Next Article in Journal
Comparative Thermodynamic Analysis of the Performance of an Organic Rankine Cycle Using Different Working Fluids
Previous Article in Journal
Improvement and Validation of the System Analysis Model and Code for Heat-Pipe-Cooled Microreactor
 
 
Font Type:
Arial Georgia Verdana
Font Size:
Aa Aa Aa
Line Spacing:
Column Width:
Background:
Article

Efficient Flash-D Deperming Protocol for Magnetic Stealth of Submarine Using the Preisach Model

Department of Electrical Engineering, Dong Eui University, Busan 47340, Korea
Energies 2022, 15(7), 2587; https://doi.org/10.3390/en15072587
Submission received: 24 February 2022 / Revised: 28 March 2022 / Accepted: 31 March 2022 / Published: 1 April 2022

Abstract

Demagnetization is required to prevent a warship from being detected by magnetic mines. However, minimal research has been conducted to establish a suitable deperming protocol, especially the Flash-D protocol. To establish such a deperming protocol, we conducted a theoretical study using Preisach modeling for the Flash-D protocol. Magnetic coercivity distributions were derived from B–H curves representing the material properties of the warship, and a deperming protocol that is effective on particles was proposed. The internal magnetization distribution was analyzed using the program combined with Preisach model and the finite element method (FEM), in accordance with the conventional and proposed protocols, and the proposed method was confirmed to be effective. In addition, the method was verified through experiments in a scaled-down magnetic treatment facility test room. Therefore, the proposed method can be used to establish an effective Flash-D protocol for submarines depending on the hysteresis characteristics of the magnetic material of the warship.

1. Introduction

Recently, along with the development of the electrical and electronic industry, high-performance magnetic materials are being developed. As for hard magnetic materials characterized by large coercive force, rare earth permanent magnets with high magnetic properties have been developed in accordance with the miniaturization and high performance of electric devices, and the demand and application fields are rapidly increasing. In addition, soft magnetic materials used for a large magnitude of magnetic flux density by a high magnetic permeability have been developed in response to the high functionality, lightweight, and compact size of electronic and communication devices.
However, magnetic materials that generate a large magnetic flux act as a disadvantage in fields that require precise measurement and response, such as in the national defense field. In particular, in the case of the navy, torpedoes, mines, and antisubmarine patrol aircraft are rapidly developing as weapons to attack ships, and among them, magnetic mines that detect the magnetic field of ships and attack equipment are mainly used. Mines have strategic value as a very effective weapon because of their underwater installation to block the access of ships through sea routes and neutralize the functions of ships, and their effectiveness has been proven through numerous wars.
Therefore, interest in the development of mines naturally increased, and research on mines progressed considerably through the development of science and industry. In particular, mines that operate after a certain period of time after a ship has passed, mines that are laid on the seabed and float to the surface when a ship passes through, and rocket-propelled mines that attack at high speed are diversified and intelligent. The risk of functioning is increasing day by day.
Techniques for reducing the magnetic signals of the ship include degaussing to reduce the induced magnetic field generated by the Earth’s magnetic field and demagnetization to reduce the permanent magnetic field generated by external stress during the manufacturing process.
Demagnetization is very important in the navy to prevent dangerous damage from weapons detecting magnetic fields, such as magnetic mines on the sea. Because submarines are made of ferromagnetic materials, the magnetic field is inevitably generated by the ship’s internal residual magnetization [1,2,3].
To demagnetize a warship, continuously alternating and decreasing magnetic fields are applied by deperming coils wound around the submarine, as shown in Figure 1. These magnetic fields are defined as the deperming protocol. Generally, there exist three types of deperming protocols: Anhysteretic Deperm, Deperm-ME and Flash-D [4,5,6].
Anhysteretic Deperm consists of linearly alternating and decreasing magnetic fields, and it is mainly used in the navy because it is easy to control. Deperm-ME consists of magnetic fields that decrease nonlinearly, and has superior demagnetization performance compared to Anhysteretic Deperm according to the hysteresis characteristics of magnetic materials. However, there are difficulties in controlling nonlinear magnetic fields in real-time.
Unlike Anhysteretic Deperm, Flash-D involves three stages. In Stage 1 of Flash-D, gradually decreasing and alternating magnetic fields are continuously applied from a large magnetic field. In Stage 2, an alternating magnetic field that increases to a certain magnitude from the end magnetic field of Stage 1 is continuously applied. Finally, in Stage 3, alternating magnetic fields are gradually decreased to a certain size. Each stage is established experimentally, and several studies were conducted to analyze it theoretically. The importance of the second stage has been emphasized in previous studies. If Stage 2 is executed in a high Preisach density region, high-quality results can be expected [4]. However, research on the factors that determine the most effective deperming protocol is inadequate. Therefore, it is necessary to establish a protocol decision method that determines the start and end magnetic fields for Stage 2 of demagnetization.
The Preisach model is a hysteresis modeling technique considers the coercive force and interaction of magnetic domains. Therefore, it was used in this study to theoretically analyze the deperming protocol [7,8,9]. From the hysteresis curve, the magnetic coercivity distribution was derived according to the coercive force, and the magnetic fields that can affect the most important magnetic domains were determined. Through this process, the start and end currents of Stage 2 of Flash-D were determined, and an effective deperming protocol was proposed for warships with different magnetic characteristics.
After the ship is demagnetized, it is remagnetized by the Earth’s magnetic field; therefore, demagnetization studies are carried out to remove this effect [10]. However, in this paper, a study was conducted on the demagnetization technique while the effect of the Earth’s magnetic field was eliminated by degaussing. To verify the proposed protocol, the internal magnetization distribution was analyzed using a program that combines Preisach modeling with the finite element method (FEM). In addition, the protocol was verified experimentally in a scaled down magnetic treatment facility (MTF) test room by using two specimens with different magnetic properties.

2. Deperming Protocol Considering Magnetic Coercivity Distributions

2.1. Demagnetization

Demagnetization means reducing the permanent magnetization component. In the case of a ship made from a ferromagnetic material, permanent magnetization inevitably occurs as the magnetic properties change due to magnetization by the Earth’s magnetic field continuously applied during construction and external stress such as welding and cutting. Accordingly, a permanent magnetic field signal flows to the outside, and demagnetization is required to prevent damage caused by magnetic mines.
For demagnetization of a ship, a coil is installed on the outside, as shown in Figure 1. Next, by applying alternating and decreasing continuous magnetic fields to the demagnetization coil, demagnetization is performed through the phenomenon of gradually decreasing from the major curve to the minor curve due to the hysteresis characteristic of the magnetic material, as shown in Figure 2.
The magnetic domain arrangement according to the demagnetization process is shown in Figure 3. In fact, magnetic domains of various sizes and directions are formed inside the ferromagnetic material, but in Figure 2 it is simplified into a group having a total of three sizes.
In the initial state of a ferromagnetic material, magnetic domains are distributed randomly, so the total magnetization is 0. In the case of a ship, however, a permanent magnetic field is generated during the manufacturing process, so the magnetic domains are arranged in a state with a certain amount of magnetization, as shown in Figure 3a. Next, a magnetizing magnetic field is applied to remove the magnetic hysteresis remaining inside and to arrange the magnetic domains in one direction. At this time the field must be applied with a very large magnetic field to sufficiently saturate the ship. When a sufficiently large magnetizing magnetic field is applied, the magnetic domains are arranged in the same direction as one magnetizing magnetic field, as shown in Figure 3b. Then, when a magnetic field that is smaller in magnitude and opposite to that of the first magnetic field is applied, the largest magnetic domains are not affected, but the remaining magnetic domains change directions. As a result, the magnetic domains are offset to some extent and the total amount of magnetization is reduced, but a large magnetization still exists. Additionally, if the size is reduced and alternating magnetic fields are applied, the magnetic domains are finally arranged so that they can cancel each other, as shown in Figure 3f, through the process shown in Figure 3d,e, so that the total amount of magnetization is 0. As such, since demagnetization uses a very small magnetic domain, it is necessary to analyze the hysteresis characteristics.

2.2. Preisach Model

To analyze the hysteresis characteristics of a ferromagnetic material according to the demagnetization, a hysteresis modeling technique that can reflect material properties is required. In the case of Preisach modeling, there is an advantage for considering the interaction between magnetic particles that are close to each other inside the magnetic material. Interaction between particles is when magnetic particles with a magnetization amount are close to each other and show different characteristics than when they are alone. Therefore, when Preisach modeling is used, the hysteresis inside a magnetic material can be simulated well by considering the interaction between particles as well as hysteresis characteristics. Therefore, the Preisach model was used in this paper.
The Preisach model draws the trace according to the applied magnetic field on the Preisach plane representing the distribution of the hysteresis operator, and calculates the magnetization according to the traces. The hysteresis characteristic of each magnetic particle composing the magnetic material is expressed by the unit hysteresis operator f and defined as shown in Figure 4. The unit hysteresis operator is called hysteron.
As shown in Figure 5, the characteristics of ferromagnetic materials are represented with the density distribution of the hysteresis operator f according to the coercive force and interaction forces. Each hysteron can take two values ((−1,1), (0,1)) [11,12].
For example, hysterons with no interaction and small coercive force are distributed at P1. When an interaction between the hysterones occurs, some of the hysterones move to P2. If the interaction field axes are the same, they have the same size of interaction forces. The hysterons with no interaction and greater coercive force than P1 are located at P3. Along the coercive force axis are hysterons with different coercive forces without interaction.
To calculate the total magnetization, the trace is considered depending on the variation in the input on the Preisach plane. The method of drawing the traces is shown in Figure 6. As can be seen in Figure 5, when all hysteresis operators have a value of −1, if the input value increases, the particles whose output changes to +1 according to the input value change in the A direction. When the input value increases in the negative direction when at the point, the particles whose output value changes to −1 according to the input value change in the B direction. As a result, if the input increases, the trace is drawn in the vertical direction, as shown in Figure 6a, and when the input value decreases, the traces is drawn in the horizontal direction, as shown in Figure 6b.
Therefore, when continuously reducing and alternating magnetic fields are applied to the magnetic material, the traces are drawn on the Preisach plane showing the hysteresis characteristics of magnetic material, as shown in Figure 7. The amount of magnetization can be then calculated by adding the Preisach density distribution of the two regions divided by the hysteresis traces.

2.3. Process to Determine the Efficient Deperming Protocol

A continuous magnetic field applied from the outside to perform demagnetization is called demagnetization protocol. Currently, there are three demagnetization techniques used worldwide: Anhysteretic Deperm, Deperm-ME, and Flash-D.
Anhysteretic Deprm refers to a demagnetization technique in which the magnitude of the magnetic fields decreases linearly. When the magnitude of the initial magnetic field, the magnitude of the ending magnetic field, and the number of applied magnetic fields are determined, the amount of reduction is automatically calculated, so it is very easy to control.
Deperm-ME is an exponentially decreasing demagnetization technique and has better demagnetization performance than Anhysteretic Deprm, but there is a limit to actual naval application because it is difficult to control.
Flash-D is a demagnetization technique mainly used in submarines, and unlike the other two techniques, it has a total of three stages. Figure 8 shows the Flash-D protocol.
The first two demagnetization techniques have been studied theoretically by previous studies. However, in the case of Flash-D, research is still insufficient. Therefore, in this paper, a study on Flash-D was performed.
To study the demagnetization of magnetic materials, both the major and minor characteristics must be considered. Theoretical analysis to determine the effective Flash-D deperming protocols was performed in a previous study. According to this study, superior demagnetization performance can be achieved when Stage 2 includes regions with a high Preisach density distribution [4]. However, since this paper emphasizes only the importance of Stage 2, research on the process of determining the protocol was insufficient. Therefore, in this study, one criterion for determining an effective protocol was determined experimentally and analyzed theoretically.
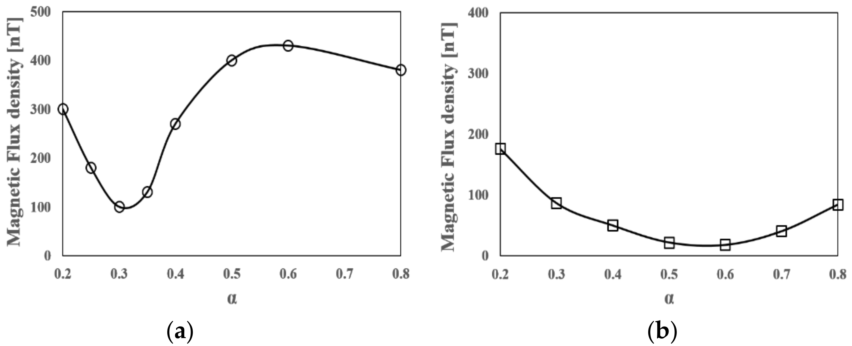
The B–H curves of the magnetic materials were measured. Gaussian distributions were obtained by differentiating the measured B–H curves. These distributions represent the density distribution of the magnetic domains having different coercive forces along the coercivity field axis on the Preisach plane. These density curves were used, and all the characteristics of the magnetic materials were considered. Experiments were conducted on SM45C and SS400 materials. The protocol was determined by changing α from the highest density, where α is a variable that determines H1 and H2. The process is shown in Figure 9.
Figure 10 shows the results of the demagnetization experiment for each material. The SM45C and SS400 materials were most effectively demagnetized when α was 0.3 and 0.6, respectively.
To determine the total magnetization, the density was integrated using (1). If the density distribution from H1 to H2 is integrated, the magnetization is calculated, which accounts for 50% of the total magnetization.
M = D   d H
Mt = H 1 H 2 D   d H
where M, Mt, H1, and H2 are the total magnetization, target magnetization, and start and end magnetic fields in Stage 2, respectively.
It is extremely important to define H1 and H2. Unlike other magnetic domains, the magnetic domains in the region are affected once again by magnetic fields during Stage 2, thus they cancel each other out. Therefore, the protocol is effective on the domains at each stage, and thus, the resulting demagnetization is high.

3. Results and Discussion

3.1. Magnetic Properties of SS400 and SM45C

In this study, specimens manufactured using ferromagnetic materials SS400 and SM45C with different magnetic properties were used as equivalent models of the submarine. Figure 11 shows B–H curves for SS400 and SM45C magnetic materials. SS400 has a coercive force of 284 A/m, and SM45C has a coercive force twice that of SS400.
The hysteresis characteristics of the two materials were simulated via Preisach modeling to perform the demagnetization analysis. Figure 12 shows the Preisach density distributions for the two materials. As SS400 has a small coercive force, the magnetic domains are concentrated in the lower position of the coercive field axis and the hysterons are concentrated by the large squareness ratio. In contrast, SM45C has a large coercive force and a wide distribution of hysterons.

3.2. Simulation and Experiment Setup

To investigate demagnetization, laboratory-scale experiments were performed in the MTF. Two specimens of different magnetic materials were used as equivalent models of warships to perform the demagnetization analysis. Figure 13 shows the specimen and demagnetizing coil for the experiment and simulation. The hollow cylinder model is mainly used as an equivalent model of a submarine because it resembles the shape of a long, hollow submarine. To demagnetize the specimen, a solenoid coil with a diameter of 60.4 mm and 606 windings was fabricated. In the case of a solenoid coil, a uniform magnetic field is generated at the center, but the magnitude is rapidly reduced at both ends. However, since a uniform magnetic field must be applied to the specimen in order to perform demagnetization, the coil is designed so that a uniform magnetic field is applied to the entire specimen. A deperming protocol was applied through a power supply while the specimen was placed inside the coil.
Figure 14 shows the overall experimental environment. After the deperming protocol was applied, the magnetic flux density was measured using a flux sensor positioned 18 cm below the middle of the deperming coil in the vertical direction while moving the specimen on an aluminum rail. All equipment near the flux sensor was made of aluminum to eliminate the effect of the external environment.
In addition, all experiments were conducted in a laboratory surrounded by three-axis coils, as shown in Figure 15. As demagnetization tests may be affected by a small external magnetic field, the influence of the Earth’s magnetic field inside the laboratory was eliminated by applying a suitable current through the coils [8].

3.3. Simulation Results

To confirm the proposed protocol, demagnetization analysis was conducted using a program combining the Preisach model and finite element method. Figure 16 shows the conventional and proposed protocol in Stage 2. In Stage 1, both protocols set the initial magnetic field and the number of applied magnetic fields to be the same for minimizing the effect of Stage 1. In addition, the number of the ending magnetic field and the number of applied magnetic fields of Stage 3 was the same. The conventional protocol starts with a small magnetic field and ends with a large magnetic field in Stage 2. However, in the proposed protocol, the difference between the initial and final value is smaller in order to affect half of the total magnetic domains. Then, two protocols were applied to the SS400 specimen.
The distribution of the internal magnetization after deperming is shown in Figure 17. After application of the conventional protocol, a large magnetization remained inside the specimen, as shown in Figure 17a. This is because many particles existing in the Stage 2 area were not effectively demagnetized, so a large amount of magnetization remained. However, when the proposed protocol was applied, it affected many particles and so the magnetization was almost eliminated, as shown in Figure 17b. Therefore, the proposed method was effective.

3.4. Experimental Results

Experiments were performed on actual specimens to verify the analytical results. To compare the demagnetization performance, the conventional and proposed protocols were applied to each specimen. The magnetic flux density of the specimens was measured using a magnetic sensor while the specimen was moving. Since the measured magnetic field is symmetrical in the Y-axis direction, it is canceled and has only the X-axis and Z-axis components.
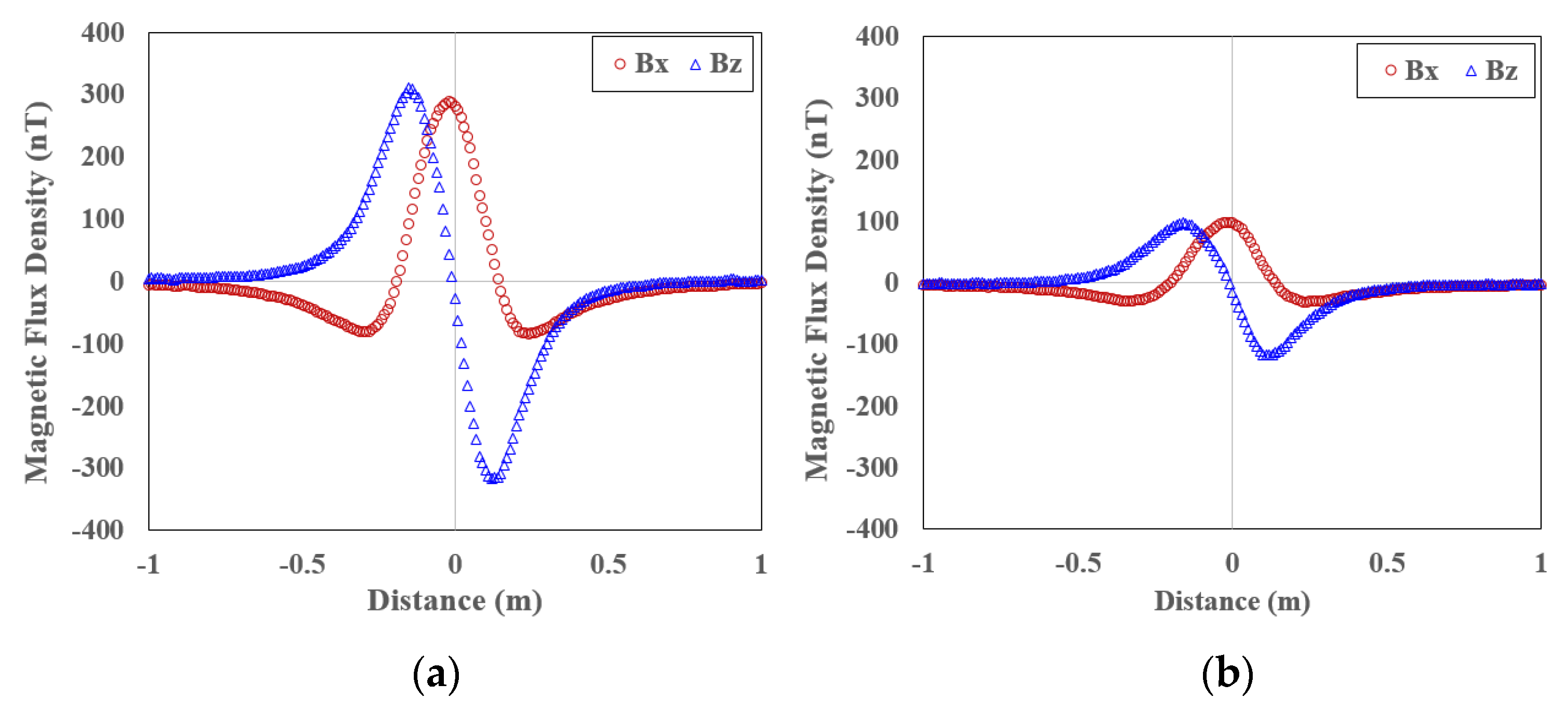
The measured results are presented in Figure 18 and Table 1. For the conventional protocol, the measured magnetic flux density was 176.2 nT. However, when the proposed protocol was applied, the magnetic flux density was reduced to 21.2 nT, which is only 13% of that under the conventional protocol. Similar results were obtained for demagnetization using Preisach modeling and FEM.
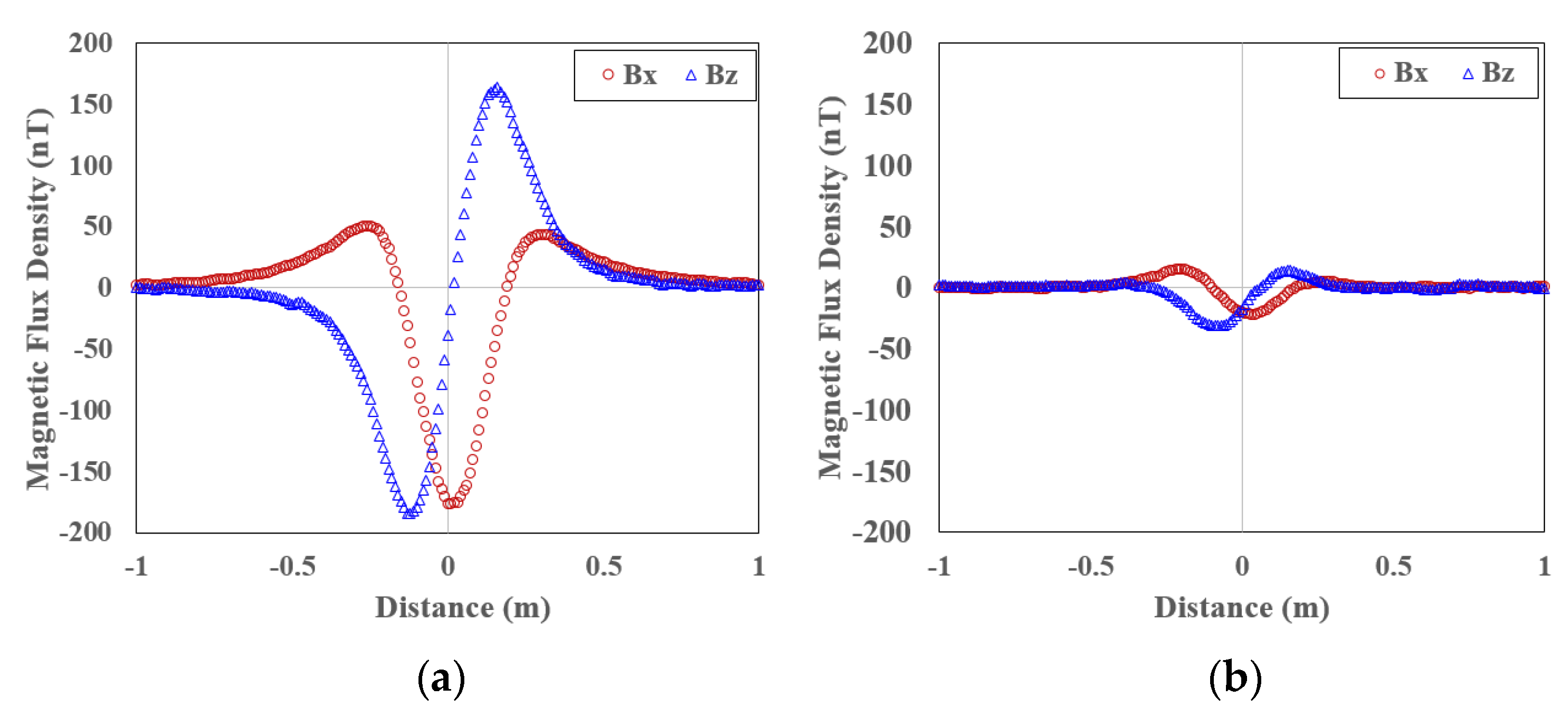
To verify that the proposed protocol is applicable to other materials, a specimen of the same size but composed of SM45C was tested as well. Figure 19 and Table 2 show the experimental results. After the application of the conventional deperming protocol, magnetic flux density of up to 289.2 nT was measured; however, once the proposed protocol was applied, maximum magnetic flux density was only 98.7 nT. Thus, using the proposed method, the magnetic flux density was approximately 34% of that measured for the conventional method.

4. Conclusions

Among the detection techniques used to reduce the damage of mines installed on the seabed, the demagnetization techniques, Anhysteretic Deperm, Deperm-ME, and Flash-D, are currently being determined through experience and experiment rather than theoretical analysis. Therefore, in this study, we developed an effective deperming protocol considering the magnetic coercivity field distribution to ensure magnetic stealth of warships.
To perform demagnetization research, not only are the major and minor characteristics of the hysteresis curve considered, but in this paper the Preisach model, one of the hysteresis modeling techniques, was used. The distribution of hysterons was predicted from the hysteresis characteristic curves using Preisach model, and the magnetic fields that affect the most important magnetic domains in Stage 2 were determined. The protocol was analyzed theoretically and simulated using the Preisach model and FEM. It was experimentally tested on SS400 and SM45C specimens in the MTF. In the experiment using SM45C, the proposed deperming protocol was applied and compared to the conventional protocol, and the result was reduced by 12%. Additionally, results showing a reduction were also confirmed in the experiment using SS400. Therefore, it is possible to establish a deperming protocol that considers the magnetic characteristics of magnetic materials.

Funding

This research was supported by the Basic Science Research Program, National Research Foundation of Korea (NRF), funded by the Ministry of Education (2020R1I1A1A01072534).

Conflicts of Interest

The author declares no conflict of interest.

References

  1. Enokizono, M.; Todaka, T.; Kumoi, M. Demagnetization and magnetic domain structure of silicon steel sheet. J. Magn. Magn. Mater. 1992, 112, 207–211. [Google Scholar] [CrossRef]
  2. Modi, A.; Kazi, F. Electromagnetic Signature Reduction of Ferromagnetic Vessels Using Machine Learning Approach. IEEE Trans. Magn. 2019, 55, 6000606. [Google Scholar] [CrossRef]
  3. Varma, R.A.R. Design of Degaussing System and Demonstration of Signature Reduction on Ship Model through Laboratory Experiments. Phys. Procedia 2014, 54, 174–179. [Google Scholar] [CrossRef]
  4. Baynes, T.; Russell, G.; Bailey, A. Comparison of stepwise demagnetization techniques. IEEE Trans. Magn. 2002, 38, 1753–1758. [Google Scholar] [CrossRef]
  5. Ju, H.S.; Won, H.; Chung, H.J.; Park, G.S. A Study on the Deperm Procols Considering Demagnetizing Field of a Ferromagnetic Material. J. Magn. 2014, 19, 43–48. [Google Scholar] [CrossRef][Green Version]
  6. Ju, H.S.; Chung, H.-J.; Im, S.H.; Jeong, D.W.; Kim, J.W.; Lee, H.-B.; Park, G.S. Efficient Deperming Protocols Based on the Magnetic Properties in Demagnetization Process. IEEE Trans. Magn. 2015, 51, 7301704. [Google Scholar] [CrossRef]
  7. Boots, H.M.J.; Schep, K.M. Anhysteretic magnetization and demagnetization factor in Preisach models. IEEE Trans. Magn. 2000, 36, 3900–3909. [Google Scholar] [CrossRef]
  8. Park, G.S.; Hahn, S.Y.; Lee, K.S.; Jung, H.K. Implementation of hysteresis characteristics using the Preisach model with M-B variables. IEEE Trans. Magn. 1993, 29, 1542–1545. [Google Scholar] [CrossRef]
  9. Won, H.; Ju, H.; Park, S.; Park, G. A Study on the Deperming of a Ferromagnetic Material by Using Preisach Model with M-B Variables. IEEE Trans. Magn. 2013, 49, 2045–2048. [Google Scholar] [CrossRef]
  10. Im, S.H.; Lee, H.Y.; Chung, H.J.; Park, G.S. Demagnetization Scheme for Avoiding Magnetic Mines Under the Exposure of Earth Magnetic Field. J. Magn. 2018, 54, 7300604. [Google Scholar] [CrossRef]
  11. Mayergoyz, I.; Friedman, G. Generalized Preisach model of hysteresis. IEEE Trans. Magn. 1988, 24, 212–217. [Google Scholar] [CrossRef]
  12. Birsan, M. Simulation of a Ship’s Deperming Process Using the Jiles-Atherton Model. IEEE Trans. Magn. 2021, 57, 7300407. [Google Scholar] [CrossRef]
Figure 1. Demagnetization of a submarine.
Figure 1. Demagnetization of a submarine.
Energies 15 02587 g001
Figure 2. The principle of demagnetization and hysteresis curve of ferromagnetic material.
Figure 2. The principle of demagnetization and hysteresis curve of ferromagnetic material.
Energies 15 02587 g002
Figure 3. Magnetic domain arrangement after magnetization and demagnetization: (a) initial state; (b) magnetized state; (c) M2 state; (d) M3 state; (e) M4 state; (f) demagnetized state.
Figure 3. Magnetic domain arrangement after magnetization and demagnetization: (a) initial state; (b) magnetized state; (c) M2 state; (d) M3 state; (e) M4 state; (f) demagnetized state.
Energies 15 02587 g003
Figure 4. Unit hysteresis operator and Preisach plane: (a) unit hysteresis operator f; (b) Preisach plane.
Figure 4. Unit hysteresis operator and Preisach plane: (a) unit hysteresis operator f; (b) Preisach plane.
Energies 15 02587 g004
Figure 5. Preisach density distribution depending on coercivity and interaction fields on the Preisach plane.
Figure 5. Preisach density distribution depending on coercivity and interaction fields on the Preisach plane.
Energies 15 02587 g005
Figure 6. The trace according to the increase or decrease in the input on the Preisach plane (a) when the input increases and (b) when the input decreases.
Figure 6. The trace according to the increase or decrease in the input on the Preisach plane (a) when the input increases and (b) when the input decreases.
Energies 15 02587 g006
Figure 7. The trace depending on the complex inputs on the Preisach plane: (a) applied magnetic fields and (b) the traces according to the applied magnetic fields on the Preisach plane.
Figure 7. The trace depending on the complex inputs on the Preisach plane: (a) applied magnetic fields and (b) the traces according to the applied magnetic fields on the Preisach plane.
Energies 15 02587 g007
Figure 8. Flash-D protocol.
Figure 8. Flash-D protocol.
Energies 15 02587 g008
Figure 9. Process to establish the proposed protocol.
Figure 9. Process to establish the proposed protocol.
Energies 15 02587 g009
Figure 10. Results of demagnetization experiment according to α: (a) SM45C and (b) SS400.
Figure 10. Results of demagnetization experiment according to α: (a) SM45C and (b) SS400.
Energies 15 02587 g010
Figure 11. B−H curves of SS400 and SM45C specimens.
Figure 11. B−H curves of SS400 and SM45C specimens.
Energies 15 02587 g011
Figure 12. Preisach density distribution according to magnetic materials: (a) SS400 and (b) SM45C.
Figure 12. Preisach density distribution according to magnetic materials: (a) SS400 and (b) SM45C.
Energies 15 02587 g012
Figure 13. Specimen and solenoid coil for experiment and simulation of demagnetization.
Figure 13. Specimen and solenoid coil for experiment and simulation of demagnetization.
Energies 15 02587 g013
Figure 14. Experimental devices for the demagnetization.
Figure 14. Experimental devices for the demagnetization.
Energies 15 02587 g014
Figure 15. Laboratory environment in which external environmental influences were eliminated by 3-axis coils.
Figure 15. Laboratory environment in which external environmental influences were eliminated by 3-axis coils.
Energies 15 02587 g015
Figure 16. Conventional protocol and proposed protocol in Stage 2.
Figure 16. Conventional protocol and proposed protocol in Stage 2.
Energies 15 02587 g016
Figure 17. Residual magnetization distribution according to protocols using simulation. (a) Conventional Flash-D (b) Proposed protocol.
Figure 17. Residual magnetization distribution according to protocols using simulation. (a) Conventional Flash-D (b) Proposed protocol.
Energies 15 02587 g017
Figure 18. Deperming experiment results of SS400 depending on deperming protocols: (a) conventional protocol and (b) proposed protocol.
Figure 18. Deperming experiment results of SS400 depending on deperming protocols: (a) conventional protocol and (b) proposed protocol.
Energies 15 02587 g018
Figure 19. Deperming experiment results of SM45C depending on two deperming protocols: (a) conventional protocol and (b) proposed protocol.
Figure 19. Deperming experiment results of SM45C depending on two deperming protocols: (a) conventional protocol and (b) proposed protocol.
Energies 15 02587 g019
Table 1. Measured and simulated results for SS400.
Table 1. Measured and simulated results for SS400.
ProtocolsConventional (Simulated)Proposed (Simulated)
magnetic flux density176.2 nT (199 nT)21.9 nT (21.2 nT)
Table 2. Measured results for SM45C.
Table 2. Measured results for SM45C.
ProtocolsConventionalProposed
magnetic flux density289.2 nT98.7 nT
Publisher’s Note: MDPI stays neutral with regard to jurisdictional claims in published maps and institutional affiliations.

Share and Cite

MDPI and ACS Style

Im, S.H. Efficient Flash-D Deperming Protocol for Magnetic Stealth of Submarine Using the Preisach Model. Energies 2022, 15, 2587. https://doi.org/10.3390/en15072587

AMA Style

Im SH. Efficient Flash-D Deperming Protocol for Magnetic Stealth of Submarine Using the Preisach Model. Energies. 2022; 15(7):2587. https://doi.org/10.3390/en15072587

Chicago/Turabian Style

Im, Sang Hyeon. 2022. "Efficient Flash-D Deperming Protocol for Magnetic Stealth of Submarine Using the Preisach Model" Energies 15, no. 7: 2587. https://doi.org/10.3390/en15072587

APA Style

Im, S. H. (2022). Efficient Flash-D Deperming Protocol for Magnetic Stealth of Submarine Using the Preisach Model. Energies, 15(7), 2587. https://doi.org/10.3390/en15072587

Note that from the first issue of 2016, this journal uses article numbers instead of page numbers. See further details here.

Article Metrics

Back to TopTop