Abstract
In order to achieve France’s goal of carbon neutrality by 2050, the French Polynesian administration has set the objective of producing 100% of the local electricity requirements from renewable energy resources. To this end, we present the wind characteristics at six selected locations in Tahiti. Surface wind observations from 2008 to 2020 obtained from the Meteorological Service of French Polynesia are analysed in terms of wind speed, dominant wind direction and power density to identify the most suitable locations for the deployment of wind farms. The Weibull distribution is used to fit the wind speed data recorded at 10 m above ground level, as it is widely used by turbine manufacturers. Then, wind speed is extrapolated vertically up to the hub height with the power law, which is also commonly used in wind energy studies. The theoretical annual energy output and capacity factor of four selected commercial wind turbines are assessed for each site in order to provide stakeholders with the relevant information regarding wind energy harvesting in Tahiti. Power law indices lower than 0.2 were chosen. Our results show that all year round, two sites, Faaa and Tautira, are suitable to host wind turbines, even with a power law index as low as 0.1.
1. Introduction
Increasing energy demand, rapidly decreasing fossil fuel stocks and environmental issues have led to the increasing use of alternative energy resources, such as solar and wind power, for electricity generation in the Pacific island territories.
In Tahiti, the proportion of electricity produced from renewable energy resources is relatively high: 30.2% in 2018, primarily from hydropower (25%) and secondly from photovoltaic sources (5.2%) [1]. However, the island remains heavily dependent on fossil fuel imports. This makes Tahiti highly vulnerable to petroleum price volatility and supply disruptions. In addition to its remote location, the small size and diesel-based technology of thermal power plants in Tahiti contribute to the very high cost of electricity. In an effort to reduce these costs and tackle global climate change, following the 2015 Paris Agreement, the French Polynesian administration has set the objective of producing 100% of the electricity supply from renewable energy resources by 2050 [2].
An overview of wind energy in the South Pacific islands is given in the International Renewable Energy Agency (IRENA)’s latest report [3]. Such a report is important to the local policy makers and investors since the neighbouring Pacific islands are volcanic islands with complex topography, and share the same tropical climate and meteorological hazards as Tahiti. In Fiji, 37 Vergnet 275 kW turbines provide 10 MW nominal power [3]. Alizes Energies in New Caledonia manages six wind farms with a 38 MW total power capacity [4]. In Vanuatu, Unelco operates a 3.4 MW wind farm comprising 13 turbines [5]. Samoa has a 1 MW wind farm operating since 2014 and Tonga has been equipped with a 2 MW wind farm since 2019 [3]. The use of wind turbines on islands of the South Pacific usually involves serious technological and socio-economic constraints. Indeed, as tropical storms, with wind speeds that can exceed 200 km h, periodically hit the islands of the western Pacific, the choice of foldable turbines is advised [6]. In March 2015, according to a press release [7], all thirteen Vergnet turbines installed in the Vanuatu archipelago withstood the gusts exceeding 320 km h of tropical cyclone Pam. The turbines resumed their normal function when the power grid was re-established. Furthermore, the limited harbour sizes, the road networks and the steep orography of many islands constrain the sizes and types of turbine that can be imported and installed. The impact of wind turbines on the landscape should also be considered since it has socio-economic consequences, notably on tourism.
To date, wind energy has not been extensively exploited in French Polynesia despite the declining cost of wind power plants. Only two out of 118 French Polynesian islands have been equipped with a wind farm [8]. The first island, Makemo, located in the Tuamotu archipelago, with six 30 kW wind turbines, produced around 40% of the island’s electricity needs from 2007 to 2010 [8]. Due to management issues and the lack of maintenance budget, the turbines have not worked since. The second island, Rurutu, located in the Australs archipelago, with two 60 kW wind turbines, produced around 10% of the electricity needs from 1991 to 2008 [8]. Production stopped because the replacement of the turbines was too costly. On a smaller scale, turbines of 7 kW are operating in some guesthouses on the islands of Maupiti and Tikehau [9]. The wind farms generally failed in French Polynesia because of bad management and a lack of funds, but poor wind potential is not necessarily the cause of these failures. Another reason is the obvious lack of knowledge on wind power ramp events [10]. Studying past wind ramp events should be considered as an essential component to mitigate wind intermittency by designing an appropriate energy storage system [11]. Furthermore, refs. [12,13,14] have shown, using machine learning techniques, the efficiency of forecasting wind and ramp events to ensure grid stability and reliability. Establishing a successful wind farm requires, first, excellent knowledge of the local wind characteristics in order to assess the energy resource, and, if the resource is viable, an appropriate choice of turbine model. To analyse wind energy, statistical tools are used: ref. [15] proposed a comprehensive review of the wind speed probability density functions (PDFs). Many studies used Pearson, Johnson, log–normal, Weibull, Rayleigh and Gaussian PDFs [16,17,18,19]. We chose the Weibull PDF. It is often used in wind potential studies due to its flexibility, simplicity and ability to treat a wide range of data [20,21]. Wind measurements are commonly carried out at 10 m above ground level. In order to estimate wind speed at the hub height, an extrapolation is needed. Various methods have been proposed in [22], including the basic power law and log-law. In this study, we use the power law based on knowledge of the power law index (PLI) , but we only have wind data at 10 m above ground level, which is not sufficient to estimate . Ref. [23] reported that ranges from 0.05 to 0.5, based on worldwide in situ measurements, which could substantially affect vertical extrapolation. Furthermore, is highly variable and strongly affected by atmospheric stability, surface roughness and the nature of the terrain [24,25]. The PLI value would not be the same for a station located in a flat coastal area and another one located in an inhabited valley in the inland, but this topic is further addressed in Section 2.
This study provides for the first time an assessment of the wind energy potential in Tahiti, together with a comparison of the performance of selected small commercial wind turbines, which could be appropriate in a domestic wind farm. Section 2 presents the data sets and the mathematical tools used in this work. Section 3 contains the results and discussion. Concluding remarks are given in Section 4.
2. Materials and Methods
Hourly mean wind speed and direction were obtained from the Meteorological Service of French Polynesia:
- -
- Faaa and Tautira (2008–2020);
- -
- Faaa, Tautira, Mahina, Afaahiti, Vairao and Papara (2016–2020).
The time series in each station were recorded using DEOLIA396 weather vanes and cup–generator anemometers, except in Faaa, where an ultrasonic anemometer, the Thies 2D compact model, was used. The anemometers were all at a height of 10 m above ground level. The geographical location of the six sensors is indicated in Figure 1 and a more detailed description is provided in Table 1.
Figure 1.
Map of Tahiti showing the locations of the six wind sensors.
Table 1.
Details regarding the locations of the wind sensors.
2.1. Technical Analysis
As stated in the introduction, we used the Weibull PDF to assess wind speed [20]:
where k is the Weibull shape parameter, c the scale parameter and is the probability of observing wind speed v (m/s).
The cumulative density function (CDF) associated with the Weibull PDF is:
where is the probability of observing a wind speed lower or equal to v [26].
The following approximations from [26] are used to estimate the Weibull shape parameter and scale factor:
where is the mean wind speed and the standard deviation of the wind speed, defined in terms of the Weibull parameters k and c, following [27] as:
and
The Mean squared error (MSE) is used to check the fit of the Weibull PDF to the observations. The lower the MSE value, the better the fit. The MSE is defined by:
where are the frequencies from the Weibull fit and the real data frequencies. N is the number of wind speed bins.
2.2. Extrapolation of Wind Speed at Different Hub Height
In most cases, wind direction and speed are measured and recorded by meteorological services. The wind sensors are conventionally placed at 10 m above ground level. Given that this elevation is different from the wind turbine hub height, we used the power law model [28] to extrapolate the wind speed vertically:
where V is the wind speed at hub height h, is the wind speed measured by the sensor at height and is the PLI. A minimum of two wind speed measurements at different heights is necessary. However, ref. [27] suggested using the 1/7 power law, defined by to estimate the wind speed at a desired height when it is not possible to determine . This value dates back to 1947 when it was introduced by Frost [29] and gives a good approximation for the wind profile only under neutral conditions in the atmospheric boundary layer [30]. This value of has been contested in many studies, including [31], which covers 39 different regions. They calculated 7082 coefficients, and found that only 7.3% of them were distributed between 0 and 0.14, while 91.9% of them were above 0.143 (and 0.8% were negative values). Ref. [32] determined PLIs at four coastal sites in Malaysia by measuring the wind speed at several heights. Their results give average values of PLIs varying from 0.2 to 0.47 for the four sites, the lowest value corresponding to a flat terrain and the highest value corresponding to a terrain with many buildings and trees.
In our case, Tahiti is a high island composed of two coalesced volcanoes. Its highest point is 2241 m above sea level. The central part of the island is defined by complex topography and dense tropical vegetation. The coastal parts are inhabited and heavily urbanized in the agglomeration of Papeete, which is situated in the northwestern part of the main island. We have wind measurements, only available at one single height of 10 m, which make the estimate of impossible. The only value of available to us was estimated by the electricity company of Tahiti at one site, in the valley of Punaruu located on the leeward side of the island, on a terrain surrounded by low buildings and some trees. Wind speeds, recorded every 10 min at 10 m and 30 m above ground level for three years, give a yearly mean PLI of 0.18. The Punaruu valley has the highest surface friction in comparison with the other stations. Therefore, the 0.18 value should be regarded as the highest PLI in Tahiti. Since our purpose is to verify the viability of running some wind turbines, we decided to investigate four PLI values, 0.05, 0.10, 0.15, and 0.2, in order to not overestimate wind resources and yet have different scenarios.
2.3. Evaluation of the Wind Power Density (WPD)
Following [33], the mean power in the wind through a surface A is:
where is the density of air equal to ·, considered constant in this study. V is the hourly mean wind speed (m/s).
Wind power density (WPD in ) takes into account the frequency distribution of the wind speed, and the dependence of wind power on air density and the cube of the wind speed. Therefore, WPD is generally considered as a better indicator of wind resources than wind speed. The average WPD in terms of wind speed can be calculated from:
Here, is the measured hourly wind speed and N is the total number of values.
WPD, or P/A, can also be evaluated in terms of the Weibull parameters k and c as in [34]:
The mean energy density over a period of time T is the product of the mean power density and the time T, so we obtain:
The electrical power output of a model wind turbine can be estimated from the Weibull wind speed PDF and the power curve of the selected wind turbine:
The Capacity Factor (CF) is a dimensionless quantity used to assess the economic viability of wind farms. The CF is the ratio of the actual annual energy output of a wind turbine and its potential output if it had operated at full nominal capacity throughout the year [35]:
where is the rated power of the turbine and T is the number of hours per year.
3. Results
3.1. Climatology
The dominant winds in French Polynesia are the Trades [36]. These steady winds, controlled by the Easter Island High, blow largely from the East in the tropical South Pacific. The observed wind data of Afaahiti, Papara, Tautira, Vairao, Faaa and Mahina were analysed to derive long-term wind characteristics. The first four stations are located on the windward side of Tahiti, while the last two lie on the leeward side (Figure 1). Figure 2 displays the wind roses of each site.

Figure 2.
Wind direction and speed frequency at 10 m at each location. (a) Faaa. (b) Tautira. (c) Mahina. (d) Afaahiti. (e) Vairao. (f) Papara.
In Faaa (Figure 2a), the wind blows mainly from the direction east to north-east, with strong north-easterly winds frequently exceeding 8 m/s. Figure 2b shows that Tautira on the other hand is exposed to winds blowing predominantly from the east to south-east. Winds here are overall stronger than in any other location, as they often reach 10 m/s. Mahina (Figure 2c) is largely dominated by easterly winds, that can sometimes reach 8 m/s. North-easterly winds are frequently observed in Afaahiti (Figure 2d), but they hardly reach speeds greater than 6 m/s. Wind speeds are even lower in Vairao and Papara, mostly lower than 6 m/s. The quadrants of preferred wind direction, which are also associated with the highest wind speeds, should be considered as the first choice for the turbine positioning. For example, a close look at the Tautira windrose indicates that the turbine should be geared towards the south-east in order to harvest the vigorous and frequent south-eastern trades. In Afaahiti, the turbine should be oriented towards the north-east as it is the most frequent wind direction.
Monthly averages of wind speed at each location are shown in Figure 3. There is no clear seasonal cycle signal in the wind speed. The wind speed is clearly lowest in Vairao, where it remains less than 1.5 m/s all year round, followed by Papara and Mahina. The wind speed in Afaahiti is slightly lower than that in Faaa for every month except November. From March to November, the strongest wind is observed in Tautira, but during the months of December, January and February the wind in Tautira is similar to or slightly less than that in Faaa. Tautira displays a wind speed higher than 3 m/s except in December. In Faaa, wind speed is higher than 3 m/s from August to February. Hourly values of wind speed are plotted in Figure 4 to show the diurnal variation. The land/sea breeze circulation is apparent at each site, except in Tautira where the wind speed is more or less constant over the twenty-four hours, possibly due to the relatively strong and consistent trade winds. The daytime/nighttime contrast is the largest in the case of Faaa and Mahina. Indeed, from 9 a.m. until around 6 p.m. the wind speed is higher in Faaa and Mahina than in Tautira; in Faaa and Mahina it drops by a factor of 2 to 3 outside of these hours. In terms of WPD this would mean a drop by a factor of 8 to 27 outside of the range 9 a.m to 6 p.m. According to Figure 3 and Figure 4, Tautira, and to a lesser extent Faaa, display the highest wind resource in Tahiti.
Figure 3.
Monthly wind speed at 10 m.
Figure 4.
Hourly wind speed.
3.2. The Weibull Distribution and Wind Power Density
The Weibull PDFs and CDFs are shown in Figure 5a,b, respectively. Weibull PDFs are used to predict the fraction of time for which a given wind speed occurs at a given location. The peak of the Weibull PDF curve indicates the most frequent speed. The most frequent wind speed observed in Faaa is 1.7 m/s, compared with 2.5 m/s in Tautira. Afaahiti’s most frequent wind speed is 2.2 m/s, which is higher than that in Faaa. However, a close look at Figure 5b reveals that strong winds are not as frequent in Afaahiti as in Faaa. We assessed the agreement between the Weibull PDF and the observed data by computing the MSE, and found very low values at every location, of the order of . We performed two separate analyses: in the first one, we considered all stations for a period of 5 years (2016–2020); in the second one, we considered Faaa and Tautira over 13 years (2008–2020). There is strong interannual variability at play in the South Pacific, due to the El Nino Southern Oscillation (ENSO). Thus, we used a Wilcoxon’s test to compare the means of both 5-year-long and 13-year-long time series of Faaa and Tautira. They are significantly different at the confidence level of 95%. We are aware that longer time series for Mahina, Papara, Afaahiti and Vairao would be needed to properly compare all the stations, given that ENSO has an impact on local wind circulation around the island. We kept thirteen years of data for Faaa and Tautira in order to maximize the robustness of our results for these two locations.
Figure 5.
Weibull PDFs and CDFs corresponding to the distribution of wind speed at each location. (a) Weibull PDFs of 10 m wind speed (m/s). (b) CDFs of 10 m wind speed (m/s).
The monthly WPD is displayed in Figure 6. Figure 6a shows the monthly WPD over the period 2016–2020 for all stations, while Figure 6b shows the same parameter over a longer period (2008–2020), but only for Faaa and Tautira. It can be seen that, independently of the duration considered, the WPD remains the highest in Faaa and Tautira all year round. The WPD never exceeds 100 W/m, ranking the stations as Wind Power Class 1 according to the Battelle–PNL classification [37]. According to this classification, defined for the Canadian province of Quebec in 2003, Class 1 areas are considered unsuitable for wind power development. Nevertheless, significant improvements in wind turbines have been made since then. Thus, we consider it worthwhile to extend this study to the choice of turbines, the calculation of annual energy production and the capacity factor for Faaa and Tautira, which have the highest WPDs.
Figure 6.
Monthly variation in 10 m WPD. (a) Monthly WPD considering the 2016–2020 period for all stations. (b) Monthly WPD considering the 2016–2020 period for four stations and 2008–2020 for Faaa and Tautira.
Four small commercial wind turbines with rated power ranging from 100 kW to 275 kW were considered for performance simulation at each location. We chose the Xant M21 100 kW (Xant NV, Anvers, Belgium), the Vergnet 275 kW (Vergnet Eolien, Ormes, France), the EWT DW52 250 kW (Emergya Wind Technologies B.V., Amersfoort, The Netherlands) and the Vestas V27 225 kW (Vestas Wind Systems, Aarhus, Denmark). The turbine characteristics are given in Table 2. For each location, the annual energy output and capacity factor are calculated using these turbine characteristics, along with wind speed values obtained by extrapolation to the hub height.
Table 2.
Wind turbine characteristics.
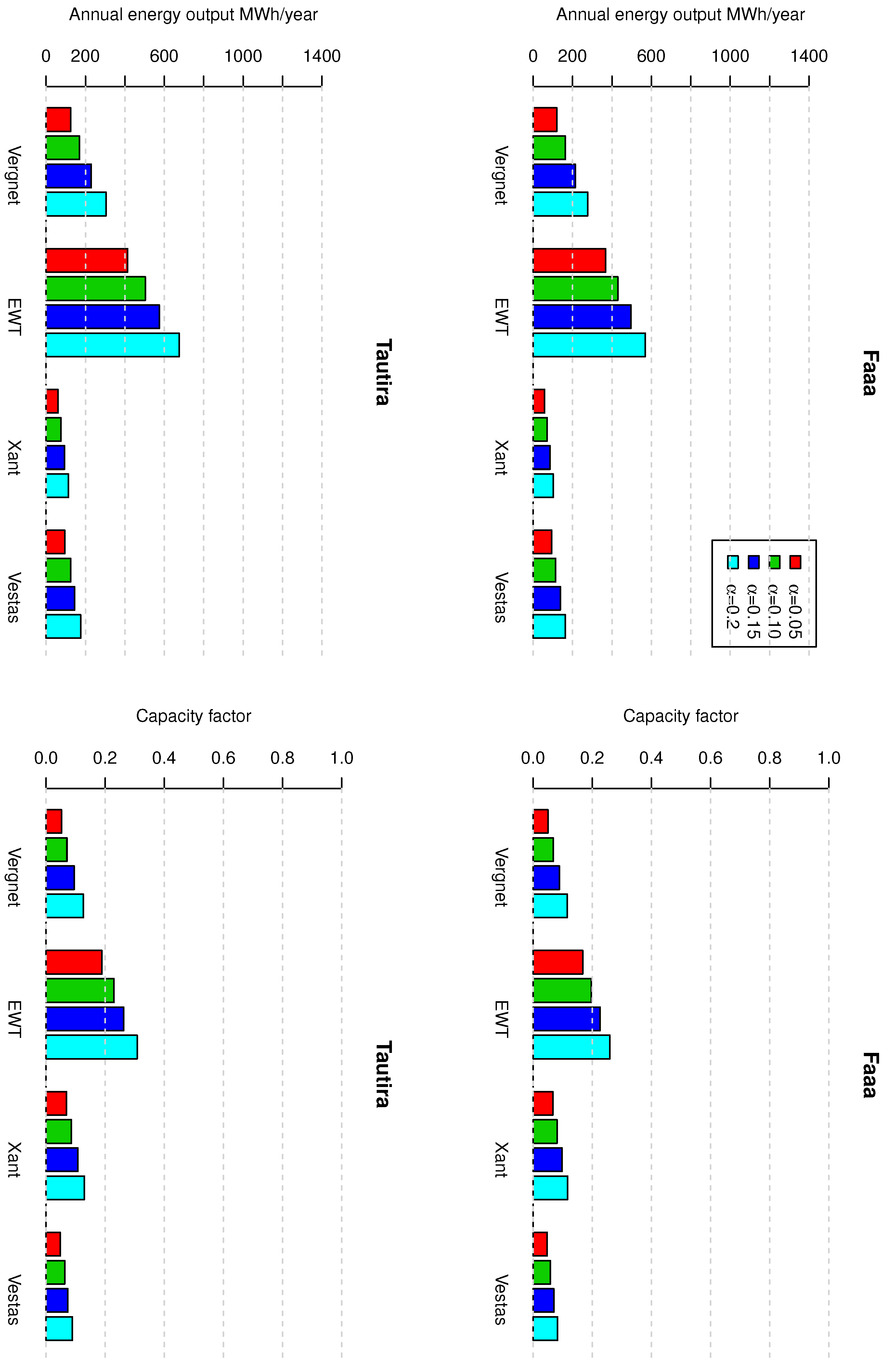
The performances of the four turbines are shown for Faaa and Tautira (Figure 7). The wind speed was extrapolated to hub height using Equation (8) with the four different values of cited. This allows us to at least obtain “best”- and “worst”-case scenarios, despite our imprecise knowledge of this parameter. Using gives the lowest estimate of the wind speed at hub height, while results in the highest. As expected, Tautira has highest values of annual energy output and capacity factor, resulting from its overall greater WPD. The classification of the wind turbines by increasing power output is the same for both Faaa and Tautira: Xant, Vestas, Vergnet and EWT. However, since the CF of a wind turbine measures its actual production relative to the possible production, it is a key parameter that must be taken into account to evaluate the cost effectiveness of a wind turbine. It is a useful indicator for both the consumer and the manufacturer of a wind turbine system. According to [38], if the CF of an onshore wind turbine exceeds 20%, it is said to be economically viable. A close look at Figure 7 shows that the Xant and Vestas turbines have the lowest productions due to their low hub heights. The Xant turbine has the lowest power rating and consequently the lowest production. However, its CF is greater than the Vestas thanks to its lowest rated wind speed. Despite very useful specifications for the South Pacific climate (foldable system), the Vergnet turbine does not show economically viable CF values. The only turbine to have a CF above the 20% threshold is EWT. In Faaa, EWT is cost effective for a PLI of 0.15 (CF = 22.6%) and 0.20 (CF = 26%). In Tautira, EWT is cost effective for PLI values of 0.10 (CF = 23%), 0.15 (CF = 26.2%) and 0.20 (CF = 30.8%).
Figure 7.
Annual energy output and capacity factor for 4 turbines and 4 PLI values in Faaa and Tautira.
Furthermore, the annual energy output of an EWT turbine increases by 55% (Faaa) and 63% (Tautira) when increases from 0.05 to 0.2. A precise estimate of is therefore of crucial importance to accurately assess the wind resource and the economic viability of a wind farm. Finally, assuming that as a fair estimate, it would be economically viable to install a wind farm composed of EWT DW52 wind turbines at these two locations.
4. Conclusions
In this study, wind energy potential was investigated in Tahiti using a 5–13 year-long data set comprising hourly values of wind data at 10 m above ground level. The Weibull distribution was used to estimate wind power density at 10 m. Tautira and Faaa were found to have a higher WPD than the other sites considered. To investigate the possible energy production at these two locations, four different models of small-to-medium-sized wind turbines were selected. The power law was used to extrapolate wind speed at their respective hub height. Four PLI values were chosen (<0.2) to obtain the plausible limits of wind resources. Our results show that, using the lowest value of (0.05), none of the turbines show cost effectiveness. The Vergnet turbine, although commonly used in other Pacific islands and having a foldable system, which is particularly useful during tropical cyclones, does not show convincing CF values. The EWT DW52, in contrast, would become cost effective considering in Tautira and in Faaa. Its good performance is due to its low-rated wind speed and elevated hub height. We confirmed that the PLI used in the vertical extrapolation of wind speed has a large impact on wind potential. Indeed, choosing = 0.05 or = 0.20 would, for an EWT DW52 wind turbine in Tautira, increase the annual energy output by more than . This emphasizes the importance of strengthening the results of this study with additional wind speed and direction measurements, particularly at a higher level, in order to accurately estimate the value of the PLI for each site.
Our study reveals a potentially promising wind resource for Faaa and Tautira, although the high urbanization and population density of Faaa would make it less suitable than Tautira for a wind farm installation.
Author Contributions
Conceptualization, project administration, funding acquisition, M.H.; Methodology, investigation, writing, M.H., T.M. and K.M.; Validation, review and editing, V.L. and K.M. All authors have read and agreed to the published version of the manuscript.
Funding
This research was funded by the Pacific Fund of the Ministère des Affaires Etrangères.
Data Availability Statement
Restrictions apply to the availability of these data. Data was obtained from Meteo France and can become available with the permission of Meteo France.
Acknowledgments
This work has been financially supported by the Pacific Fund of the Ministère des Affaires Etrangères through the research program PACRES. The authors are grateful to Hilary Todd for help with the English.
Conflicts of Interest
The authors declare no conflict of interest. The funders had no role in the design of the study; in the collection, analyses, or interpretation of data; in the writing of the manuscript, or in the decision to publish the results.
Abbreviations
The following abbreviations are used in this manuscript:
| WPD | Wind power density |
| MSE | Mean squared error |
| CF | Capacity factor |
| Probability density function | |
| CDF | Cumulative density function |
References
- EDT. Available online: https://www.edt.pf/a-propos-dedt/ (accessed on 18 May 2021).
- Ademe. Available online: http://www.polynesie-francaise.ademe.fr/ (accessed on 18 May 2021).
- IRENA. Renewable Energy Statistics 2021; The International Renewable Energy Agency: Abu Dhabi, United Arab Emirates, 2021. [Google Scholar]
- Alizes Energie. Available online: https://www.alizes-energie.nc (accessed on 2 February 2021).
- Unelco Engie. Available online: https://www.unelco.engie.com/profil/implantation (accessed on 2 February 2021).
- Mofor, L.; Isaka, M.; Wade, H.; Soakai, A. Pacific Lighthouses: Renewable Energy Roadmapping for Islands; IRENA: Bonn, Germany, 2013. [Google Scholar]
- Communiqué de Presse. 2015. Available online: http://www.vergnet.com/fr/news/vergnet-wind-turbines-withstand-cyclone-pam-in-vanuatu-2/ (accessed on 25 February 2021).
- Bilan Energetique de la Polynesie Francaise. Available online: https://www.service-public.pf/sde/lobservatoire-polynesien-des-energies-ope (accessed on 18 May 2021).
- Schéma Directeur des énergies Renouvelables. Carbone 4. 2012. Available online: https://www.carbone4.com/energies-renouvelables-la-polynesie-francaise-choisit-carbone-4 (accessed on 25 February 2021).
- Kamath, C. Understanding wind ramp events through analysis of historical data. In Proceedings of the IEEE PES T&D 2010, New Orleans, LA, USA, 19–22 April 2010; pp. 1–6. [Google Scholar]
- Qing, X. Statistical analysis of wind energy characteristics in Santiago island, Cape Verde. Renew. Energy 2018, 115, 448–461. [Google Scholar] [CrossRef]
- Dhiman, H.S.; Deb, D.; Guerrero, J.M. Hybrid machine intelligent SVR variants for wind forecasting and ramp events. Renew. Sustain. Energy Rev. 2019, 108, 369–379. [Google Scholar] [CrossRef]
- Dhiman, H.S.; Deb, D.; Balas, V.E. Supervised Machine Learning in Wind Forecasting and Remp Event Prediction; Academic Press: Cambridge, MA, USA, 2020. [Google Scholar]
- Dhiman, H.S.; Deb, D. Machine intelligent and deep learning techniques for large training data in short-term wind speed and ramp event forecasting. Int. Trans. Electr. Energy Syst. 2021, 31, e12818. [Google Scholar] [CrossRef]
- Carta, J.A.; Ramirez, P.; Velazquez, S. A review of wind speed probability distributions used in wind energy analysis: Case studies in the Canary Islands. Renew. Sustain. Energy Rev. 2009, 13, 933–955. [Google Scholar] [CrossRef]
- Blanchard, M.; Desrochers, G. Generation of autocorrelated wind speeds for energy conversion system studies. Sol. Energy 1984, 33, 571–579. [Google Scholar] [CrossRef]
- Ouammi, A.; Dagdougui, H.; Sacile, R.; Mimet, A. Monthly and seasonal assessment of wind energy characteristics at four monitored locations in Liguria region (Italy). Renew. Sustain. Energy Rev. 2010, 14, 1959–1968. [Google Scholar] [CrossRef]
- Oyedepo, S.O.; Adaramola, M.S.; Paul, S.S. Analysis of wind speed data and wind energy potential in three selected locations in south-east Nigeria. Int. J. Energy Environ. Eng. 2012, 3, 7. [Google Scholar] [CrossRef] [Green Version]
- Fazelpour, F.; Soltani, N.; Rosen, M.A. Wind resource assessment and wind power potential for the city of Ardabil, Iran. Int. J. Energy Environ. Eng. 2015, 6, 431–438. [Google Scholar] [CrossRef] [Green Version]
- Cortis, R.B.; Sigl, A.B.; Klein, J. Probabilities models of wind velocity magnitude and persistence. Sol. Energy 1978, 20, 483–493. [Google Scholar] [CrossRef]
- Bowden, G.J.; Barker, P.R.; Shestopal, V.O.; Twidell, J.W. The Weibull distribution function and wind power statistics. Wind Eng. 1983, 7, 85–98. [Google Scholar]
- Archer, C.L.; Jacobson, M.Z. Evaluation of global wind power. J. Geophys. Res. Atmos. 2005, 110. [Google Scholar] [CrossRef] [Green Version]
- Ucar A Balo, F. Evaluation of wind energy potential and electricity generation at six locations in Turkey. Appl. Energy 2009, 86, 1864–1872. [Google Scholar] [CrossRef]
- Irwin, J.S. A theoretical variation of the wind profile power-law exponent as a function of surface roughness and stability. Atmos. Environ. 1967 1979, 13, 191–194. [Google Scholar] [CrossRef]
- Gualtieri, G.; Secci, S. Wind shear coefficients, roughness length and energy yield over coastal locations in Southern Italy. Renew. Energy 2011, 36, 1081–1094. [Google Scholar] [CrossRef]
- Justus, C.G.; Hargraves, W.R.; Mikhail, A.; Graber, D. Methods for estimating wind speed frequency distributions. J. Appl. Meteorol. 1978, 17, 350–353. [Google Scholar] [CrossRef]
- Johnson, G.L. Wind Energy Systems? Prentice-Hall: Englewood Cliffs, NJ, USA, 1985; pp. 147–149. [Google Scholar]
- Hellman, G. Über die Bewegung der Luft in den untersten Schichten der Atmosphäre. Meteorol. Z. 1916, 34, 273–285. [Google Scholar]
- Sisterson, D.; Hicks, B.; Coulter, R.; Wesely, M. Difficulties in using power laws for wind energy assessment. Sol. Energy 1983, 31, 201–204. [Google Scholar] [CrossRef]
- Touma, J.S. Dependence of the Wind Profile Power Law on Stability for Various Locations. J. Air Pollut. Control Assoc. 1977, 27, 863–866. [Google Scholar] [CrossRef]
- Artig, R.; Jeffrey, H. 14th Wind Resource Analysis Program Report; Minnesota Department of Commerce: St Paul, MN, USA, 2002; Available online: https://www.cards.commerce.state.mn.us/CARDS/security/search.do?method=showPoup&documentId=%7B514B00F0-760D-4248-A5AB-5E188DC814B6%7D&documentTitle=35440&documentType=6 (accessed on 15 October 2021).
- Albani, A.; Ibrahim, M.Z. Wind Energy Potential and Power Law Indexes Assessment for Selected Near-Coastal Sites in Malaysia. Energies 2017, 10, 307. [Google Scholar] [CrossRef] [Green Version]
- Chang, T.J.; Wu, Y.T.; Hsu, H.Y.; Chu CR Liao, C.M. Assessment of wind characteristics and wind turbine characteristics in Taiwan. Renew. Energy 2003, 28, 851–871. [Google Scholar] [CrossRef]
- Celik, A.N. A statistical analysis of wind power density based on the Weibull and Rayleigh models at the southern region of Turkey. Renew. Energy 2004, 29, 593–604. [Google Scholar] [CrossRef]
- Shata, A.A.; Hanitsch, R. Electricity generation and wind potential assessment at Hurghada, Egypt. Renew. Energy 2008, 33, 141–148. [Google Scholar] [CrossRef]
- Laurent, V.; Maamaatuaiahutapu, K.; Brodien, I.; Lombardo, S.; Tardy, M.; Varney, P. Atlas Climatologique de la Polynesie Francaise, 2nd ed.; Meteo France, Delegation Interregionale de la Polynesie Francaise: Faa’a, French Polynesia, 2019; ISBN 9782111551916. [Google Scholar]
- Ilinca, A.; McCarthy, E.; Chaumel, J.L.; Rétiveau, J.L. Wind potential assessment of Quebec Province. Renew. Energy 2003, 28, 1881–1897. [Google Scholar] [CrossRef]
- Yamaguchi, A.; Ishihara, T. Assessment of offshore wind energy potential using mesoscale model and geographic information system. Renew. Energy 2014, 69, 506–515. [Google Scholar] [CrossRef]
Publisher’s Note: MDPI stays neutral with regard to jurisdictional claims in published maps and institutional affiliations. |
© 2022 by the authors. Licensee MDPI, Basel, Switzerland. This article is an open access article distributed under the terms and conditions of the Creative Commons Attribution (CC BY) license (https://creativecommons.org/licenses/by/4.0/).







