Effect of Non-Uniformity of Rotor Stagger Angle on the Stability of a Low-Speed Axial Compressor
Abstract
1. Introduction
2. Experiment Methods
3. Results and Discussion
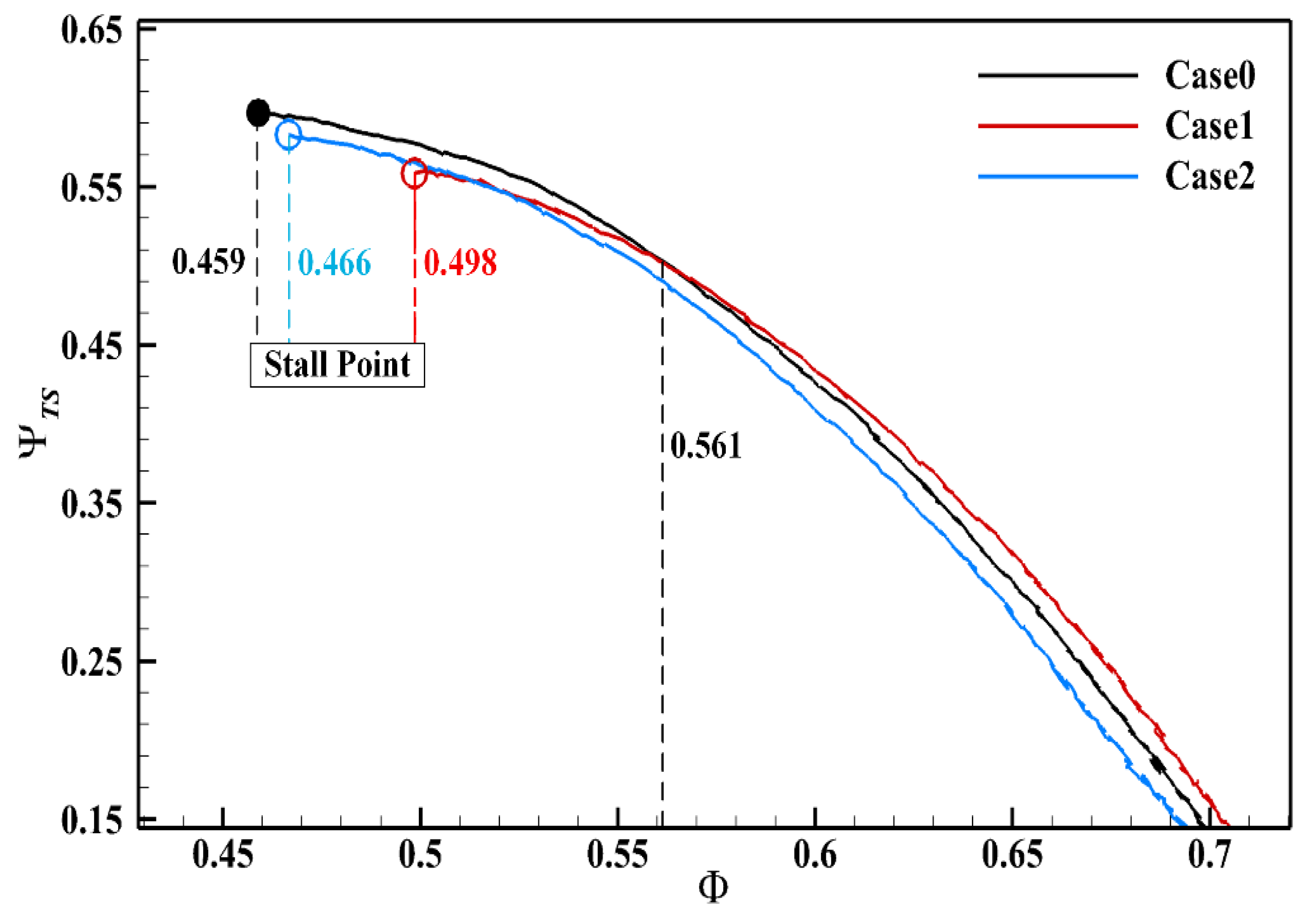
3.1. Performance Map
3.2. Unsteady Measurement Results at Stable Operating Points
3.3. Stall Inception Process
4. Summary
- Non-uniformity resulting from an increase or decrease in the local stagger angle can deteriorate the stability of the compressor.
- At higher flow coefficients, decreasing the stagger angle of one blade improves the performance of the compressor, but at lower flow coefficients, the performance of the compressor decreases. Increasing the stagger angle of one blade will reduce the performance of the compressor over the whole flow range.
- The non-uniformity in stagger angle changes the aerodynamic load distribution on the blades, with some blades experiencing an increase in load. In this paper, the blade with the maximum load of the 44 blades is considered the “dangerous blade.” As the compressor throttles to near-stall point, the “dangerous blade” is the first to reach an unstable condition.
- Investigation of the stall inception process shows that the unstable disturbance that causes the compressor to come to rotation stall is first generated at the position of the “dangerous blade.” The “dangerous blade,” caused by the non-uniformity in stagger angles, is the direct reason for the advance in the compressor rotating stall.
Author Contributions
Funding
Acknowledgments
Conflicts of Interest
References
- Schwerdt, L.; Panning-von Scheidt, L.; Wallaschek, J. A Model Reduction Method for Bladed Disks With Large Geometric Mistuning Using a Partially Reduced Intermediate System Model. J. Eng. Gas Turbines Power-Trans. ASME 2021, 143, 071031. [Google Scholar] [CrossRef]
- Wilson, M.; Imregun, M.; Sayma, A. The effect of stagger variability in gas turbine fan assemblies. J. Turbomach.-Trans. ASME 2007, 129, 404–411. [Google Scholar] [CrossRef]
- Hoyniak, D.; Fleeter, S. Forced Response Analysis of an Aerodynamically Detuned Supersonic Turbomachine Rotor. J. Vib. Acoust. Stress Reliab. Des. 1986, 108, 117–124. [Google Scholar] [CrossRef]
- Hawkings, D. Multiple tone generation by transonic compressors. J. Sound Vib. 1971, 17, 241–250. [Google Scholar] [CrossRef]
- Stratford, B.; Newby, D. A new look at the generation of buzz-saw noise. In Proceedings of the 4th Aeroacoustics Conference, Atlanta, GA, USA, 3–5 October 1977; American Institute of Aeronautics and Astronautics: Reston, VA, USA, 1977. [Google Scholar]
- Han, F.; Sharma, A.; Paliath, U.; Shieh, C. Multiple pure tone noise prediction. J. Sound Vib. 2014, 333, 6942–6959. [Google Scholar] [CrossRef][Green Version]
- Hoyniak, D.; Fleeter, S. The Effect of Circumferential Aerodynamic Detuning on Coupled Bending-Torsion Unstalled Supersonic Flutter. J. Turbomach. 1986, 108, 253–260. [Google Scholar] [CrossRef]
- Kaza, K.R.V.; Kielb, R.E. Flutter of turbofan rotors with mistuned blades. AIAA J. 1984, 22, 1618–1625. [Google Scholar] [CrossRef]
- Sadeghi, M.; Liu, F. Computation of Mistuning Effects on Cascade Flutter. AIAA J. 2001, 39, 22–28. [Google Scholar] [CrossRef]
- Ekici, K.; Kielb, R.E.; Hall, K.C. The effect of aerodynamic asymmetries on turbomachinery flutter. J. Fluids Struct. 2013, 36, 1–17. [Google Scholar] [CrossRef]
- Day, I.J. Stall, Surge, and 75 Years of Research. J. Turbomach. 2015, 138, 011001. [Google Scholar] [CrossRef]
- Reitz, G.; Schlange, S.; Friedrichs, J. Design of Experiments and Numerical Simulation of Deteriorated High Pressure Compressor Airfoils. In Turbo Expo: Power for Land, Sea, and Air; Volume 2A: Turbomachinery; American Society of Mechanical Engineers: New York, NY, USA, 2016. [Google Scholar]
- Pullan, G.; Young, A.M.; Day, I.J.; Greitzer, E.M.; Spakovszky, Z.S. Origins and Structure of Spike-Type Rotating Stall. J. Turbomach. 2015, 137, 051007. [Google Scholar] [CrossRef]
- Perovic, D.; Hall, C.A.; Gunn, E.J. Stall Inception in a Boundary Layer Ingesting Fan. J. Turbomach. 2019, 141, 091007. [Google Scholar] [CrossRef]
- Suriyanarayanan, V.; Rendu, Q.; Vahdati, M.; Salles, L. Effect of Manufacturing Tolerance in Flow Past a Compressor Blade. J. Turbomach. 2021, 144, 041005. [Google Scholar] [CrossRef]
- Zheng, S.; Teng, J.; Wu, Y.; Guo, F.; Lu, S.; Qiang, X. Impact of Nonuniform Stagger Angle Distribution on High-Pressure Compressor Rotor Performance. In Turbo Expo: Power for Land, Sea, and Air; Volume 2A: Turbomachinery; American Society of Mechanical Engineers: New York, NY, USA, 2018. [Google Scholar]
- Phan, H.M.; He, L. Efficient Steady and Unsteady Flow Modeling for Arbitrarily Mis-Staggered Bladerow Under Influence of Inlet Distortion. J. Eng. Gas Turbines Power 2021, 143, 071009. [Google Scholar] [CrossRef]
- Wang, F.; di Mare, L. Analysis of Transonic Bladerows With Non-Uniform Geometry Using the Spectral Method. J. Turbomach. 2021, 143, 121012. [Google Scholar] [CrossRef]
- Nishioka, T.; Kuroda, S.; Kozu, T. Influence of Rotor Stagger Angle on Rotating Stall Inception in an Axial-Flow Fan. In Turbo Expo: Power for Land, Sea, and Air; Turbo Expo 2003, Parts A and B; American Society of Mechanical Engineers: New York, NY, USA, 2003; Volume 6, pp. 901–910. [Google Scholar]
- Yoon, Y.S.; Song, S.J.; Shin, H.-W. Influence of Flow Coefficient, Stagger Angle, and Tip Clearance on Tip Vortex in Axial Compressors. J. Fluids Eng. 2006, 128, 1274–1280. [Google Scholar] [CrossRef]
- Hoying, D.A.; Tan, C.S.; Vo, H.D.; Greitzer, E.M. Role of Blade Passage Flow Structures in Axial Compressor Rotating Stall Inception. In Turbo Expo: Power for Land, Sea, and Air; Turbomachinery; American Society of Mechanical Engineers: New York, NY, USA, 1998; Volume 1. [Google Scholar]















| Parameters | Value |
|---|---|
| Rotational speed (rpm) | 1500 |
| Casing diameter (mm) | 900 |
| Hub-to-tip ratio | 0.75 |
| Tip clearance (mm) | 1 |
| Blades number (rotor/stator) | 44/47 |
| 𝑅𝑒𝑐 | 4 × 105 |
Publisher’s Note: MDPI stays neutral with regard to jurisdictional claims in published maps and institutional affiliations. |
© 2022 by the authors. Licensee MDPI, Basel, Switzerland. This article is an open access article distributed under the terms and conditions of the Creative Commons Attribution (CC BY) license (https://creativecommons.org/licenses/by/4.0/).
Share and Cite
Ma, S.; Hu, J.; Wang, X.; Ji, J. Effect of Non-Uniformity of Rotor Stagger Angle on the Stability of a Low-Speed Axial Compressor. Energies 2022, 15, 2714. https://doi.org/10.3390/en15082714
Ma S, Hu J, Wang X, Ji J. Effect of Non-Uniformity of Rotor Stagger Angle on the Stability of a Low-Speed Axial Compressor. Energies. 2022; 15(8):2714. https://doi.org/10.3390/en15082714
Chicago/Turabian StyleMa, Shuai, Jun Hu, Xuegao Wang, and Jiajia Ji. 2022. "Effect of Non-Uniformity of Rotor Stagger Angle on the Stability of a Low-Speed Axial Compressor" Energies 15, no. 8: 2714. https://doi.org/10.3390/en15082714
APA StyleMa, S., Hu, J., Wang, X., & Ji, J. (2022). Effect of Non-Uniformity of Rotor Stagger Angle on the Stability of a Low-Speed Axial Compressor. Energies, 15(8), 2714. https://doi.org/10.3390/en15082714
