Impact of Hybrid Ventilation Strategies in Energy Savings of Buildings: In Regard to Mixed-Humid Climate Regions
Abstract
:1. Introduction
- The energy demand of the space must be under 15 kWh/m2 of net living space (conditioned floor area) of 10 W/m2year peak energy demand.
- The renewable primary energy demand (PER, according to PHI method), all of domestic energy, such as heating, hot water, and domestic electricity, must be under 60 kWh/m2year of conditioned floor area for Passive House Classic.
- In terms of airtightness, only under 0.6 air change per hour (ACH) is allowed at 50 Pa pressure (ACH50), in both pressurized and depressurized states for pressure tests.
2. Simulation Strategies
2.1. Natural Ventilation
2.2. Increasing Air Velocity
2.3. Heat Recovery Ventilator
3. Simulation
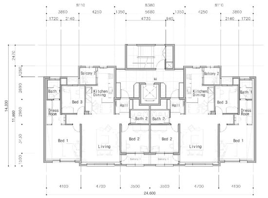
3.1. Simulation Description
3.2. Climate Analysis
3.3. Building Statement
3.4. Occupancy Schedule
4. Results
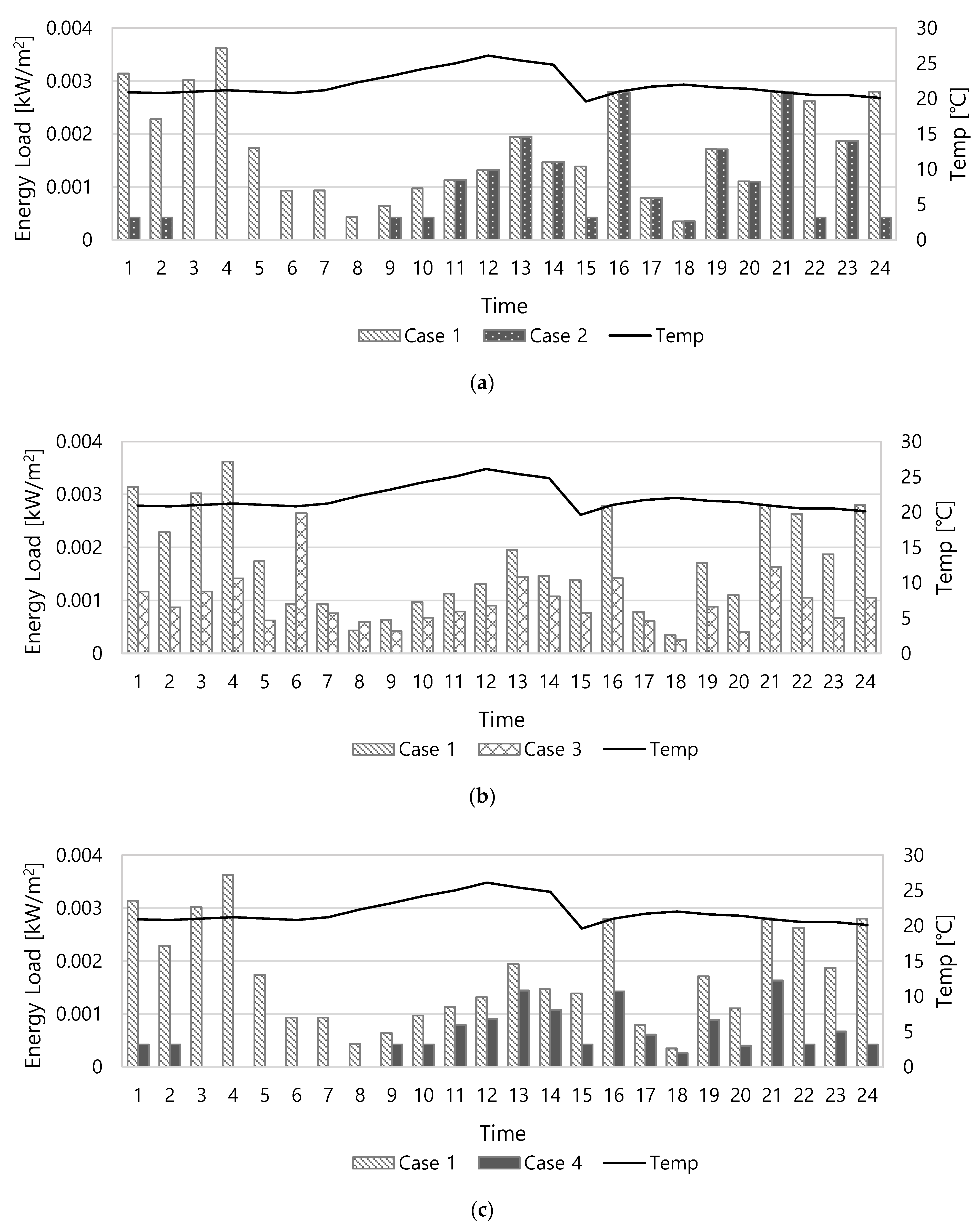
4.1. Energy Saving Potential
4.2. Thermal Comfort
5. Discussion
5.1. Energy Saving Potential
5.2. Thermal Comfort
6. Conclusions
Author Contributions
Funding
Institutional Review Board Statement
Informed Consent Statement
Conflicts of Interest
Nomenclature
| ACH | Air change per hour |
| D | Hydraulic diameter [m] |
| Lbody | Thermal load on the body |
| Lduct | Duct Length [m] |
| M | Metabolic rate |
| MRT | Mean radiant temperature |
| Pdrop | Pressure drop [Pa] |
| PMV | Predicted mean vote |
| T | Temperature [°C] |
| WWR | Window to wall ratio [%] |
| f | Friction factor |
| ρ | Density of mass [kg/m3] |
| v | Velocity [m/s] |
| Subscripts | |
| a | Air |
| mrt | Mean radiant temperature |
| o | Operative temperature |
| Acronym | |
| ASHRAE | American society of heating, refrigerating, and air conditioning engineering |
| BAU | Business as usual |
| DV | Decentralized ventilation |
| ENV | Extended natural ventilation |
| EPBD | Energy performance of building directive |
| GHG | Greenhouse gas |
| HRV | Heat recovery ventilator |
| HVAC | Heating, ventilation, and air conditioning |
| IAQ | Indoor air quality |
| IoT | Internet of things |
| PER | Renewable primary energy demand |
| PHI | Passive house institute |
| POE | Post occupant evaluation |
| RPDV | Radiant panel distributed ventilation |
| TMY | Typical meteorological year |
References
- Kafle, S.; Parajuli, R.; Bhattarai, S.; Euh, S.H.; Kim, D.H. A review on energy systems and GHG emissions reduction plan and policy of the Republic of Korea: Past, present, and future. Renew. Sustain. Energy Rev. 2017, 73, 1123–1130. [Google Scholar] [CrossRef]
- EPBD. Directive 2002/91/EC of the European Parliament and the Council, 16th December 2002, Concerning the Energy Efficiency of the Buildings. Available online: https://hoxe.vigo.org/pdf/valedorcidadan/AO_7ENG.pdf (accessed on 23 January 2022).
- Figueiredo, A.; Figueira, J.; Vicente, R.; Maio, R. Thermal comfort and energy performance: Sensitivity analysis to apply the Passive House concept to the Portuguese climate. Build. Environ. 2016, 103, 276–288. [Google Scholar] [CrossRef]
- Feist, W.; Schnieders, J.; Dorer, V.; Hass, A. Re-inventing air heating: Convenient and comfortable within the frame of the Passive House concept. Energy Build. 2005, 37, 1186–1203. [Google Scholar] [CrossRef]
- Passive House Requirements, Passivhaus Institut (PHI), (Retrieved 11 December 2017). Available online: https://passiv.de/en/02_informations/02_passive-house-requirements/02_passive-house-requirements.htm (accessed on 23 January 2022).
- Schnieders, J.; Hermelink, A. CEPHEUS result: Measurements and occupants satisfaction provide evidence for Passive Houses being an option for sustainable building. Energy Policy 2006, 34, 151–171. [Google Scholar] [CrossRef]
- Tsutsumi, H.; Tanabe, S.; Harigaya, J.; Iguchi, Y.; Nakamura, G. Effect of humidity on human comfort and productivity after step changes from warm and humid environment. Build. Environ. 2007, 42, 4034–4042. [Google Scholar] [CrossRef]
- Tang, S.; Zhi, C.; Fan, Y.; Ye, W.; Su, X.; Zhang, X. Unhealthy indoor humidity levels associated with ventilation rate regulations for high-performance buildings in China. Build. Environ. 2020, 177, 106839. [Google Scholar] [CrossRef]
- de Dear, R.; Brager, G.S. Thermal comfort in naturally ventilated buildings: Revisions to ASHRAE Standard 55. Energy Build. 2002, 34, 549–561. [Google Scholar] [CrossRef] [Green Version]
- Lee, S.-W.; Leigh, S.-B.; Kim, T.; Cheong, C.H.; Cho, S. Cooling energy reduction effect of parallel double-window system operation in residential buildings in South Korea. Indoor Built Environ. 2019, 28, 636–658. [Google Scholar] [CrossRef]
- Doctor-Pingel, M.; Vardhan, V.; Manu, S.; Brager, G.; Rawal, R. A study of indoor thermal parameters for naturally ventilated occupied buildings in the warm-humid climate of southern India. Build. Environ. 2019, 151, 1–14. [Google Scholar] [CrossRef]
- Hesaraki, A.; Myhren, J.A.; Holmberg, S. Influence of different ventilation levels on indoor air quality and energy savings: A case study of a single-family house. Sustain. Cities Soc. 2015, 19, 165–172. [Google Scholar] [CrossRef]
- Schulze, T.; Eicker, U. Controlled natural ventilation for energy efficient buildings. Energy Build. 2013, 56, 221–232. [Google Scholar] [CrossRef]
- Goyal, S.; Barooah, P.; Middelkoop, T. Experimental study of occupancy-based control of HVAC zones. Appl. Energy 2015, 140, 75–84. [Google Scholar] [CrossRef]
- Nguyen, D.H.; Funabashi, T. Decentralized Control Design for User Comfort and Energy Saving in Multi-zone Buildings. Energy Procedia 2019, 156, 172–176. [Google Scholar] [CrossRef]
- Kim, M.K.; Baldini, L. Energy analysis of a decentralized ventilation system compared with centralized ventilation systems in European climates: Based on review of analyses. Energy Build. 2015, 111, 424–433. [Google Scholar] [CrossRef]
- Silva, M.F.; Maas, S.; de Souza, H.A.; Gomes, A.P. Post-occupancy evaluation of residential buildings in Luxembourg with centralized and decentralized ventilation systems, focusing on indoor air quality (IAQ). Assessment by questionnaires and physical measurements. Energy Build. 2017, 148, 119–127. [Google Scholar] [CrossRef]
- Salcido, J.C.; Raheem, A.A.; Issa, R.R. From simulation to monitoring: Evaluating the potential of mixed-mode ventilation (MMV) systems for integrating natural ventilation in office buildings through a comprehensive literature review. Energy Build. 2016, 127, 1008–1018. [Google Scholar] [CrossRef]
- ANSI/ASHRAE Standard 55; Thermal Environmental Conditions for Human Occupancy. American Society Heating, Refrigerating, and Air Conditioning Engineering: Peachtree Corners, GA, USA, 2017.
- Zhai, Y.; Zhang, H.; Zhang, Y.; Pasut, W.; Arens, E.; Meng, Q. Comfort under personally controlled air movement in warm and humid environments. Build. Environ. 2013, 65, 109–117. [Google Scholar] [CrossRef] [Green Version]
- Yang, B.; Schiavon, S.; Sekhar, C.; Cheong, D.; Tham, K.W.; Nazaroff, W.W. Cooling efficiency of a brushless direct current stand fan. Build. Environ. 2015, 85, 196–204. [Google Scholar] [CrossRef] [Green Version]
- Ashoori, M.; Sheikhzadeh, G.; Sadripour, S. The effects of using ceiling fans on human thermal comfort in a three-dimensional room with centralized heating including an occupant. Int. J. Numer. Methods Heat Fluid Flow 2019, 29, 3976–3993. [Google Scholar] [CrossRef]
- Arens, E.; Turner, S.; Zhang, H.; Paliaga, G. Moving Air for Comfort; UC Berkeley: Berkeley, CA, USA, 2009. [Google Scholar]
- Schmidt, K.; Patterson, D.J. Performance results for a high efficiency tropical ceiling fan and comparisons with conventional fans: Demand side management via small appliance efficiency. Renew. Energy 2001, 22, 169–176. [Google Scholar] [CrossRef]
- Ochiai, T.; Oda, S.; Sakai, M.; Ishiguro, S. Thin Ceiling Circulator to Enhance Thermal Comfort and Cabin Space; WCX SAE World Congress Experience: Detroit, MI, USA, 2019. [Google Scholar] [CrossRef]
- KS B 6879. Heat Recovery Ventilators. 2020. Available online: https://www.standard.go.kr (accessed on 23 January 2022).
- Li, S.; Liu, L.; Peng, C. A Review of Performance-Oriented Architectural Design and Optimization in the Context of Sustainability: Dividends and Challenges. Sustainability 2020, 12, 1427. [Google Scholar] [CrossRef] [Green Version]
- Building Energy Code, Ministry of Land, Infrastructure and Transport. 2021. Available online: https://law.go.kr/LSW/eng/engLsSc.do?menuId=2&query=#liBgcolor11 (accessed on 23 January 2022).
- ASHRAE Fundamental, C. 21 Duct Design; American Society of Heating, Refrigerating, and Air conditioning Engineering: Peachtree Corners, GA, USA, 2017. [Google Scholar]
- Ahmed, K.; Akhondzada, A.; Kurnitski, J.; Olesen, B. Occupancy schedules for energy simulation in new prEN16798-1 and ISO/FDIS 17772-1 standards. Sustain. Cities Soc. 2017, 35, 134–144. [Google Scholar] [CrossRef] [Green Version]
- prEN16798-1; Energy Performance of Buildings—Part 1: Indoor Environmental Input Parameters for Design and Assessment of Energy Performance of Buildings Addressing Indoor Air Quality, Thermal Environment, Lighting and Acoustics—Module M1-6. 2016. Available online: https://global.ihs.com/doc_detail.cfm?document_name=PREN%2016798%2D1&item_s_key=00651620 (accessed on 23 January 2022).
- ISO 17772-1; Energy Performance of Buildings—Indoor Environmental Quality—Part 1: Indoor Environmental Input Parameters for the Design and Assessment of Energy Performance of Buildings. 2017. Available online: https://www.iso.org/standard/60498.html (accessed on 23 January 2022).
- Woo, D.-O.; Junghans, L. Framework for model predictive control (MPC)-based surface condensation prevention for thermo-active building systems (TABS). Energy Build. 2020, 215, 109898. [Google Scholar] [CrossRef]















| Level | Power [W] | Mean Air Speed [m/s] |
|---|---|---|
| 0 | 1 * | 0.05 |
| 1 | 2 | 0.44 |
| 2 | 3 | 0.57 |
| 3 | 4 | 0.69 |
| 4 | 7 | 1.27 |
| 5 | 9 | 1.39 |
| 6 | 11 | 1.59 |
| Ventilation Volume | Heat Recovery Rate | Energy Coefficient | |||
|---|---|---|---|---|---|
| Cooling | Heating | Cooling | Heating | ||
| Standard | Over 90% | Over 45% | Over 70% | Over 8.0 | Over 15.0 |
| Number of Floors | Gross Area [m2] | Total Height [m] | Volume [m3] | WWR [%] | U-Value [W/m2K] | ACH | Num of Occupants | ||||||
|---|---|---|---|---|---|---|---|---|---|---|---|---|---|
| S | N | E | W | Roof | Wall | Floor | Win | ||||||
| 20 | 5954 | 56 | 16,671 | 60 | 10 | 0 | 0 | 0.15 | 0.17 | 0.17 | 1.00 | 0.3 | 240 |
| Bedroom 1 | Bedroom 2 | Bedroom 3 | Kitchen | Living Room | |
|---|---|---|---|---|---|
| Length (m) | 11.0 | 4.5 | 9.4 | 7.0 | 6.5 |
| Operation Scenario | Case 1 | Case 2 | Case 3 | Case 4 |
|---|---|---|---|---|
| Name of case | Baseline case | Extended natural ventilation case | Decentralized ventilation case | Proposed solution case |
| Description | Basic ventilation strategy | Extending natural ventilation period with increasing air velocity using ceiling fan | Decentralized control for ventilation based on occupancy demand | Combined two strategies (Case 2 and Case 3) |
| Ventilation type | Centralized | Centralized | Decentralized | Decentralized |
| Control type | 2-position Control | Floating Control | 2-position Control | Floating Control |
| Energy Source | Primary Energy Factor |
|---|---|
| Fuel | 1.1 |
| Electricity | 2.75 |
| District heating system | 0.728 |
| District cooling system | 0.937 |
| Energy Source | Ration of Total Energy Production |
|---|---|
| Coal | 42% |
| Liquefied Natural Gas (LNG) | 27% |
| Nuclear | 23% |
| Renewable | 6% |
| Oil | 1% |
| Etc. | 1% |
| va (Average Air Speed) | <0.2 m/s | 0.2–0.6 m/s | 0.6–1.0 m/s |
|---|---|---|---|
| A | 0.5 | 0.6 | 0.7 |
Publisher’s Note: MDPI stays neutral with regard to jurisdictional claims in published maps and institutional affiliations. |
© 2022 by the authors. Licensee MDPI, Basel, Switzerland. This article is an open access article distributed under the terms and conditions of the Creative Commons Attribution (CC BY) license (https://creativecommons.org/licenses/by/4.0/).
Share and Cite
Park, K.-Y.; Woo, D.-O.; Leigh, S.-B.; Junghans, L. Impact of Hybrid Ventilation Strategies in Energy Savings of Buildings: In Regard to Mixed-Humid Climate Regions. Energies 2022, 15, 1960. https://doi.org/10.3390/en15061960
Park K-Y, Woo D-O, Leigh S-B, Junghans L. Impact of Hybrid Ventilation Strategies in Energy Savings of Buildings: In Regard to Mixed-Humid Climate Regions. Energies. 2022; 15(6):1960. https://doi.org/10.3390/en15061960
Chicago/Turabian StylePark, Kyung-Yong, Deok-Oh Woo, Seung-Bok Leigh, and Lars Junghans. 2022. "Impact of Hybrid Ventilation Strategies in Energy Savings of Buildings: In Regard to Mixed-Humid Climate Regions" Energies 15, no. 6: 1960. https://doi.org/10.3390/en15061960
APA StylePark, K.-Y., Woo, D.-O., Leigh, S.-B., & Junghans, L. (2022). Impact of Hybrid Ventilation Strategies in Energy Savings of Buildings: In Regard to Mixed-Humid Climate Regions. Energies, 15(6), 1960. https://doi.org/10.3390/en15061960
