Effects of Air Supply Terminal Devices on the Performance of Variable Refrigerant Flow Integrated Stratum Ventilation System: An Experimental Study
Abstract
:1. Introduction
2. VRF-SV Hybrid System—A Brief Overview
3. Methodology
3.1. Selection of ASTDs
3.2. Experimentations
Measurement Methods and Equipment
3.3. Evaluation Criteria
- Temperature field distribution
- Velocity distribution
- Airflow throw
- Effective draft temperature (EDT) and air distribution performance index (ADPI)
- Airflow pattern
- Thermal sensation and comfort feedback
- = Effective draft temperature, K
- = Local air DB temperature, °C
- = Mean DB temperature of the room, °C
- = Local air stream speed, m/s
- = Effective draft temperature, K,
- = Points measured in the occupied space that falls within −1.2 K < < 1.2 K, and
- = Total points measured in the occupied space.
3.4. Bias Uncertainty Analysis
4. Results and Discussion
4.1. Effect of the Plenum Collar Orientation on Jet Outflow
4.2. Effect of ASTDs on Air Distribution Performance
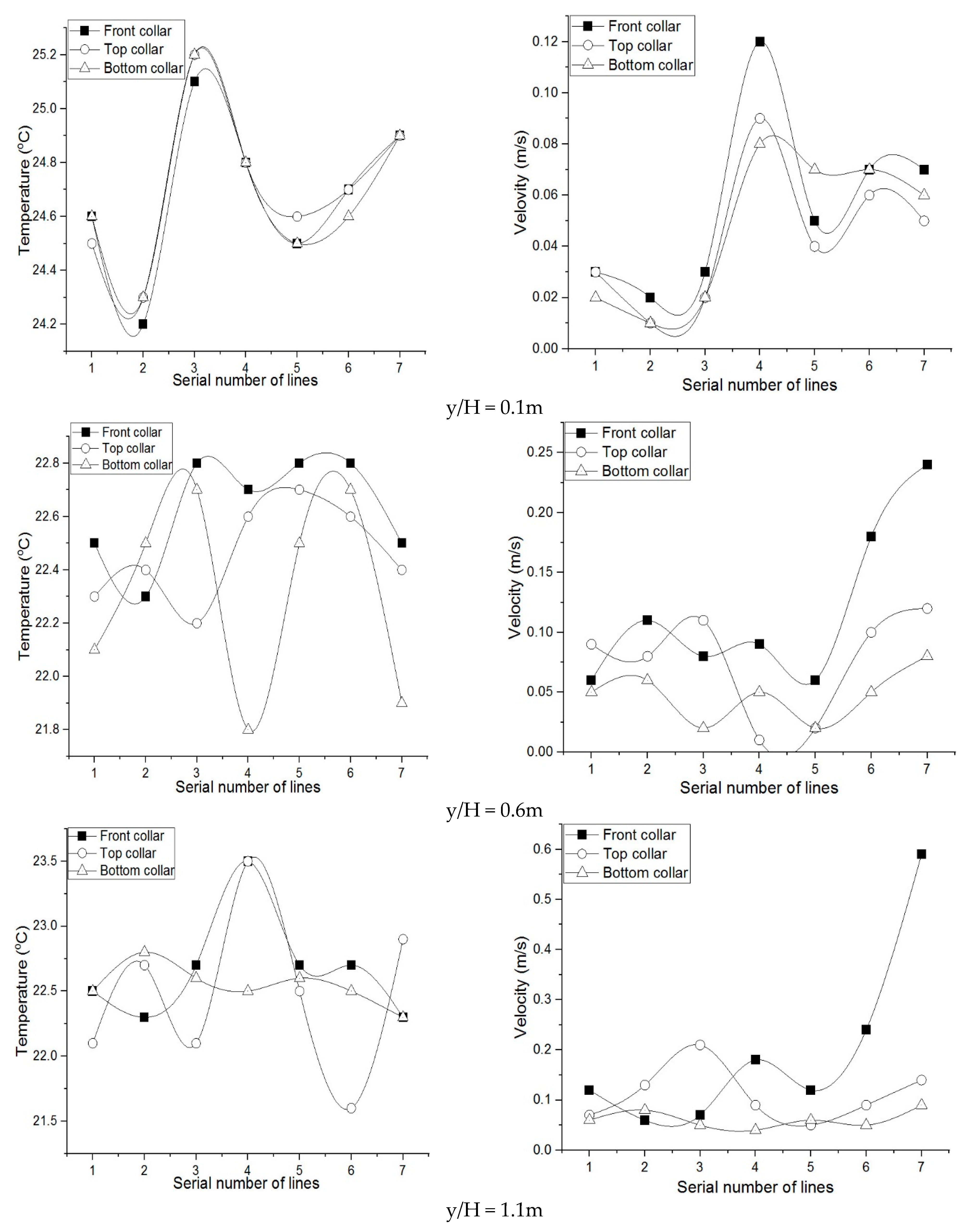
4.2.1. Effect on Temperature Field Distribution
4.2.2. Effect on Velocity Distribution
4.2.3. Effect on Airflow Throw
4.2.4. Effect on EDT and ADPI
4.2.5. Effect on Airflow Pattern (Smoke Test)
4.2.6. Effect on Thermal Comfort (Subjective Test)
5. Conclusions
- Uniform temperature distribution at all locations was created with bar grille diffuser, while the temperature value fluctuated at about 22.5 °C.
- Influential or distinct performance in terms of velocity distribution was not observed with any of the studied diffuser types.
- The ADPI for the bar grille was calculated as 92.8%. The ADPI values for all other ASTD types fell below the minimum required range.
- The thermal sensation and comfort survey suggested that the bar grille provided a better thermal environment than all other diffuser types. For the bar grille case, 70% of the subjects graded the thermal sensation as slightly cool, whereas 60% rated the thermal comfort as comfortable.
- The airflow visualization using smoke tests showed a longer airflow throw in the case with double deflection grille, while the flow in the perforated diffuser case was shorter and highly diffusive. The jet entrainment with the bar grille case was uniform and moderate.
Author Contributions
Funding
Institutional Review Board Statement
Informed Consent Statement
Data Availability Statement
Acknowledgments
Conflicts of Interest
Nomenclature
| Symbols & Units | Abbreviations | ||
| °C | Degree Celsius | ACMV | Air conditioning and mechanical ventilation |
| K | Kelvin | ADPI | Air diffusion performance index |
| W | Weight | ASTDs | Air supply terminal devices |
| H | Height | ASTD | Air supply terminal device |
| L | Length (m) | BMI | Body mass index |
| m | Meter | BSA | Body surface area |
| m/s | Meter per second | DOAS | Dedicated outdoor air system |
| m3/s | Cubic meter per second | DV | Displacement ventilation |
| s | Second | EDT | Effective draft temperature |
| T | Temperature | IAQ | Indoor air quality |
| W | Watt | MV | Mixing ventilation |
| N | Points measured in occupied space | OA | Outdoor air |
| kg/m2 | Kilogram per square meter | SV | Stratum ventilation |
| Measured value | TC | Thermal comfort | |
| x, y, z | Cartesian coordinates (m) | TCV | Thermal comfort vote |
| Average measured value | TSV | Thermal sensation vote | |
| W/m2·K | Watt per square meter per kelvin | VAV | Variable air volume |
| Temperature difference | VRF | Variable refrigerant flow | |
| Subscripts | |||
| c | At room level | min | Minimum |
| max | Maximum | x | At any local point |
Appendix A. Questionnaire for Filed Survey

Appendix B
| Velocity (m/s) | Bias Uncertainty (%) | Temperature (°C) | Bias Uncertainty (%) | ||||||||||||||
|---|---|---|---|---|---|---|---|---|---|---|---|---|---|---|---|---|---|
| Min. | Max. | Avg. | Min. | Max. | Avg. | ||||||||||||
| 0.6 | 1.1 | 0.6 | 1.1 | 0.6 | 1.1 | 0.6 | 1.1 | 0.6 | 1.1 | 0.6 | 1.1 | 0.6 | 1.1 | 0.6 | 1.1 | ||
| Bar Grille | 1 | 0.00 | 0.07 | 0.11 | 0.21 | 0.06 | 0.12 | 91.67 | 58.33 | 22.4 | 22.5 | 22.6 | 22.5 | 22.5 | 22.5 | 0.44 | 0 |
| 2 | 0.04 | 0.06 | 0.22 | 0.19 | 0.11 | 0.06 | 81.81 | 108.33 | 22.2 | 22.3 | 22.4 | 22.3 | 22.3 | 22.3 | 0.44 | 0 | |
| 3 | 0.02 | 0.00 | 0.08 | 0.07 | 0.08 | 0.07 | 37.5 | 50 | 22.7 | 22.7 | 22.8 | 22.7 | 22.8 | 22.7 | 0.22 | 0 | |
| 4 | 0.02 | 0.09 | 0.09 | 0.26 | 0.09 | 0.18 | 38.89 | 47.22 | 22.6 | 23.1 | 22.7 | 23.5 | 22.7 | 23.5 | 0.22 | 0.85 | |
| 5 | 0.06 | 0.12 | 0.18 | 0.24 | 0.06 | 0.12 | 100 | 50 | 22.7 | 22.6 | 22.8 | 22.7 | 22.8 | 22.7 | 0.43 | 0.22 | |
| 6 | 0.09 | 0.03 | 0.18 | 0.45 | 0.18 | 0.24 | 25 | 87.5 | 22.7 | 22.7 | 22.9 | 22.7 | 22.8 | 22.7 | 0.43 | 0 | |
| 7 | 0.24 | 0.49 | 0.31 | 0.59 | 0.24 | 0.59 | 14.58 | 8.47 | 22.4 | 22.0 | 22.6 | 22.5 | 22.5 | 22.3 | 0.44 | 1.12 | |
| Double deflection Grille | 1 | 0.02 | 0.00 | 0.14 | 0.21 | 0.14 | 0.11 | 42.85 | 95.45 | 22.9 | 23.3 | 23.2 | 23.4 | 22.9 | 23.3 | 0.65 | 0.21 |
| 2 | 0.11 | 0.00 | 0.18 | 0.06 | 0.15 | 0.06 | 23.33 | 50 | 21.3 | 22.1 | 24.8 | 22.5 | 23.3 | 22.1 | 7.51 | 0.90 | |
| 3 | 0.06 | 0.01 | 0.12 | 0.19 | 0.08 | 0.16 | 37.5 | 56.25 | 22.9 | 22.8 | 23.0 | 22.8 | 22.9 | 22.8 | 0.21 | 0 | |
| 4 | 0.01 | 0.05 | 0.05 | 0.18 | 0.05 | 0.17 | 40 | 38.23 | 21.1 | 21.5 | 21.3 | 21.8 | 21.1 | 21.5 | 0.47 | 0.69 | |
| 5 | 0.10 | 0.02 | 0.18 | 0.07 | 0.1 | 0.07 | 40 | 35.71 | 22.0 | 22.5 | 22.6 | 22.6 | 22.3 | 22.5 | 1.34 | 0.22 | |
| 6 | 0.10 | 0.16 | 0.21 | 0.26 | 0.21 | 0.26 | 26.19 | 9.61 | 22.0 | 21.4 | 22.3 | 21.8 | 22.2 | 21.4 | 0.67 | 0.93 | |
| 7 | 0.02 | 0.15 | 0.21 | 0.30 | 0.18 | 0.28 | 52.78 | 26.78 | 21.8 | 21.9 | 21.9 | 21.9 | 21.8 | 21.9 | 0.22 | 0 | |
| Perforated Diffuser | 1 | 0.04 | 0.00 | 0.09 | 0.01 | 0.05 | 0.01 | 50 | 50 | 19.9 | 21.0 | 23.1 | 21.6 | 21.5 | 21.3 | 7.44 | 1.41 |
| 2 | 0.13 | 0.08 | 0.16 | 0.13 | 0.13 | 0.08 | 11.53 | 31.25 | 22.7 | 22.7 | 22.8 | 22.8 | 22.7 | 22.8 | 0.22 | 0.22 | |
| 3 | 0.01 | 0.01 | 0.12 | 0.12 | 0.05 | 0.05 | 110 | 110 | 22.6 | 22.6 | 22.8 | 22.8 | 22.8 | 22.6 | 0.43 | 0.44 | |
| 4 | 0.01 | 0.00 | 0.09 | 0.03 | 0.04 | 0.01 | 100 | 150 | 22.3 | 22.5 | 22.5 | 22.9 | 22.4 | 22.7 | 0.44 | 0.88 | |
| 5 | 0.07 | 0.06 | 0.15 | 0.12 | 0.07 | 0.09 | 57.14 | 33.33 | 22.9 | 22.9 | 23.0 | 23.0 | 23.0 | 22.9 | 0.21 | 0.21 | |
| 6 | 0.06 | 0.01 | 0.08 | 0.03 | 0.08 | 0.02 | 12.5 | 50 | 23.2 | 23.2 | 23.2 | 23.3 | 23.2 | 23.3 | 0 | 0.21 | |
| 7 | 0.00 | 0.00 | 0.05 | 0.02 | 0.05 | 0.02 | 50 | 50 | 23.0 | 23.1 | 23.1 | 23.2 | 23.0 | 23.1 | 0.21 | 0.21 | |
| Drum louver Diffuser | 1 | 0.00 | 0.03 | 0.06 | 0.10 | 0.02 | 0.06 | 150 | 58.33 | 23.2 | 22.8 | 23.6 | 23.0 | 23.4 | 23.0 | 0.85 | 0.43 |
| 2 | 0.11 | 0.04 | 0.20 | 0.15 | 0.11 | 0.09 | 40.90 | 61.11 | 21.6 | 21.9 | 21.9 | 22.1 | 21.8 | 21.9 | 0.68 | 0.45 | |
| 3 | 0.08 | 0.21 | 0.13 | 0.30 | 0.08 | 0.26 | 31.25 | 17.31 | 22.2 | 21.9 | 22.5 | 22.5 | 22.5 | 22.2 | 0.66 | 1.35 | |
| 4 | 0.00 | 0.00 | 0.12 | 0.03 | 0.04 | 0.02 | 150 | 75 | 22.1 | 22.2 | 22.3 | 22.6 | 22.2 | 22.4 | 0.45 | 0.89 | |
| 5 | 0.09 | 0.09 | 0.18 | 0.18 | 0.18 | 0.09 | 25 | 50 | 22.3 | 22.3 | 22.3 | 22.3 | 22.3 | 22.3 | 0 | 0 | |
| 6 | 0.18 | 0.68 | 0.29 | 0.82 | 0.27 | 0.68 | 20.37 | 10.29 | 21.8 | 21.2 | 21.9 | 21.8 | 21.9 | 21.5 | 0.22 | 1.39 | |
| 7 | 0.04 | 0.14 | 0.15 | 0.25 | 0.13 | 0.14 | 42.30 | 39.28 | 21.4 | 21.4 | 21.7 | 21.8 | 21.6 | 21.7 | 0.69 | 0.92 | |
| Jet slot diffuser | 1 | 0.05 | 0.03 | 0.13 | 0.13 | 0.1 | 0.09 | 40 | 55.55 | 24.4 | 24.1 | 24.5 | 24.7 | 24.4 | 24.4 | 0.20 | 1.23 |
| 2 | 0.14 | 0.08 | 0.22 | 0.15 | 0.17 | 0.12 | 23.52 | 29.16 | 23.3 | 23.3 | 23.4 | 23.3 | 23.3 | 23.3 | 0.21 | 0 | |
| 3 | 0.05 | 0.07 | 0.17 | 0.16 | 0.13 | 0.11 | 46.15 | 40.91 | 23.1 | 23.0 | 23.2 | 23.0 | 23.1 | 23.0 | 0.21 | 0 | |
| 4 | 0.02 | 0.00 | 0.12 | 0.05 | 0.06 | 0.05 | 83.33 | 50 | 23.4 | 23.6 | 23.4 | 23.6 | 23.4 | 23.6 | 0 | 0 | |
| 5 | 0.01 | 0.00 | 0.03 | 0.04 | 0.02 | 0.02 | 50 | 100 | 23.0 | 23.6 | 23.2 | 23.7 | 23.1 | 23.7 | 0.43 | 0.21 | |
| 6 | 0.02 | 0.00 | 0.02 | 0.02 | 0.02 | 0.01 | 0 | 100 | 22.7 | 23.5 | 23.1 | 23.8 | 22.9 | 23.6 | 0.87 | 0.63 | |
| 7 | 0.01 | 0.00 | 0.01 | 0.03 | 0.01 | 0.01 | 0 | 150 | 22.5 | 22.9 | 22.9 | 23.5 | 22.7 | 23.2 | 0.88 | 1.29 | |
References
- Baglivo, C. Dynamic Evaluation of the Effects of Climate Change on the Energy Renovation of a School in a Mediterranean Climate. Sustainability 2021, 13, 6375. [Google Scholar] [CrossRef]
- Ejaz, A.; Jamil, F.; Ali, H.M. A novel thermal regulation of photovoltaic panels through phase change materials with metallic foam-based system and a concise comparison: An experimental study. Sustain. Energy Technol. Assess. 2022, 49, 101726. [Google Scholar] [CrossRef]
- Chen, H. Experimental and numerical investigations of a ventilation strategy–impinging jet ventilation for an office environment. Ph.D. Thesis, Linköping University, The Institute of Technology, Linköping, Switzerland, 2014. Linköping Studies in Science and Technology Dissertation No. 1606. [Google Scholar]
- Department of Energy, US. An assessment of energy technologies and research oppertunities. In Quadrennial Technology Review; United States Department of Energy: Washington, DC, USA, 2015. [Google Scholar]
- Saab, R.; Al Quabeh, H.; Hassan Ali, M.I. Variable refrigerant flow cooling assessment in humid environment using different refrigerants. J. Environ. Manag. 2018, 224, 243–251. [Google Scholar] [CrossRef]
- Amoatey, P.; Omidvarborna, H.; Baawain, M.S.; Al-Mamun, A. Impact of building ventilation systems and habitual indoor incense burning on SARS-CoV-2 virus transmissions in Middle Eastern countries. Sci. Total Environ. 2020, 733, 139356. [Google Scholar] [CrossRef]
- Aynur, T.N.; Hwang, Y.; Radermacher, R. Integration of variable refrigerant flow and heat pump desiccant systems for the cooling season. Appl. Therm. Eng. 2010, 30, 917–927. [Google Scholar] [CrossRef]
- Laughman, C.R.; Bortoff, S.A.; Qiao, H. Integrated Control of Multi-Zone Buildings with Ventilation and VRF Systems in Cooling Mode; Mitsubishi Electric Research Laboratories: Cambridge, MA, USA, 2018. [Google Scholar]
- Wan, H.; Cao, T.; Hwang, Y.; Oh, S. A review of recent advancements of variable refrigerant flow air-conditioning systems. Appl. Therm. Eng. 2020, 169, 114893. [Google Scholar] [CrossRef]
- Lin, Z.; Chow, T.T.; Tsang, C.F.; Fong, K.F.; Chan, L.S. Stratum ventilation–A potential solution to elevated indoor temperatures. Build. Environ. 2009, 44, 2256–2269. [Google Scholar] [CrossRef]
- Lin, Z. Stratum Ventilation–A Solution to Meet Challenges to Contemporary Air Distribution. Fed. Eur. Heat. Vent. Air Cond. Assoc. 2014, 51, 40–43. [Google Scholar]
- Liu, Z.; Liu, Z.; Zuo, Z. Effect of Stratum Ventilation on Thermal Comfort and Energy Utilization Efficiency of Numerical Simulation. Energy Procedia 2017, 105, 3596–3602. [Google Scholar] [CrossRef]
- Rajput, U.A.; Mujtaba, M.A.; Yau, Y.H. Stratum Ventilation: A Viable Air Distribution for Nightingale Wards to Reduce the Risk of Airborne Transmission. In Proceedings of the International Conference on Energy, Water and Environment–ICEWE-2021, Lahore, Pakistan, 31 March 2021. [Google Scholar]
- Tian, L.; Lin, Z.; Wang, Q. Experimental investigation of thermal and ventilation performances of stratum ventilation. Build. Environ. 2011, 46, 1309–1320. [Google Scholar] [CrossRef]
- Nada, S.A.; El-Batsh, H.M.; Elattar, H.F.; Ali, N.M. CFD investigation of airflow pattern, temperature distribution and thermal comfort of UFAD system for theater buildings applications. J. Build. Eng. 2016, 6, 274–300. [Google Scholar] [CrossRef]
- Yau, Y.H.; Poh, K.S.; Badarudin, A. A numerical airflow pattern study of a floor swirl diffuser for UFAD system. Energy Build. 2018, 158, 525–535. [Google Scholar] [CrossRef]
- Lin, Z.; Chow, T.T.; Tsang, C.F.; Fong, K.F.; Chan, L.S. CFD study on effect of the air supply location on the performance of the displacement ventilation system. Build. Environ. 2005, 40, 1051–1067. [Google Scholar] [CrossRef]
- Sui, X.; Zhang, X. Effects of radiant terminal and air supply terminal devices on energy consumption of cooling load sharing rate in residential buildings. Energy Build. 2012, 49, 499–508. [Google Scholar] [CrossRef]
- Said, Z.; Ghodbane, M.; Tiwari, A.K.; Ali, H.M.; Boumeddane, B.; Ali, Z.M. 4E (Energy, Exergy, Economic, and Environment) examination of a small LFR solar water heater: An experimental and numerical study. Case Stud. Therm. Eng. 2021, 27, 101277. [Google Scholar] [CrossRef]
- Szczepanik-Scislo, N.; Schnotale, J. An Air Terminal Device with a Changing Geometry to Improve Indoor Air Quality for VAV Ventilation Systems. Energies 2020, 13, 4947. [Google Scholar] [CrossRef]
- Nielsen, P.V. Velocity distribution in a room ventilated by displacement ventilation and wall-mounted air terminal devices. Energy Build. 2000, 31, 179–187. [Google Scholar] [CrossRef]
- Kalmár, F. Innovative method and equipment for personalized ventilation. Indoor Air 2015, 25, 297–306. [Google Scholar] [CrossRef] [PubMed]
- Hu, S.C. Airflow characteristics in the outlet region of a vortex room air diffuser. Build. Environ. 2003, 38, 553–561. [Google Scholar] [CrossRef]
- Zhivov, A.; Skistad, H.; Mundt, E.; Posokhin, V.; Ratcliff, M.; Shilkrot, E.; Strongin, A.; Li, X.; Zhang, T.; Zhao, F.; et al. Chapter 7-Principles of Air and Contaminant Movement Inside and Around Buildings. In Industrial Ventilation Design Guidebook, 2nd ed.; Goodfellow, H.D., Kosonen, R., Eds.; Academic Press: Cambridge, MA, USA, 2020; pp. 245–370. [Google Scholar]
- Nastase, I.; Meslem, A.; Vlad, I.; Colda, I. Lobed grilles for high mixing ventilation–An experimental analysis in a full scale model room. Build. Environ. 2011, 46, 547–555. [Google Scholar] [CrossRef]
- Sajadi, B.; Saidi, M.H.; Mohebbian, A. Numerical investigation of the swirling air diffuser: Parametric study and optimization. Energy Build. 2011, 43, 1329–1333. [Google Scholar] [CrossRef]
- Sun, Y.; Smith, T.F. Air flow characteristics of a room with square cone diffusers. Build. Environ. 2005, 40, 589–600. [Google Scholar] [CrossRef]
- Villafruela, J.M.; Sierra-Pallares, J.B.; Castro, F.; Alvaro, A.; Santiago-Casado, P. Experimental and numerical study of the influence of the plenum box on the airflow pattern generated by a swirl air diffuser. Exp. Therm. Fluid Sci. 2018, 99, 547–557. [Google Scholar] [CrossRef] [Green Version]
- Smoljan, D.; Balen, I. Influence of a Plenum Box Design on Uniformity of the Radial Air Jet Issuing from a Vortex Diffuser. Strojarstvo 2010, 52, 379–386. [Google Scholar]
- Yao, T.; Lin, Z. An experimental and numerical study on the effect of air terminal types on the performance of stratum ventilation. Build. Environ. 2014, 82, 431–441. [Google Scholar] [CrossRef]
- Zhao, H.; Liu, Z.; Zuo, Z. Numerical Simulation of Indoor Thermal Environment Effected by Air Supply Temperature and Grille Angle on Stratum Ventilation in a Typical Office. Procedia Eng. 2015, 121, 779–784. [Google Scholar] [CrossRef] [Green Version]
- Cheng, Y.; Lin, Z.; Wu, W.; Yao, T. Performance Evaluation of Stratum Ventilation with Slot Diffuser Using CFD. In 13th International Conference on Indoor Air Quality and Climate; International Society of Indoor Air Quality and Climate: Herndon, VA, USA, 2014. [Google Scholar]
- Yao, T.; Lin, Z. Numerical Study of The Effect of Air Terminal Layouts on The Performance of Stratum Ventilation System. In International High Performance Buildings Conference; Purdue University, Purdue e-Pubs: West Lafayette, IN, USA, 2014. [Google Scholar]
- ANSI/ASHRAE-62.1; Ventilation for Acceptable Indoor Air Quality. ASHRAE: Peachtree Corners, GA, USA, 2019.
- Paul Solberg, J.M.; Guckelberger, D.; Sturm, E. Applying Variable Refrigerant Flow. Trane Engineers Newsletter Series, 2014. Available online: https://www.trane.com/content/dam/Trane/Commercial/global/products-systems/education-training/continuing-education-gbci-aia-pdh/Variable-Refrigerant-Flow-VRF/APP-CMC051_VRF_Handouts.pdf (accessed on 20 July 2021).
- Zheng, C.; You, S.; Zhang, H.; Zheng, W.; Zheng, X.; Ye, T.; Liu, Z. Comparison of air-conditioning systems with bottom-supply and side-supply modes in a typical office room. Appl. Energy 2018, 227, 304–311. [Google Scholar] [CrossRef]
- Lin, Z.; Yao, T.; Chow, T.T.; Fong, K.F.; Chan, L.S. Performance evaluation and design guidelines for stratum ventilation. Build. Environ. 2011, 46, 2267–2279. [Google Scholar] [CrossRef]
- Lin, Z. Effective draft temperature for evaluating the performance of stratum ventilation. Build. Environ. 2011, 46, 1843–1850. [Google Scholar] [CrossRef]
- Liu, S.; Novoselac, A. Air Diffusion Performance Index (ADPI) of diffusers for heating mode. Build. Environ. 2015, 87, 215–223. [Google Scholar] [CrossRef]
- Yau, Y.H.; Poh, K.S.; Badarudin, A. An investigation of thermal environment of an existing UFAD system in a high-rise office building in the tropics. J. Environ. Health Sci. Eng. 2018, 16, 313–322. [Google Scholar] [CrossRef] [PubMed]
- Hashemian, H.M.; Hashemian, M.; Riggsbee, E.T. New Sensor for Measurement of Low Air Flow Velocity, in Analysis and Measurement Services Corporation; Division of Regulatory Applications: Knoxville, TN, USA, 1995. [Google Scholar]
- Halibart, J.; Zwolinska, K.; Borowski, M.; Jaszczur, M. Analysis of the Velocity Distribution in the Plenum Box with Various Entries. Energies 2021, 14, 3630. [Google Scholar] [CrossRef]
- ASHRAE. ASHRAE Handbook-Fundamentals; ASHRAE: Peachtree Corners, GA, USA, 2017. [Google Scholar]















| Case | Diffuser Type | Diffuser Size (mm) | Airflow Rate | Supply Temperature (°C) | Room Temperature (°C) |
|---|---|---|---|---|---|
| 1 | Bar grille diffuser | 500 × 300 | 0.25 m3/s | 18.7 ± 0.3 | 26.0 ± 0.1 |
| 2 | Perforated diffuser | 500 × 300 | 0.25 m3/s | 18.5 ± 0.2 | 26.0 ± 0.2 |
| 3 | Double deflection grille | 500 × 300 | 0.25 m3/s | 18.5 ± 0.1 | 26.0 ± 0.1 |
| 4 | Drum louver diffuser | 500 × 300 | 0.25 m3/s | 18.8 ± 0.3 | 26.0 ± 0.1 |
| 5 | Jet slot diffuser | 1000 × 135 | 0.25 m3/s | 19.0 ± 0.1 | 26.0 ± 0.1 |
| Entity | People | Other Heat Sources | |||
|---|---|---|---|---|---|
| Computer | Equipment | Lighting | |||
| Heat Load | Testing chamber (for ASTD testing) | 70 W =2 × 70 = 140 W | 2 × 90 = 180 W | 500 W | 100 W |
| Meeting Room (for comfort survey) | 70 W =10 × 70 = 700 W | ||||
| Index | Female (n = 4) | Male (n = 6) | Total (n = 10) | |||
|---|---|---|---|---|---|---|
| Mean ± SD Range | Mean ± SD Range | Mean ± SD Range | ||||
| Age (years) | 26.5 ± 2.0 | 25–30 | 28.8 ± 2.8 | 25–33 | 27.9 ± 2.8 | 25–33 |
| Height (m) | 1.55 ± 0.04 | 1.5–1.62 | 1.67 ± 0.08 | 1.62–1.81 | 1.62 ± 0.08 | 1.5–1.81 |
| Body mass (kg) | 57 ± 1.4 | 55–58 | 66.2 ± 9.0 | 51–78 | 62.5 ± 8.3 | 51–78 |
| BMI * (kg/m2) | 23.55 ± 1.5 | 21.5–25.8 | 23.7 ± 2.9 | 18.7–27.1 | 23.63 ± 2.4 | 18.7–27.1 |
| BSA ** (m2) | 1.57 ± 0.02 | 1.55–1.60 | 1.75 ± 0.1 | 1.53–1.94 | 1.68 ± 0.1 | 1.53–1.94 |
| TSV Scale | Meaning | TCV Scale | Meaning |
|---|---|---|---|
| −3 | Cold | 0 | Comfortable |
| −2 | Cool | +1 | Slightly uncomfortable |
| −1 | Slightly cool | +2 | Uncomfortable |
| 0 | Neutral | +3 | Very uncomfortable |
| +1 | Slightly warm | ||
| +2 | Warm | ||
| +3 | Hot | ||
| ASTD | Bar Grille | Perforated Diffuser | Double Deflection Grille | Drum Louver Diffuser | Jet Slot Diffuser |
|---|---|---|---|---|---|
| ADPI | 92.8% | 78.6% | 64.3% | 71.4% | 28.5% |
Publisher’s Note: MDPI stays neutral with regard to jurisdictional claims in published maps and institutional affiliations. |
© 2022 by the authors. Licensee MDPI, Basel, Switzerland. This article is an open access article distributed under the terms and conditions of the Creative Commons Attribution (CC BY) license (https://creativecommons.org/licenses/by/4.0/).
Share and Cite
Yau, Y.H.; Rajput, U.A.; Rajpar, A.H.; Lastovets, N. Effects of Air Supply Terminal Devices on the Performance of Variable Refrigerant Flow Integrated Stratum Ventilation System: An Experimental Study. Energies 2022, 15, 1265. https://doi.org/10.3390/en15041265
Yau YH, Rajput UA, Rajpar AH, Lastovets N. Effects of Air Supply Terminal Devices on the Performance of Variable Refrigerant Flow Integrated Stratum Ventilation System: An Experimental Study. Energies. 2022; 15(4):1265. https://doi.org/10.3390/en15041265
Chicago/Turabian StyleYau, Yat Huang, Umair Ahmed Rajput, Altaf Hussain Rajpar, and Natalia Lastovets. 2022. "Effects of Air Supply Terminal Devices on the Performance of Variable Refrigerant Flow Integrated Stratum Ventilation System: An Experimental Study" Energies 15, no. 4: 1265. https://doi.org/10.3390/en15041265
APA StyleYau, Y. H., Rajput, U. A., Rajpar, A. H., & Lastovets, N. (2022). Effects of Air Supply Terminal Devices on the Performance of Variable Refrigerant Flow Integrated Stratum Ventilation System: An Experimental Study. Energies, 15(4), 1265. https://doi.org/10.3390/en15041265

