Comparative Thermodynamic Analysis of the Performance of an Organic Rankine Cycle Using Different Working Fluids
Abstract
:1. Introduction
2. Methodology
2.1. System Description
2.2. Energy Analysis
- The ORC operated in a steady state;
- The pump and turbine were considered adiabatic;
- The properties of water and refrigerants were estimated using REFPROP 9.1 software [30].
- The exhaust gases behaved as an ideal gas mixture with a heat capacity at invariant constant pressure at the temperature of cpg = 1.288 kJ/kg K;
- The kinetic and potential energy changes of refrigerants, water, and combustion gases were negligible;
- The temperature and pressure of the dead state were T0 = Tamb and P0 = Patm, respectively.
- 7.
- The temperature and pressure of the environment (Tamb and Patm);
- 8.
- The hot approach temperature differences defined by ΔTHA = Tg1 − T1, to determine the refrigerant temperature at the SH outlet (T1);
- 9.
- The temperature of the exhaust gases at the HRSG inlet (Tg1);
- 10.
- The mass flow of the exhaust gases (ṁg);
- 11.
- The temperature of the exhaust gases at the outlet of the HRSG chimney (Tg4), which must be greater than or equal to 100 °C to avoid condensation of water contained in the exhaust gases. This temperature was used to quantify the mass flow of refrigerant in the cycle;
- 12.
- The evaporation temperature of the refrigerant (Tevap), which must be lower than its critical temperature;
- 13.
- The difference between the temperature of the refrigerant in the condenser and the ambient temperature, ΔTcond = Tcond − Tamb, which was used to establish the condensing temperature of the refrigerant;
- 14.
- The temperature difference between the water at the outlet and inlet of the condenser, ΔTwater = T8 − Tamb, which calculated the temperature of the water at the outlet of the equipment (T8);
- 15.
- The isentropic efficiencies of the turbine (ηIT) and the pump (ηIP) were assumed to be constant.
2.3. Analysis of the Second Law of Thermodynamics
2.4. Evaluation of the Exergetic Feasibility of the Use of the Refrigerant in the ORC
| Indicator | Expression | Range | Weighting Factor |
|---|---|---|---|
| Power | where is the maximum power of all the case studies. is the power of the case study to be evaluated. | close to 100 indicate that high powers are being generated compared to the other case studies. | |
| Pinch point temperature difference | close to 100 indicate that ΔTPP are within the established range and correspond to values reported in the literature. [34,35,36,37]. | ||
| Residual exhaust gases exergy flow | close to 100 indicate the highest exergy amounts of heat transferred from the residual combustion gases to the environment. | ||
| Specific steam consumption | Values of close to 100 indicate the smallest amounts of refrigerant mass flow required to generate one kWh. | ||
| Exergy efficiency | where ηexer,max is the maximum exergetic efficiency of all the case studies. ηexer is the exergetic efficiency of the case study to be evaluated. | Values of close to 100 indicate the highest exergetic efficiencies compared to the case studies. | |
| Total heat transfer requirement | where (UA)max is the maximum total heat transfer requirement of all the case studies and (UA)tot is the total heat transfer requirement of the case study to be evaluated see Equation (16). | Values of close to 0 indicate the smallest heat transfer requirement compared to the case studies. | |
| Global warming index | where GWP is the global warming potential of the refrigerant in the case study. The case study corresponding to the R134a refrigerant with the highest mass flow was taken as the base case, since this was the refrigerant with the highest value of GWP = 1430 gCO2/kgR134a [17,38]. | Values of close to 100 indicate the largest contributions to the GWP. | |
| Ozone depletion potential | where ODP is the ozone depletion potential of the refrigerant in the case study. The case study corresponding to the R123 refrigerant with the highest ODP value was taken as the base case [29]. | Values of close to 100 indicate the smallest contributions to the ODP. |
3. Results and Discussion
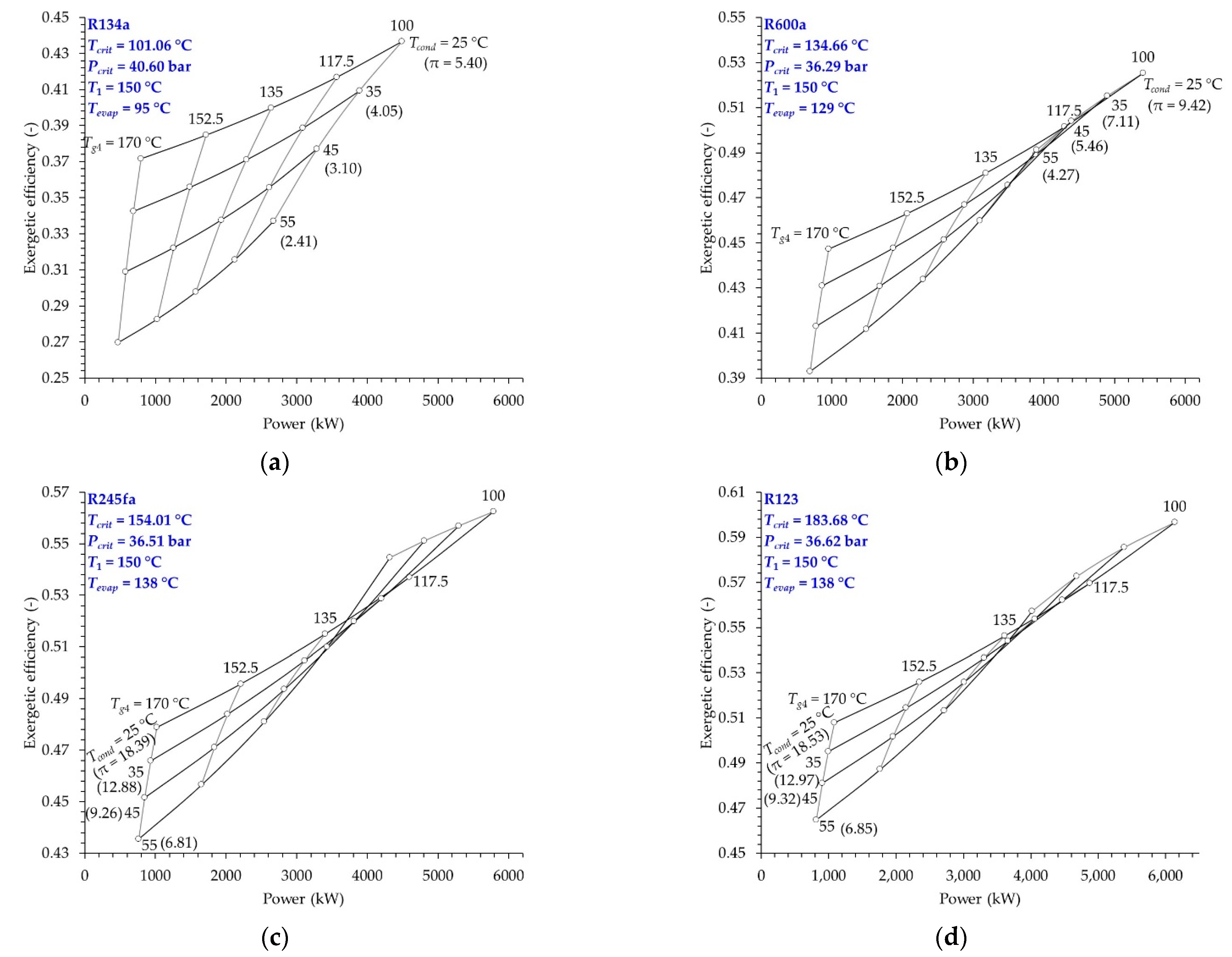
3.1. Selection of Case Studies Based on a Residual Thermal Source
- For R134a and R600a, the evaporation temperatures were close to their respective critical temperatures, 101.6 and 134.66 °C, which in turn were lower than the steam temperature;
- For R245fa and R123, the same evaporation temperature was taken, which was far from both critical temperatures, 154.01 and 183.68 °C, which were higher than the turbine inlet temperature. On the other hand, this allowed analysis of the impact of the nature of the fluid on the heat transferred in the SH.
3.2. Influence of the Temperature of the Combustion Gases at the HRSG Outlet of the ORC on the Power and Refrigerant Flow
3.3. Analysis of the Second Law of Thermodynamics
3.4. Evaluation of the Exergy Viability of the Refrigerant in the ORC
4. Conclusions
Author Contributions
Funding
Acknowledgments
Conflicts of Interest
Nomenclature
| Abbreviations | ||
| COND | Condenser | |
| HRSG | Heat recovery steam generator | |
| EC | Economizer | |
| EV | Evaporator | |
| ORC | Organic Rankine cycle | |
| SH | Superheater | |
| Subscripts | ||
| 0 | Dead state | |
| 1, …, n | Thermodynamic states | |
| water | Cooling water | |
| amb | Ambient | |
| atm | Atmospheric | |
| cond | Condensation | |
| crit | Critical | |
| evap | Evaporation | |
| exer | Exergetic | |
| f | Saturated liquid | |
| g | Steam | |
| g1,…,g4 | Exhaust gases thermodynamic states | |
| g,e | Exhaust gases | |
| gen | Generated | |
| HA | Hot approach | |
| i | ORC equipment number | |
| in | Input | |
| IT | Turbine isentropic efficiency | |
| IP | Pump isentropic efficiency | |
| j | ORC thermodynamic state | |
| k | Working fluid properties | |
| m | Motor | |
| Make up | Make-up water | |
| max | Maximum | |
| out | Output | |
| p | Constant pressure | |
| P | pump | |
| PP | Pinch point | |
| rej | Rejected | |
| ref | Refrigerant | |
| sup | Supplied | |
| T | Turbine | |
| th | Thermal | |
| vc | Volume control | |
| Symbols | ||
| A | Area | (m2) |
| c | Specific heat | (kJ/kg °C) |
| SSC | Specific steam consumption | (kgvap/kWh) |
| HR | Heat rate | (kJ/kWh) |
| h | Enthalpy per unit mass | (kJ/kg) |
| İ | Flow of irreversibilities | (kW) |
| ṁ | Mass flow | (kg/s) |
| Heat flux | (kW) | |
| P | Pressure | (bar) |
| q | Heat per unit mass | (kJ/kg) |
| R | Ideal gas constant | (kJ/kg °C) |
| s | Entropy per unit mass | (kJ/kg °C) |
| Ṡ | Entropy flow | (kW/°C) |
| T | Temperature | (°C) |
| UA | Total heat transfer requirement | (kW/K) |
| V | Volume | (m3) |
| w | Work per unit mass | (kJ/kg) |
| Ẇ | Power | (kW) |
| ẆL | Rate of work lost | (kW) |
| Greek letters | ||
| Δ | Increment | (-) |
| Ė | Exergy flow | (kW) |
| ε | Specific exergy | (kJ/kg) |
| η | Efficiency | (-) |
| π | Pressure ratio | (-) |
Appendix A. Energy Indicators of the ORC Performance for the Different Refrigerants and Exhaust Gas Temperatures at the HRSG Outlet of Tg4 = 100 °C
| Fluid | Tevap (°C) | Pevap (bar) | Tcond (°C) | Pcond (bar) | π (-) | wm (kJ/kgref) | qsup (kJ/kgref) | ηth (-) | HR (kJ/kW h) |
|---|---|---|---|---|---|---|---|---|---|
| R134a | 95 | 35.91 | 25 | 6.65 | 5.40 | 38.10 | 275.83 | 0.138 | 26,061.54 |
| R600a | 129 | 33.02 | 3.50 | 9.42 | 83.58 | 502.85 | 0.166 | 21,660.48 | |
| R245fa | 138 | 27.25 | 1.48 | 18.39 | 49.28 | 276.94 | 0.178 | 20,230.76 | |
| R123 | 138 | 16.93 | 0.91 | 18.53 | 45.93 | 243.31 | 0.189 | 19,071.92 | |
| R134a | 95 | 35.91 | 35 | 8.87 | 4.05 | 31.29 | 261.51 | 0.120 | 30,085.25 |
| R600a | 129 | 33.02 | 4.65 | 7.11 | 72.01 | 478.27 | 0.151 | 23,910.54 | |
| R245fa | 138 | 27.25 | 2.12 | 12.88 | 42.90 | 263.60 | 0.163 | 22,118.66 | |
| R123 | 138 | 16.93 | 1.31 | 12.97 | 40.32 | 233.05 | 0.173 | 20,806.07 | |
| R134a | 95 | 35.91 | 45 | 11.60 | 3.10 | 24.94 | 246.77 | 0.101 | 35,616.83 |
| R600a | 129 | 33.02 | 6.04 | 5.46 | 61.22 | 453.03 | 0.135 | 26,640.10 | |
| R245fa | 138 | 27.25 | 2.94 | 9.26 | 36.94 | 250.04 | 0.148 | 24,364.94 | |
| R123 | 138 | 16.93 | 1.82 | 9.32 | 35.05 | 222.67 | 0.157 | 22,873.28 | |
| R134a | 95 | 35.91 | 55 | 14.92 | 2.41 | 19.04 | 231.51 | 0.082 | 43,767.09 |
| R600a | 129 | 33.02 | 7.73 | 4.27 | 51.19 | 427.09 | 0.120 | 30,037.15 | |
| R245fa | 138 | 27.25 | 4.00 | 6.81 | 31.39 | 236.23 | 0.133 | 27,094.12 | |
| R123 | 138 | 16.93 | 2.47 | 6.85 | 30.08 | 212.16 | 0.142 | 25,390.76 |
| Fluid | Tg4 (°C) | Tcond (°C) | (kgref/s) | (kW) | ΔTPP (°C) | (kW) | (kW) | (kgwater/s) | SSC (kgref/kW h) | GWP | ODP |
|---|---|---|---|---|---|---|---|---|---|---|---|
| R134a | 100 | 25 | 117.89 | 4491.87 | 41.26 | 32,518.08 | 28,026.21 | 629.74 | 94.48 | 1430 | 0 |
| 35 | 124.35 | 3891.11 | 38.59 | 28,626.97 | 684.61 | 115.04 | |||||
| 45 | 131.78 | 3286.79 | 35.52 | 29,231.29 | 699.42 | 144.33 | |||||
| 55 | 140.46 | 2674.73 | 31.93 | 29,843.36 | 713.92 | 189.05 | |||||
| R600a | 100 | 25 | 64.67 | 5404.55 | 23.44 | 32,518.08 | 27,113.54 | 647.28 | 43.07 | 5 | 0 |
| 35 | 67.99 | 4895.96 | 21.77 | 27,622.12 | 660.58 | 49.99 | |||||
| 45 | 71.78 | 4394.32 | 19.86 | 28,123.77 | 672.92 | 58.80 | |||||
| 55 | 76.14 | 3897.34 | 17.67 | 28,620.74 | 684.67 | 70.33 | |||||
| R245fa | 100 | 25 | 117.42 | 5786.49 | 14.44 | 32,518.08 | 26,731.59 | 638.16 | 73.05 | 1030 | 0 |
| 35 | 123.36 | 5292.59 | 12.79 | 27,225.49 | 651.09 | 83.91 | |||||
| 45 | 130.05 | 4804.65 | 10.94 | 27,713.43 | 663.10 | 97.45 | |||||
| 55 | 137.65 | 4320.68 | 8.83 | 28,197.40 | 674.54 | 114.69 | |||||
| R123 | 100 | 25 | 133.64 | 6137.84 | 5.62 | 32,516.75 | 26,378.92 | 629.74 | 78.39 | 77 | 0.02 |
| 103.59 | 35 | 133.64 | 5388.99 | 31,145.50 | 25,756.50 | 615.96 | 89.28 | ||||
| 107.21 | 45 | 133.64 | 4683.62 | 29,758.29 | 25,074.66 | 599.96 | 102.72 | ||||
| 110.88 | 55 | 133.64 | 4020.22 | 28,354.56 | 24,334.34 | 582.13 | 119.67 |
Appendix B. Exergy Indicators of the ORC Performance for Different Refrigerants and Exhaust Gas Temperatures at the HRSG Outlet for Tg4 = 100 °C
| Fluid | Tcond (°C) | İT (kW) | İB (kW) | İHRSG (kW) | İCOND (kW) | İTOTAL (kW) | Ėg,e (kW) | ηexer (-) |
|---|---|---|---|---|---|---|---|---|
| R134a | 25 | 428.34 | 68.71 | 3292.26 | 2009.14 | 5798.44 | 10,291.83 | 0.44 |
| R600a | 534.24 | 83.11 | 2491.44 | 1776.67 | 4885.45 | 0.53 | ||
| R245fa | 571.50 | 53.96 | 2280.87 | 1597.05 | 4503.38 | 0.56 | ||
| R123 | 600.87 | 34.80 | 1999.72 | 1516.27 | 4151.67 | 0.60 | ||
| R134a | 35 | 378.26 | 69.53 | 3144.91 | 2021.36 | 5614.06 | 9506.48 | 0.41 |
| R600a | 495.00 | 86.31 | 2289.46 | 1738.09 | 4608.86 | 0.52 | ||
| R245fa | 531.60 | 56.62 | 2060.68 | 1563.20 | 4212.09 | 0.56 | ||
| R123 | 533.59 | 34.64 | 1819.94 | 1428.03 | 3816.20 | 9207.23 | 0.59 | |
| R134a | 45 | 326.56 | 69.06 | 3000.30 | 2037.31 | 5433.23 | 8721.13 | 0.38 |
| R600a | 455.24 | 89.20 | 2083.40 | 1697.49 | 4325.32 | 0.50 | ||
| R245fa | 491.51 | 59.18 | 1836.95 | 1527.21 | 3914.85 | 0.55 | ||
| R123 | 469.62 | 34.21 | 1653.59 | 1339.26 | 3496.68 | 8182.07 | 0.57 | |
| R134a | 55 | 272.46 | 66.66 | 2860.87 | 2060.16 | 5260.15 | 7935.78 | 0.34 |
| R600a | 414.55 | 91.55 | 1874.92 | 1656.10 | 4037.11 | 0.49 | ||
| R245fa | 450.86 | 61.52 | 1611.24 | 1490.01 | 3613.63 | 0.54 | ||
| R123 | 408.66 | 33.44 | 1501.58 | 1250.87 | 3194.55 | 7216.29 | 0.56 |
References
- Mahmoudi, A.; Fazli, M.; Morad, M.R. A recent review of waste heat recovery by Organic Rankine Cycle. Appl. Therm. Eng. 2018, 143, 660–675. [Google Scholar] [CrossRef]
- Zare, V. A comparative exergoeconomic analysis of different ORC configurations for binary geothermal power plants. Energy Convers. Manag. 2015, 105, 127–138. [Google Scholar] [CrossRef]
- Blondel, Q.; Tauveron, N.; Caney, N.; Voeltzel, N. Experimental study and optimization of the Organic Rankine Cycle with pure NovecTM649 and zeotropic mixture NovecTM649/HFE7000 as working fluid. Appl. Sci. 2019, 9, 1865. [Google Scholar] [CrossRef] [Green Version]
- SGarcia, I.; Garcia, R.F.; Carril, J.C.; Garcia, D.I. A review of thermodynamic cycles used in low temperature recovery systems over the last two years. Renew. Sustain. Energy Rev. 2018, 81, 760–767. [Google Scholar] [CrossRef]
- Salazar-Pereyra, M.; Mora-Ortega, A.; Bonilla-Blancas, A.E.; Lugo-Leyte, R.; Lugo-Méndez, H.D. Parametric analysis of the geothermal power: Dry-steam, flash steam and hybrid cycle. DYNA 2017, 84, 273–282. [Google Scholar] [CrossRef]
- Dai, B.; Zhu, K.; Wang, Y.; Sun, Z.; Liu, Z. Evaluation of organic Rankine cycle by using hydrocarbons as working fluids: Advanced exergy and advanced exergoeconomic analyses. Energy Convers. Manag. 2019, 197, 111876. [Google Scholar] [CrossRef]
- Fan, W.; Han, Z.; Li, P.; Jia, Y. Analysis of the thermodynamic performance of the organic Rankine cycle (ORC) based on the characteristic parameters of the working fluid and criterion for working fluid selection. Energy Convers. Manag. 2020, 211, 112746. [Google Scholar] [CrossRef]
- Vélez, F. Selecting working fluids in an organic Rankine cycle for power generation from low temperature heat sources. Dyna 2014, 81, 173–180. [Google Scholar] [CrossRef]
- Gonzalez-Contreras, M.; Lugo-Mendez, H.; Sales-Cruz, M.; Lopez-Arenas, T. Synthesis, design and evaluation of intensified lignocellulosic biorefineries-Case study: Ethanol production. Chem. Eng. Process. Process Intensif. 2021, 159, 108220. [Google Scholar] [CrossRef]
- Jankowski, M.; Borsukiewicz, A. A novel exergy indicator for maximizing energy utilization in low-temperature ORC. Energies 2020, 13, 1598. [Google Scholar] [CrossRef] [Green Version]
- Kolasinski, P. The method of the working fluid selection for organic Rankine cycle (ORC) systems employing volumetric expanders. Energies 2020, 13, 573. [Google Scholar] [CrossRef] [Green Version]
- Kajurek, J.; Rusowicz, A.; Grzebielec, A.; Bujalski, W.; Futyma, K.; Rudowicz, Z. Selection of refrigerants for a modified organic Rankine cycle. Energy 2019, 168, 1–8. [Google Scholar] [CrossRef]
- Raghulnath, D.; Saravanan, K.; Mahendran, J.; Kumar, M.R.; Lakshmanan, P. Analysis and optimization of organic Rankine cycle for IC engine waste heat recovery system. Mater. Today Proc. 2020, 21, 30–35. [Google Scholar] [CrossRef]
- Mohamed, H.; Bani-Hani, E.; Assad, M.E.H. Thermal Analysis of Organic Rankine Cycle Using Different Organic Fluids. Renew. Energy Res. Appl. 2020, 1, 115–121. [Google Scholar] [CrossRef]
- Vélez, F.; Chejne, F.; Quijano, A. Thermodynamic analysis of R134a in an Organic Rankine Cycle for power generation from low temperature sources. Dyna 2014, 81, 153. [Google Scholar] [CrossRef]
- Wang, J.; Yan, Z.; Wang, M.; Ma, S.; Dai, Y. Thermodynamic analysis and optimization of an (organic Rankine cycle) ORC using low grade heat source. Energy 2013, 49, 356–365. [Google Scholar] [CrossRef]
- Abadi, G.B.; Yun, E.; Kim, K.C. Experimental study of a 1 kw organic Rankine cycle with a zeotropic mixture of R245fa/R134a. Energy 2015, 93, 2363–2373. [Google Scholar] [CrossRef]
- Surindra, M.D.; Caesarendra, W.; Prasetyo, T.; Mahlia, T.M.I. Taufik Comparison of the utilization of 110 °C and 120 °C heat sources in a geothermal energy system using Organic Rankine Cycle (ORC) with R245fa, R123, and mixed-ratio fluids as working fluids. Processes 2019, 7, 113. [Google Scholar] [CrossRef] [Green Version]
- Nondy, J.; Gogoi, T.K. Comparative performance analysis of four different combined power and cooling systems inte-grated with a topping gas turbine plant. Energy Convers. Manag. 2020, 223, 113242. [Google Scholar] [CrossRef]
- Jannatkhah, J.; Najafi, B.; Ghaebi, H. Energy and exergy analysis of combined ORC–ERC system for biodiesel-fed diesel engine waste heat recovery. Energy Convers. Manag. 2020, 209, 112658. [Google Scholar] [CrossRef]
- Liao, G.; Jiaqiang, E.; Zhang, F.; Chen, J.; Leng, E. Advanced exergy analysis for Organic Rankine Cycle-based layout to recover waste heat of flue gas. Appl. Energy 2020, 266, 114891. [Google Scholar] [CrossRef]
- Boyaghchi, F.A.; Montazerinejad, H. Multi-objective optimisation of a novel combined cooling, heating and power system integrated with flat plate solar collectors using water/CuO nanofluid. Int. J. Exergy 2016, 21, 202–238. [Google Scholar] [CrossRef]
- Tiwari, D.; Sherwani, A.F.; Atheaya, D.; Kumar, A.; Kumar, N. Thermodynamic analysis of Organic Rankine cycle driven by reversed absorber hybrid photovoltaic thermal compound parabolic concentrator system. Renew. Energy 2020, 147, 2118–2127. [Google Scholar] [CrossRef]
- Tontu, M.; Sahin, B.; Bilgili, M. An exergoeconomic–environmental analysis of an organic Rankine cycle system integrated with a 660 MW steam power plant in terms of waste heat power generation. Energy Sources Part A Recover. Util. Environ. Eff. 2020, 1–22. [Google Scholar] [CrossRef]
- Gao, H.; Liu, C.; He, C.; Xu, X.; Wu, S.; Li, Y. Performance analysis and working fluid selection of a supercritical organic rankine cycle for low grade waste heat recovery. Energies 2012, 5, 3233–3247. [Google Scholar] [CrossRef]
- Liu, G.; Wang, Q.; Xu, J.; Miao, Z. Exergy analysis of two-stage organic rankine cycle power generation system. Entropy 2021, 23, 43. [Google Scholar] [CrossRef]
- Baral, S.; Kim, D.; Yun, E.; Kim, K.C. Experimental and thermoeconomic analysis of small-scale solar organic rankine cycle (SORC) system. Entropy 2015, 17, 2039–2061. [Google Scholar] [CrossRef] [Green Version]
- Zhang, X.; Cao, M.; Yang, X.; Guo, H.; Wang, J. Economic analysis of Organic Rankine Cycle using R123 and R245fa as working fluids and a demonstration project report. Appl. Sci. 2019, 9, 288. [Google Scholar] [CrossRef] [Green Version]
- Restrepo, G.; Weckert, M.; Brüggemann, R.; Gerstmann, S.; Frank, H. Ranking of refrigerants. Environ. Sci. Technol. 2008, 42, 2925–2930. [Google Scholar] [CrossRef]
- Lemmon, E.; Huber, M.; McLinden, M. “NIST Standard Reference Database 23: Reference Fluid Thermodynamic and Transport Properties-REFPROP, Version 9.1.” In Natl Std. Ref. Data Series (NIST NSRDS); National Institute of Standards and Technology: Gaithersburg, MD, USA, 2013. Available online: https://tsapps.nist.gov/publication/get_pdf.cfm?pub_id=912382 (accessed on 15 January 2022).
- Guo, T.; Wang, H.; Zhang, S. Comparative analysis of CO2-based transcritical Rankine cycle and HFC245fa-based subcritical organic Rankine cycle using low-temperature geothermal source. Sci. China Technol. Sci. 2010, 53, 1638–1646. [Google Scholar] [CrossRef]
- He, C.; Liu, C.; Gao, H.; Xie, H.; Li, Y.; Wu, S.; Xu, J. The optimal evaporation temperature and working fluids for subcritical organic Rankine cycle. Energy 2012, 38, 136–143. [Google Scholar] [CrossRef]
- Karellas, S.; Schuster, A.; Leontaritis, A.D. Influence of supercritical ORC parameters on plate heat exchanger design. Appl. Therm. Eng. 2012, 33–34, 70–76. [Google Scholar] [CrossRef]
- El-Sattar, H.A.; Kamel, S.; Vera, D.; Jurado, F. Tri-generation biomass system based on externally fired gas turbine, organic rankine cycle and absorption chiller. J. Clean. Prod. 2020, 260, 121068. [Google Scholar] [CrossRef]
- Karellas, S.; Braimakis, K. Energy-exergy analysis and economic investigation of a cogeneration and trigeneration ORC-VCC hybrid system utilizing biomass fuel and solar power. Energy Convers. Manag. 2016, 107, 103–113. [Google Scholar] [CrossRef]
- Zhi, L.H.; Hu, P.; Chen, L.X.; Zhao, G. Thermodynamic analysis of a novel transcritical-subcritical parallel organic Rankine cycle system for engine waste heat recovery. Energy Convers. Manag. 2019, 197, 111855. [Google Scholar] [CrossRef]
- COko, O.C.; Njoku, I.H. Performance analysis of an integrated gas-, steam-and organic fluid-cycle thermal power plant. Energy 2017, 122, 431–443. [Google Scholar] [CrossRef]
- Matuszewska, D.; Olczak, P. Evaluation of using gas turbine to increase efficiency of the organic Rankine cycle (ORC). Energies 2020, 13, 1499. [Google Scholar] [CrossRef] [Green Version]
- Györke, G.; Deiters, U.K.; Groniewsky, A.; Lassu, I.; Imre, A.R. Novel classification of pure working fluids for Organic Rankine Cycle. Energy 2018, 145, 288–300. [Google Scholar] [CrossRef]
- Imre, A.R.; Kustán, R.; Groniewsky, A. Mapping of the temperature-entropy diagrams of van der Waals fluids. Energies 2020, 13, 1519. [Google Scholar] [CrossRef] [Green Version]








| Component | Generated Entropy |
|---|---|
| Heat recovery steam generator (HRSG) | |
| Turbine (T) | |
| Pump (P) | |
| Condenser (COND) |
| Operating conditions | |||||||
|---|---|---|---|---|---|---|---|
| Environment | Organic Fluid | Residual Thermal Source | Cooling Water | ||||
| Patm, (bar) | 0.78 | ΔTHA, (°C) | 35 | Tg1, (°C) | 185 | ΔTwater, (°C) | 10 |
| Tamb, (°C) | 10 a 40 | ΔTcond, (°C) | 15 | Tg4, (°C) | ≥100 | T7, (°C) | Tamb |
| ηIT, (-) | 0.90 | ṁg (kgg/s) | 297.1 | P7, (bar) | Patm + ΔPwater | ||
| ηIB, (-) | 0.80 | ΔPwater, (bar) | 0.2 | ||||
Publisher’s Note: MDPI stays neutral with regard to jurisdictional claims in published maps and institutional affiliations. |
© 2022 by the authors. Licensee MDPI, Basel, Switzerland. This article is an open access article distributed under the terms and conditions of the Creative Commons Attribution (CC BY) license (https://creativecommons.org/licenses/by/4.0/).
Share and Cite
Méndez-Cruz, L.E.; Gutiérrez-Limón, M.Á.; Lugo-Méndez, H.; Lugo-Leyte, R.; Lopez-Arenas, T.; Sales-Cruz, M. Comparative Thermodynamic Analysis of the Performance of an Organic Rankine Cycle Using Different Working Fluids. Energies 2022, 15, 2588. https://doi.org/10.3390/en15072588
Méndez-Cruz LE, Gutiérrez-Limón MÁ, Lugo-Méndez H, Lugo-Leyte R, Lopez-Arenas T, Sales-Cruz M. Comparative Thermodynamic Analysis of the Performance of an Organic Rankine Cycle Using Different Working Fluids. Energies. 2022; 15(7):2588. https://doi.org/10.3390/en15072588
Chicago/Turabian StyleMéndez-Cruz, Ladislao Eduardo, Miguel Ángel Gutiérrez-Limón, Helen Lugo-Méndez, Raúl Lugo-Leyte, Teresa Lopez-Arenas, and Mauricio Sales-Cruz. 2022. "Comparative Thermodynamic Analysis of the Performance of an Organic Rankine Cycle Using Different Working Fluids" Energies 15, no. 7: 2588. https://doi.org/10.3390/en15072588
APA StyleMéndez-Cruz, L. E., Gutiérrez-Limón, M. Á., Lugo-Méndez, H., Lugo-Leyte, R., Lopez-Arenas, T., & Sales-Cruz, M. (2022). Comparative Thermodynamic Analysis of the Performance of an Organic Rankine Cycle Using Different Working Fluids. Energies, 15(7), 2588. https://doi.org/10.3390/en15072588

