Investigation on the Properties of Flame-Retardant Phase Change Material and Its Application in Battery Thermal Management
Abstract
1. Introduction
2. Experiment
2.1. Materials and Preparation of RPCMs
2.2. Performance Testing and Characterization
2.3. Construction and Testing of the Thermal Management Platform
3. Results
3.1. Leakage Rate
3.2. XRD
3.3. The LOI and the UL-94
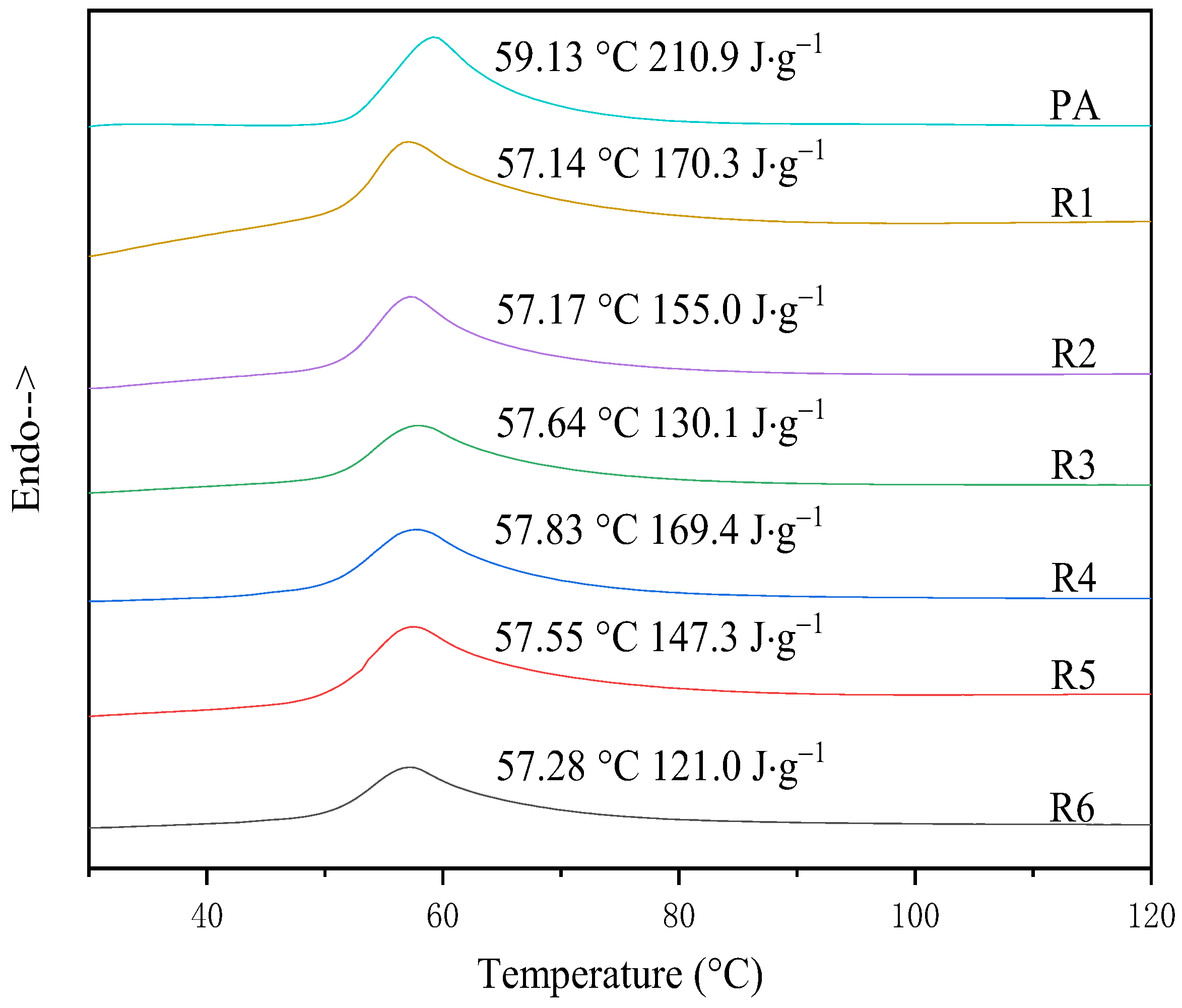
3.4. Thermal Conductivity and DSC
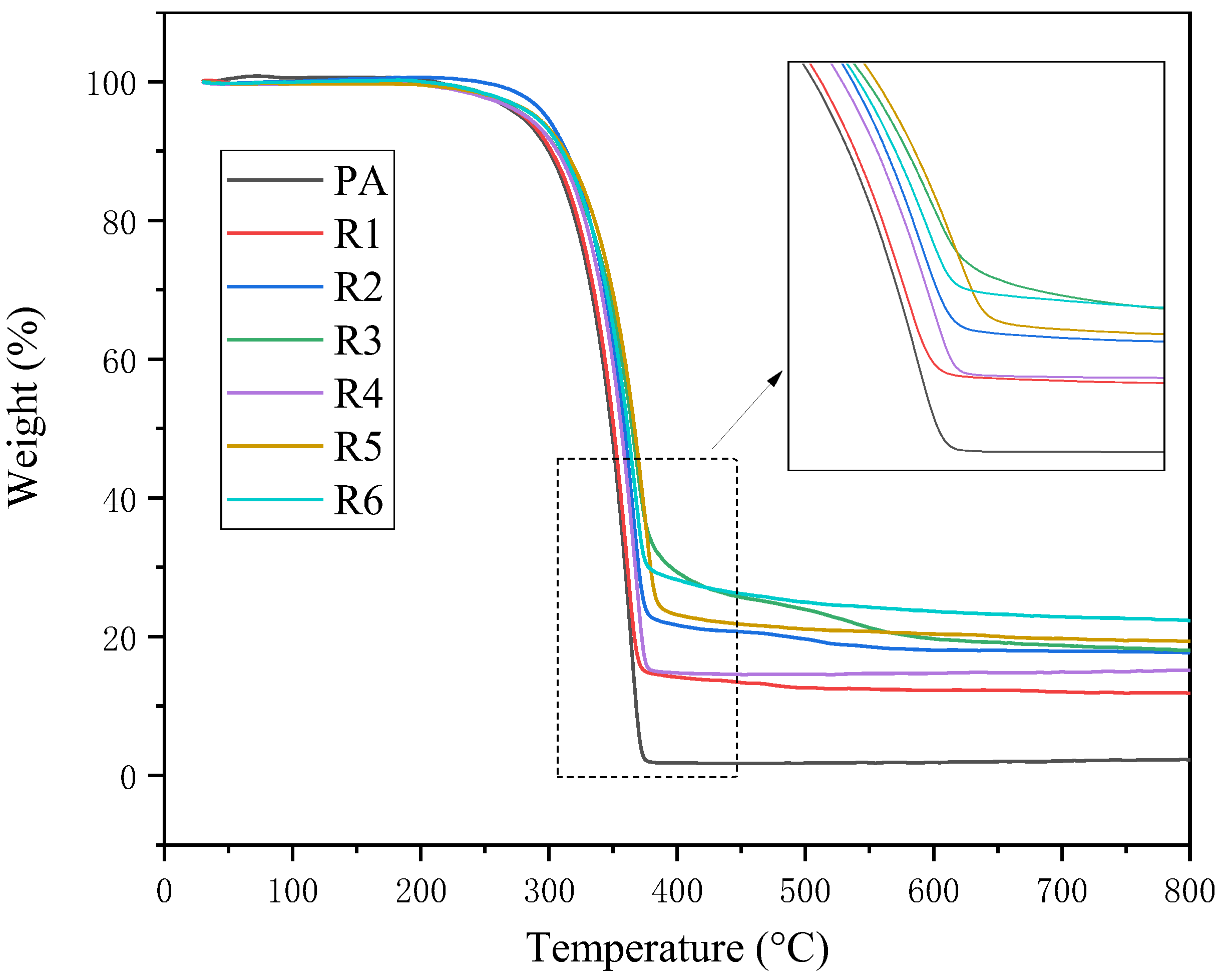
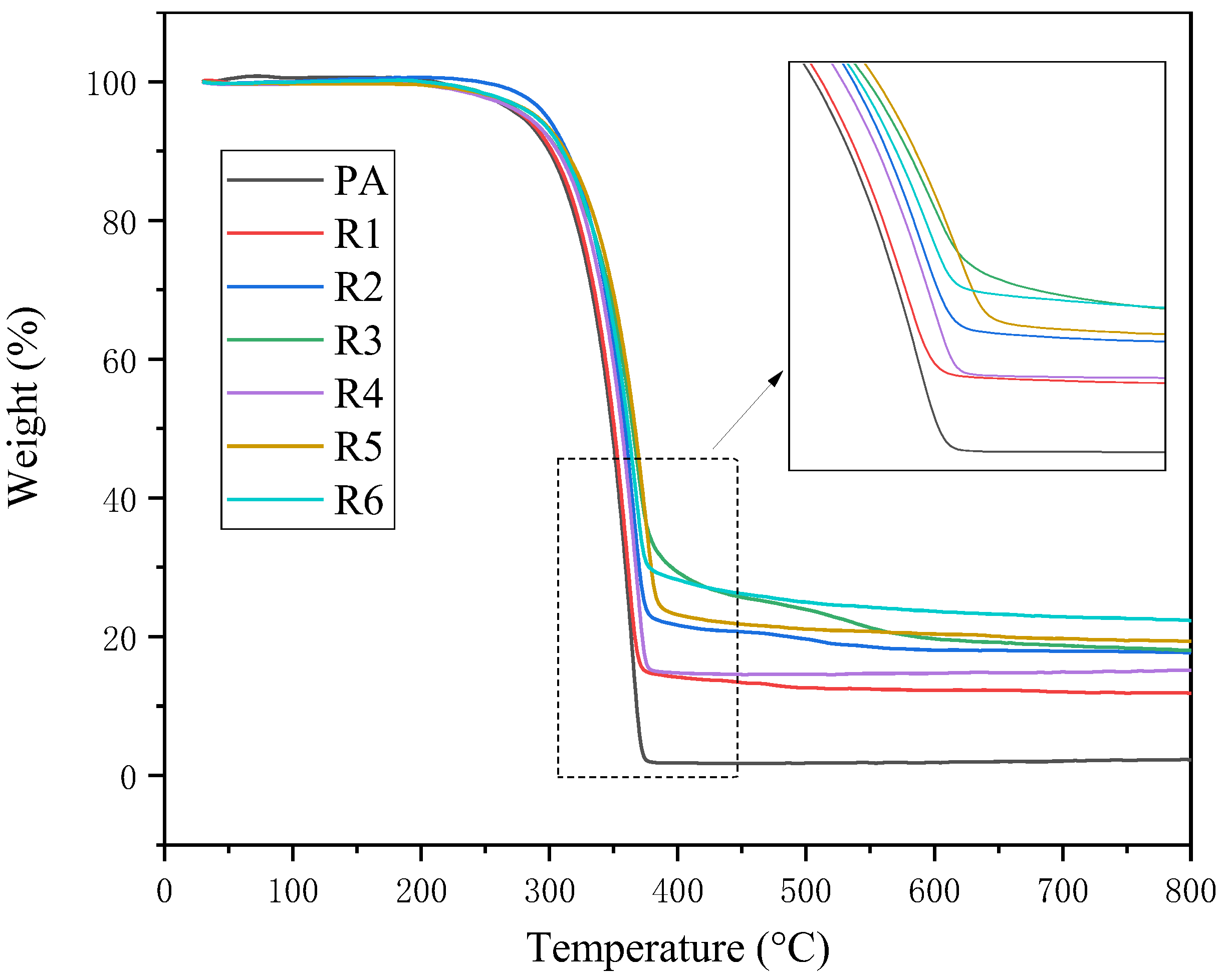
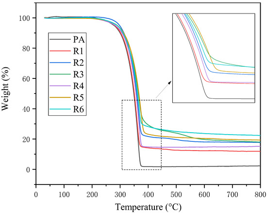
3.5. TG
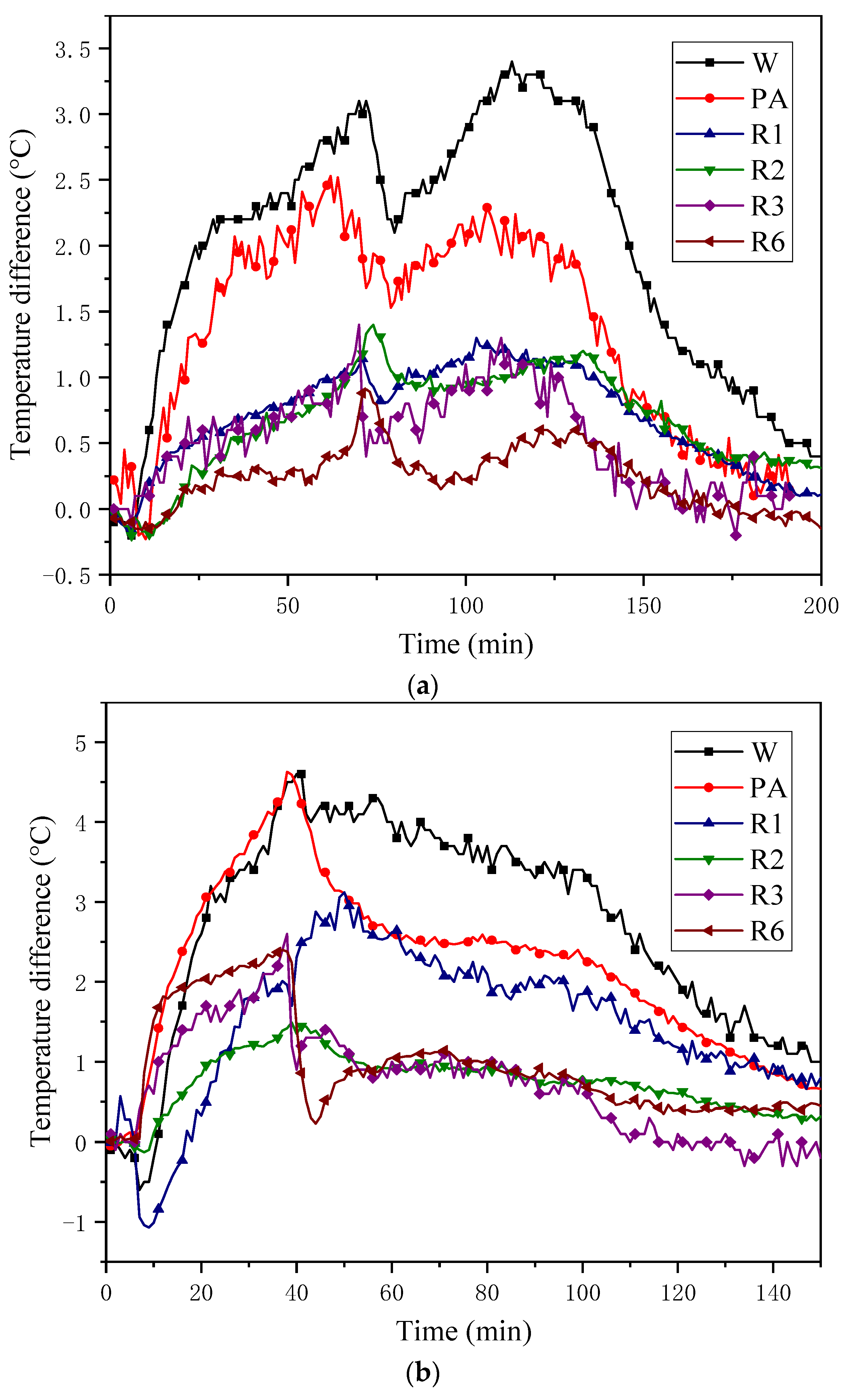
3.6. BTMS
3.6.1. Battery
3.6.2. Batteries
3.7. Fire Retardant Mechanism
4. Conclusions
- (1)
- The addition of kaolinite can boost the thermal stability of PCM in multiple thermal cycles. It is found that the cooperative use of kaolinite can argument the LOI value of materials by observing the flame retardancy of PCMs.
- (2)
- The TG results indicate that the addition of flame-retardant can significantly increase the residual carbon content of PCM at 800 °C. The addition of 10% flame-retardant can rise the residual carbon content of the material from 2.3% to 11.8%. The addition of kaolinite also has a synergistic effect, and the residual carbon content of R6 is greater than that of R3.
- (3)
- Flame-retardant PCMs show good cooling effect in the thermal management of LIB. Compared with pure PA cooling, RPCM reduces the peak temperature of a single cell by 12 °C (3 C) and the peak temperature of the battery module by 20.92 °C (3 C). The temperature difference of the battery module should be kept within 5 °C at 3 C.
Author Contributions
Funding
Data Availability Statement
Conflicts of Interest
References
- Kong, Q.; Zhu, H.; Huang, S.; Wu, T.; Zhu, F.; Zhang, Y.; Wang, Y.; Zhang, J. Influence of multiply modified FeCu-montmorillonite on fire safety and mechanical performances of epoxy resin nanocomposites. Thermochim. Acta 2022, 707, 179112. [Google Scholar] [CrossRef]
- Ouyang, D.; Weng, J.; Chen, M.; Zhu, Y.; Wang, J.; Wang, Z. A comparative study on safety and electrochemical characteristics of cylindrical lithium-ion cells with various formats. Process Saf. Environ. Prot. 2022, 161, 126–135. [Google Scholar] [CrossRef]
- Weng, J.; Huang, Q.; Li, X.; Zhang, G.; Ouyang, D.; Chen, M.; Yuen, A.C.Y.; Li, A.; Lee, E.W.M.; Yang, W.; et al. Safety issue on PCM-based battery thermal management: Material thermal stability and system hazard mitigation. Energy Storage Mater. 2022, 53, 580–612. [Google Scholar] [CrossRef]
- Weng, J.; Xiao, C.; Ouyang, D.; Yang, X.; Chen, M.; Zhang, G.; Yuen, R.K.K.; Wang, J. Mitigation effects on thermal runaway propagation of structure-enhanced phase change material modules with flame retardant additives. Energy 2022, 239, 122087. [Google Scholar] [CrossRef]
- Ouyang, D.; Weng, J.; Chen, M.; Wang, J.; Wang, Z. Study on topographic, electrochemical, and safety characteristics of lithium-ion cells after long-term storage at abusive-temperature environments. Int. J. Energy Res. 2022, 46, 11903–11913. [Google Scholar] [CrossRef]
- Ouyang, D.; Weng, J.; Chen, M.; Wang, J. What a role does the safety vent play in the safety of 18650-size lithium-ion batteries? Process Saf. Environ. Prot. 2022, 159, 433–441. [Google Scholar] [CrossRef]
- Zhang, X.; Li, Z.; Luo, L.; Fan, Y.; Du, Z. A review on thermal management of lithium-ion batteries for electric vehicles. Energy 2022, 238, 121652. [Google Scholar] [CrossRef]
- Chen, M.; Zhang, S.; Zhao, L.; Weng, J.; Ouyang, D.; Chen, Q.; Kong, Q.; Wang, J. Preparation of thermally conductive composite phase change materials and its application in lithium-ion batteries thermal management. J. Energy Storage 2022, 52, 104857. [Google Scholar] [CrossRef]
- Tete, P.R.; Gupta, M.M.; Joshi, S.S. Developments in battery thermal management systems for electric vehicles: A technical review. J. Energy Storage 2021, 35, 102255. [Google Scholar] [CrossRef]
- Wu, S.; Yan, T.; Kuai, Z.; Pan, W. Thermal conductivity enhancement on phase change materials for thermal energy storage: A review. Energy Storage Mater. 2020, 25, 251–295. [Google Scholar] [CrossRef]
- Al-Zareer, M.; Dincer, I.; Rosen, M.A. A review of novel thermal management systems for batteries. Int. J. Energy Res. 2018, 42, 3182–3205. [Google Scholar] [CrossRef]
- Bibin, C.; Devan, P.K.; Senthil Kumar, S.; Gopinath, S.; Sheeja, R.; Kanthavelkumaran, N.; Gobinath, S.; Ashok, K.G. Thermal performance of Lithium-Ion battery pack using forced air circulation system. Mater. Today Proc. 2021, 46, 3670–3676. [Google Scholar] [CrossRef]
- Ding, Y.; Ji, H.; Wei, M.; Liu, R. Effect of liquid cooling system structure on lithium-ion battery pack temperature fields. Int. J. Heat Mass Transf. 2022, 183, 122178. [Google Scholar] [CrossRef]
- Zhang, J.; Liu, H.; Zheng, M.; Chen, M.; Zhao, L.; Du, D. Numerical study on a preheating method for lithium-ion batteries under cold weather conditions using phase change materials coupled with heat films. J. Energy Storage 2022, 47, 103651. [Google Scholar] [CrossRef]
- Chen, M.; Zhang, S.; Wang, G.; Weng, J.; Ouyang, D.; Wu, X.; Zhao, L.; Wang, J. Experimental Analysis on the Thermal Management of Lithium-Ion Batteries Based on Phase Change Materials. Appl. Sci. 2020, 10, 7354. [Google Scholar] [CrossRef]
- Ianniciello, L.; Biwolé, P.H.; Achard, P. Electric vehicles batteries thermal management systems employing phase change materials. J. Power Sources 2018, 378, 383–403. [Google Scholar] [CrossRef]
- Chen, M.; Cui, Y.; Ouyang, D.; Weng, J.; Liu, J.; Zhao, L.; Wang, J. Experimental study on the hybrid carbon based phase change materials for thermal management performance of lithium-ion battery module. Int. J. Energy Res. 2022, 46, 17247–17261. [Google Scholar] [CrossRef]
- Zou, D.; Liu, X.; He, R.; Zhu, S.; Bao, J.; Guo, J.; Hu, Z.; Wang, B. Preparation of a novel composite phase change material (PCM) and its locally enhanced heat transfer for power battery module. Energy Convers. Manag. 2019, 180, 1196–1202. [Google Scholar] [CrossRef]
- Li, J.; Zuo, X.; Zhao, X.; Li, D.; Yang, H. Stearic acid hybridizing kaolinite as shape-stabilized phase change material for thermal energy storage. Appl. Clay Sci. 2019, 183, 105358. [Google Scholar] [CrossRef]
- Weng, J.; Xiao, C.; Yang, X.; Ouyang, D.; Chen, M.; Zhang, G.; Lee Waiming, E.; Kit Yuen, R.K.; Wang, J. An energy-saving battery thermal management strategy coupling tubular phase-change-material with dynamic liquid cooling under different ambient temperatures. Renew. Energy 2022, 195, 918–930. [Google Scholar] [CrossRef]
- Mei, J.; Shi, G.; Liu, H.; Wang, Z.; Chen, M. Investigation on the optimization strategy of phase change material thermal management system for lithium-ion battery. J. Energy Storage 2022, 55, 105365. [Google Scholar] [CrossRef]
- Qu, J.; Ke, Z.; Zuo, A.; Rao, Z. Experimental investigation on thermal performance of phase change material coupled with three-dimensional oscillating heat pipe (PCM/3D-OHP) for thermal management application. Int. J. Heat Mass Transf. 2019, 129, 773–782. [Google Scholar] [CrossRef]
- Xu, L.; Liu, X.; An, Z.; Yang, R. EG-based coatings for flame retardance of shape stabilized phase change materials. Polym. Degrad. Stab. 2019, 161, 114–120. [Google Scholar] [CrossRef]
- Ribeiro, S.P.S.; Martins, R.C.; Estevão, L.R.M.; Nascimento, M.A.C.; Nascimento, R.S.V. Microscopy as a tool to investigate the influence of ammonium polyphosphate particle size on the flame retardant properties of polymer composites. Microsc. Res. Tech. 2020, 83, 276–286. [Google Scholar] [CrossRef]
- Liu, D.; Hu, A. The Influence of Environmentally Friendly Flame Retardants on the Thermal Stability of Phase Change Polyurethane Foams. Materials 2020, 13, 520. [Google Scholar] [CrossRef]
- Jia, L.; Huang, W.; Zhao, Y.; Wen, S.; Yu, Z.; Zhang, Z. Ultra-light polylactic acid/combination composite foam: A fully biodegradable flame retardant material. Int. J. Biol. Macromol. 2022, 220, 754–765. [Google Scholar] [CrossRef]
- Fan, H.; Gu, X.; Zhang, S.; Liu, F.; Liao, Y.; Tang, W. Synergistic effect between novel triazine-based charring agent and modified kaolinite: An efficient system for fire hazard and aging suppression of epoxy resin. Polym. Degrad. Stab. 2022, 204, 110109. [Google Scholar] [CrossRef]
- Ullah, S.; Ahmad, F.; Shariff, A.M.; Bustam, M.A. Synergistic effects of kaolin clay on intumescent fire retardant coating composition for fire protection of structural steel substrate. Polym. Degrad. Stab. 2014, 110, 91–103. [Google Scholar] [CrossRef]
- Li, Y.-M.; Hu, S.-L.; Wang, D.-Y. Polymer-based ceramifiable composites for flame retardant applications: A review. Compos. Commun. 2020, 21, 100405. [Google Scholar] [CrossRef]
- Isitman, N.A.; Kaynak, C. Nanoclay and carbon nanotubes as potential synergists of an organophosphorus flame-retardant in poly(methyl methacrylate). Polym. Degrad. Stab. 2010, 95, 1523–1532. [Google Scholar] [CrossRef]
- Zia-ul-Mustafa, M.; Ahmad, F.; Ullah, S.; Amir, N.; Gillani, Q.F. Thermal and pyrolysis analysis of minerals reinforced intumescent fire retardant coating. Prog. Org. Coat. 2017, 102, 201–216. [Google Scholar] [CrossRef]
- Weng, J.W.; Ouyang, D.X.; Liu, Y.H.; Chen, M.Y.; Li, Y.P.; Huang, X.Y.; Wang, J. Alleviation on battery thermal runaway propagation: Effects of oxygen level and dilution gas. J. Power Sources 2021, 509, 230340. [Google Scholar] [CrossRef]
- Weng, J.W.; He, Y.P.; Ouyang, D.X.; Yang, X.Q.; Chen, M.Y.; Cui, S.T.; Zhang, G.Q.; Yuen, R.K.K.; Wang, J. Honeycomb-inspired design of a thermal management module and its mitigation effect on thermal runaway propagation. Appl. Therm. Eng. 2021, 195, 117147. [Google Scholar] [CrossRef]
- Feng, C.; Li, Z.; Liang, M.; Huang, J.; Liu, H. Preparation and characterization of a novel oligomeric charring agent and its application in halogen-free flame retardant polypropylene. J. Anal. Appl. Pyrolysis 2015, 111, 238–246. [Google Scholar] [CrossRef]
- Li, L.; Wang, G.; Guo, C. Influence of intumescent flame retardant on thermal and flame retardancy of eutectic mixed paraffin/polypropylene form-stable phase change materials. Appl. Energy 2016, 162, 428–434. [Google Scholar] [CrossRef]
- Pesaran, A.A. Battery thermal models for hybrid vehicle simulations. J. Power Sources 2002, 110, 377–382. [Google Scholar] [CrossRef]
- Wang, W.; Pan, H.; Shi, Y.; Pan, Y.; Yang, W.; Liew, K.M.; Song, L.; Hu, Y. Fabrication of LDH nanosheets on β-FeOOH rods and applications for improving the fire safety of epoxy resin. Compos. Part A Appl. Sci. Manuf. 2016, 80, 259–269. [Google Scholar] [CrossRef]
- Kandare, E.; Di Modica, P.; Chevali, V.S.; Gibson, G.A. Evaluating the heat resistance of thermal insulated sandwich composites subjected to a turbulent fire. Fire Mater. 2016, 40, 586–598. [Google Scholar] [CrossRef]












| Materials | No. | Paraffin (%) | EG (%) | Kaolinite (%) | IFR (%) |
|---|---|---|---|---|---|
| KPCM | K1 | 93 | 7 | 0 | \ |
| K2 | 92 | 7 | 1 | ||
| K3 | 91 | 7 | 2 | ||
| K4 | 90 | 7 | 3 | ||
| RPCM | R1 | 83 | 7 | 0 | 10 |
| R2 | 73 | 7 | 0 | 20 | |
| R3 | 63 | 7 | 0 | 30 | |
| R4 | 80 | 7 | 3 | 7 | |
| R5 | 70 | 7 | 3 | 17 | |
| R6 | 60 | 7 | 3 | 27 |
| PA | R1 | R2 | R3 | R4 | R5 | R6 | |
|---|---|---|---|---|---|---|---|
| LOI | 18.2% | 25.3% | 27.6% | 29.8% | 25.5% | 28.1% | 31.1% |
| UL-94 | NR | V2 | V0 | V0 | V2 | V0 | V0 |
| Sample | T-5% (°C) | T-50% (°C) | Tp (°C) | Char Residue at 800 °C |
|---|---|---|---|---|
| PA | 277 | 348 | 375 | 2.3% |
| R1 | 280 | 350 | 380 | 11.8% |
| R2 | 283 | 358 | 382 | 17.6% |
| R3 | 282 | 359 | 440 | 17.8% |
| R4 | 281 | 356 | 385 | 15.1% |
| R5 | 290 | 366 | 390 | 19.3% |
| R6 | 288 | 362 | 490 | 22.3% |
Disclaimer/Publisher’s Note: The statements, opinions and data contained in all publications are solely those of the individual author(s) and contributor(s) and not of MDPI and/or the editor(s). MDPI and/or the editor(s) disclaim responsibility for any injury to people or property resulting from any ideas, methods, instructions or products referred to in the content. |
© 2023 by the authors. Licensee MDPI, Basel, Switzerland. This article is an open access article distributed under the terms and conditions of the Creative Commons Attribution (CC BY) license (https://creativecommons.org/licenses/by/4.0/).
Share and Cite
Cui, Y.; Chen, Y.; Zhao, L.; Zhu, F.; Li, L.; Kong, Q.; Chen, M. Investigation on the Properties of Flame-Retardant Phase Change Material and Its Application in Battery Thermal Management. Energies 2023, 16, 521. https://doi.org/10.3390/en16010521
Cui Y, Chen Y, Zhao L, Zhu F, Li L, Kong Q, Chen M. Investigation on the Properties of Flame-Retardant Phase Change Material and Its Application in Battery Thermal Management. Energies. 2023; 16(1):521. https://doi.org/10.3390/en16010521
Chicago/Turabian StyleCui, Yilin, Yin Chen, Luyao Zhao, Fang Zhu, Lixia Li, Qinghong Kong, and Mingyi Chen. 2023. "Investigation on the Properties of Flame-Retardant Phase Change Material and Its Application in Battery Thermal Management" Energies 16, no. 1: 521. https://doi.org/10.3390/en16010521
APA StyleCui, Y., Chen, Y., Zhao, L., Zhu, F., Li, L., Kong, Q., & Chen, M. (2023). Investigation on the Properties of Flame-Retardant Phase Change Material and Its Application in Battery Thermal Management. Energies, 16(1), 521. https://doi.org/10.3390/en16010521

