Influence of Infrastructure and Operating Conditions on Energy Performance of DC Transit Systems
Abstract
1. Introduction
2. Energy Consumption and Efficiency Indexes
2.1. Regenerability
2.2. Receptivity
- Train operation frequency (headway time—HT);
- Type, location, state of the other trains;
- Power consumption of the train-set auxiliaries;
- Nominal braking deceleration;
- Curve of braking effort vs. velocity;
- Efficiency of on-board converters.
2.3. Aggregate Energy Efficiency Quantities
- The energy consumption per running vehicle and distance, ECRVD, is the ratio between the overall system energy consumption calculated at the TPS level (including the traction energy and all power supply network losses) and the number of current running vehicles and total vehicle running distance in km;
- The system energy losses per running vehicle and distance, ELRVD, is the ratio between the joule losses calculated for the power supply network (including losses in the catenary, return circuit, and TPSs) and the number of current running vehicles and the total travelled distance in km.
3. Modeling and Simulation
3.1. Electromechanical Simulator Architecture
3.1.1. Traffic Module
3.1.2. Electric Network Module
3.1.3. Rolling Stock Module
3.1.4. Train Movement and Simulation
3.1.5. Simulator Validation and Accuracy
3.2. Reference Scenarios for Simulations
4. Simulation Results on Test Cases
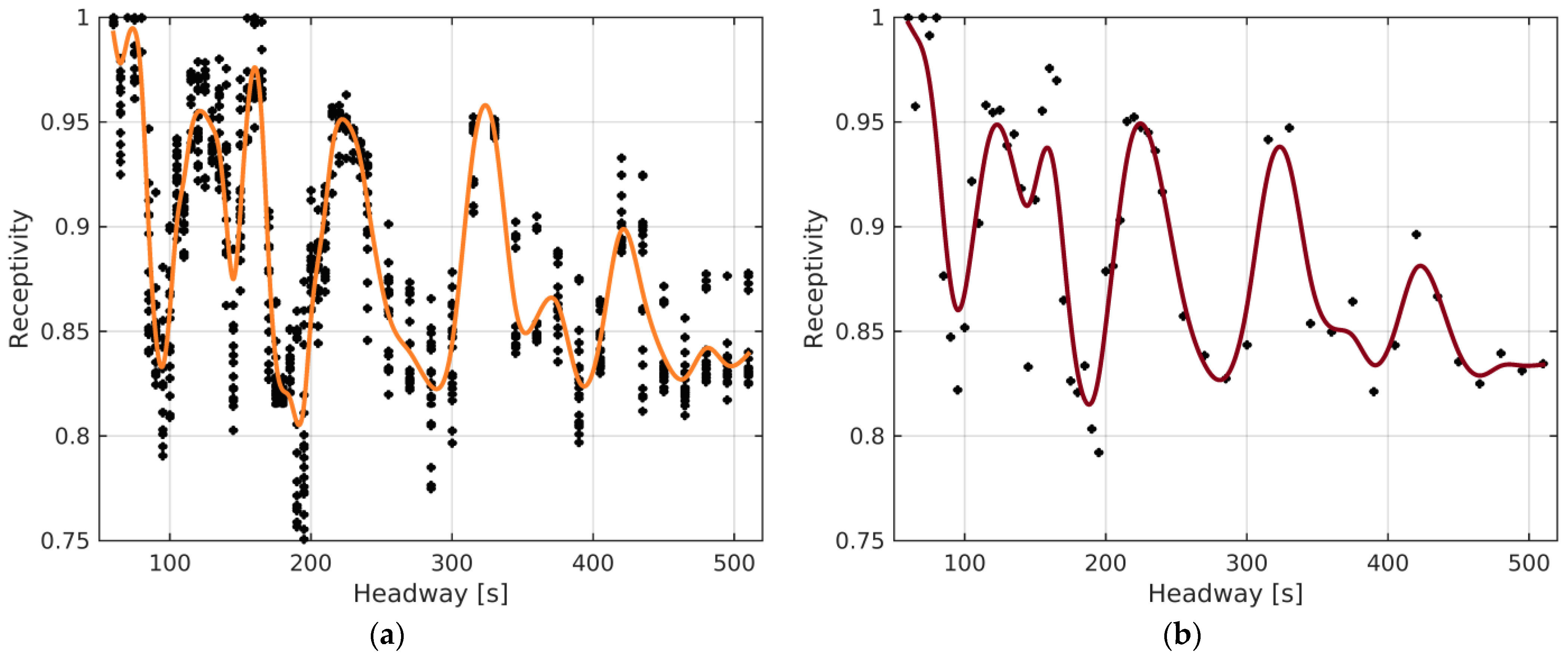
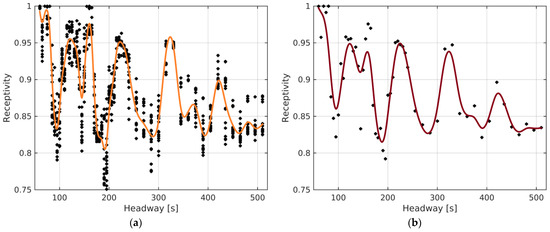
4.1. Variation of the Service Headway Time
4.2. Variation of the Traction Line Equivalent Cross-Section and Resistance
4.3. Variation of the No-Load Line Voltage
4.4. Variation of the Track Layout (Passenger Stations Locations)
5. Conclusions
Author Contributions
Funding
Institutional Review Board Statement
Informed Consent Statement
Data Availability Statement
Acknowledgments
Conflicts of Interest
Nomenclature
| A, B, C | Generic Davis coefficients (in Section 3.1.3) |
| ATO | Automatic train operation |
| DT | Dwell time |
| ECRVD | Energy consumption per running vehicle and distance, also named specific energy consumption |
| ELRVD | System energy losses per running vehicle and distance |
| Elost | Total energy lost in the distribution network |
| ETL | Traction line energy (kWh/(vehicle km)) |
| Etr | Total energy absorbed by trains |
| g | Gravity acceleration |
| GE | Total system energy consumption |
| HT | Headway time |
| i | Generic index or track inclination (in Section 3.1.3) |
| m | Train mass |
| Number of braking vehicles in a given time interval | |
| Number of in-service TPSs in a given time interval | |
| Average available regenerative braking power of the i-th vehicle | |
| Actually generated regenerative braking power of the i-th vehicle | |
| Average generated power of the j-th TPS | |
| ρ | Track curve radius |
| ri | Instantaneous vehicle receptivity |
| RE | Energy-based receptivity |
| Rj | System Instantaneous receptivity, SIR |
| Rk | Aggregate system receptivity, ASR |
| Rtc | Track curve radius |
| RF | Train resistance force |
| RFi | Resistance force due to track grade (inclination) |
| RFρ | Resistance force due to track curvature |
| RR | Regenerability × receptivity product |
| STLE | System traction line energy |
| t | Time |
| TE | Train traction effort (or braking effort) |
| TPS | Traction power substations |
| v | Train velocity |
| VTPS,noload | TPS no-load output voltage |
References
- Ogasa, M. Energy saving and environmental measures in railway technologies: Example with hybrid electric railway vehicles. IEEJ Trans. Electr. Electron. Eng. 2008, 3, 15–20. [Google Scholar] [CrossRef]
- Popescu, M.; Bitoleanu, A. A Review of the Energy Efficiency Improvement in DC Railway Systems. Energies 2019, 12, 1092. [Google Scholar] [CrossRef]
- Meishner, F.; Sauer, D.U. Wayside energy recovery systems in DC urban railway grids. eTransportation 2019, 1, 100001. [Google Scholar] [CrossRef]
- Adinolfi, A.; Lamedica, R.; Modesto, C.; Prudenzi, A.; Vimercati, S. Experimental assessment of energy saving due to trains regenerative braking in an electrified subway line. IEEE Trans. Power Deliv. 1998, 13, 1536–1542. [Google Scholar] [CrossRef]
- Gunselmann, W. Technologies for increased energy efficiency in railway systems. In Proceedings of the European Conference on Power Electronics and Applications, Dresden, Germany, 11–14 September 2005; pp. 1–10. [Google Scholar] [CrossRef]
- Hillmansen, S. Sustainable traction drives. In Proceedings of the 5th IET Professional Development Course on Railway Electrification Infrastructure and Systems (REIS 2013), London, UK, 4–6 June 2012; pp. 249–259. [Google Scholar] [CrossRef]
- Ćwil, M.; Bartnik, W.; Jarzębowski, S. Railway Vehicle Energy Efficiency as a Key Factor in Creating Sustainable Transportation Systems. Energies 2021, 14, 5211. [Google Scholar] [CrossRef]
- Mariscotti, A.; Giordano, D.; Signorino, D. Energy Efficiency Improvement with Reversible Substations for Electrified Transportation Systems. Open Transp. J. 2023, 17, 1–11. [Google Scholar] [CrossRef]
- Restel, F.; Wolniewicz, Ł.; Mikulčić, M. Method for Designing Robust and Energy Efficient Railway Schedules. Energies 2021, 14, 8248. [Google Scholar] [CrossRef]
- Urbaniak, M.; Kardas-Cinal, E. Optimization of Train Energy Cooperation Using Scheduled Service Time Reserve. Energies 2022, 15, 119. [Google Scholar] [CrossRef]
- D’Acierno, L.; Botte, M. Optimising Frequency-Based Railway Services with a Limited Fleet Endowment: An Energy-Efficient Perspective. Energies 2020, 13, 2403. [Google Scholar] [CrossRef]
- Dominguez, M.; Fernandez, A.; Cucala, A.P.; Lukaszewicz, P. Optimal design of metro automatic train operation speed profiles for reducing energy consumption. Proc. Inst. Mech. Eng. Part F J. Rail Rapid Transit 2011, 225, 463–474. [Google Scholar] [CrossRef]
- Ozhigin, A.; Prunev, P.; Sverdlin, V.; Vikulina, Y. Development of an algorithm for energy efficient automated train driving. In Proceedings of the 8th European Congress on Embedded Real-Time Software and Systems, Toulouse, France, 27–29 January 2016. [Google Scholar]
- Boschetti, G.; Mariscotti, A. Optimizing the energy efficiency of electric transportation systems operation using a genetic algorithm. Int. Rev. Electr. Eng. 2014, 9, 783–791. [Google Scholar] [CrossRef]
- Liu, D.; Zhu, S.-Q.; Bi, Y.-R.; Liu, K.; Xu, Y.-X. Research on the Utilization of Metro Regenerative Braking Energy Based on an Improved Differential Evolution Algorithm. J. Adv. Transp. 2020, 2020, 7085809. [Google Scholar] [CrossRef]
- Fernández-Rodríguez, A.; Cucala, A.P.; Fernández-Cardador, A. An Eco-Driving Algorithm for Interoperable Automatic Train Operation. Appl. Sci. 2020, 10, 7705. [Google Scholar] [CrossRef]
- Tian, Z.; Zhao, N.; Hillmansen, S.; Roberts, C.; Dowens, T.; Kerr, C. SmartDrive: Traction Energy Optimization and Applications in Rail Systems. IEEE Trans. Intell. Transp. Syst. 2019, 20, 2764–2773. [Google Scholar] [CrossRef]
- Liu, R.; Golovitcher, I.M. Energy-efficient operation of rail vehicles. Transp. Res. Part A Policy Pract. 2003, 37, 917–932. [Google Scholar] [CrossRef]
- Ramsey, D.; Letrouve, T.; Bouscayrol, A.; Delarue, P. Comparison of Energy Recovery Solutions on a Suburban DC Railway System. IEEE Trans. Transp. Electrif. 2021, 7, 1849–1857. [Google Scholar] [CrossRef]
- Suzuki, T. DC power-supply system with inverting substations for traction systems using regenerative brakes. IEE Proc. B Electr. Power Appl. 1982, 129, 18. [Google Scholar] [CrossRef]
- Cornic, D. Efficient recovery of braking energy through a reversible dc substation. In Proceedings of the Electrical Systems for Aircraft, Railway and Ship Propulsion, Bologna, Italy, 19–21 October 2010. [Google Scholar] [CrossRef]
- Mellitt, B.; Mouneimne, Z.S.; Goodman, C.J. Simulation study of DC transit systems with inverting substations. Electr. Power Appl. IEE Proc. B 1984, 131, 38–50. [Google Scholar] [CrossRef]
- Pecharroman, R.R.; Lopez-Lopez, A.; Cucala, A.P.; Fernandez-Cardador, A. Riding the Rails to DC Power Efficiency: Energy efficiency in dc-electrified metropolitan railways. IEEE Electrif. Mag. 2014, 2, 32–38. [Google Scholar] [CrossRef]
- Giordano, D.; Signorino, D.; Gallo, D.; van den Brom, H.E.; Sira, M. Methodology for the Accurate Measurement of the Power Dissipated by Braking Rheostats. Sensors 2020, 20, 6935. [Google Scholar] [CrossRef]
- EN 50163; Railway Applications—Supply Voltages of Traction Systems. Technical Report; CENELEC: Brussels, Belgium, 2020.
- Bae, C.H.; Jang, D.U.; Kim, Y.G.; Chang, S.K.; Mok, J.K. Calculation of regenerative energy in DC 1500 V electric railway substations. In Proceedings of the 7th Internatonal Conference on Power Electronics, Daegu, Republic of Korea, 22–26 October 2007. [Google Scholar] [CrossRef]
- Zhou, P.; Xu, H. Train coordinated optimization operation with regenerative braking. J. Comput. 2012, 7, 1025–1033. [Google Scholar] [CrossRef]
- Tseng, K.H.; Shiao, Y.F. The analysis of regenerative breaking power for Taipei Rapid Transit Systems Electrical Multiple Units. In Proceedings of the International Conference on Machine Learning and Cybernetics, Xi’an, China, 15–17 July 2012; pp. 1947–1951. [Google Scholar] [CrossRef]
- Wang, Y.; Miao, J.; Wei, Y. The research of traction motor energy-saving regenerative braking control technology. In Proceedings of the International Conference on Intelligent Computation Technology and Automation, Changsha, China, 11–12 May 2010; pp. 930–933. [Google Scholar] [CrossRef]
- Chu, L.; Zhou, F.; Guo, J.; Shang, M. Investigation of determining of regenerative braking torque based on associated efficiency optimization of electric motor and power battery using GA. In Proceedings of the International Conference on Electronic & Mechanical Engineering and Information Technology, Harbin, China, 12–14 August 2011; pp. 3238–3241. [Google Scholar] [CrossRef]
- Guo, J.; Wang, J.; Cao, B. Study on braking force distribution of electric vehicles. In Proceedings of the Asia-Pacific Power and Energy Engineering Conference, Wuhan, China, 27–31 March 2009; pp. 1–4. [Google Scholar] [CrossRef]
- Zhang, J.; Song, B.; Niu, X. Optimization of parallel regenerative braking control strategy. In Proceedings of the IEEE Vehicle Power and Propulsion Conference, Harbin, China, 3–5 September 2008; pp. 1–4. [Google Scholar] [CrossRef]
- Zhang, Y.; Wu, S.; Liu, Z.; Yan, Q.; Chen, T. An approach to improve system performance in the vehicle-grid system using sliding mode control under multiple operation conditions. IEEE Access 2020, 8, 11084–11095. [Google Scholar] [CrossRef]
- Zhang, Q.; Zhang, Y.; Huang, K.; Tasiu, I.A.; Lu, B.; Meng, X.; Liu, Z.; Sun, W. Modeling of Regenerative Braking Energy for Electric Multiple Units Passing Long Downhill Section. IEEE Trans. Transp. Electrif. 2022, 8, 3742–3758. [Google Scholar] [CrossRef]
- Açikbaş, S.; Söylemez, M.T. Parameters affecting braking energy recuperation rate in DC rail transit. In Proceedings of the ASME/IEEE 2007 Joint Rail Conference and Internal Combustion Engine Division Spring Technical Conference, Pueblo, CO, USA, 13–16 March 2007; pp. 263–268. [Google Scholar] [CrossRef]
- Yang, X.; Li, X.; Ning, B.; Tang, T. A Survey on Energy-Efficient Train Operation for Urban Rail Transit. IEEE Trans. Intell. Transp. Syst. 2016, 17, 2–13. [Google Scholar] [CrossRef]
- López-López, Á.J.; Pecharromán, R.R.; Fernández-Cardador, A.; Cucala, A.P. Assessment of energy-saving techniques in direct-current-electrified mass transit systems. Transp. Res. Part C Emerg. Technol. 2014, 38, 85–100. [Google Scholar] [CrossRef]
- López-López, Á.J.; Pecharromán, R.R.; Fernández-Cardador, A.; Cucala, A.P. Improving the Traffic Model to Be Used in the Optimisation of Mass Transit System Electrical Infrastructure. Energies 2017, 10, 1134. [Google Scholar] [CrossRef]
- Mariscotti, A. Impact of Rail Impedance Intrinsic Variability on Railway System Operation, EMC and Safety. Int. J. Electr. Comput. Eng. 2021, 11, 17–26. [Google Scholar] [CrossRef]
- Okui, A.; Hase, S.; Shigeeda, H.; Konishi, T.; Yoshi, T. Application of energy storage system for railway transportation in Japan. In Proceedings of the International Power Electronics Conference (ECCE ASIA), Sapporo, Japan, 21–24 June 2010; pp. 3117–3123. [Google Scholar] [CrossRef]
- Iannuzzi, D. Improvement of the energy recovery of traction electrical drives using supercapacitors. In Proceedings of the 13th International Power Electronics and Motion Control Conference, Poznan, Poland, 1–3 September 2008. [Google Scholar] [CrossRef]
- Konishi, T.; Tobita, M. Fixed energy storage technology applied for DC electrified railway (traction power substation). In Proceedings of the Electrical Systems for Aircraft, Railway and Ship Propulsion, Bologna, Italy, 16–18 October 2012. [Google Scholar] [CrossRef]
- Steiner, M.; Klohr, M.; Pagiela, S. Energy storage system with ultracaps on board of railway vehicles. In Proceedings of the European Conference on Power Electronics and Applications, Aalborg, Denmark, 2–5 September 2007. [Google Scholar] [CrossRef]
- Garrisi, G.; Cervelló-Pastor, C. Train-Scheduling Optimization Model for Railway Networks with Multiplatform Stations. Sustainability 2020, 12, 257. [Google Scholar] [CrossRef]
- Su, S.; Tang, T.; Wang, Y. Evaluation of Strategies to Reducing Traction Energy Consumption of Metro Systems Using an Optimal Train Control Simulation Model. Energies 2016, 9, 105. [Google Scholar] [CrossRef]
- Nasri, A.; Moghadam, M.F.; Mokhtari, H. Timetable optimization for maximum usage of regenerative energy of braking in electrical railway systems. In Proceedings of the International Symposium on Power Electronics, Electrical Drives, Pisa, Italy, 14–16 June 2010, Automation and Motion (SPEEDAM). [CrossRef]
- Yang, X.; Ning, B.; Li, X.; Tang, T. A two-objective timetable optimization model in subway systems. IEEE Trans. Intell. Transp. Syst. 2014, 15, 1913–1921. [Google Scholar] [CrossRef]
- Rocha, A.; Araújo, A.; Carvalho, A.; Sepulveda, J. A New Approach for Real Time Train Energy Efficiency Optimization. Energies 2018, 11, 2660. [Google Scholar] [CrossRef]
- Lin, W.-S.; Sheu, J.-W. Optimization of train regulation and energy usage of metro lines using an adaptive-optimal-control algorithm. IEEE Trans. Autom. Sci. Eng. 2011, 8, 855–864. [Google Scholar] [CrossRef]
- Bocharnikov, Y.V.; Tobias, A.M.; Roberts, C. Reduction of train and net energy consumption using genetic algorithms for trajectory optimisation. In Proceedings of the IET Conference on Railway Traction Systems (RTS 2010), Birmingham, UK, 13–15 April 2010. [Google Scholar] [CrossRef]
- Zhao, N.; Roberts, C.; Hillmansen, S.; Nicholson, G. A multiple train trajectory optimization to minimize energy consumption and delay. IEEE Trans. Intell. Transp. Syst. 2015, 16, 2363–2372. [Google Scholar] [CrossRef]
- Giordano, D.; Clarkson, P.; Gamacho, F.; Van den Brom, H.E.; Donadio, L.; Fernandez-Cardador, A.; Spalvieri, C.; Gallo, D.; Istrate, D.; Laporte, A.D.S.; et al. Accurate Measurements of Energy, Efficiency and Power Quality in the Electric Railway System. In Proceedings of the Conference on Precision Electromagnetic Measurements (CPEM 2018), Paris, France, 8–13 July 2018. [Google Scholar] [CrossRef]
- Boschetti, G.; Mariscotti, A. Integrated electromechanical simulation of traction systems: Relevant factors for the analysis and estimation of energy efficiency. In Proceedings of the Electrical Systems for Aircraft, Railway and Ship Propulsion, Bologna, Italy, 16–18 October 2012. [Google Scholar] [CrossRef]
- Arboleya, P.; Diaz, G.; Coto, M. Unified AC/DC Power Flow for Traction Systems: A New Concept. IEEE Trans. Veh. Technol. 2012, 61, 2421–2430. [Google Scholar] [CrossRef]
- Ogunsola, A.; Sandrolini, L.; Mariscotti, A. Evaluation of stray current from a dc electrified railway with integrated electric-electromechanical modeling and traffic simulation. IEEE Trans. Ind. Appl. 2015, 51, 5431–5441. [Google Scholar] [CrossRef]
- Bongiorno, J.; Boschetti, G.; Mariscotti, A. Low-frequency coupling: Phenomena in electric transportation systems. IEEE Electrif. Mag. 2016, 4, 15–22. [Google Scholar] [CrossRef]
- Jabr, R.A.; Dzafic, I. Solution of DC Railway Traction Power Flow Systems Including Limited Network Receptivity. IEEE Trans. Power Syst. 2018, 33, 962–969. [Google Scholar] [CrossRef]
- Alnuman, H.; Gladwin, D.; Foster, M. Electrical Modelling of a DC Railway System with Multiple Trains. Energies 2018, 11, 3211. [Google Scholar] [CrossRef]
- Arboleya, P.; Mohamed, B.; El-Sayed, I. DC Railway Simulation Including Controllable Power Electronic and Energy Storage Devices. IEEE Trans. Power Syst. 2018, 33, 5319–5329. [Google Scholar] [CrossRef]
- Phelps, D. TDC-AER-75-1. Transp. Dev. Corp. 1975, 246–247. [Google Scholar]
- Forsythe, J.B. Light Rail/Rapid Transit: New approaches for the evaluation of energy savings, Part II—On the receptivity of a transit system. IEEE Trans. Ind. Appl. 1980, 16, 665–678. [Google Scholar] [CrossRef]
- Tian, Z.; Weston, P.; Zhao, N.; Hillmansen, S.; Roberts, C.; Chen, L. System energy optimisation strategies for metros with regeneration. Transp. Res. Part C 2017, 75, 120–135. [Google Scholar] [CrossRef]
- Bongiorno, J.; Mariscotti, A. Experimental validation of the electric network model of the Italian 2 × 25 kV 50 Hz railway. In Proceedings of the 20th IMEKO TC4 Symposium on Measurements of Electrical Quantities, Benevento, Italy, 15–17 September 2014; pp. 964–970. [Google Scholar]
- Bongiorno, J.; Mariscotti, A. Robust Estimates for Validation Performance Indexes of Electric Network Models. Int. Rev. Electr. Eng. 2015, 10, 607–615. [Google Scholar] [CrossRef]
- Mariscotti, A. Induced voltage calculation in electric traction systems: Simplified methods, screening factors, and accuracy. IEEE Trans. Intell. Transp. Syst. 2011, 12, 201–210. [Google Scholar] [CrossRef]
- Hemmer, B.; Mariscotti, A.; Wuergler, D. Recommendations for the calculation of the total disturbing return current from electric traction vehicles. IEEE Trans. Power Deliv. 2004, 19, 1190–1197. [Google Scholar] [CrossRef]
- Douglas, H.; Roberts, C.; Hillmansen, S.; Schmid, F. An assessment of available measures to reduce traction energy use in railway networks. Energy Convers. Manag. 2015, 106, 1149–1165. [Google Scholar] [CrossRef]
- Profillidis, V. Railway Engineering; Avebury Technical; Ashgate Publishing Limited: Aldershot, UK, 1995. [Google Scholar]
- Boschetti, G.; Mariscotti, A. The parameters of motion mechanical equations as a source of uncertainty for traction systems simulation. In Proceedings of the 20th IMEKO World Congress, Busan, Republic of Korea, 9–12 September 2012; pp. 897–902. [Google Scholar]
- EN 50641; Railway applications—Fixed installations—Requirements for the Validation of Simulation Tools Used for the Design of Traction Power Supply Systems. Technical Report; CENELEC: Brussels, Belgium, 2014.
- Wong, K.K.; Ho, T.K. Coast control for mass rapid transit railways with searching methods. IEE Proc. Electr. Power Appl. 2004, 151, 365–376. [Google Scholar] [CrossRef]




















| Train No. | Trav. Time (s) | Umean-useful (train) (s) | Average Voltage over Zone (V) | ||||
|---|---|---|---|---|---|---|---|
| 0–10 km | 10–20 km | 20–30 km | 30–40 km | 40–50 km | |||
| 101 (HS) | 1021 [1008–1050] | 3191.1 [3140–3335] | 3150.8 [3059–3248] | 2856.3 [2758–2928] | 2432.2 [2421–2571] | 3081.7 [3037–3225] | 3474.2 [3436–3639] |
| 102 (HS) | 1020 [1009–1051] | 3195.8 [3158–3354] | 3344.6 [3277–3479] | 2471.7 [2392–2539] | 2821.5 [2722–2891] | 3120.6 [3094–3286] | 3176.8 [3025–3212] |
| 103 (HS) | 1021 [1012–1054] | 3191.4 [3142–3336] | 3150.4 [3040–3228] | 2943.0 [2795–2967] | 2511.8 [2405–2554] | 3081.9 [3037–3225] | 3472.1 [3432–3644] |
| 104 (HS) | 1020 [1010–1052] | 3188.7 [3150–3344] | 3313.3 [3169–3365] | 2473.3 [2417–2567] | 2723.1 [2599–2760] | 3109.7 [3057–3247] | 3171.7 [3025–3212] |
| 201 (SUB) | 1983 [1930–2008] | 3331.6 [3292–3496] | 3398.4 [3220–3420] | 3237.1 [3047–3235] | 2890.4 [2743–2913] | 3415.3 [3350–3557] | 3466.9 [3401–3611] |
| Model Parameter | Value |
|---|---|
| Total length | 11 km |
| Number of passenger stations | 12 (6 per track) |
| Mean distance between passenger stations | 900 m |
| Number of TPSs | 4 |
| TPS rating | 2.6 MVA |
| Nominal line voltage | 750 V DC |
| Actual no-load line voltage | 825 V DC |
| Power supply distribution system | 300 mm2 overhead catenary (Cu) |
| Overhead catenary resistance | 59.3 mΩ/km |
| Return circuit resistance (track) | 18.6 mΩ/km |
| Test Identification | Analyzed Parameters | Expected Results | Section/Figures |
|---|---|---|---|
| (A) Headway time | 60–510 s |
| Section 4.1 |
| (B) Catenary cross-section | 250–600 mm2 |
| Section 4.2 |
| (C) No-load line voltage | 750–825 V |
| Section 4.3 |
| (D) Passenger stations distribution along the line | 100–300 m shift regarding even distribution |
| Section 4.4 |
| Passenger Stations | Ref. Scenario S00 | Scenario S01 | Scenario S02 |
|---|---|---|---|
| STN01 | 0 m | 0 m | 0 m |
| STN02 | 900 m | 1000 m | 1000 m |
| STN03 | 1800 m | 2100 m | 2100 m |
| STN04 | 2700 m | 2700 m | 2700 m |
| STN05 | 3600 m | 3600 m | 3600 m |
| STN06 | 4500 m | 4500 m | 4500 m |
| STN07 | 0 m | 0 m | 0 m |
| STN08 | 900 m | 900 m | 600 m |
| STN09 | 1800 m | 1800 m | 1800 m |
| STN10 | 2700 m | 2700 m | 2800 m |
| STN11 | 3600 m | 3900 m | 3900 m |
| STN12 | 4500 m | 4500 m | 4500 m |
Disclaimer/Publisher’s Note: The statements, opinions and data contained in all publications are solely those of the individual author(s) and contributor(s) and not of MDPI and/or the editor(s). MDPI and/or the editor(s) disclaim responsibility for any injury to people or property resulting from any ideas, methods, instructions or products referred to in the content. |
© 2023 by the authors. Licensee MDPI, Basel, Switzerland. This article is an open access article distributed under the terms and conditions of the Creative Commons Attribution (CC BY) license (https://creativecommons.org/licenses/by/4.0/).
Share and Cite
Bhagat, S.; Bongiorno, J.; Mariscotti, A. Influence of Infrastructure and Operating Conditions on Energy Performance of DC Transit Systems. Energies 2023, 16, 3975. https://doi.org/10.3390/en16103975
Bhagat S, Bongiorno J, Mariscotti A. Influence of Infrastructure and Operating Conditions on Energy Performance of DC Transit Systems. Energies. 2023; 16(10):3975. https://doi.org/10.3390/en16103975
Chicago/Turabian StyleBhagat, Sahil, Jacopo Bongiorno, and Andrea Mariscotti. 2023. "Influence of Infrastructure and Operating Conditions on Energy Performance of DC Transit Systems" Energies 16, no. 10: 3975. https://doi.org/10.3390/en16103975
APA StyleBhagat, S., Bongiorno, J., & Mariscotti, A. (2023). Influence of Infrastructure and Operating Conditions on Energy Performance of DC Transit Systems. Energies, 16(10), 3975. https://doi.org/10.3390/en16103975

