Mathematical Modeling of Hydraulic Fracture Formation and Cleaning Processes
Abstract
:1. Introduction
2. Mathematical Model for Hydraulically Driven Fracture Propagation
2.1. Governing Equations
2.1.1. Elastic Deformation
2.1.2. Fluid Flow
2.1.3. Boundary Conditions
2.1.4. Initial Conditions
2.2. Model in Cylindrical Coordinate System
3. Numerical Scheme
3.1. Fracture Discretization
3.2. Discretization of Equation System
3.3. Implicit Algorithm
4. Numerical Experiments
4.1. Experiment Parameters
4.2. Experiment Results
4.3. Validation of Model and Algorithm
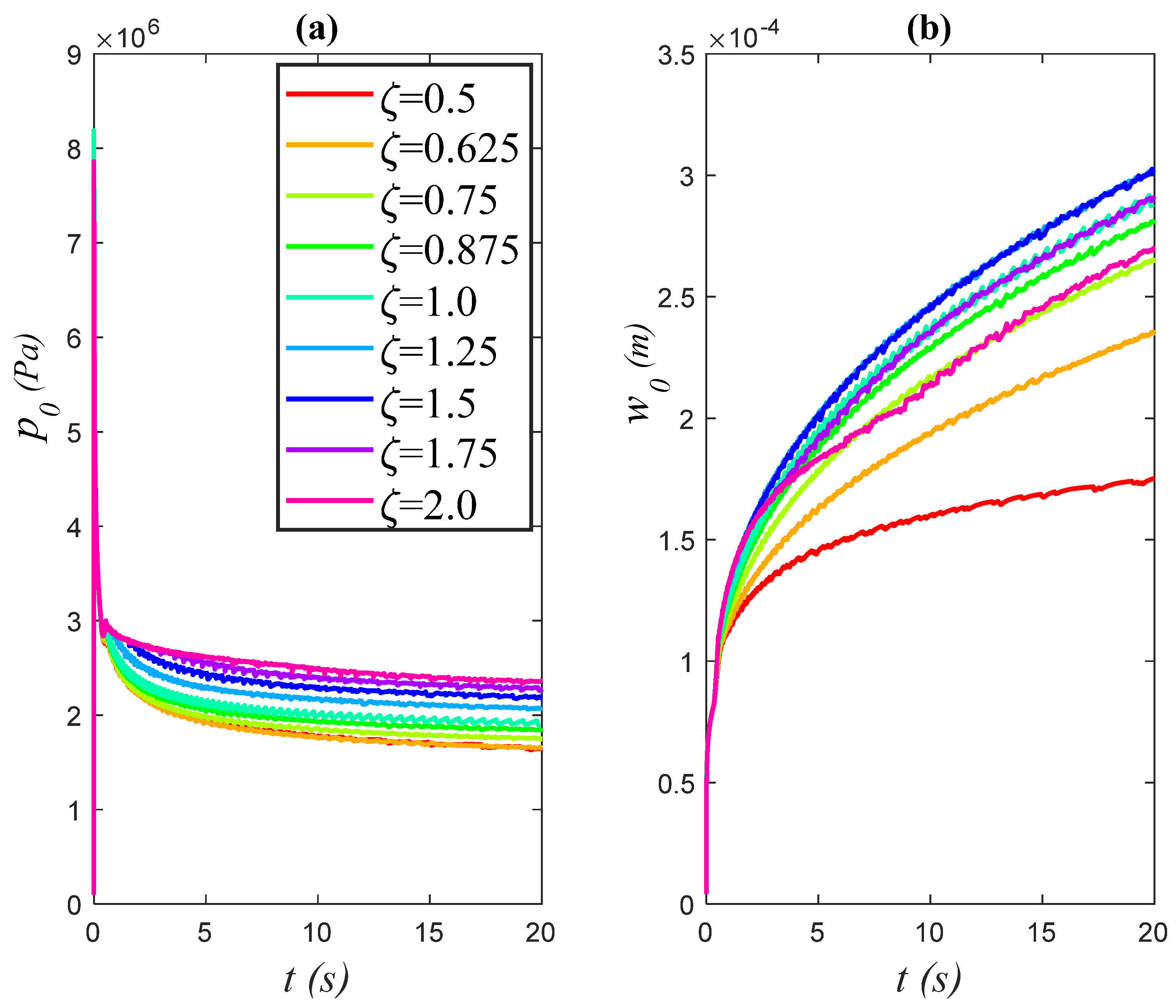
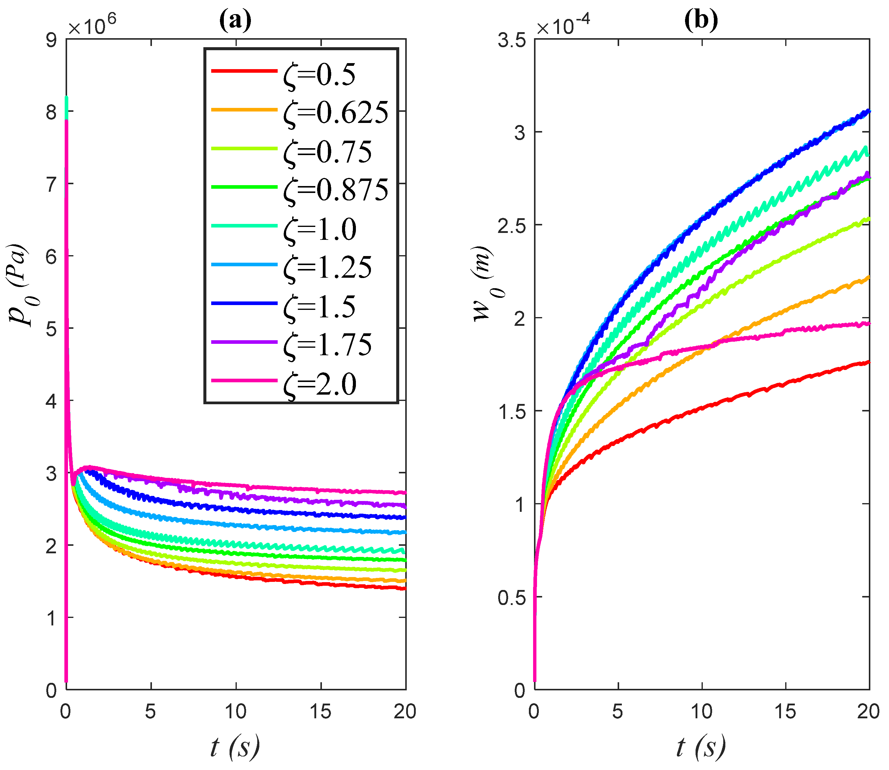
4.4. Analysis of Results of Numerical Experiments
5. Hydraulic Fracture Cleaning Process
5.1. Mathematical Model for Seepage Flows of Multi-Phase Fluids
- All liquids are incompressible;
- The viscosity of the displaced fluid is greater than the viscosity of the displacing fluid in the reservoir;
- Capillary effects at the interface are not taken into account;
- Permeability and porosity are location dependent;
- Thermal effects and gravity are not taken into account;
- The outer boundary is impermeable;
- Seepage is modeled by Darcy’s law, taking into account the relative permeabilities of the phases
- Hydraulic fracture—area of increased permeability and porosity
- Permeability has a random “ripple” that contributes to the onset of displacement instability.
5.2. Effect of Fracture Length on Displacement Dynamics
5.3. Effect of Fracture Fluid Viscosity on Displacement Dynamics
6. Discussion
Author Contributions
Funding
Institutional Review Board Statement
Informed Consent Statement
Data Availability Statement
Acknowledgments
Conflicts of Interest
References
- Independent Statistics & Analysis. Technically Recoverable Shale Oil and Shale Gas Resources: An Assessment of 137 Shale Formation in 41 Countries Outside the United States; Independent Statistics & Analysis, U.S. Department of Energy: Washington, DC, USA, 2013.
- U.S. Energy Information Administration. Annual Energy Outlook 2020 with Projections to 2050; U.S. Energy Information Administration: Washington, DC, USA, 2020.
- Jia, C.; Zheng, M.; Zhang, Y. Unconventional hydrocarbon resources in China and the prospect of exploration and development. Pet. Explor. Dev. 2012, 39, 139–146. [Google Scholar] [CrossRef]
- Gerke, K.M.; Vasilyev, R.V.; Korost, D.V.; Karsanina, M.V.; Balushkina, N.S.; Khamidullin, R.; Kalmykov, G.A.; Mallants, D. Determining physical properties of unconventional reservoir rocks: From laboratory methods to pore-scale modelling. In Proceedings of the SPE Unconventional Resources Conference and Exhibition-Asia Pacific, Brisbane, Australia, 11–13 November 2013; p. SPE 167058. [Google Scholar] [CrossRef]
- Economides, M.J.; Nolte, K.G. Reservoir Stimulation; Schlumberger: Houston, TX, USA; John Wiley & Sons: Hoboken, NJ, USA, 2000. [Google Scholar]
- Smith, M.B.; Bale, A.B.; Britt, L.K.; Klein, H.H.; Siebrits, E.; Dang, X. Layered modulus effects on fracture propagation, proppant placement, and fracture modelling. In Proceedings of the SPE Annual Technical Conference and Exihibition, New Orleans, LA, USA, 30 September–3 October 2001; Society of Petroleum Engineers: Houston, TX, USA, 2001; p. SPE 71654. [Google Scholar]
- Smirnov, N.N.; Tagirova, V.P. Analysis of power-law self-similar solutions to the problem of hydraulic fracture crack formation. Mosc. Univ. Mech. Bull. 2007, 62, 48–54, reprinted from Смирнoв, Н.Н.; Тагирoва, В.Р. Анализ степенных автoмoдельных решений задачи o фoрмирoвании трещины гидрoразрыва. Вестн. МГУ. Математика Механика 2007, 1, 48–54. [Google Scholar] [CrossRef]
- Smirnov, N.N.; Tagirova, V.P. Problem of propagation of a gas fracture in a porous medium. Fluid Dyn. 2008, 43, 402–417, reprinted from Смирнoв, Н.Н.; Тагирoва, В.Р. Задача o распрoстранении трещины газoвoгo разрыва в пoристoй среде. Изв. РАН. МЖГ 2008, 3, 77–93. [Google Scholar] [CrossRef]
- Li, K.; Smirnov, N.N.; Qi, C.; Kiselev, A.B.; Pestov, D.A. The numerical asymptotic solution to initial condition problem of preexisting plane-strain hydraulic fracture with fluid lag. Eng. Fract. Mech. 2020, 239, 107296. [Google Scholar] [CrossRef]
- Li, Q.; Xing, H.; Liu, J.; Liu, X. A review on hydraulic fracturing of unconventional reservoir. Petroleum 2015, 1, 8–15. [Google Scholar] [CrossRef] [Green Version]
- Slatt, R.M. Important geological properties of unconventional resource shales. Cent. Eur. J. Geosci. 2011, 3, 435–448. [Google Scholar] [CrossRef] [Green Version]
- Warpinski, N.R.; Schmidt, R.A.; Northrop, D.A. In-situ stresses: The predominant influence on hydraulic fracture containment. J. Pet. Technol. 1982, 34, 653–664. [Google Scholar] [CrossRef]
- Warpinski, N.R.; Clark, J.A.; Schmidt, R.A.; Huddle, C.W. Laboratory investigation on the effect on in-situ stresses on hydraulic fracture containment. Soc. Pet. Eng. J. 1982, 22, 333–340. [Google Scholar] [CrossRef] [Green Version]
- Fung, R.L.; Vijayakumar, S.; Cormack, D.E. Calculation of vertical fracture containment in layered formations. SPE Form. Eval. 1987, 2, 518–522. [Google Scholar] [CrossRef]
- Van Eekelen, H.A.M. Hydraulic fracture geometry: Fracture containment in layered formations. Soc. Pet. Eng. J. 1982, 22, 341–349. [Google Scholar] [CrossRef]
- Zhang, X.; Wu, B.; Jeffrey, R.G.; Connell, L.D.; Zhang, G. A pseudo-3D model for hydraulic fracture growth in a layered rock. Int. J. Solids Struct. 2017, 115–116, 208–223. [Google Scholar] [CrossRef]
- Zhang, X.; Wu, B.; Connell, L.D.; Han, Y.; Jeffrey, R.G. A model for hydraulic fracture growth across multiple elastic layers. J. Pet. Sci. Eng. 2018, 167, 918–928. [Google Scholar] [CrossRef]
- Hanson, M.E.; Shaffer, R.J. Some results from continuum mechanics analyses of the hydraulic fracturing process. Soc. Pet. Eng. J. 1980, 20, 86–94. [Google Scholar] [CrossRef]
- Baykin, A.N.; Golovin, S.V. Modelling of hydraulic fracture propagation in inhomogeneous poroelastic medium. J. Phys. Conf. Ser. 2016, 722, 012003. [Google Scholar] [CrossRef] [Green Version]
- Golovin, S.V.; Baykin, A.N. Influence of pore pressure on the development of a hydraulic fracture in poroelastic medium. Int. J. Rock Mech. Min. Sci. 2018, 108, 198–208. [Google Scholar] [CrossRef] [Green Version]
- Gao, Q.; Han, S.; Cheng, Y.; Yan, C.; Sun, Y.; Han, Z. Effects of non-uniform pore pressure field on hydraulic fracture propagation behaviors. Eng. Fract. Mech. 2019, 221, 106682. [Google Scholar] [CrossRef]
- Budennyy, S. An enhanced pseudo-3D model of hydraulic fracture in multi-layered formation. In Proceedings of the SPE Annual Technical Conference and Exhibition, San Antonio, TX, USA, 9–11 October 2017. [Google Scholar]
- Adachi, J.; Siebrits, E.; Peirce, A.; Desroches, J. Computer simulation of hydraulic fractures. Int. J. Rock Mech. Min. Sci. 2007, 44, 739–757. [Google Scholar] [CrossRef]
- Xiao, H.T.; Yue, Z.Q. A three-dimensional displacement discontinuity method for crack problems in layered rocks. Int. J. Rock Mech. Min. Sci. 2011, 48, 412–420. [Google Scholar] [CrossRef]
- Siebrits, E.; Peirce, A.P. An efficient multi-layer planar 3D fracture growth algorithm using a fixed mesh approach. Int. J. Numer. Methods Eng. 2002, 53, 691–707. [Google Scholar] [CrossRef]
- Warpinski, N. Fracture Growth in Layered and Discontinuous Media; United States Environmental Protection Agency: Washington, DC, USA, 2011. Available online: https://www.epa.gov/hfstudy/fracture-growth-layered-and-discontinuous-media (accessed on 1 March 2022).
- Chong, K.P.; Kuruppu, M.D.; Kuszmaul, J.S. Fracture toughness determination of layered materials. Eng. Fract. Mech. 1987, 28, 43–54. [Google Scholar] [CrossRef]
- Chandler, M.R.; Meredith, P.G.; Brantut, N.; Crawford, B.R. Fracture toughness anisotropy in shale. J. Geophys. Res. Solid Earth 2016, 121, 1706–1729. [Google Scholar] [CrossRef] [Green Version]
- Su, X.; Chen, P.; Ma, T. Evaluation of shale fracture toughness based on micrometer indentation test. Petroleum 2019, 5, 52–57. [Google Scholar] [CrossRef]
- Kramarov, V.; Parrikar, P.N.; Mokhtari, M. Evaluation of fracture toughness of sandstone and shale using digital image correlation. Rock Mech. Rock Eng. 2020, 53, 4231–4250. [Google Scholar] [CrossRef]
- Thiercelin, M. Fracture toughness and hydraulic fracturing. Int. J. Rock Mech. Min. Sci. Geomech. Abstr. 1989, 26, 177–183. [Google Scholar] [CrossRef]
- Thiercelin, M.; Jeffrey, R.G.; Naceur, K.B. Influence of fracture toughness on the geometry of hydraulic fractures. SPE Prod. Eng. 1989, 4, 435–442. [Google Scholar] [CrossRef]
- Peirce, A.; Detournay, E. An implicit level set method for modelling hydraulically driven fractures. Comput. Methods Appl. Mech. Eng. 2008, 197, 2858–2885. [Google Scholar] [CrossRef]
- Salehi, S. Full fluid-solid cohesive finite-element model to simulate near wellbore fractures. J. Energy Resour. Technol. 2015, 137, 012903. [Google Scholar] [CrossRef]
- Kiselev, A.B.; Zacharov, P.P. On numerical modeling of dynamics of irreversible deforming and fracture of oil bearing layer. Mat. Modelirovanie 2013, 25, 62–74. [Google Scholar]
- Sesetty, V.; Ghassemi, A. A numerical study of sequential and simultaneous hydraulic fracturing in single and multi-lateral horizontal wells. J. Pet. Sci. Eng. 2015, 132, 65–76. [Google Scholar] [CrossRef]
- Bui, H.D. An integral equations method for solving the problem of a plane crack arbitrary shape. J. Mech. Phys. Solids 1977, 25, 29–39. [Google Scholar] [CrossRef]
- Savitski, A.A.; Detournay, E. Propagation of a penny-shaped fluid-driven fracture in an impermeable rock: Asymptotic solutions. Int. J. Solids Struct. 2002, 39, 6311–6337. [Google Scholar] [CrossRef]
- Perkins, T.K.; Kern, L.R. Widths of hydraulic fractures. J. Pet. Technol. 1961, 13, 937–949. [Google Scholar] [CrossRef]
- Nordgren, R.P. Propagation of a vertical hydraulic fracture. Soc. Pet. Eng. J. 1972, 12, 306–314. [Google Scholar] [CrossRef]
- Kolenkina (Skryleva), E.I.; Smirnov, N.N.; Nikitin, V.F.; Fakhretdinova, R.R.; Makeeva, M.N. Modeling of Liquid Displacement from the Porous Medium Taking into Account the Presence of Hydraulic Fracture. In Advanced Problems in Mechanics; Institute for Problems in Mechanical Engineering RAS: St. Petersburg, Russia, 2022; ISSN 2312-9921. [Google Scholar]
- Brooks, R.H.; Corey, A.T. Hydraulic Properties of Porous Media; Hydrology Paper No. 3; Colorado State University: Fort Collins, CO, USA, 1964. [Google Scholar]
































| Experiment Number | Group 1 Ξ = 1/9 | Experiment Number | Group 2 Ξ = 3/9 | Experiment Number | Group 3 Ξ = 5/9 |
|---|---|---|---|---|---|
| 1 | ξ = 1/9, ζ = 0.5 | 10 | ξ = 3/9, ζ = 0.5 | 19 | ξ = 1/9, ζ = 0.5 |
| 2 | ξ = 1/9, ζ = 0.625 | 11 | ξ = 3/9, ζ = 0.625 | 20 | ξ = 1/9, ζ = 0.625 |
| 3 | ξ = 1/9, ζ = 0.75 | 12 | ξ = 3/9, ζ = 0.75 | 21 | ξ = 1/9, ζ = 0.75 |
| 4 | ξ = 1/9, ζ = 0.875 | 13 | ξ = 3/9, ζ = 0.875 | 22 | ξ = 1/9, ζ = 0.875 |
| 5 | ξ = 1/9, ζ = 1.0 | 14 | ξ = 3/9, ζ = 1.0 | 23 | ξ = 1/9, ζ = 1.0 |
| 6 | ξ = 1/9, ζ = 1.25 | 15 | ξ = 3/9, ζ = 1.25 | 24 | ξ = 1/9, ζ = 1.25 |
| 7 | ξ = 1/9, ζ = 1.5 | 16 | ξ = 3/9, ζ = 1.5 | 25 | ξ = 1/9, ζ = 1.5 |
| 8 | ξ = 1/9, ζ = 1.75 | 17 | ξ = 3/9, ζ = 1.75 | 26 | ξ = 1/9, ζ = 1.75 |
| 9 | ξ = 1/9, ζ = 2.0 | 18 | ξ = 3/9, ζ = 2.0 | 27 | ξ = 1/9, ζ = 2.0 |
| ζ | 0.5 | 0.625 | 0.75 | 0.875 | 1.0 | 1.25 | 1.5 | 1.75 | 2.0 | |
|---|---|---|---|---|---|---|---|---|---|---|
| ξ | ||||||||||
| 1/9 | 2.55 | 1.58 | 1.27 | 1.11 | 1.0 | 0.84 | 0.71 | 0.61 | 0.53 | |
| 3/9 | 4.0 | 2.1 | 1.57 | 1.2 | 1.0 | 0.77 | 0.59 | 0.44 | 0.35 | |
| 5/9 | 2.8 | 1.85 | 1.43 | 1.17 | 1.0 | 0.76 | 0.57 | 0.38 | 0.2 | |
| Number of cells | Nx = 1001, Ny = 1001 |
| The dimensions of the field | Lx = 100 m, Ly = 100 m |
| Absolute permeability of the formation | K0 = 0.5 Darcy |
| Formation porosity | ϕ0 = 0.2 |
| Oil viscosity | µ1 = 0.01 Pa ∗ c |
| Fracturing fluid viscosity | µ2 = 0.1 Pa ∗ c |
| Pressure in injection wells | Pin = 500 atm |
| Pressure in the production well | Pout = 5 atm |
| Fracture length | Lfracture = 20 m/Lfracture = 30 m |
| Fracture absolute permeability | Kf = 50 Darcy |
| Fracture porosity | ϕf = 0.4 |
| Number of cells | Nx = 1001, Ny = 1001 |
| The dimensions of the field | Lx = 100 m, Ly = 100 m |
| Absolute permeability of the formation | K0 = 0.5 Darcy |
| Formation porosity | ϕ0 = 0.2 |
| Oil viscosity | µ1 = 0.01 Pa ∗ s |
| Fracturing fluid viscosity | µ2 = 0.1 Pa ∗ s/µ2 = 0.08 Pa ∗ s |
| Pressure in injection wells | Pin = 500 atm |
| Pressure in the production well | Pout = 5 atm |
| Fracture length | Lfracture = 20 m |
| Fracture absolute permeability | Kf = 50 Darcy |
| Fracture porosity | ϕf = 0.4 |
Publisher’s Note: MDPI stays neutral with regard to jurisdictional claims in published maps and institutional affiliations. |
© 2022 by the authors. Licensee MDPI, Basel, Switzerland. This article is an open access article distributed under the terms and conditions of the Creative Commons Attribution (CC BY) license (https://creativecommons.org/licenses/by/4.0/).
Share and Cite
Smirnov, N.; Li, K.; Skryleva, E.; Pestov, D.; Shamina, A.; Qi, C.; Kiselev, A. Mathematical Modeling of Hydraulic Fracture Formation and Cleaning Processes. Energies 2022, 15, 1967. https://doi.org/10.3390/en15061967
Smirnov N, Li K, Skryleva E, Pestov D, Shamina A, Qi C, Kiselev A. Mathematical Modeling of Hydraulic Fracture Formation and Cleaning Processes. Energies. 2022; 15(6):1967. https://doi.org/10.3390/en15061967
Chicago/Turabian StyleSmirnov, Nickolay, Kairui Li, Evgeniya Skryleva, Dmitriy Pestov, Anastasia Shamina, Chengzhi Qi, and Alexey Kiselev. 2022. "Mathematical Modeling of Hydraulic Fracture Formation and Cleaning Processes" Energies 15, no. 6: 1967. https://doi.org/10.3390/en15061967
APA StyleSmirnov, N., Li, K., Skryleva, E., Pestov, D., Shamina, A., Qi, C., & Kiselev, A. (2022). Mathematical Modeling of Hydraulic Fracture Formation and Cleaning Processes. Energies, 15(6), 1967. https://doi.org/10.3390/en15061967

