Full Core Pin-Level VVER-440 Simulation of a Rod Drop Experiment with the GPU-Based Monte Carlo Code GUARDYAN
Abstract
:1. Introduction
2. Materials and Methods
2.1. Current State of the GUARDYAN Development
2.2. The Time-Dependent Nodal Diffusion Code VERETINA
2.3. VVER-440/213 Transient Modelling Details
GUARDYAN Geometry Model
2.4. Experiment and Measurement Details
3. Results
3.1. Initial State Calculations
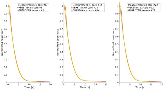
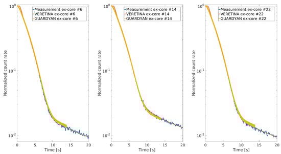
3.2. Comparison of Ex-Core Detector Signals
3.3. Variances
3.4. Computing Resource Needs
- a professional grade NVIDIA A100 Tensor Core GPU (A100 for short) with product launch of May 2020, it is designed for scientific use;
- an NVIDIA GeForce RTX 3090 (RTX 3090 for short), launched in September 2020, regarded as consumer electronics;
- an earlier NVIDIA GeForce GTX 1080 (GTX 1080 for short), launched in May 2016, also considered to serve lower performance computing tasks.
4. Conlcusions and Discussion
Author Contributions
Funding
Institutional Review Board Statement
Informed Consent Statement
Acknowledgments
Conflicts of Interest
References
- Molnar, B.; Tolnai, G.; Legrady, D. A GPU based direct Monte Carlo simulation of time dependence in nuclear reactors. Ann. Nucl. Energy 2019, 132, 46–63. [Google Scholar] [CrossRef]
- Legrady, D.; Hoogenboom, J.E. Scouting the feasibility of Monte Carlo reactor dynamics simulations. In Proceedings of the International Conference on the Physics of Reactors 2008 (PHYSOR08), Interlaken, Switzerland, 14–19 September 2008. [Google Scholar]
- Sjenitzer, B.L.; Hoogenboom, J.E. Dynamic Monte Carlo method for nuclear reactor kinetics calculations. Nucl. Sci. Eng. 2013, 175, 94–107. [Google Scholar] [CrossRef]
- Brun, E.; Damian, F.; Diop, C.M.; Dumonteil, E.; Hugot, F.X.; Jouanne, C.; Lee, Y.K.; Malvagi, F.; Mazzolo, A.; Petit, O.; et al. TRIPOLI-4A, CEA, EDF and AREVA reference Monte Carlo code. Ann. Nucl. Energy 2015, 82, 151–160. [Google Scholar] [CrossRef]
- Leppanen, J. Development of a dynamic simulation mode in Serpent 2 Monte Carlo code. In Proceedings of the International Conference on Mathematics and Computational Methods Applied to Nuclear Science and Engineering (M&C 2013), Sun Valley, ID, USA, 5–9 May 2013. [Google Scholar]
- Leppanen, J.; Pusa, M.; Viitanen, T.; Valtavirta, V.; Kaltiaisenaho, T. The Serpent Monte Carlo code: Status, development and applications in 2013. Ann. Nucl. Energy 2015, 82, 142–150. [Google Scholar]
- Russell, L.; Buijs, A.; Jonkmans, G. 4-STORK: A Monte Carlo Reactor Kinetics Simulation Code. Nucl. Sci. Eng. 2014, 176, 370–375. [Google Scholar] [CrossRef]
- Agostinelli, S.; Allison, J.; Amako, K.; Apostolakis, J.; Araujo, H.; Arce, P.; Asai, M.; Axen, D.; Banerjee, S.; Barrand, G.; et al. Geant4 simulation toolkit. Nucl. Instrum. Methods Phys. Res. Sect. A Accel. Spectrometers Detect. Assoc. Equip. 2003, 506, 250–303. [Google Scholar] [CrossRef] [Green Version]
- Mylonakis, A.G.; Varvayanni, M.; Grigoriadis, D.G.E.; Catsaros, N. Developing and investigating a pure Monte-Carlo module for transient neutron transport analysis. Ann. Nucl. Energy 2017, 104, 103–112. [Google Scholar] [CrossRef]
- Romano, P.K.; Horelik, N.E.; Herman, B.R.; Nelson, A.G.; Forget, B.; Smith, K. OpenMC: A state-of-the-art Monte Carlo code for research and development. Ann. Nucl. Energy 2015, 82, 90–97. [Google Scholar] [CrossRef] [Green Version]
- Ajami, M.; Kamkar, A.; Zangian, M.; Minuchehr, A.; Zolfaghari, A. A pure dynamic Monte Carlo code for the neutronic analysis of nuclear reactors. Ann. Nucl. Energy 2022, 165, 108627. [Google Scholar] [CrossRef]
- Talamo, A.; Cao, Y.; Gohar, Y.; Valtavirta, V.; Leppänen, J.; Sikorin, S.; Mandzik, S.; Polazau, S.; Hryharovich, T. Serpent transient analyses of GIACINT geometrical change experiments. Ann. Nucl. Energy 2021, 164, 108601. [Google Scholar] [CrossRef]
- Fridman, E.; Huo, X. Dynamic simulation of the CEFR control rod drop experiments with the Monte Carlo code Serpent. Ann. Nucl. Energy 2020, 148, 107707. [Google Scholar] [CrossRef]
- Ferraro, D.; Valtavirta, V.; García, M.; Imke, U.; Tuominen, R.; Leppänen, J.; Sanchez-Espinoza, V. OECD/NRC PWR MOX/UO2 core transient benchmark pin-by-pin solutions using Serpent/SUBCHANFLOW. Ann. Nucl. Energy 2020, 147, 107745. [Google Scholar] [CrossRef]
- Choi, N.; Kim, K.M.; Joo, H.G. Optimization of neutron tracking algorithms for GPU-based continuous energy Monte Carlo calculation. Ann. Nucl. Energy 2021, 162, 108508. [Google Scholar] [CrossRef]
- Bess, J.D.; Ivanova, T. International Handbook of Evaluated Criticality Safety Benchmark Experiments; No. NEA-1486/16; NEA Nuclear Science Committee: Washington, DC, USA, 2018. [Google Scholar]
- Legrady, D.; Halasz, M.; Kophazi, J.; Molnar, B.; Tolnai, G. Population-based variance reduction for dynamic Monte Carlo. Ann. Nucl. Energy 2020, 149, 107752. [Google Scholar] [CrossRef]
- Pós, I.; Kálya, Z.; Házi, G.; Páles, J.; Horváth, C.; Végh, J. Validation of VERETINA, a new nuclear reactor analyzer system for VVER-440. In Proceedings of the 22th Symposium of AER, Pruhonice, Czech Republic, 1–5 October 2012. [Google Scholar]
- Henry, A.F. The Application of reactor Kinetics to the Analysis of Experiments. Nucl. Sci. Eng. 1958, 3, 52–70. [Google Scholar] [CrossRef]
- Pós, I.; Kálya, Z.; Parkó, T.; Horváth, M.; Szabó, S.P. C-PORCA 7: A nodal diffusion reactor calculation code to support off-line and on-line core analysis at Paks nuclear power plant. Kerntechnik 2019, 84, 228–241. [Google Scholar] [CrossRef]
- Ralston, A.; Wilf, H.S. Mathematical Methods For Digital Computers; Wiley: New York, NY, USA; London, UK, 1960; pp. 110–120. [Google Scholar]
- Pós, I.; Parkó, T. New practice for the evaluation of rod efficiency measurement by rod drop at the NPP Paks. Kerntechnik 2012, 77, 286–291. [Google Scholar] [CrossRef]
- Csom, G.; Czifrus, S.; Fehér, S.; Berki, T. Calculation of Spatial Weight Functions for VVER-440 Ex-Core Neutron Detectors. In Proceedings of the 11th Symposium of AER, Csopak, Hungary, 24–28 September 2001. [Google Scholar]
- Végh, J.; Pós, I.; Horváth, C.; Kálya, Z.; Parkó, T.; Ignits, M. VERONA V6.22—An enhanced reactor analysis tool applied for continuous core parameter monitoring at Paks NPP. Nucl. Sci. Eng. 2015, 292, 261–276. [Google Scholar] [CrossRef]
- Czifrus, S.; Fehér, S.; Bozsó, T. Vizsgálatok ÁNEREM Ex-Core Detektorok Térbeli Súlyfüggvényének Meghatározásához Monte-Carlo-Módszerrel—II; BME NTI Kutatás-Fejlesztési Jelentés BME-NTI-950/2020; BME NTI: Budapest, Hungary, 2020. (In Hungarian) [Google Scholar]
















| A100 | RTX 3090 | GTX 1080 | |
|---|---|---|---|
| Running time with burnup | 22 h | 48 h | 820 h |
| Running time with fresh fuel | 5.3 h | 10 h | 37 h |
| Number of CUDA cores | 6912 | 5248 | 2560 |
| Memory size | 80 GB | 24 GB | 8 GB |
| Double Precision Performance (TFLOPS) | 9.7 | 0.45 | 0.25 |
| L2 Cache | 40 MB | 6 MB | 2 MB |
Publisher’s Note: MDPI stays neutral with regard to jurisdictional claims in published maps and institutional affiliations. |
© 2022 by the authors. Licensee MDPI, Basel, Switzerland. This article is an open access article distributed under the terms and conditions of the Creative Commons Attribution (CC BY) license (https://creativecommons.org/licenses/by/4.0/).
Share and Cite
Legrady, D.; Tolnai, G.; Hajas, T.; Pazman, E.; Parko, T.; Pos, I. Full Core Pin-Level VVER-440 Simulation of a Rod Drop Experiment with the GPU-Based Monte Carlo Code GUARDYAN. Energies 2022, 15, 2712. https://doi.org/10.3390/en15082712
Legrady D, Tolnai G, Hajas T, Pazman E, Parko T, Pos I. Full Core Pin-Level VVER-440 Simulation of a Rod Drop Experiment with the GPU-Based Monte Carlo Code GUARDYAN. Energies. 2022; 15(8):2712. https://doi.org/10.3390/en15082712
Chicago/Turabian StyleLegrady, David, Gabor Tolnai, Tamas Hajas, Elod Pazman, Tamas Parko, and Istvan Pos. 2022. "Full Core Pin-Level VVER-440 Simulation of a Rod Drop Experiment with the GPU-Based Monte Carlo Code GUARDYAN" Energies 15, no. 8: 2712. https://doi.org/10.3390/en15082712
APA StyleLegrady, D., Tolnai, G., Hajas, T., Pazman, E., Parko, T., & Pos, I. (2022). Full Core Pin-Level VVER-440 Simulation of a Rod Drop Experiment with the GPU-Based Monte Carlo Code GUARDYAN. Energies, 15(8), 2712. https://doi.org/10.3390/en15082712

