Next Article in Journal
A Study on MG-PMSM for High Torque Density of 45 kW–Class Tram Driving System
Previous Article in Journal
Prediction of Electric Buses Energy Consumption from Trip Parameters Using Deep Learning
 
 
Font Type:
Arial Georgia Verdana
Font Size:
Aa Aa Aa
Line Spacing:
Column Width:
Background:
Article

The Multifunctional Nuclear Magnetic Flowmeter for Control to the Consumption and Condition of Coolant in Nuclear Reactors

1
Institute of Physics and Mechanics, Peter the Great St. Petersburg Polytechnic University, 195251 St. Petersburg, Russia
2
Institute of Electronics and Telecommunications, Peter the Great St. Petersburg Polytechnic University, 195251 St. Petersburg, Russia
3
Department of Physics, The Bonch-Bruevich Saint Petersburg State University of Telecommunication, 193232 St. Petersburg, Russia
4
Department of Photonics and Communication Lines, The Bonch-Bruevich Saint Petersburg State University of Telecommunication, 193232 St. Petersburg, Russia
*
Author to whom correspondence should be addressed.
Energies 2022, 15(5), 1748; https://doi.org/10.3390/en15051748
Submission received: 8 January 2022 / Revised: 23 February 2022 / Accepted: 24 February 2022 / Published: 26 February 2022

Abstract

:
The necessity of coolant flow consumption measurement accuracy increase in the nuclear reactor primary circuit has been substantiated. Additionally, the need to control the coolant condition in the current flow inside the pipeline is shown. Nowadays, the real-time coolant’s condition control function is not implemented at stationary nuclear power plants or mobile nuclear power plants used in moving objects. It is shown that a coolant consumption measurement error decreases and its condition data availability increases the heat transfer efficiency and the electrical energy generation (without the nuclear reactor and steam generator design change). Problems arising during coolant consumption control using various flowmeters models in the nuclear reactor primary circuit are considered. It has been found that nuclear magnetic flowmeters can solve these problems. New difficulties are noted as emerging when using pulsed nuclear magnetic flowmeters designs developed for measuring hydrocarbons, water, biological compounds consumption, and condition control. A new nuclear magnetic flowmeter design has been developed using a modulation technique for nuclear magnetic resonance signal recording. Methods for measuring the coolant flow’s longitudinal T1 and transverse T2 relaxation times are presented. Investigations of coolant flow parameters (consumption and relaxation times) inside the pipeline have been carried out. It is found that the measurement error for these parameters does not exceed 1%. The prospects of using the developed nuclear magnetic flowmeter-relaxometer design in the nuclear reactor first circuit are shown.

1. Introduction

Nuclear energy is one of the most promising fields for producing electrical energy globally [1,2,3,4,5]. The use of nuclear power plants (NPP) will make it possible to meet the ever-growing needs of humankind regarding the necessary capacities of electrical energy at any time of the day [3,4,5,6,7]. It should be noted that the production of electricity at nuclear power plants, unlike other types of power plants, does not depend on many external factors. These factors are connected with changes in climatic conditions for hydroelectric power plants, solar installations or wind turbines, or fuel reserves for thermal power plants [8,9,10,11]. The production of the required electrical power at a nuclear power plant is determined by the plant system’s operational reliability and the provision of optimal operating modes for various nuclear steam generator (NSG) units [6,7,11,12,13,14]. It also applies to NPPs used on mobile offshore objects.
One of the parameters ensuring the NSGs’ optimal operation is the coolant consumption qc in the primary circuit of a nuclear reactor [4,5,6,7,12,13,14,15,16,17,18,19,20]. Some difficulties arise during measuring instruments’ operation while controlling the value of qc in all models of NSGs. Over time, this increases the qc measurement error up to 5% or more. Due to coolant qc measurement-dependence on its composition, these difficulties are due to various factors. Melts of lead (Pb) or lead with bismuth (Pb-Bi), sodium melt (Na23), lithium melt (Li7) with various additives, or an aqueous solution (H2O + H3BO3) with plutonium nitride filling are used as coolants. Additionally, various types of flowmeters (electromagnetic, Coriolis force, and magnetic) and measuring devices (flow washers and Venturi nozzles) are used [20,21,22,23,24,25,26]. The main problem is caused by device measuring elements in contact with a fast coolant flow at a high temperature [7,14,15,16,17,20,21,22,23,24,25,26,27,28,29]. For example, for the Brest-300 reactor, the maximum coolant temperature Tc ≈ 923 K, the consumption reaches qc ≈ 0.08 m3/s [30,31,32,33], and for the SVBR-100 reactor, the maximum value of Tc ≈ 973 K at qc ≈ 0.1 m3/s [30,34]. In some cases, the coolant has high chemical activity in addition to a high flow rate and temperature. For example, it happens in the BN-600 reactor with uranium-plutonium nitride fuel (liquid sodium melt is used as the coolant) [4,14]. Long-term interaction of flowmeter mechanical elements or measuring contacts with such a medium leads to their destruction or structural erosion. The measurement error of qc drastically increases. It is impossible to replace these devices during the operation of a nuclear reactor.
Problems also arise in the operation of electromagnetic flowmeters. In these devices, a calibration dependence is used to determine the volumetric consumption q, which was obtained at the enterprise manufactured device [35,36,37]:
q = π × D × E 4 × B × k ,
where E is the potential difference arising from the interaction of moving electrically conductive liquid with a magnetic field and B is the magnetic induction. D is the distance between the ends of the electrodes (coincides with the inner diameter of the flowmeter pipeline made of a non-magnetic material), and k is a correction factor that depends on temperature T and the composition of the liquid medium (set by the enterprise when calibrating the device).
In the region of high temperatures T (more than 800 K), the coefficient k has a nonlinear dependence on T. This dependence must be corrected during the operation of the device, primarily if the device is used to measure liquid media with large temperature and flow-rate differences. At the initial stage of the flowmeter operation, relation (1) makes it possible to determine qc with no more than 2% relative error. However, during the long-term electromagnetic flowmeter operation for measuring the consumption qc of the coolant, several peculiarities arise that are somewhat difficult to consider in the subsequent coefficient k value determination. This leads to the qc measurement error increase.
The main issues are associated with the fact that potential difference E in the electromagnetic flowmeter is recorded by electrodes placed perpendicular to the liquid stream in the pipeline. During their operation, various deposits accumulated in the area of electrode location (on the pipeline walls). This led to a change in the nature of the dependence of k on T. It is impossible to correct the values of k under the device’s operating conditions as part of the NSG. Under such circumstances, the consumption measurement error can increase up to five percent or even more. One of the solutions to this problem would be the placement of electrodes in the non-magnetic layer of the pipeline wall. Contact of the electrodes with the flowing stream, in this case, would be excluded, leading inevitably to a decrease in the device’s sensitivity to coolant consumption values changes and, consequently, to an increase in the qc measurement error.
Another reason for the qc measurement error increase is associated with the fact that a strong magnetic field (induction B > 0.4 T) must be used to measure qc values at high flow rates in electromagnetic flowmeters. A strong magnetic field in an electromagnetic flowmeter creates electrodes polarization, leading to significant errors in consumption measuring for any media [37,38]. Therefore, in these cases, the electrodes are made of special materials (carbon) or protected with special coatings (platinum or tantalum). Carbon electrodes are susceptible to temperature changes even when placed inside the pipe wall. In addition, deposits from the coolant accumulate at the joints of the electrode and the pipeline. This significantly increases the qc measurement error up to 5% and more. The use of electrodes coating prevents electromagnetic flowmeters from measuring the liquid consumption with ionic conductivity (Li, K, and Na). Then, they can only be used to measure the liquid consumption with electronic conductivity, e.g., water or hydrocarbons [39,40]. For a coolant, these are media containing, for example, Pb and Bi, limiting the functionality of electromagnetic flowmeters in the NPP usage.
There is also another factor limiting electromagnetic flowmeters in the nuclear power plant. The qc coolant consumption must be measured inside the primary reactor circuit sealed system. Only devices resistant to high temperatures and γ-radiation can be placed in this zone (the radiation exposure dose is ca. 530 mSv/h). The use of instrumentation impulse lines (with a control and measuring device) for retrieving qc value from electromagnetic flowmeters is not very effective as it leads to huge errors (more than 10%). These lines are used to control pressure and coolant levels in the pipeline. Scientists are currently trying to solve the considered problems since they significantly limit the functional possibilities of using electromagnetic flowmeters in nuclear power.
In addition, during the operation of the NSGs, various oxides can enter the coolant (e.g., due to the pump or pipeline wear). In this case, the measurement error qc will increase several times, and the presence of these oxides in the coolant cannot be determined using an electromagnetic flowmeter. The efficiency of electricity generation is decreasing. Ultrasonic flowmeters [41] for measuring the coolant consumption at Russian NPPs are currently not used. This is due to some technical limitations and the inability to carry out a full-fledged primary calibration of instruments after their installation on the actual parameters of the coolant in the pipeline system.
On the other hand, to ensure the efficient operation of the steam generator, it is necessary to ensure the optimal heat transfer coefficient kn (Nusselt criterion) between the first and second circuits depending on the coolant and feed water consumptions as well as their conditions. These parameters must be controlled with an error of less than 1.5%.
Many scientific studies and technical developments are now aimed at solving this problem during the operation of the NSGs. In addition, when the reactor operates at high power levels, it is necessary to ensure efficient heat removal from the reactor rods [1,4,7,12,16] using the coolant stream. It is especially critical for nuclear reactors on offshore mobile objects. The qc value, in this case, is one of the most critical parameters.
Therefore, the development and implementation of new models of devices operating on other physical principles for measuring the consumption and the coolant condition control are extremely important, especially for newly developed models of NSGs. One of the possible solutions to this problem can be the use of devices operating based on the phenomenon of nuclear magnetic resonance (NMR) [42,43,44,45,46,47].

2. Nuclear Magnetic Resonance Method

The problem of measuring the flowing medium consumption or rate in a pipeline using the phenomenon of NMR has been considered in various works for over 60 years [41,42,43,44,45,46,47,48,49,50,51,52,53]. The experiments using NMR to research the flow effects were first reported by Suryan [50], who found that the nuclear absorption signal changed in proportion to liquid velocity. Early developments of NMR flowmeters to study blood flow began in 1956 at the National Heart, Lung, and Blood Institute [51], with the first in vivo experiments demonstrated by Singer [52]. Vander et al. [53] introduced the first industrially orientated NMR flowmeter in late 1968.
Further, this direction of NMR began to develop rapidly. This happens because pulsed methods for recording the NMR signal from various nuclei with a magnetic moment have been developed [42,43,44,48,49,54,55]. The primary nuclei used in research are presented in Table 1.
Analysis of the data presented in Table 1 shows that for all types of coolant [1,4,5,6,7,12,13,14,15,16,17,18,19,20] used now in nuclear reactors, it is possible to use devices based on the NMR phenomenon to measure the consumption and its condition control. To date, many different models of NMR flowmeters have been developed for measuring the aqueous media, oil, biological solutions consumption, and condition control [55,56,57,58,59,60,61,62,63,64,65,66,67,68]. Analysis of these NMR models’ characteristics and other earlier developments [42,43,44,45,46,47,48,49,69,70] showed that it is very difficult to use these NMR flowmeters designs to measure the flowing coolant consumption and condition control in nuclear reactors, due to several problems that cannot be solved simultaneously. Let us consider them in detail.
Most of the developed NMR flowmeters are intended for measuring low flow rates of liquid media (not exceeding 10 mL/s using pipelines of small diameter (several mm)), especially those that use a single magnet (magnetic assembly of the Halbach-Array type) [44,45,46,47,48,54]. In nuclear reactors, pipelines from 300 to 700 mm are used in the primary circuit. The coolant consumption varies from 0.01 to 0.9 m3/s. This comparison is sufficient to understand that a different design is required in NMR meters. It is necessary to use a special polarizer magnet with induction Bp to create the magnetization of the flowing liquid and a system located at some distance from this magnet in a different magnetic field to record the NMR signal. Such designs of various NMR flowmeters have also been developed [57,58,59,60,61,62,63,64,65,66,67,68,69,70]. These instruments use pulsed methods to record the NMR signal and are now successfully used in various NMR spectrometers to study condensed matter in a stationary state [71,72,73,74,75]. Using pulse methods to measure the coolant consumption and its condition control leads to the following problems. All models of flowmeters must measure the change in flow by at least one order of magnitude with a specified error (not exceeding 1.5%). The consumption measurement error Δq depends on the signal-to-noise ratio of the recorded NMR signal [57,58,59,60,61,62,63,64,65,66,67,68,69,70,76,77,78,79]. The amplitude of the recorded NMR signal ANMR depends on the value of magnetization Mp at the exit from the magnet-polarizer; on the value of magnetic field induction Ba, in which the NMR signal is recorded; and on its inhomogeneity, ΔBa [57,58,59,60,61,62,63,64,65,66,67,68,69,70,76,77,78,79]. For this, the range of the measured value q must ensure the fulfillment of the condition of complete magnetization of the liquid in the field of the magnet of the polarizer Bp to the value Mp = χ0Bp (χ0 is the static nuclear magnetic susceptibility) at one of the consumptions [76,77,78,79]. This condition is determined by the time tp of the flowing liquid in the field of magnet-polarizer Bp [45,47,48,49,53,54,76,77,78,79]:
t p 3 T 1 ,
where T1 is the flowing medium longitudinal relaxation time.
Suppose the liquid medium is in the polarizer for a short time (less than tp = Vp/q, Vp is the volume of the vessel-polarizer). In that case, this leads to its incomplete magnetization (Mp will be less than χ0Bp) and consequently to a recorded NMR signal amplitude decrease and signal-to-noise ratio decrease. If the signal-to-noise ratio becomes less than 3.0, it is impossible to measure q values with a measurement error of no more than 1.5% [46,47,54,57,59,62,65,67,69,70,76,77,78,79]. The q measurement error will increase to 2% or more. It should be noted that the time T1 varies with the temperature T [79,80,81,82]. The transverse relaxation time T2 value also changes with temperature [79,80,81,82]. The measured values of T1 and T2 in some instrument designs are used to determine the consumption q [45,48,49,54,61,68], and in other models of pulse NMR flowmeters they are used for monitoring the state of the flowing medium [57,69,76,77,78,79]. Figure 1 shows the measured values of the relaxation times T1 and T2 of distilled water and an aqueous solution (H2O + H3BO3) with plutonium nitride (PuN) filling for various temperatures T. At Russian NPPs, this aqueous solution is used as a coolant in VVER-1200 nuclear reactors [1,15,16,17] and in the last two VVER-1000 reactors put into operation at NPPs. Previously, in VVER-1000 in an aqueous solution (H2O + H3BO3), KOH hydroxide was used as an inhibitor. The measurements were carried out on a stationary NMR relaxometer Minispec mq 20 M (BRUKER, Germany) with a thermo-block.
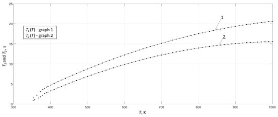
The analysis of the dependencies shown in Figure 1 shows an increase in the values of T1 and T2 with increasing T. The technical capabilities of the NMR relaxometer Minispec mq 20 M made it possible to measure T1 and T2 only up to T = 393 K. There are no other industrial instruments for measuring T1 and T2 of liquid media at higher temperatures in the world. Therefore, we extrapolated the obtained dependences to the region of higher temperatures. Previously, we used such methods to estimate the heat capacity C of the nuclear reactor secondary circuit feed water for various temperatures and pressures. Comparison of the results with the data obtained on the experimental stand (the value of the heat capacity C was measured along the absorption line) showed that the error in determining the value of C, in this case, did not exceed 5%. Figure 2 shows the results of extrapolation of the values of T1 and T2 to the high-temperature region. The average temperature of the coolant considered in the article in the reactor’s primary circuit is about 960 K.
As a result, we determined the values of T1 = 20.23 ± 1.02 s and T2 = 15.54 ± 0.76 s for T = 960 K. Such data on the relaxation times of an aqueous solution (H2O + H3BO3) with plutonium nitride filling were obtained for the first time in the world. To satisfy the condition listed in Equation (2), the time tp must be at least 61 s. The obtained results show that the previously developed designs of pulse NMR flowmeters [60,61,62,63,64,65,66,67,68,69,78] for small pipe diameters (no more than 40 mm) and low flow rates of liquids at temperatures below 320 K are challenging to apply. The use of small-size magnetic assemblies of the Halbach-Array type for magnetizing the flowing liquid [57,58,60,61,68] is excluded. It will be extremely difficult to fulfill condition (2) with their use.
Another problem associated with the residence time of a liquid segment in the recording coils of a pulsed NMR flowmeter for measuring the consumption q and relaxation times T1 and T2 cannot be solved under current operating conditions in nuclear reactors. This is because particular sequences of pulses and time intervals for the repetitions are used for measurements [80,81]. There are no problems in the study using the pulsed method of stationary media. In flowing media for measurements, it is necessary to provide a straight section of the pipeline on which the NMR signal registration coil will be located (it is also used to influence pulses on a magnetized flowing liquid). In the case of pipeline turns in a magnetic field, the fulfillment of the conditions of the adiabatic theorem [80,81] is violated, and the pulse technique cannot be used to register the NMR signal. In addition, at bends with a fast fluid flow, turbulent flows arise, which destroy the magnetization marks made by the pulses [54]. The measurements become unreliable. In [62], the most optimal measurement of the consumption q and relaxation times T1 and T2 using the pulse technique shows that the total time ts of the liquid segment in the recording coils should be more than 4T2 + 6T1. Only in this work [62], small diameters of the pipeline and low flow rates are used. For an aqueous solution (H2O + H3BO3) with plutonium nitride filling at T = 960 K, the value is ts > 184 s. With an average flow rate of the coolant through the pipeline of the order of 25–30 cm/s, the coil distance will be more than 64.5 m. It is also necessary to add at least 20% to this distance, and this will be the length of the straight section of the pipeline for placing the coil for recording the NMR signal (almost 80 m). It is complicated to provide such a section of the pipeline at a nuclear power plant in the protective zone of a nuclear reactor. On a moving object, this task becomes even more problematic. It is an extremely difficult task to provide the necessary magnetic field uniformity for recording an NMR signal with such a recording coil length in the immediate vicinity of a nuclear reactor operating at maximum power.
Therefore, to ensure the measurement error of consumption q of the current coolant and the relaxation times T1 and T2 less than 1.5% in the primary circuit of a nuclear reactor, it is necessary to develop other technical solutions and methods for measuring these parameters. These developments must consider the research results obtained in the works [46,47,57,58,59,60,61,62,63,64,65,66,67,68,69,70,71,79,80,81,82].

3. The Design of a Nuclear Magnetic Flowmeter-Relaxometer and Measuring Method

Based on the analysis of various data on the designs of NMR flowmeters [46,47,57,58,59,60,61,62,63,64,65,66,67,68,69,70,71,79,80,81,82] and the results of our research [76,77,83], the design of a laboratory nuclear magnetic flowmeter-relaxometer was developed. The block diagram of the device we have developed is shown in Figure 3.
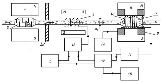
The flowing medium enters the polarizer vessel 2 through the pipeline. The polarizer vessel is in the magnetic system 1, which creates a strong magnetic field of 1.532 T with inhomogeneity of 0.02 cm−1 in the gap between the pole pieces. In this vessel, the medium acquires the nuclear magnetization vector Mp. Further, from the polarizer vessel, the liquid enters the nutation coil 3 through the connecting section of the pipeline 350 mm in diameter. In the coil, under the action of the resonant variable radio field H1, the magnetization vector orientation of nuclear moments Mp changes. This change after the liquid passes the measuring section of the pipeline is processed by coil 5, which is in the field Ba of the analyzer magnet 6 (Ba = 0.353 T, the inhomogeneity of 0.002 cm−1, da = 398 mm), connected to a high-frequency generator of weak vibrations (autodyne), which is a part of the registration circuit 9. Modulation coils 8 are placed on the analyzer magnet, and a radio frequency generator 12 is connected to them. To improve the S/N ratio and measurement accuracy, analyzer vessel 7 is made in the form of a cylinder with a 384 mm diameter in the area where the registration coil 5 is located. A complete inversion of magnetization Mp—rotation of the vector by the angle φn = 180°—occurs at the resonant frequency fn of the radio field H1. The frequency fn is related to the magnetic field H0, in which the nutation coil is located, as follows:
f n = γ H 0 ,
where γ is the gyromagnetic ratio of nuclei.
It should be noted that the maximum signal-to-noise ratio in the registration circuit 9 corresponds to a certain amplitude of the radio field H1 in the nutation coil with a frequency fn. An automatic frequency control circuit located in the processing and control device 12 adjusts the frequency fn of the nutation generator 5 to the S/N ratio maximum.
In the developed design of the NMR flowmeter-relaxometer to register the NMR signal, a modulation technique is used (the field of the analyzer magnet 9 is modulated by an alternating magnetic field with induction Bm and frequency fm). For this, modulation coils 8 are used. A radio-frequency signal is received from generator 14 (the value of the modulation frequency fm in our device design varies from 0.01 to 100 Hz). In this case, when the magnetic field Ba passes through the resonance, an NMR signal is recorded. Figure 4 shows the recorded NMR signal from an aqueous solution (H2O + H3BO3) with plutonium nitride filling at T = 333 K.
Analysis of the data presented in Figure 4 shows that NMR signals from an aqueous solution are recorded at the same time intervals ΔTm = Tm/2 = 1/fm = 2.5 s. Figure 5 shows the line shape of the recorded NMR signal with a single passage through the resonance.
The dependence of the change in the maxima at the peaks of the recorded NMR signal (Figure 5—graph 1) is approximated by the following function for the decay of free induction [80,81]:
U ( t ) = U 0 × exp ( t T 2 * ) × cos a t 2 2 ,
a = γ d H z d t = d ( ω d t ) ,
where a is the rate of change in the magnetic field detuning, T2* is the transverse relaxation effective time, and U0 is the maximum value of the amplitude of the recorded NMR signal.
The transverse relaxation time T2 of the flowing medium, in this case, is determined using the following formula [80,81]:
1 T 2 * = 1 T 2 + γ B a π ,
where ΔBa is the inhomogeneity of the magnetic field in the location of the coil for recording the NMR signal.
In the case of small values of ΔBa, its contribution to Formula (6) while determining the T2 value is negligible and T2T2*. The transverse relaxation time can be immediately determined using the recorded NMR signal. With an increase in the inhomogeneity of the magnetic field ΔBa, the number of peaks in the recorded NMR signal (Figure 5) decreases. The error in determining T2* increases. Our earlier studies of various liquid media in small-sized NMR spectrometers and relaxometers using a modulation technique for recording the NMR signal [70,76,77,80,83,84,85] made it possible to establish the following. The recorded NMR signal must contain five or more peaks (excluding the main one-maximum amplitude of the NMR signal) to determine T2 with 1% or less error. In the received NMR signal (Figure 5), the number of peaks significantly exceeds 5.
A different number of impurities can enter the coolant during its operation at a nuclear power plant (for example, scale or oil due to wear of the main central pump or various pipeline pieces due to degradation of a pipe or a welded joint). So, it is necessary to measure the values to control its two relaxation times T1 and T2, as in NMR flowmeters when monitoring the parameters of various hydrocarbons [46,47,55,57,58,62,64]. To measure the value of the longitudinal relaxation time T1 in the design of an NMR flowmeter-relaxometer, we use a method developed by us using two modes of modulation of the Ba field [84,85]. This method is successfully applied in NMR devices developed by the authors for condensed media condition express control. In this case, to implement measurements of two values of the relaxation times T1 and T2, the investigated segment of the coolant must be in the registration coil for more than 1 s. At a coolant flow rate of 25–30 cm/s, there will be no problems with the placement of an NMR signal registration system with a coil less than 40 cm long on a straight section of the pipeline in the zone of a nuclear reactor, in contrast to the cases of the possible use of impulse NMR flowmeters to control the consumption and condition of the coolant.
To measure the consumption qc of the coolant in the developed design of the NMR flowmeter-relaxometer, we used two NMR signals with inversion (Figure 6) and without magnetization inversion (Figure 5).
Let us consider the principle of measuring the consumption qc. The magnetization inversion in the coolant is formed in coil 3. After a certain interval of time tn, the magnetization inversion enters the registration coil 10. The NMR signal with the magnetization inversion is recorded (Figure 6). After its registration, an impulse is generated in the control unit 12. This pulse opens one of the keys of the system 13. The sinusoidal voltage supply from generator 5 to the nutation coil 3 stops. The magnetization inversion in the coolants from this moment in coil 3 does not occur.
Further, this coolant without magnetization inversion enters the registration coil 10 after a while. After recording the NMR signal without magnetization inversion (Figure 5), a rectangular pulse is generated in block 12, which closes one of the switches 13. A sinusoidal voltage is supplied to the nutation coil 3 from generator 5. In nutation coil 3, an inversion of magnetization is formed in the current flow of the coolant.
In this case, information on the consumption qc of the coolant is presented in the form of a rectangular pulse (meander), the period of which Tn is equal to twice the time tn of the stream of the liquid medium from the nutation coil 3 to the registration coil 10 (Figure 3). In this case, the liquid consumption determines the next equation:
q c = V c t n = 2 V c T n ,
where Vc is the pipeline volume connecting section between nutation coil 3 and registration coil 10.
In this case, the error in determining the coolant consumption Δqc is determined by the stability of the operation levels of the comparators in the control circuit (this error is less than 0.3%). Moreover, on value Δqc affects the error in determining the volume Vc (with all permissible errors in measuring the inner diameter of the pipeline and the distance between coils 3 and 10, this error will be less than 0.5%). The pipeline degrades during the nuclear reactor operation (its internal diameter changes). It leads to changing the value of Vc and an increase in error Δqc up to 1% or maybe slightly higher. We do not consider a more significant degradation of the pipeline since this will lead to a disruption of the technological cycle in the operation of a nuclear reactor and a sharp decrease in the power of the generated electrical energy.

4. Results

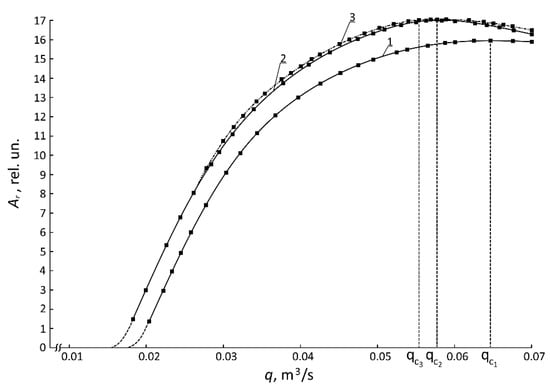
Figure 7 shows, as an example, the research results of an operating works of an NMR flowmeter-relaxometer design. We researched the change in the signal-to-noise ratio Ar of the recorded NMR signal as a function of the change in the coolant consumption qc for different temperatures T.
It should be noted that as a research result, the values of the optimal coolant expenditures qc (qc1 = 0.0648 ± 0.0006 m3/s, qc2 = 0.0577 ± 0.0005 m3/s, and qc3 = 0.0553 ± 0.0005 m3/s) were obtained for various temperatures T. These values correspond to the maximum value of Ar of the registered NMR signal. The research at a coolant consumption of more than 0.07 m3/s is not carried out due to the circular pump’s attainment of the maximum power at the experimental stand. The results of qc are compared with measuring the consumption performed using an electromagnetic flowmeter WATERFLUX 3050 (company KROHNE, Germany) to check the reliability of measuring the consumption with the device developed by us. The measurement error of the WATERFLUX 3050 at the initial stage of its operation is less than 1.0%. The results of comparing the measured consumptions with the two devices are presented in Table 2.
The relaxation times T1 and T2 of an aqueous solution (H2O + H3BO3) with plutonium nitride filling for various temperatures T were measured using the design of the developed NMR flowmeter-relaxometer and compared with the results of measurements on an industrial NMR relaxometer Minispec mq 20 M (BRUKER, Germany). A comparison of the results obtained is presented in Table 3.
Since our system’s capabilities on an experimental stand with a circular pump and heating a liquid medium were limited to a temperature of 351.6 K, Table 3 presents data on the values of T1 and T2 measured at temperatures up to 348.2 K.

5. Discussion

The analysis of the results obtained in Figure 7 shows that with an increase in the coolant temperature T, the value of the optimal consumption qc at which Ar is maximum decreases. This allows for an industrial device for nuclear power plants to obtain the maximum value of Ar at the optimal consumption qc by changing the values of polarizer volumes Vp and connecting section of pipeline Vc, which corresponds to the stream rate of the coolant in the pipeline in the range from 25 to 30 cm/s. In this rate range lies the most efficient heat removal from the reactor rods and heat transfer between the primary and secondary circuits for various models of nuclear reactors. In all these cases, the consumption of qc was measured with less than 1% error.
It should also be noted that the dependencies obtained in Figure 7 makes it possible to establish the following. In the design of the developed NMR flowmeter-relaxometer, in the case of a change in the consumption of qc for various reasons (for example, a decrease in technological power), even by 40% of the optimal value, the signal-to-noise ratio Ar is 2–3 times higher than 3. This will make it possible to measure qc with less than 1% measurement error. If the value of qc is increased by more than 40%, the developed NMR flowmeter-relaxometer will also provide qc measurements with an error of less than 1%. During the operation of nuclear power plants in the Russian Federation, this situation has arisen only once. It led to the decommissioning of the nuclear reactor for some time.
The declared error in measuring the coolant consumption of qc is confirmed by the data presented in Table 2 (an industrial flowmeter with a measurement error not higher than that of the device we developed is used to compare the results). Measuring the consumption qc by the two devices coincided with the measurement error.
Analysis of the obtained results of measurements of relaxation times T1 and T2, presented in Table 3, shows that they coincide within the measurement error. It should be noted that the error in measuring the relaxation times T1 and T2 in the industrial NMR relaxometer Minispec mq 20 M is 0.03%. This error is less than in the NMR flowmeter-relaxometer developed by us (the error in measuring relaxation times is 1% over the entire range of measured flow rates q). good agreement exists between the results because the registered NMR signal provides a resolution of more than five peaks, with a signal-to-noise ratio greater than 3.0. In pulse industrial NMR flowmeters-relaxometers, the measurement error of relaxation times is less than 1.5%. This fact once again confirms the validity of using our proposed methods for values measuring T1 and T2 in the developed design of an NMR flowmeter-relaxometer.

6. Conclusions

The data obtained as a result of the research show the high reliability of the proposed design of the NMR flowmeter-relaxometer for controlling the consumption and condition of the stream coolant. The presented research results and their detailed analysis with comparisons with other types of flowmeters (including pulsed NMR flowmeters) confirm the promising nature of the developed device design for solving problems of coolant parameters control in nuclear power plants.
In addition, the device developed by us, in which the pulsed technique is used to record the NMR signal, has several advantages over pulsed NMR flowmeters-relaxometers. Using the modulation technique in the device for measuring q, T1, and T2 (compared to the pulse technique) makes it possible to reduce the required length of the straight section of the pipeline in the NMR flowmeter-relaxometer from 80 m to 1.5 m. The linear dimensions of the developed device can be reduced at least 16 times, and its weight at least 12 times (compared to the NMR flowmeter-relaxometer, which uses a pulse technique for measuring q, T1, and T2). It should be noted that the nuclear-magnetic flowmeter-relaxometer developed by us is easier to maintain than the pulsed nuclear-magnetic flowmeter-relaxometer. The flow measurement range q with an error of about 1% in the device developed by us is at least three times greater than in a pulsed nuclear magnetic flowmeter-relaxometer.
The modulation technique for measuring q, T1, and T2 in a flowing liquid has a fundamental limitation. It is associated with the need to provide a magnetic field with an induction of at least 0.3 T in the zone of registration of the NMR signal with uniformity (no worse than 0.0025 cm−1) with a diameter of the poles of the magnetic system of at least 0.5 m (this is necessary for measuring the coolant parameters). With the large diameters of the pipeline, it is extremely difficult to provide such parameters of the magnetic field and the magnetic system. In addition, in the case of a very high flow rate in the pipeline, the method proposed by us will also have limitations. The dimensions of the magnetic system for recording the NMR signal cannot be infinitely increased (pipeline expansion in the NMR signal recording zone is limited). This disadvantage can be eliminated if there are no strict restrictions on the size and weight of the measuring device (such situations are extremely rare).
It should be noted that, according to various estimates of scientists and specialists in NPP operation [4,5,6,14], constant monitoring of the coolant parameters (qc, T1 and T2) with an error of less than 1.5% will increase the efficiency of electric power generation at the NPPs in operation by up to 1.5%, depending on the model. For example, the electric power of each power unit with a VVER-1200 type reactor at the Leningrad NPP (Russia) is 1198.8 MW (there are four such power units at the station). If we take 1%, then the electric capacity of the Leningrad NPP will increase by 47.95 MW. It is about 10% of the electric power generated at a modern thermal power plant, which emits too many harmful substances into the atmosphere. In addition to preserving fuel reserves on Earth for future generations, the ecological situation can be improved. The number of harmful emissions at NPPs will not increase with the commissioning of the developed NMR flowmeter-relaxometer.

Author Contributions

Conceptualization, R.D. and V.D. (Vadim Davydov); methodology, V.D. (Vadim Davydov); software, R.D.; validation, N.M., V.D. (Vadim Davydov), and R.D.; formal analysis, V.D. (Valentin Dudkin); investigation, R.D.; resources, N.M. and V.D. (Valentin Dudkin); data curation, N.M.; writing—original draft preparation, V.D. (Vadim Davydov); writing—review and editing, R.D.; visualization, R.D.; supervision, V.D. (Valentin Dudkin); project administration, V.D. (Vadim Davydov); funding acquisition, V.D. (Vadim Davydov). All authors have read and agreed to the published version of the manuscript.

Funding

The research is partially funded by the Ministry of Science and Higher Education of the Russian Federation under the strategic academic leadership program ‘Priority 2030’ (Agreement 075-15-2021-1333 dated 30.09.2021). The research is done with the financial support of RFFR within the framework of a scientific project N 20-32-90012.

Institutional Review Board Statement

Not applicable.

Informed Consent Statement

Not applicable.

Conflicts of Interest

The authors declare no conflict of interest.

References

  1. Agafonova, N.D.; Egorov, M.Y.; Sergeev, V.; Gotovskii, M.A.; Kruglikov, P.A.; Lebedev, M.E.; Sudakov, A.V.; Fedorovich, E.D.; Fokin, B.S. Heat-and-Mass Transfer Intensification in Saturated-Steam Generators in NPP with VVER as a Means for Increasing Efficiency and Reliability. Sov. At. Energy 2018, 123, 154–158. [Google Scholar] [CrossRef]
  2. Treshcheva, M.; Anikina, I.; Sergeev, V.; Skulkin, S.; Treshchev, D.; Anikina, I. Selection of Heat Pump Capacity Used at Thermal Power Plants under Electricity Market Operating Conditions. Energies 2021, 14, 226. [Google Scholar] [CrossRef]
  3. Chen, Y.; Zhang, Y.; Wang, J.; Lu, Z. Optimal Operation for Integrated Electricity–Heat System with Improved Heat Pump and Storage Model to Enhance Local Energy Utilization. Energies 2020, 13, 6729. [Google Scholar] [CrossRef]
  4. Alekseev, P.N.; Gagarinskii, A.Y.; Kalugin, M.A.; Kukharkin, N.E.; Semchenkov, Y.M.; Sidorenko, V.A.; Subbotin, S.A.; Teplov, P.S.; Fomichenko, P.A.; Asmolov, V.G. On a Strategy for the Development of Nuclear Power in Russia. Sov. At. Energy 2019, 126, 207–212. [Google Scholar] [CrossRef]
  5. Klinov, D.A.; Gulevich, A.V.; Kagramanyan, V.S.; Dekusar, V.M.; Usanov, V.I. Development of Sodium-Cooled Fast Reactors Under Modern Conditions: Challenges and Stimuli. Sov. At. Energy 2019, 125, 143–148. [Google Scholar] [CrossRef]
  6. Ashurko, Y.M.; Gulevich, A.V.; Klinov, D.A.; Vasil’Ev, B.A.; Vasyaev, A.V.; Marova, E.V.; Shepelev, S.F. Gen-IV Reactor Systems Criteria Implementation in BN-1200. At. Energy 2019, 125, 351–358. [Google Scholar] [CrossRef]
  7. Dong, Z.; Liu, M.; Jiang, D.; Huang, X.; Zhang, Y.; Zhang, Z. Automatic Generation Control of Nuclear Heating Reactor Power Plants. Energies 2018, 11, 2782. [Google Scholar] [CrossRef] [Green Version]
  8. Bobyl, A.; Malyshkin, V.; Dolzhenko, V.; Grabovets, A.; Chernoivanov, V. Scientific activity in the problems of technical and economic modeling of solar stations. An example of unstable climatic conditions. IOP Conf. Ser. Earth Environ. Sci. 2019, 390, 012047. [Google Scholar] [CrossRef]
  9. Sergeev, V.; Anikina, I.; Kalmykov, K. Using Heat Pumps to Improve the Efficiency of Combined-Cycle Gas Turbines. Energies 2021, 14, 2685. [Google Scholar] [CrossRef]
  10. Elistratov, V.; Diuldin, M.V.; Denisov, R.S. Justification of project and operation modes of hybrid energy complexes for arctic conditions. IOP Conf. Ser. Earth Environ. Sci. 2018, 180, 012006. [Google Scholar] [CrossRef]
  11. Temiz, M.; Dincer, I. Development of an HTR-Type nuclear and bifacial PV solar based integrated system to meet the needs of energy, food and fuel for sustainable indigenous cities. Sustain. Cities Soc. 2021, 74, 103198. [Google Scholar] [CrossRef]
  12. Lee, K.-H.; Kim, M.-G.; Lee, J.I.; Lee, P.-S. Recent Advances in Ocean Nuclear Power Plants. Energies 2015, 8, 11470–11492. [Google Scholar] [CrossRef] [Green Version]
  13. Wu, G.; Ju, P.; Song, X.; Xie, C.; Zhong, W. Interaction and Coordination among Nuclear Power Plants, Power Grids and Their Protection Systems. Energies 2016, 9, 306. [Google Scholar] [CrossRef] [Green Version]
  14. Gulevich, A.V.; Dekusar, V.M.; Chebeskov, A.N.; Kuchinov, V.P.; Voloshin, N.P. Possibility of Fast-Reactor Exportation Under an International Nuclear Non-Proliferation Regime. Sov. At. Energy 2020, 127, 192–195. [Google Scholar] [CrossRef]
  15. Semenikhin, A.V.; Saunin, Y.V.; Ryasnyi, S.I. Method of determining the reliability of real-time in-reactor monitoring of VVER. Sov. At. Energy 2018, 124, 8–13. [Google Scholar] [CrossRef]
  16. Abramov, L.V.; Baklanov, A.V.; Bakhmet’Ev, A.M.; Bylov, I.A.; Vasyuchenkov, A.A.; Gusev, D.O.; Kiselev, V.V. OKBM Afrikantov Experience in Developing Methods and Computer Codes for Reliability Analysis and Probabilistic Safety Analysis of Nuclear Installations. Sov. At. Energy 2020, 129, 98–102. [Google Scholar] [CrossRef]
  17. Filimonov, P.E.; Semchenkov, Y.M.; Malyshev, V.V.; Dolgopolov, N.Y.; Povarov, V.P.; Gusev, I.N. VVER-1200 tests in No. 6 unit of the Novovoronezh NPP during operation in a daily load schedule. Sov. At. Energy 2021, 129, 113–121. [Google Scholar] [CrossRef]
  18. Rowinski, M.K.; White, T.J.; Zhao, J. Small and Medium sized Reactors (SMR): A review of technology. Renew. Sustain. Energy Rev. 2015, 44, 643–656. [Google Scholar] [CrossRef]
  19. Temiz, M.; Dincer, I. Enhancement of a nuclear power plant with a renewable based multigenerational energy system. Int. J. Energy Res. 2021, 45, 12396–12412. [Google Scholar] [CrossRef]
  20. Dong, Z.; Li, B.; Li, J.; Guo, Z.; Huang, X.; Zhang, Y.; Zhang, Z. Flexible control of nuclear cogeneration plants for balancing intermittent renewables. Energy 2021, 221, 119906. [Google Scholar] [CrossRef]
  21. Franke, T.; Agostinetti, P.; Aiello, G.; Avramidis, K.; Bachmann, C.; Bruschi, A.; Federici, G.; Garavaglia, S.; Granucci, G.; Grossetti, G.; et al. Review of the Innovative H&CD Designs and the Impact of Their Configurations on the Performance of the EU DEMO Fusion Power Plant Reactor. IEEE Trans. Plasma Sci. 2018, 46, 1633–1640. [Google Scholar] [CrossRef] [Green Version]
  22. Looney, R.; Priede, J. Concept of a next-generation electromagnetic phase-shift flowmeter for liquid metals. Flow Meas. Instrum. 2018, 65, 128–135. [Google Scholar] [CrossRef] [Green Version]
  23. Velt, I.D. Method of liquid metal level measurement. Probl. At. Sci. Technol. Ser. Thermonucl. Fusion 2015, 38, 22–25. [Google Scholar] [CrossRef]
  24. Dayev, Z.; Latyshev, L. Application of the multichanneling principle for solution of the problems related to increase of substance flowmeter accuracy. Flow Meas. Instrum. 2017, 56, 18–22. [Google Scholar] [CrossRef]
  25. Patrone, P.N.; Cooksey, G.; Kearsley, A. Dynamic Measurement of Nanoflows: Analysis and Theory of an Optofluidic Flowmeter. Phys. Rev. Appl. 2019, 11, 034025. [Google Scholar] [CrossRef] [Green Version]
  26. Arkharov, I.A.; Kakorin, I.D. A Method for the Evaluation of the Flow Rate of Cryogenic Two-Phase Flows in Venturi Flowmeters Without Separation. Meas. Tech. 2020, 63, 549–558. [Google Scholar] [CrossRef]
  27. Gu, Y.-F.; Zhao, Y.; Lv, R.-Q.; Yang, Y. Theory and structure of a modified optical fiber turbine flowmeter. Flow Meas. Instrum. 2016, 50, 178–184. [Google Scholar] [CrossRef] [Green Version]
  28. Shaaban, S. Design and optimization of a novel flowmeter for liquid hydrogen. Int. J. Hydrogen Energy 2017, 42, 14621–14632. [Google Scholar] [CrossRef]
  29. Iii, W.C.K.; Mays, D.C. Information Content of Wastewater Flowmeter Data before and during a Surcharge. J. Environ. Eng. 2018, 144, 05018004. [Google Scholar] [CrossRef]
  30. Davydov, V.V.; Dudkin, V.I.; Velichko, E.N.; Karseev, A.Y. Fiber-optic system for simulating accidents in the cooling circuits of a nuclear power plant. J. Opt. Technol. (A Transl. Opt. Zhurnal) 2015, 82, 132–135. [Google Scholar] [CrossRef]
  31. Gol’Din, V.Y.; Pestryakova, G.A. Advantages of a fast reactor with an advanced active zone in comparison to the BREST-300 reactor project. Math. Model. Comput. Simul. 2014, 6, 239–247. [Google Scholar] [CrossRef]
  32. Ivanov, V.K.; Chekin, S.Y.; Menyajlo, A.N.; Maksioutov, M.; Tumanov, K.; Kashcheeva, P.; Lovachev, S.; Adamov, E.; Lopatkin, A. “Radiotoxicity” of some radionuclides of the spent nuclear fuel from WWER and BREST reactors in different storage time periods, evaluated with ICRP models. Radiat. Risk 2018, 27, 8–27. [Google Scholar] [CrossRef]
  33. Ivanov, V.K.; Adamov, E.O.; Spirin, E.V.; Solomatin, V.M.; Chekin, S.Y.; Menyajlo, A.N. Evaluation of optimal amount of americium that should be extracted from spent nuclear fuel of the BREST-OD-300 reactor for transmutation to ensure radiological equivalence of radioactive waste and natural uranium. Radiat. Risk 2020, 29, 5–17. [Google Scholar] [CrossRef]
  34. Ignatiev, V.V.; Kormilitsyn, M.V.; Kormilitsyna, L.A.; Semchenkov, Y.M.; Fedorov, Y.; Feinberg, O.S.; Kryukov, O.V.; Khaperskaya, A.V. Molten-Salt Reactor for Nuclear Fuel Cycle Closure on All Actinides. Sov. At. Energy 2019, 125, 279–283. [Google Scholar] [CrossRef]
  35. Velt, I.D.; Mikhailova, Y.V. Magnetic flowmeter of molten metals. Meas. Tech. 2013, 56, 283–288. [Google Scholar] [CrossRef]
  36. Im, S.H.; Kim, K.Y.; Park, G.S. A Study on the Effect of Excitation Coil System to Improve Measurement Accuracy of Electromagnetic Flowmeter on the Ship. Trans. Korean Inst. Electr. Eng. 2021, 70, 1460–1466. [Google Scholar] [CrossRef]
  37. Dasgupta, S. Flow distortion effect on electromagnetic flowmeter and mitigation using magnetic flux manipulation. Tech. Mess. 2021, 88, 508–518. [Google Scholar] [CrossRef]
  38. Yao, X.; Li, X. Numerical Study on Magnetic Field Characteristics of Electromagnetic Flowmeter with Small Excitation Module. In Proceedings of the 5th International Conference on Control Engineering and Artificial Intelligence, Sanya, China, 14–16 January 2021; Association for Computing Machinery (ACM): New York, NY, USA, 2021; pp. 86–89. [Google Scholar]
  39. Beck, K.J.; Barfuss, S.L.; Sharp, Z.B.; Moon, T.K. An alternative analysis method for evaluating electromagnetic flowmeter performance. AWWA Water Sci. 2021, 3, e1242. [Google Scholar] [CrossRef]
  40. Su, M.; Jiao, X.; Li, J.; Wu, S.; Wu, T. Accuracy and Reliability Analysis of Pipe Irrigation Metering Device for Sandy Water Source. Water 2021, 13, 947. [Google Scholar] [CrossRef]
  41. Baghdasaryan, D.; Albrecht, M.; Shahnazaryan, M.; Rosahl, S. Real-Time Ultrasound Doppler Enhances Precision in Image-Guided Approaches to the Cerebellopontine Angle. World Neurosurg. 2017, 107, 482–487. [Google Scholar] [CrossRef]
  42. Tetsuro, N.; Kiyoshi, N.; Shinich, Y. Fundamental study of the pulsed-NMR blood flowmeter. Jpn. J. Med. Electron. Biol. Eng. 1984, 22, 172–173. [Google Scholar]
  43. Harpen, M.D. Indicator dilution approach to NMR signal-flow curves. Phys. Med. Biol. 1985, 30, 687–693. [Google Scholar] [CrossRef] [PubMed]
  44. Strosin, R.G.; Battocletti, J.H.; Sances, A.; Knox, T.A. Evaluation of Reactive Hyperemia in the Human Limb by Doppler Ultrasound & Nuclear Magnetic Resonance. J. Clin. Eng. 1988, 13, 433–442. [Google Scholar] [CrossRef]
  45. Boccalon, H. Study of vasomotility in man using plethysmography and flowmetry. Arch. Mal. Coeur Vaiss. 1990, 83, 43–50. [Google Scholar]
  46. Tessier, J.J.; Packer, K.J. The characterization of multiphase fluid transport in a porous solid by pulsed gradient stimulated echo nuclear magnetic resonance. Phys. Fluids 1998, 10, 75–85. [Google Scholar] [CrossRef]
  47. Ong, J.; Oyeneyin, M.; Coutts, E.; MacLean, I. In Well Nuclear Magnetic Resonance (NMR) Multiphase Flowmeter in the Oil and Gas Industry. In Proceedings of the SPE Annual Technical Conference and Exhibition, Houston, TX, USA, 26–29 September 2004; Society of Petroleum Engineers (SPE): Abu Dhabi, United Arab Emirates, 2004. [Google Scholar]
  48. Caprihan, A.; Fukushima, E. Flow measurements by NMR. Phys. Rep. 1990, 198, 195–235. [Google Scholar] [CrossRef]
  49. Fukushima, E. Nuclear Magnetic Resonance as a Tool to Study Flow. Annu. Rev. Fluid Mech. 1999, 31, 95–123. [Google Scholar] [CrossRef]
  50. Suryan, G. Nuclear resonance in flowing liquids. Proc. Math. Sci. 1951, 33, 107. [Google Scholar] [CrossRef]
  51. Battocletti, J.H.; Halbach, R.E.; Salles-Cunha, S.X.; Sances, A., Jr. The NMR blood flowmeter-theory and history. Med. Phys. 1981, 8, 435–443. [Google Scholar] [CrossRef]
  52. Singer, J.R. Blood Flow Rates by Nuclear Magnetic Resonance Measurements. Science 1959, 130, 1652–1653. [Google Scholar] [CrossRef]
  53. Vander, H.W.R.; Genthe, W.K.; Battocletti, J.H.; McCormick, W.S.; Snowball, H.M. NMR applied to flow measurement. Instrum. Technol. 1968, 15, 53–58. [Google Scholar]
  54. Elkins, C.J.; Alley, M.T. Magnetic resonance velocimetry: Applications of magnetic resonance imaging in the measurement of fluid motion. Exp. Fluids 2007, 43, 823–858. [Google Scholar] [CrossRef]
  55. Ankuda, M.; Orobei, I.; Zharski, S. The adaptive temporal NMR flowmeter. In Proceedings of the 2016 Open Conference of Electrical, Electronic and Information Sciences (eStream), Vilnius, Lithuania, 19 April 2016; Institute of Electrical and Electronics Engineers (IEEE): New York, NY, USA, 2016; pp. 1–4. [Google Scholar]
  56. Rabba, A.S.; Madani, S.S.; Zeghlache, M.L. Deciphering Intrinsic Fluid in a Low Salinity Sandstone Reservoir to Optimize Reservoir Management Development Strategies. In Proceedings of the Abu Dhabi International Petroleum Exhibition & Conference, Abu Dhabi, United Arab Emirates, 7–10 November 2016; Society of Petroleum Engineers (SPE): Abu Dhabi, United Arab Emirates, 2016. [Google Scholar]
  57. Zargar, M.; Johns, M.L.; Aljindan, J.M.; Noui-Mehidi, M.N.; O’Neill, K.T. Nuclear Magnetic Resonance Multiphase Flowmeters: Current Status and Future Prospects. SPE Prod. Oper. 2021, 36, 423–436. [Google Scholar] [CrossRef]
  58. Aydin, E.; Makinwa, K.A. A Low-Field Portable Nuclear Magnetic Resonance (NMR) Microfluidic Flowmeter. In Proceedings of the 21th International Conference on Solid-State Sensors, Actuators and Microsystems, Transducers 2021, Virtual, 20–25 June 2021; Institute of Electrical and Electronics Engineers (IEEE): New York, NY, USA, 2021; pp. 1020–1023. [Google Scholar]
  59. Kartalović, N.M.; Djekic, S.; Nikezić, D.P.; Ramadani, U.R. Possibility of application nuclear magnetic resonance for measurement of fluid-flow. Nucl. Technol. Radiat. Prot. 2021, 36, 168–173. [Google Scholar] [CrossRef]
  60. Tayler, A.B.; Holland, D.J.; Sederman, A.J.; Gladden, L.F. Exploring the Origins of Turbulence in Multiphase Flow Using Compressed Sensing MRI. Phys. Rev. Lett. 2012, 108, 264505. [Google Scholar] [CrossRef]
  61. Fridjonsson, E.O.; Stanwix, P.L.; Johns, M.L. Earth’s field NMR flow meter: Preliminary quantitative measurements. J. Magn. Reson. 2014, 245, 110–115. [Google Scholar] [CrossRef]
  62. Deng, F.; Xiong, C.; Chen, S.; Chen, G.; Wang, M.; Liu, H.; Zhang, J.; Lei, Q.; Cao, G.; Xu, D.; et al. A method and device for online magnetic resonance multiphase flow detection. Pet. Explor. Dev. 2020, 47, 855–866. [Google Scholar] [CrossRef]
  63. Deng, F.; Xiao, L.; Wang, M.; Tao, Y.; Kong, L.; Zhang, X.; Liu, X.; Geng, D. Online NMR Flowing Fluid Measurements. Appl. Magn. Reson. 2016, 47, 1239–1253. [Google Scholar] [CrossRef]
  64. Deng, F.; Xiao, L.; Liu, H.; An, T.; Wang, M.; Zhang, Z.; Xu, W.; Cheng, J.; Xie, Q.; Anferov, V. Effects and Corrections for Mobile NMR Measurement. Appl. Magn. Reson. 2013, 44, 1053–1065. [Google Scholar] [CrossRef]
  65. Deng, F.; Xiao, L.; Liao, G.; Zong, F.; Chen, W. A New Approach of Two-Dimensional the NMR Relaxation Measurement in Flowing Fluid. Appl. Magn. Reson. 2014, 45, 179–192. [Google Scholar] [CrossRef]
  66. Deng, F.; Xiao, L.; Chen, W.; Liu, H.; Liao, G.; Wang, M.; Xie, Q. Rapid determination of fluid viscosity using low-field two-dimensional NMR. J. Magn. Reson. 2014, 247, 1–8. [Google Scholar] [CrossRef] [PubMed]
  67. Deng, F.; Chen, G.; Wang, M.; Xu, D.; Chen, S.; Zhang, X.; Xiong, C.; Zhang, J.; Lei, Q.; Shi, J.; et al. Magnetic Resonance Multi-Phase Flowmeter & Fluid Analyzer. In Proceedings of the SPE Asia Pacific Oil & Gas Conference and Exhibition 2020, Virtual, 17–19 November 2020; Society of Petroleum Engineers (SPE): Abu Dhabi, United Arab Emirates, 2020. [Google Scholar]
  68. O’Neill, K.T.; Brancato, L.; Stanwix, P.L.; Fridjonsson, E.O.; Johns, M.L. Two-phase oil/water flow measurement using an Earth’s field nuclear magnetic resonance flow meter. Chem. Eng. Sci. 2019, 202, 222–237. [Google Scholar] [CrossRef]
  69. Marusina, M.; Bazarov, B.A.; Galaidin, P.A.; Marusin, M.P.; Silaev, A.A.; Zakemovskaya, E.Y.; Mustafaev, Y.N. Design of a Gradient System for a Multiphase Flowmeter. Meas. Tech. 2014, 57, 580–586. [Google Scholar] [CrossRef]
  70. D’Yachenko, S.V.; Zhernovoi, A.I. The Langevin formula for describing the magnetization curve of a magnetic liquid. Tech. Phys. 2016, 61, 1835–1837. [Google Scholar] [CrossRef]
  71. Rakhmatullin, I.; Efimov, S.; Tyurin, V.; Gafurov, M.; Al-Muntaser, A.; Varfolomeev, M.; Klochkov, V. Qualitative and Quantitative Analysis of Heavy Crude Oil Samples and Their SARA Fractions with 13C Nuclear Magnetic Resonance. Processes 2020, 8, 995. [Google Scholar] [CrossRef]
  72. Gizatullin, B.; Gafurov, M.R.; Vakhin, A.V.; Rodionov, A.; Mamin, G.V.; Orlinskii, S.; Mattea, C.; Stapf, S. Native Vanadyl Complexes in Crude Oil as Polarizing Agents for In Situ Proton Dynamic Nuclear Polarization. Energy Fuels 2019, 33, 10923–10932. [Google Scholar] [CrossRef]
  73. Neronov, Y.; Seregin, N.N. Determination of the difference in shielding by protons in water and hydrogen and an estimate of the absolute shielding by protons in water. Meas. Tech. 2013, 55, 1287–1293. [Google Scholar] [CrossRef]
  74. Abragam, A.; Bouffard, V.; Roinel, Y. Concentration, relaxation, and phonon bottleneck of paramagnetic centers: A new experimental method of study. J. Magn. Reson. 1976, 22, 53–63. [Google Scholar] [CrossRef]
  75. Gizatullin, B.; Gafurov, M.; Rodionov, A.; Mamin, G.; Mattea, C.; Stapf, S.; Orlinskii, S. Proton–Radical Interaction in Crude Oil—A Combined NMR and EPR Study. Energy Fuels 2018, 32, 11261–11268. [Google Scholar] [CrossRef]
  76. Davydov, V.V. Some specific features of the NMR study of fluid flows. Opt. Spectrosc. 2016, 121, 18–24. [Google Scholar] [CrossRef]
  77. Davydov, V.V. Control of the longitudinal relaxation timeT 1 of a flowing liquid in NMR flowmeters. Sov. Phys. J. 1999, 42, 822–825. [Google Scholar] [CrossRef]
  78. Marusina, M.; Bazarov, B.A.; Galaidin, P.A.; Silaev, A.A.; Marusin, M.P.; Zakemovskaya, E.Y.; Gilev, A.G.; Alekseev, A.V. A Magnetic System Based on Permanent Magnets for a Flowmeter of Multiphase Fluid Media. Meas. Tech. 2014, 57, 461–465. [Google Scholar] [CrossRef]
  79. Zhernovoi, A. A direct method of determining the water content in water-oil emulsions. Chem. Technol. Fuels Oils 2006, 42, 142–143. [Google Scholar] [CrossRef]
  80. Leshe, A. Nuclear Induction; Veb Deustscher Verlag Der Wissenschaften: Berlin, Germany, 1963; 864p. [Google Scholar]
  81. Abragam, A. The Principles of Nuclear Magnetism; Oxford at the Clarendon Press: Oxford, UK, 1961; 646p. [Google Scholar]
  82. Giulotto, L.; Lanzi, G.; Tosca, L. Nuclear Relaxation and Molecular Association in Liquids. J. Chem. Phys. 1956, 24, 632–633. [Google Scholar] [CrossRef]
  83. Davydov, V.V.; Dudkin, V.I.; Karseev, A.Y. Formation of the nutation line in NMR measuring systems with flowing samples. Tech. Phys. Lett. 2015, 41, 355–358. [Google Scholar] [CrossRef]
  84. Davydov, V.V.; Dudkin, V.I.; Karseev, A.Y. A Compact Nuclear Magnetic Relaxometer for the Express Monitoring of the State of Liquid and Viscous Media. Meas. Tech. 2014, 57, 912–918. [Google Scholar] [CrossRef]
  85. Davydov, V.V.; Dudkin, V.I.; Karseev, A.Y. Feasibility of Using Nuclear Magnetic Spectroscopy for Rapid Monitoring of Liquid Media. J. Appl. Spectrosc. 2015, 82, 794–800. [Google Scholar] [CrossRef]
Figure 1. Changes in the longitudinal T1 and transverse T2 relaxation times versus temperature T. Graphs 1 and 2 correspond to the values of T1 and T2 for distilled water, and graphs 3 and 4 correspond to the values of T1 and T2 of an aqueous solution (H2O + H3BO3) with plutonium nitride filling.
Figure 1. Changes in the longitudinal T1 and transverse T2 relaxation times versus temperature T. Graphs 1 and 2 correspond to the values of T1 and T2 for distilled water, and graphs 3 and 4 correspond to the values of T1 and T2 of an aqueous solution (H2O + H3BO3) with plutonium nitride filling.
Energies 15 01748 g001
Figure 2. Extrapolation of the change in the values of the longitudinal T1 and transverse T2 relaxation times from the temperature T of an aqueous solution (H2O + H3CO3) with plutonium nitride filling. Graph 1 corresponds to the change in the value of T1, graph 2—T2.
Figure 2. Extrapolation of the change in the values of the longitudinal T1 and transverse T2 relaxation times from the temperature T of an aqueous solution (H2O + H3CO3) with plutonium nitride filling. Graph 1 corresponds to the change in the value of T1, graph 2—T2.
Energies 15 01748 g002
Figure 3. Structural diagram of the laboratory model of NMR label flowmeter and relaxometer: 1—polarizer magnet; 2—polarizer vessel; 3—nutation coil; 4—magnet of the constant field; 5—generators of nutation and modulation coils; 6—magnetic shield; 7—analyzer vessel; 8—coils for modulating the field of the analyzer magnet; 9—analyzer magnet; 10—coil for recording NMR signal; 11—circuit for recording an NMR signal; 12—processing and control diagram; 13—electronic keys; 14—radio frequency generator; and 15—indication circuit.
Figure 3. Structural diagram of the laboratory model of NMR label flowmeter and relaxometer: 1—polarizer magnet; 2—polarizer vessel; 3—nutation coil; 4—magnet of the constant field; 5—generators of nutation and modulation coils; 6—magnetic shield; 7—analyzer vessel; 8—coils for modulating the field of the analyzer magnet; 9—analyzer magnet; 10—coil for recording NMR signal; 11—circuit for recording an NMR signal; 12—processing and control diagram; 13—electronic keys; 14—radio frequency generator; and 15—indication circuit.
Energies 15 01748 g003
Figure 4. Time dependence of the change in the amplitude of the recorded NMR signal. The modulation frequency of the magnetic field is fm = 0.1 Hz.
Figure 4. Time dependence of the change in the amplitude of the recorded NMR signal. The modulation frequency of the magnetic field is fm = 0.1 Hz.
Energies 15 01748 g004
Figure 5. Dependence of the change in the amplitude U of the recorded NMR signal on time t. Graph 1—curve characterizing the process of attenuation of the peaks after passing through the resonance.
Figure 5. Dependence of the change in the amplitude U of the recorded NMR signal on time t. Graph 1—curve characterizing the process of attenuation of the peaks after passing through the resonance.
Energies 15 01748 g005
Figure 6. Dependence of the change in the amplitude U of the recorded NMR signal on time t with magnetization inversion at fn = 246103 Hz and H1 = 18.4 A/m.
Figure 6. Dependence of the change in the amplitude U of the recorded NMR signal on time t with magnetization inversion at fn = 246103 Hz and H1 = 18.4 A/m.
Energies 15 01748 g006
Figure 7. Dependence of the change of Ar on coolant consumption qc. The graphs 1, 2, and 3 corresponds to the value of T in K: 303.2, 333.5, and 344.6.
Figure 7. Dependence of the change of Ar on coolant consumption qc. The graphs 1, 2, and 3 corresponds to the value of T in K: 303.2, 333.5, and 344.6.
Energies 15 01748 g007
Table 1. Characteristics of nuclei used in nuclear magnetic spectroscopy.
Table 1. Characteristics of nuclei used in nuclear magnetic spectroscopy.
Nuclear IsotopeMagnetic Moment μSpin Nucleus IGyromagnetic Ratio γ MHz/TSensitivity (Relative Intensity of the NMR Signal to the Isotope of the 13C Nucleus)Natural Content %
1H2.79281/242.576375135.87 × 10399.989
2H0.857416.5600855.52 × 10−30.0155
7Li3.25643/216.5613221.59 × 10392.41
11B2.68863/213.6758347.77 × 10280.11
13C0.70241/210.7079451.01.07
15N−0.285114.3332472.25 × 10−30.368
19F2.62661/240.1062144.89 × 103100.0
23Na2.21763/211.2772145.45 × 102100.0
29Si−0.55521/28.4968372.164.68
31P1.13161/217.2539873.91 × 103100.0
33S0.64383/23.2838461.01 × 10−10.76
35Cl0.82183/24.1920087.6975.78
37Cl0.68413/23.4894028.8724.22
55Mn3.46775/210.5672341.05 × 101100
65Cu2.38453/212.1347658.7631.1
75As1.43943/27.3420511.49 × 102100.0
77Se0.53501/28.1874783.157.61
81Br2.26963/211.5326176.2749.4
115In5.50069/29.3314532.18 × 1034.5
119Sn−1.04731/216.0250422.668.59
195Pt0.60951/29.3266232.07 × 10133.83
199Hg0.50581/27.7408549.8913.18
210Pb0.58221/28.9084611.18 × 10122.11
209Bi4.07969/26.6574451.07 × 101100
Table 2. Results of measuring the consumption qc of an aqueous solution (H2O + H3BO3) with plutonium nitride filling at a temperature of T = 333.5 K in the pipeline of the experimental stand by various devices.
Table 2. Results of measuring the consumption qc of an aqueous solution (H2O + H3BO3) with plutonium nitride filling at a temperature of T = 333.5 K in the pipeline of the experimental stand by various devices.
Measurement NumberThe Developed DeviceElectromagnetic Flowmeter WATERFLUX 3050
10.0212 ± 0.0002 m3/s0.0211 ± 0.0002 m3/s
20.0244 ± 0.0002 m3/s0.0243 ± 0.0002 m3/s
30.0285 ± 0.0002 m3/s0.0286 ± 0.0002 m3/s
40.0326 ± 0.0003 m3/s0.0327 ± 0.0003 m3/s
50.0402 ± 0.0004 m3/s0.0401 ± 0.0004 m3/s
60.0476 ± 0.0005 m3/s0.0477 ± 0.0005 m3/s
70.0508 ± 0.0005 m3/s0.0510 ± 0.0005 m3/s
80.0563 ± 0.0005 m3/s0.0565 ± 0.0005 m3/s
90.0577 ± 0.0006 m3/s0.0579 ± 0.0006 m3/s
100.0601 ± 0.0006 m3/s0.0603 ± 0.0006 m3/s
110.0626 ± 0.0006 m3/s0.0629 ± 0.0006 m3/s
Table 3. Results of measuring the relaxation times T1 and T2 of an aqueous solution (H2O + H3BO3) with plutonium nitride filling at different temperatures T with two devices.
Table 3. Results of measuring the relaxation times T1 and T2 of an aqueous solution (H2O + H3BO3) with plutonium nitride filling at different temperatures T with two devices.
T, KThe Developed DeviceIndustrial NMR Relaxometer Minispec mq 20 M
T1, sT2, sT1, sT2, s
288.11.0291 ± 0.00910.6551 ± 0.00621.0284 ± 0.00310.6536 ± 0.0018
293.21.0643 ± 0.00920.6614 ± 0.00631.0627 ± 0.00320.6585 ± 0.0018
303.21.1396 ± 0.01050.6755 ± 0.00641.1402 ± 0.00340.6731 ± 0.0019
317.61.2135 ± 0.01150.6846 ± 0.00661.2118 ± 0.00360.6824 ± 0.0020
323.21.2527 ± 0.01170.6946 ± 0.00671.2514 ± 0.00370.6951 ± 0.0021
333.51.3438 ± 0.01220.7164 ± 0.00691.3443 ± 0.00400.7143 ± 0.0021
338.61.3873 ± 0.01250.7308 ± 0.00711.3869 ± 0.00410.7284 ± 0.0022
343.41.4451 ± 0.01340.7465 ± 0.00731.4443 ± 0.00430.7474 ± 0.0022
348.21.6218 ± 0.01470.7669 ± 0.00751.6225 ± 0.00480.7646 ± 0.0023
Publisher’s Note: MDPI stays neutral with regard to jurisdictional claims in published maps and institutional affiliations.

Share and Cite

MDPI and ACS Style

Davydov, R.; Davydov, V.; Myazin, N.; Dudkin, V. The Multifunctional Nuclear Magnetic Flowmeter for Control to the Consumption and Condition of Coolant in Nuclear Reactors. Energies 2022, 15, 1748. https://doi.org/10.3390/en15051748

AMA Style

Davydov R, Davydov V, Myazin N, Dudkin V. The Multifunctional Nuclear Magnetic Flowmeter for Control to the Consumption and Condition of Coolant in Nuclear Reactors. Energies. 2022; 15(5):1748. https://doi.org/10.3390/en15051748

Chicago/Turabian Style

Davydov, Roman, Vadim Davydov, Nikita Myazin, and Valentin Dudkin. 2022. "The Multifunctional Nuclear Magnetic Flowmeter for Control to the Consumption and Condition of Coolant in Nuclear Reactors" Energies 15, no. 5: 1748. https://doi.org/10.3390/en15051748

APA Style

Davydov, R., Davydov, V., Myazin, N., & Dudkin, V. (2022). The Multifunctional Nuclear Magnetic Flowmeter for Control to the Consumption and Condition of Coolant in Nuclear Reactors. Energies, 15(5), 1748. https://doi.org/10.3390/en15051748

Note that from the first issue of 2016, this journal uses article numbers instead of page numbers. See further details here.

Article Metrics

Back to TopTop