Thermal Energy and Luminosity Characterization of an Advanced Ignition System Using a Non-Intrusive Methodology in an Optically Accessible Calorimeter
Abstract
1. Introduction
2. Materials and Methods
2.1. Igniter
2.1.1. Experimental Setup
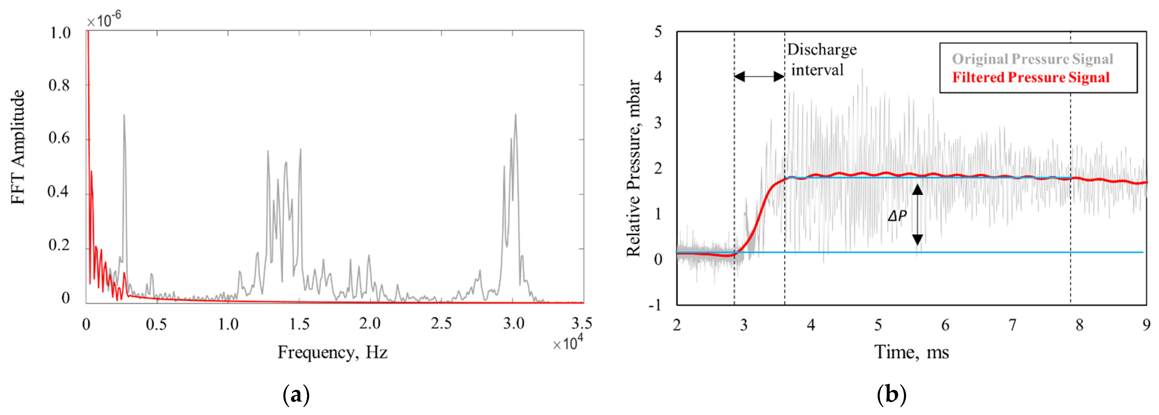
2.1.2. Released Thermal Energy Measurement
2.1.3. Luminosity Analysis
- Background noise characterization and removing. The average grey level value of each pixel in the 20 initial frames with no discharge was computed (Figure 5a). A map of the average noise in the 256 × 256 pixel matrix can be obtained by computing the mean raw image of these 20 frames. The gray levels distribution of such image was found to be predominantly in the range 60–70 (Figure 5b). Once determined, noise was removed, for each frame of the specific series, by subtracting, pixel-by-pixel, the average background map (Figure 5c).
- Filtering: A 2D Gaussian filter with a filter order σ = 1 was applied to reduce the residual noise. A sensitivity campaign was preliminarily realized on the filter type (median, gaussian or no filter at all) and filter order to determine the best setting. Gaussian filter with σ value equal to 1 belongs to a typical range that ensures effective Gaussian filtering [47] and, for this work, it was found to be a good compromise between noise cancellation and boundary conservation. This step allows artifacts and occasional spare pixels to be excluded, which could wrongly influence the final results.
- Thresholding: For all the recorded series, preliminary tests were carried out to estimate the fixed threshold (specifically found to be 10 out of 255) to determine the differences between background and the luminosity emission related to the corona streamer. Such threshold was chosen, taking into consideration the image grey level distribution (Figure 5c), in order to account for the effect of light diffusion, in regions around the streamers’ body, on the computed discharge luminosity level. The value of 10 was selected as a suitable threshold to obtain a compromise in terms of luminosity over- or under-estimation.
- Average grey level lg estimation. Only for the frames in which the discharge is present, the scalar parameter “Average grey level” lg (2) is a measure of the luminous emission of the streamers in a period corresponding to the sensor exposure time, so it basically represents the average brightness of the frame.where N is the number of pixels (256 × 256) and lj the luminosity of the jth pixel.
3. Test Campaign
4. Results and Discussions
4.1. Driving Voltage Sweep
4.2. Branching
4.3. Activation Time Sweep
- ○
- For both gases, a reduction in the angular coefficient m is found as Vd increases. This decrease results to be higher for the air case (see Table 3).
- ○
- At each Vd, nitrogen showed lower m values than air, since, for the same ILg, a lower amount of thermal energy has been recorded. Vice versa, for the same , brighter streamers are present in nitrogen with respect to those analyzed in synthetic air.
- ○
- Positive values of the intercept q, either in air or in nitrogen, are due to the lack of linearity in the low energy–luminosity region (points excluded as already mentioned for fit calculation).
5. Conclusions
- For a fixed activation time in synthetic air test, thermal energy and discharge luminosity show a linear relationship with the driving voltage in a similar manner to nitrogen. At the lowest voltages (close-to-inception conditions), non-linear behavior among the previous quantities is commonly present in both media.
- Considering the same driving voltage, in synthetic air, a simultaneous reduction in released thermal energy and luminosity is detected with respect to pure nitrogen.
- In common with N2, in synthetic air a direct linear correlation between deposited thermal energy and luminosity can be found. It must be noted that different calibration factors between the two media are identified.
- The presence of oxygen modifies the structure of the streamers, resulting in a thicker and less branched morphology in the case of synthetic air with respect to N2.
Author Contributions
Funding
Data Availability Statement
Acknowledgments
Conflicts of Interest
Nomenclature
| ACIS | Advanced Corona Ignition System |
| BDI | Barrier Discharge Igniter |
| EGR | Exhaust Gas Recirculation |
| Er | Energy released to the medium |
| PAI | Plasma Assisted Igniter |
| Chamber pressure after a streamer event | |
| Chamber pressure before a streamer event | |
| SI | Spark Ignition |
| ton | Duration of corona discharge |
| Vd | Driving voltage |
| VdCI | Driving voltage at corona inception |
| VdMAX | Maximum driving voltage |
| Ve | Electrode voltage |
| Vs | Supply voltage |
| lj | Grey level of the jth pixel |
| lg | Frame average grey level |
| Lg | Average grey level trend of a single discharge event |
| Average grey level trend of the 25 discharge events | |
| ILg | Integral luminosity |
| Bomb chamber inner volume | |
| γ | Heat specific ratio |
| ΔP | Pressure gradient due to a streamer event |
References
- Leach, F.; Kalghatgi, G.; Stone, R.; Miles, P. The scope for improving the efficiency and environmental impact of internal combustion engines. Transp. Eng. 2020, 1, 100005. [Google Scholar] [CrossRef]
- Nakata, K.; Nogawa, S.; Takahashi, D.; Yoshihara, Y.; Kumagai, A.; Suzuki, T. Engine Technologies for Achieving 45% Thermal Efficiency of S.I. Engine. SAE Int. J. Engines 2015, 9, 179–192. [Google Scholar] [CrossRef]
- Battistoni, M.; Grimaldi, C.N.; Cruccolini, V.; Discepoli, G.; De Cesare, M. Assessment of Port Water Injection Strategies to Control Knock in a GDI Engine through Multi-Cycle CFD Simulations; SAE Technical Paper; SAE International: Warrendale, PA, USA, 2017. [Google Scholar] [CrossRef]
- da Rocha, D.D.; Radicchi, F.D.C.; Lopes, G.S.; Brunocilla, M.F.; Gomes, P.C.D.F.; Santos, N.D.S.A.; Malaquias, A.C.T.; Filho, F.A.R.; Baêta, J.G.C. Study of the water injection control parameters on combustion performance of a spark-ignition engine. Energy 2021, 217, 119346. [Google Scholar] [CrossRef]
- Zembi, J.; Mariani, F.; Battistoni, M. Large Eddy Simulation of Ignition and Combustion Stability in a Lean SI Optical Access Engine; SAE Technical Paper; SAE International: Warrendale, PA, USA, 2019. [Google Scholar] [CrossRef]
- Tornatore, C.; Bozza, F.; De Bellis, V.; Teodosio, L.; Valentino, G.; Marchitto, L. Experimental and numerical study on the influence of cooled EGR on knock tendency, performance and emissions of a downsized spark-ignition engine. Energy 2019, 172, 968–976. [Google Scholar] [CrossRef]
- Jiang, L.J.; Shy, S.; Nguyen, M.T.; S.Y., S.; Yu, D.W. Spark ignition probability and minimum ignition energy transition of the lean iso-octane/air mixture in premixed turbulent combustion. Combust. Flame 2018, 187, 87–95. [Google Scholar] [CrossRef]
- Wei, H.; Zhang, R.; Chen, L.; Pan, J.; Wang, X. Effects of high ignition energy on lean combustion characteristics of natural gas using an optical engine with a high compression ratio. Energy 2021, 223, 120053. [Google Scholar] [CrossRef]
- Chen, L.; Wei, H.; Zhang, R.; Pan, J.; Zhou, L.; Feng, D. Effects of spark plug type and ignition energy on combustion performance in an optical SI engine fueled with methane. Appl. Therm. Eng. 2018, 148, 188–195. [Google Scholar] [CrossRef]
- Discepoli, G.; Cruccolini, V.; Dal Re, M.; Zembi, J.; Battistoni, M.; Mariani, F.; Grimaldi, C. Experimental assessment of spark and corona igniters energy release. Energy Procedia 2018, 148, 1262–1269. [Google Scholar] [CrossRef]
- Kim, K.; Tambasco, C.; Hall, M.; Matthews, R. Experimental and Modeling Study of Spark Plug Electrode Heat Transfer and Thermal Energy Deposition. SAE Tech. Pap. 2021. [Google Scholar] [CrossRef]
- Salvi, B.; Subramanian, K. Experimental investigation and phenomenological model development of flame kernel growth rate in a gasoline fuelled spark ignition engine. Appl. Energy 2015, 139, 93–103. [Google Scholar] [CrossRef]
- Yin, X.; Sun, N.; Sun, T.; Shen, H.; Mehra, R.K.; Liu, J.; Wang, Y.; Yang, B.; Zeng, K. Experimental investigation the effects of spark discharge characteristics on the heavy-duty spark ignition natural gas engine at low load condition. Energy 2022, 239, 122244. [Google Scholar] [CrossRef]
- Abidin, Z.; Chadwell, C.J. Parametric Study and Secondary Circuit Model Calibration Using Spark Calorimeter Testing; SAE Technical Paper; SAE International: Detroit, MI, USA, 2015. [Google Scholar]
- Wolk, B.M.; Ekoto, I. Calorimetry and Imaging of Plasma Produced by a Pulsed Nanosecond Discharge Igniter in EGR Gases at Engine-Relevant Densities. SAE Int. J. Engines 2017, 10, 970–983. [Google Scholar] [CrossRef]
- Discepoli, G.; Cruccolini, V.; Ricci, F.; Di Giuseppe, A.; Papi, S.; Grimaldi, C. Experimental characterisation of the thermal energy released by a Radio-Frequency Corona Igniter in nitrogen and air. Appl. Energy 2020, 263, 114617. [Google Scholar] [CrossRef]
- Ricci, F.; Cruccolini, V.; Discepoli, G.; Petrucci, L.; Grimaldi, C.; Papi, S. Luminosity and Thermal Energy Measurement and Comparison of a Dielectric Barrier Discharge in an Optical Pressure-Based Calorimeter at Engine Relevant Conditions; SAE Technical Paper; SAE International: Southfield, MI, USA, 2021. [Google Scholar] [CrossRef]
- Costa, M.; Marchitto, L.; Merola, S.; Sorge, U. Study of mixture formation and early flame development in a research GDI (gasoline direct injection) engine through numerical simulation and UV-digital imaging. Energy 2014, 77, 88–96. [Google Scholar] [CrossRef]
- Merola, S.S.; Marchitto, L.; Tornatore, C.; Valentino, G.; Irimescu, A. UV-visible Optical Characterization of the Early Combustion Stage in a DISI Engine Fuelled with Butanol-Gasoline Blend. SAE Int. J. Engines 2013, 6, 1953–1969. [Google Scholar] [CrossRef]
- Cruccolini, V.; Grimaldi, C.N.; Discepoli, G.; Ricci, F.; Petrucci, L.; Papi, S. An Optical Method to Characterize Streamer Variability and Streamer-to-Flame Transition for Radio-Frequency Corona Discharges. Appl. Sci. 2020, 10, 2275. [Google Scholar] [CrossRef]
- Karvountzis-Kontakiotis, A.; Vafamehr, H.; Cairns, A.; Peckham, M. Study on pollutants formation under knocking combustion conditions using an optical single cylinder SI research engine. Energy 2018, 158, 899–910. [Google Scholar] [CrossRef]
- Irimescu, A.; Marchitto, L.; Merola, S.S.; Tornatore, C.; Valentino, G. Evaluation of different methods for combined thermodynamic and optical analysis of combustion in spark ignition engines. Energy Convers. Manag. 2014, 87, 914–927. [Google Scholar] [CrossRef]
- Cruccolini, V.; Discepoli, G.; Cimarello, A.; Battistoni, M.; Mariani, F.; Grimaldi, C.N.; Dal Re, M. Lean combustion analysis using a corona discharge igniter in an optical engine fueled with methane and a hydrogen-methane blend. Fuel 2020, 259, 116290. [Google Scholar] [CrossRef]
- Shawal, S.; Goschutz, M.; Schild, M.; Kaiser, S.; Neurohr, M.; Pfeil, J.; Koch, T. High-Speed Imaging of Early Flame Growth in Spark-Ignited Engines Using Different Imaging Systems via Endoscopic and Full Optical Access. SAE Int. J. Engines 2016, 9, 704–718. [Google Scholar] [CrossRef]
- Cheng, Q.; Ahmad, Z.; Kaario, O.; Larmi, M. Simultaneous Visualization of Natural Luminosity and Chemiluminescence of Dual Fuel Combustion in an Optically Accessible Engine; SAE Technical Paper; SAE International: Warrendale, PA, USA, 2020. [Google Scholar] [CrossRef]
- Jeon, J. Spatiotemporal flame propagations, combustion and solid particle emissions from lean and stoichiometric gasoline direct injection engine operation. Energy 2020, 210, 118652. [Google Scholar] [CrossRef]
- Mazacioglu, A.; Gross, M.; Kern, J.; Sick, V. Infrared Borescopic Evaluation of High-Energy and Long-Duration Ignition Systems for Lean/Dilute Combustion in Heavy-Duty Natural-Gas Engines; SAE Technical Paper; SAE International: Warrendale, PA, USA, 2018. [Google Scholar] [CrossRef]
- Starikovskaia, S.M. Plasma assisted ignition and combustion. J. Phys. D Appl. Phys. 2006, 39, R265–R299. [Google Scholar] [CrossRef]
- Starikovskiy, A.; Aleksandrov, N. Plasma-assisted ignition and combustion. Prog. Energy Combust. Sci. 2013, 39, 61–110. [Google Scholar] [CrossRef]
- Ju, Y.; Sun, W. Plasma assisted combustion: Dynamics and chemistry. Prog. Energy Combust. Sci. 2015, 48, 21–83. [Google Scholar] [CrossRef]
- Padala, S.; Nagaraja, S.; Ikeda, Y.; Le, M.K. Extension of Dilution Limit in Propane-Air Mixtures Using Microwave Discharge Igniter; SAE Technical Paper; SAE International: Warrendale, PA, USA, 2017. [Google Scholar] [CrossRef]
- Marko, F.; König, G.; Schöffler, T.; Bohne, S.; Dinkelacker, F. Comparative Optical and Thermodynamic Investigations of High Frequency Corona- and Spark-Ignition on a CV Natural Gas Research Engine Operated with Charge Dilution by Exhaust Gas Recirculation. In Ignition Systems for Gasoline Engines; International Conference on Ignition Systems for Gasoline Engines; Springer International Publishing: Cham, Switzerland, 2017; pp. 293–314. [Google Scholar] [CrossRef]
- Cimarello, A.; Cruccolini, V.; Discepoli, G.; Battistoni, M.; Mariani, F.; Grimaldi, C.; Re, M.D. Combustion Behavior of an RF Corona Ignition System with Different Control Strategies; SAE Technical Paper; SAE International: Warrendale, PA, USA, 2018. [Google Scholar] [CrossRef]
- Cruccolini, V.; Scarcelli, R.; Battistoni, M.; Grimaldi, C.N.; Re, M.A.D.; Breden, D.; Raja, L.L. Multidimensional modeling of non-equilibrium plasma generated by a radio-frequency corona discharge. Plasma Sources Sci. Technol. 2020, 29, 115013. [Google Scholar] [CrossRef]
- Shiraishi, T. A Study of Low Temperature Plasma-Assisted Gasoline HCCI Combustion. SAE Int. J. Engines 2019, 12, 31–44. [Google Scholar] [CrossRef]
- Shiraishi, T.; Urushihara, T. Fundamental Analysis of Combustion Initiation Characteristics of Low Temperature Plasma Ignition for Internal Combustion Gasoline Engine; SAE Technical Paper; SAE International: Warrendale, PA, USA, 2011. [Google Scholar] [CrossRef]
- Ricci, F.; Petrucci, L.; Cruccolini, V.; Discepoli, G.; Grimaldi, C.N.; Papi, S. Investigation of the Lean Stable Limit of a Barrier Discharge Igniter and of a Streamer-Type Corona Igniter at Different Engine Loads in a Single-Cylinder Research Engine. Proceedings 2020, 58, 11. [Google Scholar] [CrossRef]
- Cruccolini, V.; Discepoli, G.; Ricci, F.; Petrucci, L.; Grimaldi, C.; Papi, S.; Re, M.D. Comparative Analysis between a Barrier Discharge Igniter and a Streamer-Type Radio-Frequency Corona Igniter in an Optically Accessible Engine in Lean Operating Conditions; SAE Technical Paper; SAE International: Warrendale, PA, USA, 2020. [Google Scholar] [CrossRef]
- Zembi, J.; Ricci, F.; Grimaldi, C.; Battistoni, M. Numerical Simulation of the Early Flame Development Produced by a Barrier Discharge Igniter in an Optical Access Engine; SAE Technical Paper; SAE International: Warrendale, PA, USA, 2021. [Google Scholar] [CrossRef]
- Toyota, H.; Zama, S.; Akamine, Y.; Matsuoka, S.; Hidaka, K. Gaseous electrical discharge characteristics in air and nitrogen at cryogenic temperature. IEEE Trans. Dielectr. Electr. Insul. 2002, 9, 891–898. [Google Scholar] [CrossRef]
- Eliasson, B.; Kogelschatz, U. Modeling and applications of silent discharge plasmas. IEEE Trans. Plasma Sci. 1991, 19, 309–323. [Google Scholar] [CrossRef]
- Brandenburg, R. Corrigendum: Dielectric barrier discharges: Progress on plasma sources and on the understanding of regimes and single filaments (Plasma Sources Science and Technology (2017) 26 (053001)). Plasma Sources Sci. Technol. 2018, 27, 079501. [Google Scholar] [CrossRef]
- Gas, L. Available online: https://www.linde-gas.com/en/products_and_supply/gases_atmospheric/air.html (accessed on 1 February 2022).
- Hoder, T.; Bonaventura, Z.; Bourdon, A.; Šimek, M. Sub-nanosecond delays of light emitted by streamer in atmospheric pressure air: Analysis of N2(C3Πu) and N2+(B2Σu+) emissions and fundamental streamer structure. J. Appl. Phys. 2015, 117, 073302. [Google Scholar] [CrossRef]
- Rezaei, F.; Abbasi-Firouzjah, M.; Shokri, B. Investigation of antibacterial and wettability behaviours of plasma-modified PMMA films for application in ophthalmology. J. Phys. D Appl. Phys. 2014, 47, 085401. [Google Scholar] [CrossRef]
- Vision Research Inc. Phantom High Speed. 2019. Available online: https://w3.pppl.gov/~szweben/Cmod%20guide/v710.pdf/ (accessed on 1 February 2022).
- Cruccolini, V.; Discepoli, G.; Ricci, F.; Grimaldi, C.N.; Di Giuseppe, A. Optical and Energetic Investigation of an Advanced Corona Ignition System in a Pressure-Based Calorimeter. E3S Web Conf. 2020, 197, 06019. [Google Scholar] [CrossRef]
- Semmlow, J. Two-Dimensional Signals—Basic Image Analysis. In Circuits, Signals and Systems for Bioengineers; Academic Press: Cambridge, MA, USA, 2018; pp. 419–526. [Google Scholar] [CrossRef]
- Aleksandrov, N.L.; Bazelyan, E.M.; A Novitskii, G. The effect of small O2addition on the properties of a long positive streamer in Ar. J. Phys. D Appl. Phys. 2001, 34, 1374–1378. [Google Scholar] [CrossRef]
- Chvyreva, A.; Pancheshnyi, S.; Christen, T.; Pemen, A.J.M. Raether–Meek criterion for prediction of electrodeless discharge inception on a dielectric surface in different gases. J. Phys. D Appl. Phys. 2018, 51, 115202. [Google Scholar] [CrossRef]
- Meyer, H.K.H.; Marskar, R.; Gjemdal, H.; Mauseth, F. Corrigendum: Streamer propagation along a profiled dielectric surface (2020 Plasma Sources Sci. Technol. 29 115015). Plasma Sources Sci. Technol. 2021, 30, 069501. [Google Scholar] [CrossRef]
- Uddi, M.; Jiang, N.; Mintusov, E.; Adamovich, I.; Lempert, W.R. Atomic oxygen measurements in air and air/fuel nanosecond pulse discharges by two photon laser induced fluorescence. Proc. Combust. Inst. 2009, 32, 929–936. [Google Scholar] [CrossRef]
- Ono, R.; Oda, T. Formation and structure of primary and secondary streamers in positive pulsed corona discharge—Effect of oxygen concentration and applied voltage. J. Phys. D Appl. Phys. 2003, 36, 1952–1958. [Google Scholar] [CrossRef]
- Nijdam, S.; Teunissen, J.; Ebert, U. The physics of streamer discharge phenomena. Plasma Sources Sci. Technol. 2020, 29, 103001. [Google Scholar] [CrossRef]
- Nijdam, S. Experimental investigations on the physics of streamers. Ph.D. Thesis, Technische Universiteit Eindhoven, Eindhoven, The Netherlands, 2011. [Google Scholar]
- Bagheri, B.; Teunissen, J. The effect of the stochasticity of photoionization on 3D streamer simulations. Plasma Sources Sci. Technol. 2019, 28, 045013. [Google Scholar] [CrossRef]
- Luque, A.; Ebert, U. Electron density fluctuations accelerate the branching of positive streamer discharges in air. Phys. Rev. E 2011, 84, 046411. [Google Scholar] [CrossRef] [PubMed]
- A Kulikovsky, A. The role of photoionization in positive streamer dynamics. J. Phys. D Appl. Phys. 2000, 33, 1514–1524. [Google Scholar] [CrossRef]
- Pancheshnyi, S.V.; Starikovskaia, S.M.; Starikovskii, A.Y. Role of photoionization processes in propagation of cathode-directed streamer. J. Phys. D Appl. Phys. 2001, 34, 105–115. [Google Scholar] [CrossRef]
- Li, Y.; Dijcks, S.; Sun, G.; Wen, J.; Xu, Y.-Y.; Zhang, G.-J.; Ebert, U.; Nijdam, S. Characterizing streamer branching in N2–O2 mixtures by 2D peak-finding. Plasma Sources Sci. Technol. 2020, 29, 03LT02. [Google Scholar] [CrossRef]
- Chen, S.; Heijmans, L.C.J.; Zeng, R.; Nijdam, S.; Ebert, U. Nanosecond repetitively pulsed discharges in N2–O2 mixtures: Inception cloud and streamer emergence. J. Phys. D Appl. Phys. 2015, 48, 175201. [Google Scholar] [CrossRef]
- Yi, W.J.; Williams, P.F. Experimental study of streamers in pure N2 and N2/O2 mixtures and a ≈13 cm gap. J. Phys. D Appl. Phys. 2002, 35, 205–218. [Google Scholar] [CrossRef]
- Briels, T.M.P.; Van Veldhuizen, E.M.; Ebert, U. Positive streamers in air and nitrogen of varying density: Experiments on similarity laws. J. Phys. D Appl. Phys. 2008, 41, 234008. [Google Scholar] [CrossRef]
- Chen, S.; Wang, F.; Sun, Q.; Zeng, R. Branching characteristics of positive streamers in nitrogen-oxygen gas mixtures. IEEE Trans. Dielectr. Electr. Insul. 2018, 25, 1128–1134. [Google Scholar] [CrossRef]
- Petrucci, L.; Ricci, F.; Mariani, F.; Discepoli, G. A Development of a New Image Analysis Technique for Detecting the Flame Front Evolution in Spark Ignition Engine under Lean Condition. Vehicles 2022, 4, 10. [Google Scholar] [CrossRef]
- Petrucci, L.; Ricci, F.; Martinelli, R.; Mariani, F. Detecting the Flame Front Evolution in Spark-Ignition Engine under Lean Condition Using the Mask R-CNN Approach. Vehicles 2022, 4, 53. [Google Scholar] [CrossRef]















| Feature | Unit | Value |
|---|---|---|
| Image Resolution | pixel | 256 × 256 |
| Spatial Resolution | μm/pixel | 54 |
| Bit Depth | bit | 8 |
| Exposure Time | μs | 12.16 |
| Sampling Rate | fps | 79,000 |
| Number of consecutive events recorded | - | 25 |
| Medium type | Air (80%O2–20%N2) | |||
| Medium pressure [bar] | 8 | |||
| Test performed | Vd sweep | ton sweep | ||
| Driving voltage [V] | VdCI–VdMAX | 35 | 45 | 55 |
| Activation time [μs] | 300 | 50, 100, 150, 200, 250, 300, 600, 900, 1200, 1500 | ||
| Driving Voltage Vd [V] | Angular Coefficient m [mJ] | Intercept q [mJ] | ||
|---|---|---|---|---|
| Air | Nitrogen | Air | Nitrogen | |
| 35 V | 0.022 | 0.013 | 0.40 | 0.46 |
| 45 V | 0.018 | 0.011 | 1.12 | 0.09 |
| 55 V | 0.017 | 0.010 | 1.19 | 0.18 |
Disclaimer/Publisher’s Note: The statements, opinions and data contained in all publications are solely those of the individual author(s) and contributor(s) and not of MDPI and/or the editor(s). MDPI and/or the editor(s) disclaim responsibility for any injury to people or property resulting from any ideas, methods, instructions or products referred to in the content. |
© 2023 by the authors. Licensee MDPI, Basel, Switzerland. This article is an open access article distributed under the terms and conditions of the Creative Commons Attribution (CC BY) license (https://creativecommons.org/licenses/by/4.0/).
Share and Cite
Martinelli, R.; Ricci, F.; Discepoli, G.; Petrucci, L.; Papi, S.; Grimaldi, C.N. Thermal Energy and Luminosity Characterization of an Advanced Ignition System Using a Non-Intrusive Methodology in an Optically Accessible Calorimeter. Energies 2023, 16, 520. https://doi.org/10.3390/en16010520
Martinelli R, Ricci F, Discepoli G, Petrucci L, Papi S, Grimaldi CN. Thermal Energy and Luminosity Characterization of an Advanced Ignition System Using a Non-Intrusive Methodology in an Optically Accessible Calorimeter. Energies. 2023; 16(1):520. https://doi.org/10.3390/en16010520
Chicago/Turabian StyleMartinelli, Roberto, Federico Ricci, Gabriele Discepoli, Luca Petrucci, Stefano Papi, and Carlo N. Grimaldi. 2023. "Thermal Energy and Luminosity Characterization of an Advanced Ignition System Using a Non-Intrusive Methodology in an Optically Accessible Calorimeter" Energies 16, no. 1: 520. https://doi.org/10.3390/en16010520
APA StyleMartinelli, R., Ricci, F., Discepoli, G., Petrucci, L., Papi, S., & Grimaldi, C. N. (2023). Thermal Energy and Luminosity Characterization of an Advanced Ignition System Using a Non-Intrusive Methodology in an Optically Accessible Calorimeter. Energies, 16(1), 520. https://doi.org/10.3390/en16010520

