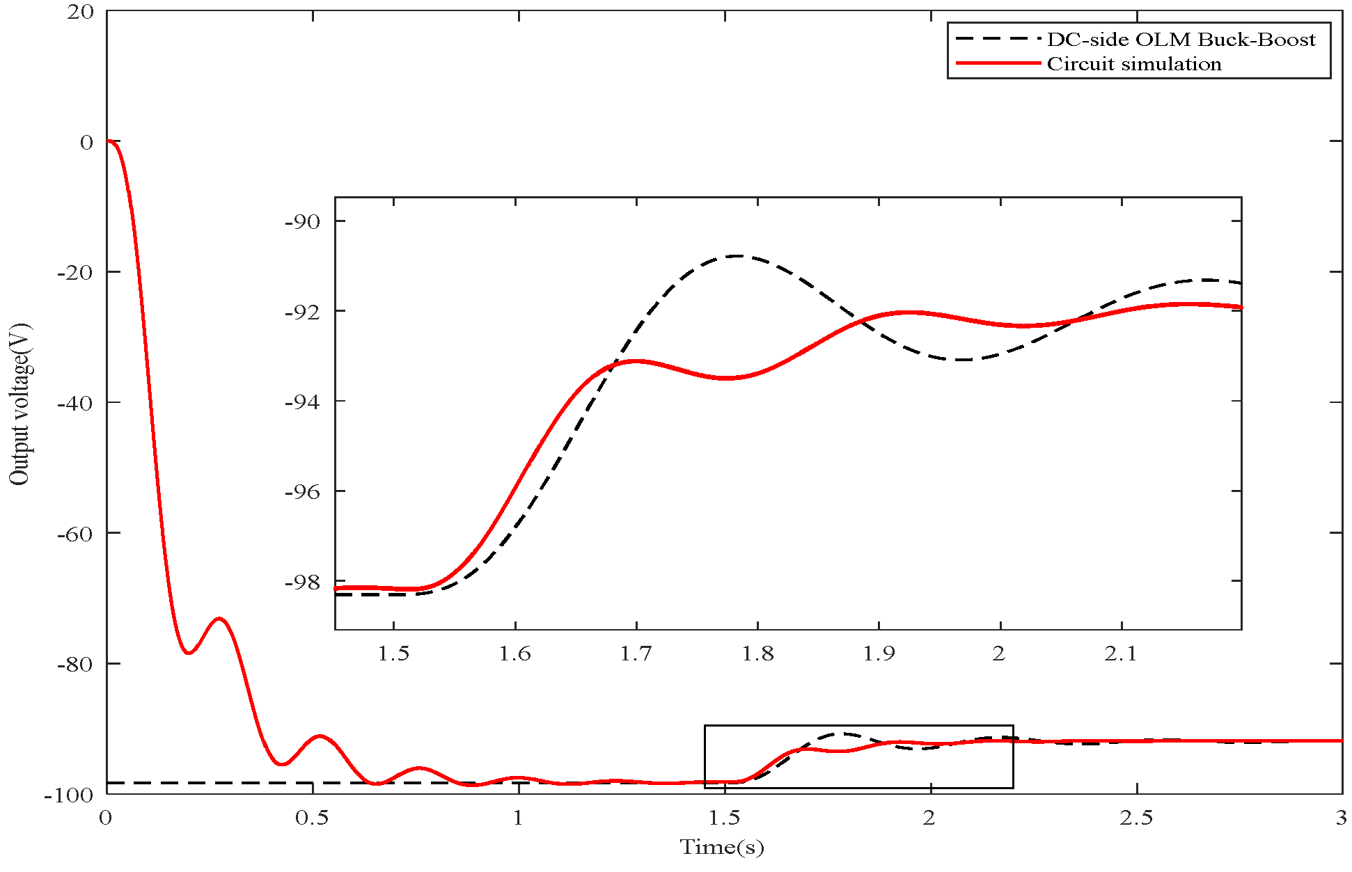
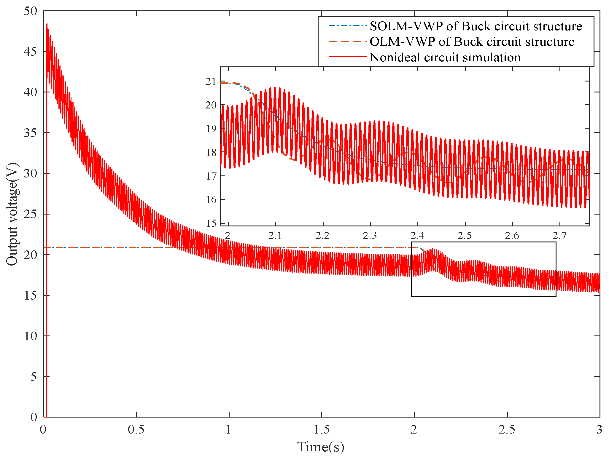
Figure 21 and Figure 22 show a case in which a perturbation signal has been fed to the simulation experiment at 1 s; the simulated circuit and the linearized mathematical model in both figures stabilize after 2.14 s. Moreover, the experimental results of the circuit simulation and the OLM-VWP for the small signal are approximately equal in the ideal and nonideal cases. Figure 21 indicates that the linearized model of the PV system can be stable at the steady-state point of 2.07 s.
The circuit simulation already reaches the steady-state point at only 1.81 s, and the error in reaching the steady-state point is approximately 4%. Simulation experiments are performed to analyze the accuracy of OLM-VWP and SOLM-VWP, and the results are shown in Table 7, where c ( S , T ) , D max ( S , T ) , t d , t p , t r , and t s can be calculated using Equations (28) and (30) and Table 1 to evaluate the dynamic performance index of the PV-Boost circuit structure. The dynamic characteristic indexes calculated in Table 7 are exactly consistent with the simulation results in Figure 21, but the rise time and delay time still have an error of approximately 1%. These results reveal the feasibility, usability, and rationality of the OLM-VWP and SOLM-VWP for different c ( S , T ) conditions.
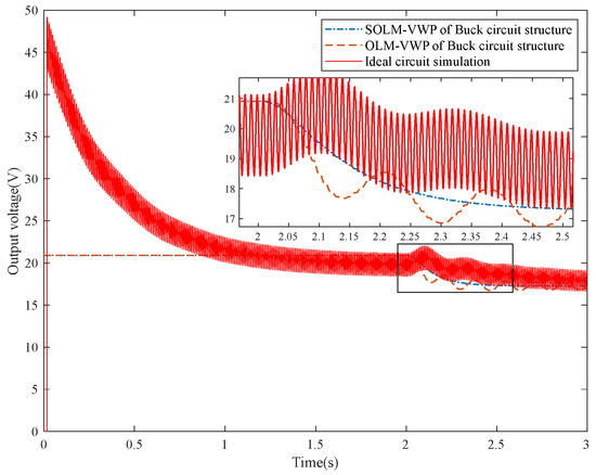
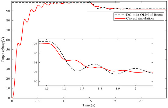
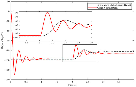
Figure 23 and Figure 24 show the case in which a perturbation signal has been fed to the simulation experiment at 1.5 s; the simulated circuit and the linearized mathematical model in both figures stabilize after 3.12 s. Moreover, the experimental results of the circuit simulation and the OLM-VWP for the small signal are approximately equal in the ideal and nonideal cases. Figure 23 indicates that the linearized model of the PV system can be stable at the steady-state point of 3.03 s. The circuit simulation already reaches the steady-state point at only 2.48 s, and the error in reaching the steady-state point is approximately 2%.
Simulation experiments are performed to analyze the accuracy of OLM-VWP and SOLM-VWP, and the results are shown in Table 8 where c ( S , T ) , D max ( S , T ) , t d , t p , t r , and t s can be calculated using Equations (28) and (31) and Table 1 to evaluate the dynamic performance index of the PV-Buck–Boost circuit structure. The dynamic characteristic indexes calculated in Table 8 are exactly consistent with the simulation results in Figure 23, but the rise time and delay time still have an error of approximately 3%. These results reveal the feasibility, usability, and rationality of the OLM-VWP and SOLM-VWP for different c S , T conditions.
(2)
Validation of the OLM-VWP from Control-to-Output
As above, Figure 25 and Figure 26 show that a perturbation signal is fed to the simulation experiment at 2 s, and the simulated circuit and the linearized mathematical model in both figures stabilize after 2.53 s. Moreover, the experimental results of the circuit simulation and the OLM-VWP for the small signal are approximately equal in ideal and nonideal cases. Additionally, from the analysis in Figure 25, it can be concluded that the linearized model of the PV system can be stable at the steady-state point of 2.53 s. The circuit simulation already reaches the steady-state point at only 2.47 s, and the error in reaching the steady-state point is approximately 4%.
On the other hand, some simulation experiments were performed to analyze the accuracy of OLM-VWP and SOLM-VWP, and the results are shown in Table 9 where C ( S , T ) , d ( S , T ) , t d , t p , t r , and t s can be calculated using Equations (28) and (32) and Table 1 to evaluate the dynamic performance index of the PV-Buck circuit structure. Among them, the dynamic characteristic indexes calculated in Table 9 are exactly consistent with the simulation results in Figure 25, but the rise time and delay time still have an error of approximately 5%. Clearly, these results reveal the feasibility, usability, and rationality of the OLM-VWP and SOLM-VWP for different d ( S , T ) conditions.
As above, Figure 27 and Figure 28 show that a perturbation signal is fed to the simulation experiment at 1 s, and the simulated circuit and the linearized mathematical model in both figures stabilize after 2.1 s. Moreover, the experimental results of the circuit simulation and the OLM-VWP for the small signal are approximately equal in the ideal and nonideal cases. Additionally, from the analysis in Figure 27, it can be concluded that the linearized model of the PV system can be stable at the steady-state point of 2.08 s. However, the circuit simulation already reaches the steady-state point at only 1.88 s, and the error in reaching the steady-state point is approximately 3%.
On the other hand, some simulation experiments were performed to analyze the accuracy of OLM-VWP and SOLM-VWP, and the results are shown in Table 10 where C ( S , T ) , d ( S , T ) , t d , t p , t r , and t s can be calculated using Equations (28) and (33) and Table 1 to evaluate the dynamic performance index of the PV-Boost circuit structure. Among them, the dynamic characteristic indexes calculated in Table 10 are exactly consistent with the simulation results in Figure 27, but the rise time and delay time still have an error of approximately 2%. Clearly, these results reveal the feasibility, usability, and rationality of the OLM-VWP and SOLM-VWP for different d ( S , T ) conditions.
Figure 29 and Figure 30 show the case of a perturbation signal fed to the simulation experiment at 1.5 s; the simulated circuit and the linearized mathematical model in both figures stabilize after 2.86 s. Moreover, the experimental results of the circuit simulation and the OLM-VWP for the small signal are approximately equal in the ideal and nonideal cases. Figure 29 indicates that the linearized model of the PV system can be stable at the steady-state point of 2.81 s. The circuit simulation already reaches the steady-state point at only 2.67 s, and the error in reaching the steady-state point is approximately 2%. Simulation experiments are performed to analyze the accuracy of OLM-VWP and SOLM-VWP, and the results are shown in Table 11 where C ( S , T ) , d ( S , T ) , t d , t p , t r , and t s can be calculated using Equations (28) and (34) and Table 1 to evaluate the dynamic performance index of the PV-Buck–Boost circuit structure. The dynamic characteristic indexes calculated in Table 11 are exactly consistent with the simulation results in Figure 29, but the rise time and delay time still have an error of approximately 2%. These results reveal the feasibility, usability, and rationality of the OLM-VWP and SOLM-VWP for different d ( S , T ) conditions.

3.1.4. Theoretical Verification of Small-Signal Delay in the PV System

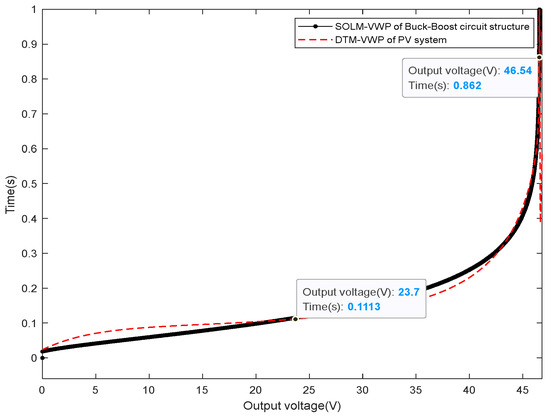
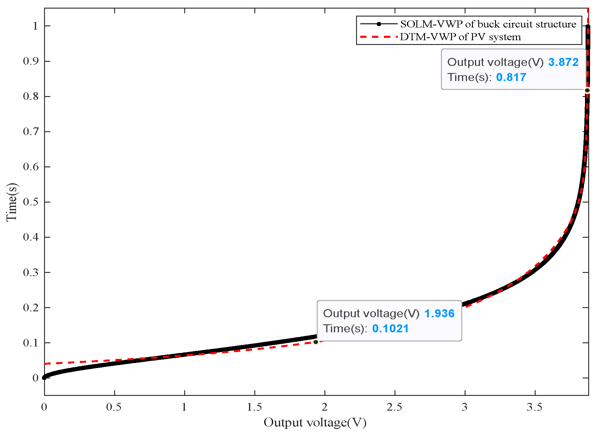
The proposed DTM-VWP for the PV system is validated by using the validation method in Figure 31. MATLAB simulation software is used to analyze and compare the time delay of SOLM-VWP and DTM-VWP. In Figure 32, Figure 33, Figure 34, Figure 35, Figure 36 and Figure 37, the solid line shows the simulation data of the OLM-VWP, and the dashed line represents the DTM-VWP derived from the curve fitting. Three circuits, the Buck circuit, Boost circuit, and Buck–Boost circuit, are simulated under the conditions of small-disturbance signals with inputs c ( S , T ) and d ( S , T ) .
t ( v t ) = 134.6 v t 2 31.12 v t + 2161 v t 3 + 3006 v t 2 2.554 × 10 4 v t + 5.38 × 10 4
t ( v t ) = 0.7795   v t 2 + 9.597 v t 1.558 v t 3 24.28 v t 2 +   129.7   v t + 214.4
t ( v t ) = 3.707 v t 3 95.08   v t 2 + 607.9 v t 2.958 v t 5 45.41 v t 4 + 795.8 v t 3 6409 v t 2 + 2.004 × 10 4   v t 95.25
Similarly, the DTM-VWP of the PV-Buck circuit, PV-Boost circuit, and PV-Buck–Boost circuit structure systems can be represented by Equations (54)–(56) under the condition of a small perturbation signal of the input d ( S , T ) to the output v o , as shown in Figure 35, Figure 36 and Figure 37.
t ( v t ) = 3.399 v t 3 179.8 v t 2 + 2311   v t 932.8 v t 4 23.09 v t 3 208.7 v t 2 + 1689 v t + 7.562 × 10 4  
t ( v t ) = 0.33 v t 4 52.04 v t 3 + 2452 v t 2 + 1624 v t + 128.8 v t 5 71.87 v t 4 + 1094 v t 3 + 2207 v t 2 + 1.952 × 10 5 v t + 1.091 × 10 5  
t ( v t ) = 0.6571 v t 4 68.01 v t 3 + 4395 v t 2 + 9326 v t + 4179 v t 5 84.09 v t 4 + 1240 v t 3 + 1.737 × 10 4 v t 2 + 2.873 × 10 5 v t + 1.792 × 10 5  
The above equations show that the delay time of the system can be calculated using Equations (51)–(56) for small disturbances of the PV system. In addition, the simulation results of DTM-VWP and SOLM-VWP have small errors, and the error analysis of the DTM-VWP results is shown in Table 12. This result is acceptable for engineering applications. Therefore, it can be concluded that DTM-VWP is very accurate under different c ( S , T ) and d ( S , T ) conditions.

3.2. Experimental Validation

To validate the linearized modeling method and DTM-VWP, the PV system shown in Figure 2 is simulated in Simulink software and prototyped for physical verification in the laboratory. The experimental platform for the PV-Buck and the PV-Boost systems is illustrated in Figure 38. The circuit parameters used for the experiments are given in Table 12, where the DC/DC is selected as the bidirectional DC/DC circuit for the experiments, the DC/AC is used as the full-bridge inverter, the STM32 is selected as the digital controller, and the load is a purely resistive load. These components can be used to verify both PV-Buck circuit structure and PV-Boost structure systems.
Figure 39 and Figure 40 show the experimental plots of the DC-side linearization model of the PV-Buck system. Figure 39 is the experimental waveform with sudden irradiance change and constant temperature (400,25 to 1000,25). Figure 40 shows the experimental waveform for both irradiance and temperature changes (600,10 to 1000,45). Figure 41 and Figure 42 show the experimental plots of the DC-side linearization model of the PV-Boost system. Figure 41 is the experimental waveform with sudden irradiance change and constant temperature (1000,25 to 400,25). Figure 42 shows the experimental waveform for both irradiance and temperature changes (800,20 to 1000,40). It can be seen from these figures that when the PV system reaches steady state and is suddenly disturbed by the input, it can be seen that the output voltage on the DC side will change, and there will be a certain delay time before reaching the next steady state. From Figure 39, it can be seen that the system DC-side output voltage reaches steady state at 0.43 V at 400,25, and when disturbed by 1000,25 the system DC-side output voltage changes by 0.26 V, generating a delay time of 12.82 ms before reaching the next steady state. Similarly, the analysis results of Figure 40, Figure 41 and Figure 42 are similar to those of Figure 39, and the details are shown in Table 13, which indicates that the results are basically consistent with the previous theoretical simulation results. The validity of the DC-side linearization model of the PV system is further verified.
To validate the effectiveness of VWP-OLM for PV systems, the following physical experiments are conducted. Two common circuit structures (PV-Buck and PV-Boost) are selected for the experiments, respectively. The PV-Buck system is evaluated with an equivalent voltage of 51.2 V of the steady-state PV cell input. Figure 43 shows that the PV-Buck system operates at the MPP with a duty cycle D M of 0.423. For input perturbation of the PV cell at a voltage of 34.7 V, the dynamic characteristics are shown in Figure 44. In addition, the dynamic response of the settling time and output voltage of its PV system can be analyzed from the figure.
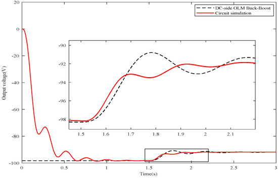
The PV-Boost system experiment is conducted with a PV cell equivalent input steady-state voltage of 13.13 V. From the analysis in Figure 45, the PV system operates at the MPP when the duty cycle D M is 0.256. When the input disturbance voltage is 18.32 V, the dynamic characteristics are as shown in Figure 46, which also shows the dynamic response of the settling time and the output voltage of the system. In summary, the results of this experiment are consistent with the simulation results in Section 3.1.3. However, there are still some errors in the results, as can be seen in the experimental results shown in Table 14 and Table 15, which may be caused by the internal resistance of the diodes and switching tubes.

4. Discussion

There are some errors in obtaining the equations using the curve fitting method. Equations (27), (28) and (51)–(56) provide the DTM-VWP. Therefore, one of the limitations of OLM-VWP and DTM-VWP is the presence of these errors, which are discussed as follows. First, Figure 19, Figure 20, Figure 21, Figure 22, Figure 23, Figure 24, Figure 25, Figure 26, Figure 27, Figure 28, Figure 29 and Figure 30 indicate that the DTM-VWP and the simulated circuit always remain approximately the same in both the ideal case and the nonideal case regardless of S or T variations. Then, for the DTM-VWP, some errors exist. The analysis can be derived from Figure 32, Figure 33, Figure 34, Figure 35, Figure 36 and Figure 37. As long as the circuit parameters are determined and the perturbations c ( S , T ) and d ( S , T ) are measurable, the system delay time can be calculated. The delay time error between the DTM-VWP and the SOLM-VWP is very small regardless of the perturbation variation. In practical applications, these errors can be ignored, making use of these OLMs suitably convenient. Finally, it is well known that almost all theoretical studies of simplified mathematical models inevitably lead to some errors. Therefore, these small errors in the theoretical analysis are acceptable.
In addition, all the SOLM-VWPs proposed are investigated on the basis of the OLM-VWP of the PV system with order reduction using the Routh approximation method. Therefore, the accuracy, reasonableness, and applicability of the delay time are constrained by the approximation method, which is another limitation of these models.
Although the OLM-VWP and SOLM-VWP have some drawbacks (or limitations), the combination of the MATLAB simulation analysis, the VWP methods, and the curve fitting techniques can still ensure the superiority and validity of these models. Methods to overcome these problems include error calibration and averaging methods.

5. Conclusions

The SOLM-VWP is given using the proposed small-signal linearized mathematical model. Based on this, the SOLM-VWP and the DTM-VWP of the system are proposed. Using the SOLM-VWP for analysis has the advantages of not only reducing the hardware cost, the computational burden, and the analysis complexity, but also of obtaining good transient and steady-state performance of the PV system. Finally, through simulation experiments, the accuracy and rationality of the proposed OLM-VWP of the PV system is illustrated. The feasibility and usability of the proposed OLM-VWP are verified regardless of irradiance and temperature variations, and the OLM-VWP is successfully implemented to calculate the transient performance indexes of the system. Moreover, the transient characteristics of the linearized model and the actual simulated circuit are basically equal when the simulation analysis is performed under ideal or nonideal conditions.
Planned future work on this topic focuses on the proposed DTM-VWP of the PV system for energy scheduling control methods, especially for real-time energy optimal scheduling methods. To achieve this, some existing improved power forecasts can be combined with the proposed DTM-VWP. Moreover, the real-time energy optimal scheduling method should be studied to eliminate the output power overshoot of the input grid.

Author Contributions

Conceptualization, S.L.; methodology, S.L. and X.Z.; software, X.Z.; validation, S.L., X.Z. and J.F.; formal analysis, X.Z.; investigation, S.L. and X.Z.; resources, X.Z.; data curation, X.Z.; writing—original draft preparation, X.Z.; writing—review and editing, S.L. and X.Z.; visualization, X.Z.; supervision, S.L.; project administration, S.L.; funding acquisition, S.L. All authors have read and agreed to the published version of the manuscript.

Funding

This work was supported by National Natural Science Foundation of China (No. 61963014).

Data Availability Statement

All relevant data are within the paper.

Acknowledgments

The authors would like to sincerely thank the editors and anonymous reviewers for their valuable comments and suggestions to improve the quality of the article.

Conflicts of Interest

The author declares no conflict of interest.

Abbreviations

PVphotovoltaic
MPPmaximum power point
MPPTmaximum power point tracking
PWMpulse width modulation
VWPvariable weather parameters
ACalternating current
DCdirect current
DC/ACDC/AC inverter
OLM-VWPoverall linearized model with variable weather parameters
SOLM-VWPsimplified overall linearized model with variable weather parameters
DC/DCDC/DC converter circuit
PLLphase-locked loop
DTM-VWPdelay-time model with variable weather parameters

Nomenclature

P max ( S , T ) power of the MPP W
C 1 shunt capacitor of the PV celluF
C 2 filter capacitance of the DC/DCuF
C 3 filter capacitance of the DC/ACuF
L 1 power inductance of the DC/DCuH
L 2 filter inductance of the DC/ACmH
R eq equivalent series resistance of the PV cellΩ
R i equivalent input resistance of the DC/DC Ω
R 1 equivalent resistance at the output end of the DC/DCΩ
R L equivalent resistance at the output end of the DC/ACΩ
C ( S , T ) weather parameters input
D max ( S , T ) duty ratio of the MPP
r internal resistance of filter capacitance of the DC/ACΩ
D modulation duty cycle of the DC/DC
S irradiance W / m 2
T temperature ° C
V m reference sine wave signal of the modulatorV
V SM equivalent input voltage of the photovoltaic cellV
V eq equivalent output voltage of the photovoltaic cellV
I eq equivalent output current of the photovoltaic cellA
V d DC/DC equivalent output voltageV
I d DC/DC equivalent output currentA
V o DC/AC equivalent output voltageV
I o DC/AC equivalent output currentV
t d delay times
t r rise times
t s settling times
t p peak times
d small-disturbance input duty cycle of the controller of DC/DC
v d output voltage of the small-signal input PV systemV
c ( S , T ) small-disturbance input of the DC/DC
d ( S , T ) control input perturbation
V tri the peak value of the triangular carrier waveV
K pwm proportionality factor of the inverter control
M modulating ratio

References

  1. Hernández, J.C.; Bueno, P.G.; Sanchez-Sutil, F. Enhanced Utility-scale Photovoltaic Units with Frequency Support Functions and Dynamic Grid Support for Transmission Systems. IET Renew. Power Gener. 2017, 11, 361–372. [Google Scholar] [CrossRef]
  2. Bueno, P.G.; Hernández, J.C.; Ruiz-Rodriguez, F.J. Stability Assessment for Transmission Systems with Large Utility-scale Photovoltaic Units. IET Renew. Power Gener. 2016, 10, 584–597. [Google Scholar] [CrossRef]
  3. Li, H.; Shang, J.; Zhang, B.; Zhao, X.; Tan, N.; Liu, C. Stability Analysis With Considering the Transition Interval for PWM DC-DC Converters Based on Describing Function Method. IEEE Access 2018, 6, 48113–48124. [Google Scholar] [CrossRef]
  4. Li, J.; Lee, F.C. Modeling of V2 Current-Mode Control. IEEE Trans. Circuits Syst. I Regul. Pap. 2010, 57, 2552–2563. [Google Scholar] [CrossRef]
  5. Zhao, C.; Round, S.D.; Kolar, J.W. Full-Order Averaging Modelling of Zero-Voltage-Switching Phase-Shift Bidirectional DC–DC Converters. IET Power Electron. 2010, 3, 400–410. [Google Scholar] [CrossRef]
  6. Surya, S.; Williamson, S. Generalized Circuit Averaging Technique for Two-Switch PWM DC-DC Converters in CCM. Electronics 2021, 10, 392. [Google Scholar] [CrossRef]
  7. Azer, P.; Emadi, A. Generalized State Space Average Model for Multi-Phase Interleaved Buck, Boost and Buck-Boost DC-DC Converters: Transient, Steady-State and Switching Dynamics. IEEE Access 2020, 8, 77735–77745. [Google Scholar] [CrossRef]
  8. Middlebrook, R.D.; Ćuk, S. A General Unified Approach to Modelling Switching-Converter Power Stages. Int. J. Electron. 1977, 42, 521–550. [Google Scholar] [CrossRef]
  9. Wang, X.; Zhuo, F.; Li, J.; Wang, L.; Ni, S. Modeling and Control of Dual-Stage High-Power Multifunctional PV System in d-Q-o Coordinate. IEEE Trans. Ind. Electron. 2013, 60, 1556–1570. [Google Scholar] [CrossRef]
  10. Wang, Q.; Yao, W.; Fang, J.; Ai, X.; Wen, J.; Yang, X.; Xie, H.; Huang, X. Dynamic Modeling and Small Signal Stability Analysis of Distributed Photovoltaic Grid-Connected System with Large Scale of Panel Level DC Optimizers. Appl. Energy 2020, 259, 114132. [Google Scholar] [CrossRef]
  11. Rasheduzzaman, M.; Mueller, J.A.; Kimball, J.W. An Accurate Small-Signal Model of Inverter- Dominated Islanded Microgrids Using d-q Reference Frame. IEEE J. Emerg. Sel. Top. Power Electron. 2014, 2, 1070–1080. [Google Scholar] [CrossRef]
  12. Emadi, A. Modeling and Analysis of Multiconverter DC Power Electronic Systems Using the Generalized State-Space Averaging Method. IEEE Trans. Ind. Electron. 2004, 51, 661–668. [Google Scholar] [CrossRef]
  13. Liu, X.; Cramer, A.M.; Pan, F. Generalized Average Method for Time-Invariant Modeling of Inverters. IEEE Trans. Circuits Syst. I Regul. Pap. 2017, 64, 740–751. [Google Scholar] [CrossRef]
  14. Wang, Y.; Wang, X.; Chen, Z.; Blaabjerg, F. Small-Signal Stability Analysis of Inverter-Fed Power Systems Using Component Connection Method. IEEE Trans. Smart Grid 2018, 9, 5301–5310. [Google Scholar] [CrossRef]
  15. Wang, Y.; Wang, X.; Blaabjerg, F.; Chen, Z. Harmonic Instability Assessment Using State-Space Modeling and Participation Analysis in Inverter-Fed Power Systems. IEEE Trans. Ind. Electron. 2017, 64, 806–816. [Google Scholar] [CrossRef]
  16. Sampaio, L.P.; de Brito, M.A.G.; e Melo, G.D.A.; Canesin, C.A. Grid-Tie Three-Phase Inverter with Active Power Injection and Reactive Power Compensation. Renew. Energy 2016, 85, 854–864. [Google Scholar] [CrossRef]
  17. Dehghanzadeh, A.; Farahani, G.; Maboodi, M. A Novel Approximate Explicit Double-Diode Model of Solar Cells for Use in Simulation Studies. Renew. Energy 2017, 103, 468–477. [Google Scholar] [CrossRef]
  18. Mohammadi, M.; Hamedani, B.; Hatami, S. An Accurate and Fast Piece-Wise Linear Approach for Real-Time Simulation of PV Arrays Under Non-Uniform Condition. In Proceedings of the 34th International Power System Conference (psc2019), Tehran, Iran, 9–11 December 2019; IEEE: New York, NY, USA, 2019; pp. 662–665. [Google Scholar]
  19. Theocharis, A.D.; Pyrgioti, E.C. Development of a Linearized Photovoltaic Generator Model for Simulation Studies with Electromagnetic Transient Programs. Int. Trans. Electr. Energy Syst. 2015, 25, 454–470. [Google Scholar] [CrossRef]
  20. Villalva, M.G.; de Siqueira, T.G.; Ruppert, E. Voltage Regulation of Photovoltaic Arrays: Small-Signal Analysis and Control Design. IET Power Electron. 2010, 3, 869–880. [Google Scholar] [CrossRef]
  21. Li, S. Linear Equivalent Models at the Maximum Power Point Based on Variable Weather Parameters for Photovoltaic Cell. Appl. Energy 2016, 182, 94–104. [Google Scholar] [CrossRef]
  22. Lekshmi Sree, B.; Umamaheswari, M.G. A Hankel Matrix Reduced Order SEPIC Model for Simplified Voltage Control Optimization and MPPT. Sol. Energy 2018, 170, 280–292. [Google Scholar] [CrossRef]
  23. Durgadevi, S.; Umamaheswari, M.G. Analysis and Design of Single-Phase Power Factor Corrector with Genetic Algorithm and Adaptive Neuro-Fuzzy-Based Sliding Mode Controller Using DC–DC SEPIC. Neural Comput. Appl. 2019, 31, 6129–6140. [Google Scholar] [CrossRef]
  24. Prajapati, A.K.; Prasad, R. Model Order Reduction by Using the Balanced Truncation and Factor Division Methods. IETE J. Res. 2019, 65, 827–842. [Google Scholar] [CrossRef]
  25. Zhang, M.; Miao, Z.; Fan, L. Reduced-Order Analytical Models of Grid-Connected Solar Photovoltaic Systems for Low-Frequency Oscillation Analysis. IEEE Trans. Sustain. Energy 2021, 12, 1662–1671. [Google Scholar] [CrossRef]
  26. Anand, S.; Fernandes, B.G. Reduced-Order Model and Stability Analysis of Low-Voltage DC Microgrid. IEEE Trans. Ind. Electron. 2013, 60, 5040–5049. [Google Scholar] [CrossRef]
  27. Rasheduzzaman, M.; Mueller, J.A.; Kimball, J.W. Reduced-Order Small-Signal Model of Microgrid Systems. IEEE Trans. Sustain. Energy 2015, 6, 1292–1305. [Google Scholar] [CrossRef]
  28. Wang, J.; Yan, J.D.; Jiang, L.; Zou, J. Delay-Dependent Stability of Single-Loop Controlled Grid-Connected Inverters with LCL Filters. IEEE Trans. Power Electron. 2016, 31, 743–757. [Google Scholar] [CrossRef]
  29. Fischer, J.R.; González, S.A.; Herrán, M.A.; Judewicz, M.G.; Carrica, D.O. Calculation-Delay Tolerant Predictive Current Controller for Three-Phase Inverters. IEEE Trans. Ind. Inform. 2014, 10, 233–242. [Google Scholar] [CrossRef]
  30. Lyu, Y.; Lin, H.; Cui, Y. Stability Analysis of Digitally Controlled LCL-Type Grid-Connected Inverter Considering the Delay Effect. IET Power Electron. 2015, 8, 1651–1660. [Google Scholar] [CrossRef]
  31. Barmada, S.; Formisano, A.; Hernandez, J.C.; Sánchez Sutil, F.J.J.; Petrarca, C. Impact of Nearby Lightning on Photovoltaic Modules Converters. COMPEL—Int. J. Comput. Math. Electr. Electron. Eng. 2021, 41, 628–643. [Google Scholar] [CrossRef]
  32. Garcia, O. Guidelines for Protection against Overcurrent in Photovoltaic Generators. Adv. Electr. Comp. Eng. 2012, 12, 63–70. [Google Scholar] [CrossRef]
  33. García, O.G.; Hernández, J.C.; Jurado, F. Assessment of Shading Effects in Photovoltaic Modules. In Proceedings of the 2011 Asia-Pacific Power and Energy Engineering Conference, Wuhan, China, 25–28 March 2011; pp. 1–4. [Google Scholar]
  34. Zhang, Z.; Mishra, Y.; Yue, D.; Dou, C.; Zhang, B.; Tian, Y.-C. Delay-Tolerant Predictive Power Compensation Control for Photovoltaic Voltage Regulation. IEEE Trans. Ind. Inform. 2021, 17, 4545–4554. [Google Scholar] [CrossRef]
  35. Zhang, X.; Spencer, J.W.; Guerrero, J.M. Small-Signal Modeling of Digitally Controlled Grid-Connected Inverters With LCL Filters. IEEE Trans. Ind. Electron. 2013, 60, 3752–3765. [Google Scholar] [CrossRef]
  36. Li, S. A Variable-Weather-Parameter MPPT Control Strategy Based on MPPT Constraint Conditions of PV System with Inverter. Energy Convers. Manag. 2019, 197, 111873. [Google Scholar] [CrossRef]
  37. Li, S. A Maximum Power Point Tracking Method with Variable Weather Parameters Based on Input Resistance for Photovoltaic System. Energy Convers. Manag. 2015, 106, 290–299. [Google Scholar] [CrossRef]
  38. Li, S.; Ping, A.; Liu, Y.; Ma, X.; Li, C. A Variable-Weather-Parameter MPPT Method Based on a Defined Characteristic Resistance of Photovoltaic Cell. Sol. Energy 2020, 199, 673–684. [Google Scholar] [CrossRef]
  39. Liu, J.; Molinas, M. Impact of Inverter Digital Time Delay on the Harmonic Characteristics of Grid-Connected Large-Scale Photovoltaic System. IET Renew. Power Gener. 2020, 14, 3809–3815. [Google Scholar] [CrossRef]
  40. Wu, T.-F.; Chen, Y.-K. Modeling PWM DC/DC Converters out of Basic Converter Units. IEEE Trans. Power Electron. 1998, 13, 870–881. [Google Scholar] [CrossRef]
  41. Li, S.; Li, Q.; Qi, W.; Chen, K.; Ai, Q.; Ma, X. Two Variable-Weather-Parameter Models and Linear Equivalent Models Expressed by Them for Photovoltaic Cell. IEEE Access 2020, 8, 184885–184900. [Google Scholar] [CrossRef]
  42. Bryant, B.; Kazimierczuk, M.K. Voltage-Loop Power-Stage Transfer Functions With MOSFET Delay for Boost PWM Converter Operating in CCM. IEEE Trans. Ind. Electron. 2007, 54, 347–353. [Google Scholar] [CrossRef]
  43. Golestan, S.; Guerrero, J.M.; Vidal, A.; Yepes, A.G.; Doval-Gandoy, J.; Freijedo, F.D. Small-Signal Modeling, Stability Analysis and Design Optimization of Single-Phase Delay-Based PLLs. IEEE Trans. Power Electron. 2016, 31, 3517–3527. [Google Scholar] [CrossRef]
  44. Hutton, M.; Friedland, B. Routh Approximations for Reducing Order of Linear, Time-Invariant Systems. IEEE Trans. Autom. Control 1975, 20, 329–337. [Google Scholar] [CrossRef]
Figure 1. Block diagram of the PV system composition.
Figure 1. Block diagram of the PV system composition.
Energies 16 04202 g001
Figure 2. Structure of the PV system with the PV-Boost circuit structure.
Figure 2. Structure of the PV system with the PV-Boost circuit structure.
Energies 16 04202 g002
Figure 3. Linear equivalence principle of PV cells.
Figure 3. Linear equivalence principle of PV cells.
Energies 16 04202 g003
Figure 4. Linear equivalence circuit of the PV cell.
Figure 4. Linear equivalence circuit of the PV cell.
Energies 16 04202 g004
Figure 5. Global linearized model root locus of the unit negative feedback PV-Buck circuit structure.
Figure 5. Global linearized model root locus of the unit negative feedback PV-Buck circuit structure.
Energies 16 04202 g005
Figure 6. Trend diagram of weather parameters of the PV system.
Figure 6. Trend diagram of weather parameters of the PV system.
Energies 16 04202 g006
Figure 7. Response plots of the PV-Buck circuit structure input-to-output.
Figure 7. Response plots of the PV-Buck circuit structure input-to-output.
Energies 16 04202 g007
Figure 8. Response plots of the PV-Boost circuit structure input-to-output.
Figure 8. Response plots of the PV-Boost circuit structure input-to-output.
Energies 16 04202 g008
Figure 9. Response plot of the PV-Buck–Boost circuit structure input-to-output.
Figure 9. Response plot of the PV-Buck–Boost circuit structure input-to-output.
Energies 16 04202 g009
Figure 10. Response plot of the PV-Buck circuit structure control-to-output.
Figure 10. Response plot of the PV-Buck circuit structure control-to-output.
Energies 16 04202 g010
Figure 11. Response plot of the PV-Boost circuit structure control-to-output.
Figure 11. Response plot of the PV-Boost circuit structure control-to-output.
Energies 16 04202 g011
Figure 12. Response plot of the PV-Buck–Boost circuit structure control-to-output.
Figure 12. Response plot of the PV-Buck–Boost circuit structure control-to-output.
Energies 16 04202 g012
Figure 13. Comparison of PV-Buck circuit OLM-VWP and SOLM-VWP response for input condition.
Figure 13. Comparison of PV-Buck circuit OLM-VWP and SOLM-VWP response for input condition.
Energies 16 04202 g013
Figure 14. Comparison of PV-Boost circuit OLM-VWP and SOLM-VWP response for input condition.
Figure 14. Comparison of PV-Boost circuit OLM-VWP and SOLM-VWP response for input condition.
Energies 16 04202 g014
Figure 15. Comparison of PV-Buck–Boost circuit OLM-VWP and SOLM-VWP response for input condition.
Figure 15. Comparison of PV-Buck–Boost circuit OLM-VWP and SOLM-VWP response for input condition.
Energies 16 04202 g015
Figure 16. Comparison of PV-Buck circuit OLM-VWP and SOLM-VWP response for control condition.
Figure 16. Comparison of PV-Buck circuit OLM-VWP and SOLM-VWP response for control condition.
Energies 16 04202 g016
Figure 17. Comparison of PV-Boost circuit OLM-VWP and SOLM-VWP response for control condition.
Figure 17. Comparison of PV-Boost circuit OLM-VWP and SOLM-VWP response for control condition.
Energies 16 04202 g017
Figure 18. Comparison of PV-Buck–Boost circuit OLM-VWP and SOLM-VWP response for control condition.
Figure 18. Comparison of PV-Buck–Boost circuit OLM-VWP and SOLM-VWP response for control condition.
Energies 16 04202 g018
Figure 19. Simulation diagram of the PV-Buck system under ideal conditions.
Figure 19. Simulation diagram of the PV-Buck system under ideal conditions.
Energies 16 04202 g019
Figure 20. Simulation diagram of the PV-Buck system under nonideal conditions.
Figure 20. Simulation diagram of the PV-Buck system under nonideal conditions.
Energies 16 04202 g020
Figure 21. Simulation diagram of the PV-Boost system under ideal conditions.
Figure 21. Simulation diagram of the PV-Boost system under ideal conditions.
Energies 16 04202 g021
Figure 22. Simulation diagram of the PV-Boost system under nonideal conditions.
Figure 22. Simulation diagram of the PV-Boost system under nonideal conditions.
Energies 16 04202 g022
Figure 23. Simulation diagram of the PV-Buck–Boost system under ideal conditions.
Figure 23. Simulation diagram of the PV-Buck–Boost system under ideal conditions.
Energies 16 04202 g023
Figure 24. Simulation diagram of the PV-Buck–Boost system under nonideal conditions.
Figure 24. Simulation diagram of the PV-Buck–Boost system under nonideal conditions.
Energies 16 04202 g024
Figure 25. Simulation diagram of the PV-Buck system under ideal conditions.
Figure 25. Simulation diagram of the PV-Buck system under ideal conditions.
Energies 16 04202 g025
Figure 26. Simulation diagram of the PV-Buck system under nonideal conditions.
Figure 26. Simulation diagram of the PV-Buck system under nonideal conditions.
Energies 16 04202 g026
Figure 27. Simulation diagram of the PV-Boost system under ideal conditions.
Figure 27. Simulation diagram of the PV-Boost system under ideal conditions.
Energies 16 04202 g027
Figure 28. Simulation diagram of the PV-Boost system under nonideal conditions.
Figure 28. Simulation diagram of the PV-Boost system under nonideal conditions.
Energies 16 04202 g028
Figure 29. Simulation diagram of the PV-Buck–Boost system under ideal conditions.
Figure 29. Simulation diagram of the PV-Buck–Boost system under ideal conditions.
Energies 16 04202 g029
Figure 30. Simulation diagram of the PV-Buck–Boost system under nonideal conditions.
Figure 30. Simulation diagram of the PV-Buck–Boost system under nonideal conditions.
Energies 16 04202 g030
Figure 31. Validation method of the DTM-VWP for the PV system.
Figure 31. Validation method of the DTM-VWP for the PV system.
Energies 16 04202 g031
Figure 32. Comparison of SLOM-VWP and DTM-VWP delay times for PV-Buck systems under inputted disturbance conditions.
Figure 32. Comparison of SLOM-VWP and DTM-VWP delay times for PV-Buck systems under inputted disturbance conditions.
Energies 16 04202 g032
Figure 33. Comparison of SLOM-VWP and DTM-VWP delay times for PV-Boost systems under inputted disturbance conditions.
Figure 33. Comparison of SLOM-VWP and DTM-VWP delay times for PV-Boost systems under inputted disturbance conditions.
Energies 16 04202 g033
Figure 34. Comparison of SLOM-VWP and DTM-VWP delay times for PV-Buck–Boost systems under inputted disturbance conditions.
Figure 34. Comparison of SLOM-VWP and DTM-VWP delay times for PV-Buck–Boost systems under inputted disturbance conditions.
Energies 16 04202 g034
Figure 35. Comparison of SLOM-VWP and DTM-VWP delay times for PV-Buck systems under controlled disturbance conditions.
Figure 35. Comparison of SLOM-VWP and DTM-VWP delay times for PV-Buck systems under controlled disturbance conditions.
Energies 16 04202 g035
Figure 36. Comparison of SLOM-VWP and DTM-VWP delay times for PV-Boost systems under controlled disturbance conditions.
Figure 36. Comparison of SLOM-VWP and DTM-VWP delay times for PV-Boost systems under controlled disturbance conditions.
Energies 16 04202 g036
Figure 37. Comparison of SLOM-VWP and DTM-VWP delay times for PV-Buck–Boost systems under controlled disturbance conditions.
Figure 37. Comparison of SLOM-VWP and DTM-VWP delay times for PV-Buck–Boost systems under controlled disturbance conditions.
Energies 16 04202 g037
Figure 38. The PV system physical verification circuit.
Figure 38. The PV system physical verification circuit.
Energies 16 04202 g038
Figure 39. PV-Buck system with sudden irradiance disturbance.
Figure 39. PV-Buck system with sudden irradiance disturbance.
Energies 16 04202 g039
Figure 40. PV-Buck system with sudden temperature and irradiance disturbances.
Figure 40. PV-Buck system with sudden temperature and irradiance disturbances.
Energies 16 04202 g040
Figure 41. PV-Boost system with sudden irradiance disturbance.
Figure 41. PV-Boost system with sudden irradiance disturbance.
Energies 16 04202 g041
Figure 42. PV-Boost system with sudden temperature and irradiance disturbances.
Figure 42. PV-Boost system with sudden temperature and irradiance disturbances.
Energies 16 04202 g042
Figure 43. The duty cycle of the PV-Buck system at steady state.
Figure 43. The duty cycle of the PV-Buck system at steady state.
Energies 16 04202 g043
Figure 44. The output response of the PV-Buck system.
Figure 44. The output response of the PV-Buck system.
Energies 16 04202 g044
Figure 45. The duty cycle of the PV-Boost system at steady state.
Figure 45. The duty cycle of the PV-Boost system at steady state.
Energies 16 04202 g045
Figure 46. The output response of the PV-Boost system.
Figure 46. The output response of the PV-Boost system.
Energies 16 04202 g046
Table 1. Circuit parameters of differently structured PV systems.
Table 1. Circuit parameters of differently structured PV systems.
Structure of Different PV SystemsPV-BuckPV-BoostPV-Buck–Boost
D M P M C ( S , T ) 1 C ( S , T ) P M 1 C ( S , T ) C ( S , T ) + P M
R i 1 D 2 2 R L M 2 ( 1 D ) 2 2 R L M 2 ( 1 D ) 2 D 2 2 R L M 2
V d D V eq V eq 1 D D V eq 1 D
Table 2. Parameters of the PV cell.
Table 2. Parameters of the PV cell.
QuantityNotationValue
Maximal output power P max / W 150.15
Open-circuit voltage V OC / V 22
Short-circuit current I SC / A 9.19
Reference temperature T ref / ( ° C ) 25
Reference irradiance S ref / ( W / m 2 ) 1000
Output voltage at maximum power V MPP /(V)17.5
Output current at maximum power I MPP /(A)8.58
Number of PV cells 4
Table 3. Circuit parameters in the simulation.
Table 3. Circuit parameters in the simulation.
QuantityNotationValue
Filter capacitors for PV cells C 1 / ( uF ) 4.7 ×   10 3
Filter capacitors for DC/DC C 2 / ( uF ) 4.7 ×   10 3
Filter capacitor for DC/AC C 3 / ( uF ) 2.2 × 10 7
Power inductors for DC/DC L 1 / ( mH ) 4.7 ×   10 3
Filter inductor for DC/AC L 2 / ( mH ) 5 ×   10 5
Load resistance R L / ( Ω ) 500
Switching frequency f PWM / ( kHz ) 20
Modulation ratioM0.5
MOSFETInternal resistance/ m Ω 1
MOSFETBuffer resistance/ k Ω 500
DiodeInternal resistance/ m Ω 1
DiodeBuffer resistance/ Ω 500
Input small disturbance c ( S , T )
Control small disturbances d ( S , T )
Table 4. Transient performance indexes of the DC/DC input-to-output for the linearized models.
Table 4. Transient performance indexes of the DC/DC input-to-output for the linearized models.
Difference Structure DC/DCInitial Value Status ( S , T ) / ( W / m 2 , ° C ) Perturbation Value Status ( S , T ) / ( W / m 2 , ° C ) c S , T D max S , T t d / ( s ) t p / ( s ) t r / ( s ) t s / ( s )
Buck400,101000,404.740.4250.2420.8370.4830.552
800,301000,400.780.6270.1090.4490.2190.301
1000,40800,104.190.7220.0710.1940.1420.155
Boost400,101000,404.740.2560.1760.3930.3511.073
800,301000,400.780.4960.0710.2140.1411.418
1000,40800,104.190.5620.0740.2320.1471.586
Buck–Boost400,101000,404.740.5730.1120.2880.2231.299
800,301000,400.780.6650.0990.3060.1991.597
1000,40800,104.190.6950.1020.3220.2031.518
Table 5. Transient performance indexes of the DC/DC control-to-output for the linearized models.
Table 5. Transient performance indexes of the DC/DC control-to-output for the linearized models.
Difference Structure DC/DCInitial Value Status ( S , T ) / ( W / m 2 , ° C ) Perturbation Value Status ( S , T ) / ( W / m 2 , ° C ) C S , T d S , T t d / ( s ) t p / ( s ) t r / ( s ) t s / ( s )
Buck400,101000,4073.260.2970.2070.8360.4140.537
800,301000,4070.720.0700.1000.4490.2000.273
1000,40800,1068.520.1040.0710.1940.1420.159
Boost400,101000,4073.260.3060.1810.3930.3611.083
800,301000,4070.720.0530.0780.2240.1561.433
1000,40800,1068.520.0740.0810.2460.1621.614
Buck–Boost400,101000,4073.260.1220.1120.2980.2241.311
800,301000,4070.720.0240.1070.3260.2141.621
1000,40800,1068.520.0330.1130.3440.2251.544
Table 6. Simulation results of the PV-Buck system with different inputs c S , T .
Table 6. Simulation results of the PV-Buck system with different inputs c S , T .
Initial Value Status ( S , T ) / ( W / m 2 , ° C ) Perturbation Value Status ( S , T ) / ( W / m 2 , ° C ) c S , T D max S , T t d / ( s ) t p / ( s ) t r / ( s ) t s / ( s )
1000,25800,251.950.7020.0770.35820.140.155
800,25600,250.350.6330.1420.44050.2390.283
600,25400,251.020.5390.1530.4160.2820.305
1000,101000,406.140.6840.1050.3050.1660.209
800,10600,406.150.6180.1410.4620.2240.281
400,10400,406.090.4250.2930.8360.5000.597
400,101000,404.740.4250.2650.8360.4470.529
800,201000,250.780.6270.1340.4490.2090.279
1000,40800,104.190.7220.0760.1930.140.152
Table 7. Simulation results of the PV-Boost system with different inputs c S , T .
Table 7. Simulation results of the PV-Boost system with different inputs c S , T .
Initial Value Status ( S , T ) / ( W / m 2 , ° C ) Perturbation Value Status ( S , T ) / ( W / m 2 , ° C ) c S , T D max S , T t d / ( s ) t p / ( s ) t r / ( s ) t s / ( s )
1000,25800,251.950.5490.0730.2260.1441.557
800,25600,250.350.5000.0710.2150.1431.429
600,25400,251.020.4140.0700.1980.4491.357
1000,101000,406.140.5370.0710.2220.1441.525
800,10600,406.150.4880.0700.2110.1411.398
400,10400,406.0940.2560.1750.2930.3511.072
400,101000,404.740.2560.1740.3930.3511.072
800,201000,250.780.4960.0690.2140.1411.418
1000,40800,104.190.5620.0730.2320.1471.586
Table 8. Simulation results of the PV-Buck–Boost system with different inputs c S , T .
Table 8. Simulation results of the PV-Buck–Boost system with different inputs c S , T .
Initial Value Status ( S , T ) / ( W / m 2 , ° C ) Perturbation Value Status ( S , T ) / ( W / m 2 , ° C ) c S , T D max S , T t d / ( s ) t p / ( s ) t r / ( s ) t s / ( s )
1000,25800,251.950.6890.1180.3880.2491.515
800,25600,250.350.6660.1150.3830.2491.515
600,25400,251.020.6300.1190.3830.2461.516
1000,101000,406.140.6830.1190.3830.2491.514
800,10600,406.150.6610.1170.3830.2471.515
400,10400,406.090.5730.1230.3860.2481.536
400,101000,404.740.5730.1120.3860.2241.536
800,201000,250.780.6650.1180.3830.2491.516
1000,40800,104.190.6950.1170.3830.2301.516
Table 9. Simulation results of the PV-Buck system at different inputs d S , T .
Table 9. Simulation results of the PV-Buck system at different inputs d S , T .
Initial Value Status ( S , T ) / ( W / m 2 , ° C ) Perturbation Value Status ( S , T ) / ( W / m 2 , ° C ) C S , T d S , T t d / ( s ) t p / ( s ) t r / ( s ) t s / ( s )
1000,25800,2571.500.0490.0790.2420.1601.576
800,25600,2569.550.0860.0760.2250.1541.444
600,25400,2569.200.1570.0750.2040.1521.370
1000,101000,4074.660.0250.0810.2390.1601.546
800,10600,4072.710.0650.0760.2210.1551.413
400,10400,4073.260.0010.1760.3930.3611.083
400,101000,4073.260.3060.1750.3930.3611.083
800,201000,2570.720.0530.0760.2240.1561.433
1000,40800,1068.520.0740.0810.2460.1621.614
Table 10. Simulation results of the PV-Boost system at different inputs d S , T .
Table 10. Simulation results of the PV-Boost system at different inputs d S , T .
Initial Value Status ( S , T ) / ( W / m 2 , ° C ) Perturbation Value Status ( S , T ) / ( W / m 2 , ° C ) C S , T d S , T t d / ( s ) t p / ( s ) t r / ( s ) t s / ( s )
1000,25800,2571.500.0490.0790.2420.1601.576
800,25600,2569.550.0860.0760.2250.1541.444
600,25400,2569.200.1570.0750.2040.1521.370
1000,101000,4074.660.0250.0810.2390.1601.546
800,10600,4072.710.0650.0760.2210.1551.413
400,10400,4073.260.0010.1760.3930.3611.083
400,101000,4073.260.3060.1750.3930.3611.083
800,201000,2570.720.0530.0760.2240.1561.433
1000,40800,1068.520.0740.0810.2460.1621.614
Table 11. Simulation results of the PV-Buck–Boost system at different inputs d S , T .
Table 11. Simulation results of the PV-Buck–Boost system at different inputs d S , T .
Initial Value Status ( S , T ) / ( W / m 2 , ° C ) Perturbation   Value   Status   ( S , T ) / ( W / m 2 , ° C ) C S , T d S , T t d / ( s ) t p / ( s ) t r / ( s ) t s / ( s )
1000,25800,2571.500.0230.1110.3400.2231.520
800,25600,2569.550.0360.1060.3260.2191.621
600,25400,2569.200.0560.1060.3050.2171.487
1000,101000,4074.660.0120.1110.3350.2191.496
800,10600,4072.710.020.1070.3210.2151.609
400,10400,4073.260.0010.1110.2980.2231.310
400,101000,4073.260.1220.1140.2980.2231.310
800,201000,2570.720.0240.1110.3260.2191.621
1000,40800,1068.520.0330.1150.3430.2251.545
Table 12. DTM-VWP error result analysis.
Table 12. DTM-VWP error result analysis.
Different Conditions of InputDifferent Circuit StructuresSEERMSR (%)
Inputted disturbanceBuck1.5981.264%
Boost0.9690.984%
Buck–Boost1.7161.196%
Controlled disturbanceBuck3.0711.615%
Boost4.0651.842%
Buck–Boost5.0292.041%
Table 13. Circuit parameters of the experiment.
Table 13. Circuit parameters of the experiment.
PV-Buck Generation System Circuit Parameters
Initial value status ( S , T ) / ( W / m 2 , ° C ) Perturbation value status ( S , T ) / ( W / m 2 , ° C ) Modulation ratio M R L C 1 C 2 C 3 L 1 L 2
400,101000,400.95470 uF1000 uF1 uF500 uH3 mH
PV-Boost generation system circuit parameters
Initial value status ( S , T ) / ( W / m 2 , ° C ) Perturbation value status ( S , T ) / ( W / m 2 , ° C ) Modulation ratio M R L C 1 C 2 C 3 L 1 L 2
400,101000,400.95 53.3 Ω 1000 uF470 uF1 uH500 uF3 mH
Table 14. Experimental data to verify the linearization theory.
Table 14. Experimental data to verify the linearization theory.
System TypeInitial Value Status S , T / ( W / m 2 , ° C ) Perturbation Value Status S , T / ( W / m 2 , ° C ) Output Voltage VariationSystem Delay Time
PV-Buck400,251000,252.60 V12.82 ms
600,10100,450.384 V12.5 ms
PV-Boost1000,25400,2510 V73 ms
800,201000,401.57 V21.75 ms
Table 15. Experimental data to verify the linearization theory corresponding to Figure 43, Figure 44, Figure 45 and Figure 46.
Table 15. Experimental data to verify the linearization theory corresponding to Figure 43, Figure 44, Figure 45 and Figure 46.
System TypeDuty CycleInput Steady-State VoltageInput PerturbationNonideal Condition Output ValueIdeal Condition Output ValueNonideal Condition Output ValueIdeal Condition Output Value
PV-Buck0.42351.2 V34.7 V20.4 V21.65 V16.0 V14.67 V
PV-Boost0.25613.13 V18.32 V16.4 V17.64 V23.2 V24.62 V
Disclaimer/Publisher’s Note: The statements, opinions and data contained in all publications are solely those of the individual author(s) and contributor(s) and not of MDPI and/or the editor(s). MDPI and/or the editor(s) disclaim responsibility for any injury to people or property resulting from any ideas, methods, instructions or products referred to in the content.

Share and Cite

MDPI and ACS Style

Zhu, X.; Li, S.; Fan, J. An Overall Linearized Modeling Method and Associated Delay Time Model for the PV System. Energies 2023, 16, 4202. https://doi.org/10.3390/en16104202

AMA Style

Zhu X, Li S, Fan J. An Overall Linearized Modeling Method and Associated Delay Time Model for the PV System. Energies. 2023; 16(10):4202. https://doi.org/10.3390/en16104202

Chicago/Turabian Style

Zhu, Xianping, Shaowu Li, and Jingxun Fan. 2023. "An Overall Linearized Modeling Method and Associated Delay Time Model for the PV System" Energies 16, no. 10: 4202. https://doi.org/10.3390/en16104202

APA Style

Zhu, X., Li, S., & Fan, J. (2023). An Overall Linearized Modeling Method and Associated Delay Time Model for the PV System. Energies, 16(10), 4202. https://doi.org/10.3390/en16104202

Note that from the first issue of 2016, this journal uses article numbers instead of page numbers. See further details here.

Article Metrics

Back to TopTop