Abstract
Magnetorheological (MR) dampers are controlled energy-dissipating devices utilizing smart fluids. They operate in a fast and valveless manner by taking advantage of the rheological properties of MR fluids. The magnitude of the response of MR fluids, when subjected to magnetic fields, is of sufficient magnitude to employ them in various applications, namely, vibration damping, energy absorption, exoskeletons, etc. At the same time, predicting their response to arbitrary mechanical and electrical inputs is still a research challenge. Due to the non-linearities involved in material properties or the design of the solenoid used for activating the fluid modeling the relationships between the control circuit and the material’s response is complex. Modeling studies can be classified into two categories. The parametric approach requires the knowledge of the internal material’s properties and takes advantage of physics formulas to infer the I/O relationships present in the damper. For comparison, the non-parametric approach harnesses various data mapping techniques to describe the device’s behavior. While the latter is more suited for design studies, the former seems ideal for control algorithm prototyping and the like. In this study, based on the so-called Support Vector Method (SVM), the authors develop a non-parametric model of the control circuit of an exemplary rotary MR damper. To the best of the author’s knowledge, it is the first attempt at an SVM application for MR dampers’ control circuit modeling. Using the acquired experimental data, the I/O relationships are inferred using the SVM algorithm, and its performance is verified across a wide range of excitation frequencies. The obtained results are satisfactory, and the current response of the MR damper is well-predicted. The model performance shows the potential for incorporating it into model-based prototyping and designing of MR control systems.
1. Introduction
MR dampers are semi-active devices utilizing smart fluids. By taking advantage of the controllable rheology of MR fluids, the hardware has been successfully implemented in various automotive applications, namely, vehicle suspension dampers and powertrain mounts [1]. The dampers stand out in terms of low power requirements, fast or ultra-fast response of several milliseconds, high dynamic range, and the like. Moreover, the technology is valveless, i.e., the device is operated by modifying the apparent viscosity of the fluid with the magnetic field of sufficient strength and magnitude [2].
As of 2022, the most common application area of MR dampers is vibration damping. The analysis of existing prior art reveals that MR dampers are typically operated in a control system incorporating a plant, a variety of sensors, a battery, and a power driver under the control of an appropriate algorithm [3]. As it seems, the information from the object is acquired by the sensors, further processed via the algorithm, and the driver that subsequently applies the current to the control circuit’s coil according to the commanded voltage. The operation sequence allows tracking the desired force or torque to influence the object’s vibrations. The most common approach involves sensing the current in the control coil, the plant’s states (displacement, velocity) [4] from which the algorithm deduces the damping force. Other notable examples feature force/torque or magnetic flux sensors. Force sensors can be located anywhere in the load transfer path or integrated into the structure of the damper [5,6]. Next, flux sensors can be positioned in the magnetic flux path of the solenoid. The flux sensing devices can be search coils or Hall probes [7,8]. At the same time, the research on model-based or sensorless methods continues. There are several reasons for pursuing this path. There is no need to alter the solenoid’s structure, and there are cost benefits associated with it. This approach, however, is not without drawbacks. It requires dedicated integrators by means of which flux is estimated from voltage and current measurements or nonlinear state observers and models suitable for real-time control systems [9,10].
In principle, an MR damper’s structure incorporates a (non)stationary solenoid for energizing a specific volume of MR fluid inside the damper. Energizing the fluid results in resistance-to-flow changes manifested by modifying the material’s yield stress. The effect is an output force change. However, the dampers generate forces that are complex functions of both the current (magnetic flux), velocity as well as displacement. In particular, capturing its hysteretic behavior by the model (in addition to the yield stress dependence on the magnetic field) is of fundamental importance as the hysteresis renders the control of MR damper systems difficult. What has been often omitted or neglected to some extent is the existence of two major hysteretic mechanisms in MR dampers. The mechanical hysteresis due to the compressibility of the fluid chambers, the inertia of the fluid passing through the control gap grows with the excitation rate change only to disappear at the DC limit. That does not apply to magnetic hysteresis (inherent property of ferromagnetic materials forming the circuit of the solenoid). Overall, the above-mentioned factors make the process of predicting the damper’s output complex and error-prone.
In a fashion, MR damper models can be classified into parametric or non-parametric, and thorough reviews on parametric modeling can be found in [11,12,13]; the reader should refer to the prior art for further information. The parametric models can be related to the device’s geometry or material properties or both, which makes them well suited for design or engineering studies. For comparison, the non-parametric approach would preferably employ data mapping techniques to describe the relationships between the input excitations and the output force. Notable examples include e.g., polynomials [14,15], application of machine learning algorithms [16], conventional or deep neural networks [17,18] and the like. They generally belong to the category of posteriori models. Essentially, the models are obtained based on data from physical prototypes and provide no insight into the physics governing particular phenomena. However, they are well suited for control studies.
The outcome of various studies using soft computing methods has proved that in numerous situations the non-parametric models may outperform the more conventional parametric tools [19,20]. The math involved is relatively simple (when compared to the parametric models with which discontinuities, and numerical issues may be encountered while solving), and the biggest computing overhead is during the training stage. At the same time, they will require extensive training with selected data sets from a real prototype or a parametric model. The quality and the scope of the training data determine the quality of the model. To start with, Chang and Roschke [20] presented a multi-layer perceptron (MLP) type neural network model of the MR damper. The model with 6 input neurons, 1 output neuron, and 12 neurons in the hidden layer was trained with data coming from the mathematical Bouc-Wen hysteretic model of the damper emulating the behavior of a real device subjected to various stimuli. The training procedure was accomplished using the Gauss-Newton Levenberg-Marquardt algorithm (training) followed by an optimal brain surgeon strategy (network structure optimization). Similarly, Schurter and Roschke [21] developed an ANFIS (adaptive neuro-fuzzy inference system) type model based on Takagi–Sugeno fuzzy inference system [22]. The no-delay model was created with 3 inputs (velocity, displacement, voltage) and 1 output (damping force) and was shown to provide good accuracy and computing speed performance. Next, Pawlus and Karimi [23] provided a wavelet neural network model of an MR damper for modeling and identification. Chen et al. [24] highlighted the application of annealing robust fuzzy neural networks with Support Vector Regression (SVR) to model the dynamic behavior of the MR dampers. The authors demonstrated the SVR algorithm applied to determine the number of fuzzy inference system rules and the initial weights for the FNNs. A similar Gaussian kernel-based SVR technique was applied by Pryia [25] to predict the temperature-dependent behavior of the MR damper. The model was developed with 4 inputs (temperature, velocity, displacement, and voltage) and one output (force). Apparently, it seems that the SVR approach offers good performance in predicting the hysteretic behavior with reduced data (when compared against regular ANN or ANFIS models). Recently, Bahiuddin et al. [26] used an extreme learning machine method to develop a novel non-parametric model of a prototype MR damper. Their model was compared against a conventional ANN model and exhibited superior performance over the predecessors.
In general, the above models demonstrated the ability to handle the combined hysteresis of the damper. Little attention has been paid to non-parametric modeling of the electrical response of the damper. To the best of the authors’ knowledge, no attempt to predict the non-linear behavior of the electrical control circuit of MR dampers via SVM has been accomplished so far. In this paper, we illustrate the black-box approach applied to the electrical control circuit of the damper to infer its dynamic I/O (voltage-current) characteristics with the SVM approach. That is the primary goal of this model and the focus of the material presented in the study.
Briefly, the paper is structured as follows. Section 2 is focused on describing the key characteristics of MR rotary dampers. Section 3 contains the fundamentals of the SVM algorithm. Next, in Section 4 the authors highlight the data acquisition system setup, including operating conditions and I/O. The algorithm application is then described in Section 5. The summary of results is then provided in Section 6, and conclusions are drawn in Section 7.
2. Magnetorheological Rotary Damper Structure and Operating Principle
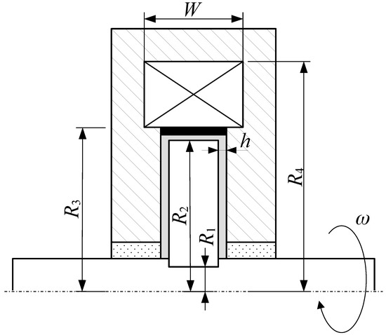
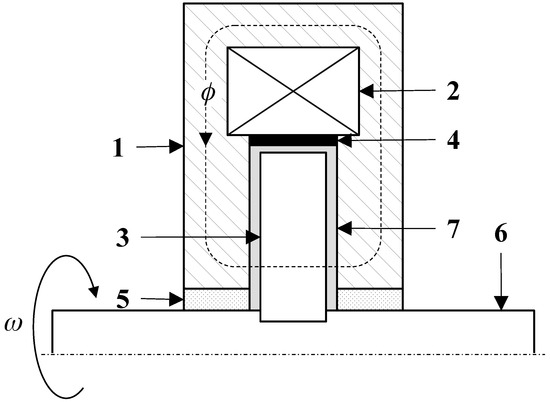
Consider the exemplary MR rotary damper simply illustrated in Figure 1. In the configuration, the ferromagnetic housing (1) fits the coil assembly (2). The ferromagnetic shear plate (3) is attached to the rotor (6) and supported by the bearings (5). The non-magnetic spacer (4) guides the magnetic flux into the volume filled with the fluid (7). The flux that is induced in the structure upon applying the current to the coil results in augmenting the material’s yield stress and the increase in the output torque generated by the damper. The rotor rotates at the angular velocity . It is a simple single disc-type shear-mode device in which the MR fluid is exposed to the magnetic flux between two parallel surfaces moving relative to each other.
The MR fluid is characterized by the off-state viscosity and the field-dependent yield stress , B—flux density. Considering the geometry in Figure 2, the gap height is h, and the shear plate dimensions are and , respectively. The coil window dimensions are: width—W, height—. The window accommodates the number of wire turns equal to . The current in the coil is , and the coil resistance . The voltage that is supplied to the coil terminals is . As the gap is the element of the largest reluctance, applying the Kirchoff equation for the MR solenoid’s circuit at steady-state can be formulated as follows
Also,
where —relative permeability (MR fluid), —permeability (vacuum), ()—magnetic field strength (magnetic flux density) (gap). Then, the substitution results in
The obtained value of can be then used in the subsequent torque calculations. The circuital resistance is
and the estimated inductance of the coil
where —magnetic flux (gap), —total wire length, —wire cross-section area, —wire diameter, —copper conductivity. Using the above relationships, we use the following resistor-inductor nonlinear representation of the MR damper’s control circuit
where —supply voltage. Next, the damper’s operating principle and the torque model are well-known [27], however, we derive the relationship between the input current and the output torque for clarity.
Figure 1.
MR rotary damper cross-section: 1—ferromagnetic housing, 2—coil assembly, 3—ferromagnetic shear plate, 4—non-magnetic ring, 5—bearings, 6—shaft, 7—MR fluid.
The total torque incorporates the following components: —friction torque, —field-dependent torque, —viscous torque. Using the Bingham constitutive model and neglecting the inertia, the viscous torque, and the field-dependent torque can be obtained by integrating [28,29]
where —shear stress, —yield stress, —viscosity, r—radius. Effectively, the integration yields the torque output as follows
Figure 2.
MR rotary damper dimensions: , —shear plate internal (external) radius, , —internal (external) radius of the coil window, h—gap, W—coil window width, —coil window height.
Equations (1)–(8) illustrate the transition between the input voltage , the velocity and the torque —see Figure 3, where —measured (feedback) current, —current command, e—error, —angular displacement. They can be used for the damper simple sizing studies and control system prototyping [30]. However, they require excellent knowledge of the internals as well as material properties. Otherwise, the MR damper’s behavior can only be described with the black-box approach. Similarly, the transition between the input voltage and the current can be described with Equation (6) provided there is a sufficient amount of information on the control circuit of the damper. As mentioned, the authors use the SVM approach to copy the voltage-to-current transitions in the control circuit under various operating conditions.
Figure 3.
MR rotary damper control system.
3. Support Vector Method Fundamentals
Numerous identification methods for handling the behavior of non-linear plants have been developed so far [31,32].
One particular category of algorithms relies on the black-box approach and the use of parameterized nonlinear expansions, e.g., Artificial Neural Networks (ANN) or SVM algorithm. In particular, non-linear autoregressive models with exogenous input (NARX) have been used in identification procedures. The application of NARX model structures has been successfully proven in numerous research studies on non-linear objects [31].
However, if the model structure is not known a priori, the number of candidates for the NARX structure regressors can be overwhelming. To cope with this issue, several selection techniques have been developed so far for NARX-SVM models [33]. They rely on backward/forward regression techniques, which gradually develop the model structure using appropriate quality metrics, namely, the PEM method—Prediction Error Minimisation, orthogonal estimators—FROE (Forward-Regression Orthogonal Estimator) or fast recursive algorithms (FRA) [34]. One alternative to the PEM method is the Simulation Error Minimisation (SEM) incl. its SEMP (Simulation Error Minimisation with Prunning) variant [35]. It is immune to model disturbances and has low input signal requirements. However, they are rather demanding in terms of computing time and the time needed to obtain results. In this study, the authors explore the regressor selection technique previously described in [36] with the application for MR dampers.
One popular approach towards regressor identification is the greed algorithm [37]. It is based on searching the entire space for acceptable solutions. However, this approach has several disadvantages. On one hand, it is effective as it guarantees to find the global optimum within the assumed search space. At the same time, it is extremely time-consuming. The larger the search space, the more time the computing time will be. For instance, in the case of a simple SISO testing the regressor combinations within the range (u—input, y—output) requires 100 models. Expanding the search space up to will result in 400 models. To conclude, the greedy algorithm is not an effective approach and, a need for more sophisticated optimization techniques has arisen, e.g., genetic algorithms (GA) [38]. Moreover, an attempt to further minimize the already determined regressor vector may be undertaken by using the negative selection of vector elements. Such an approach leads to the so-called custom regressors. Due to the above, the model structure can be optimized and its predictive capabilities preserved simultaneously. For instance, the study of Awtoniuk et al. [39] resulted in a significant reduction of the regressor vector length by 80 percent with just a minor drop in the model’s accuracy equal to 2.5 percent.
Let us then consider the SVM fundamentals. The idea of the NARX-based black-box identification procedure is to determine the connection between the past observations, i.e., , and the future one . The goal is to compute the parameter values of the non-linear function using the SVM expressed in the following form:
Upon introducing , the above relationship can be expressed as follows
where —unknown function, —regression vector, —number of past observations, —number of past observation samples of the size , —parameter vector, —noise.
To show how the SVM algorithm is used in problem identification, it must first be introduced on the projection function F from the regressors’ space ℜ to a hypothetical feature space ℵ. Assume that the training set is as follows:
where is the input vector composed of the regressors for the NARX model, and is the output. By defining the -insensitive loss function as
the procedure can be treated as a quadratic programming (QP) one, and the estimation function can be expressed in the “standard” SVM manner as
where is the weight vector and b is the bias. Then, can be determined via minimization as follows
where n—number of training data pairs. Then, introducing the slack variables , , the optimization problem can be formulated as
subject to
where C, are the user-specified constants. The optimization problem can then be easily solved by introducing the Lagrange function and the formulation of the so-called dual problem regarding the Lagrange multiplier and the introduction of the kernel term
that is defined by Mercer’s theorem [40]. The formulation of the dual problem is equivalent to determining the expression as follows
subject to
where . Then, on solving the problem (18), the regression function can be written as follows
where K is the number of the so-called support vectors.
4. Hardware and Test Setup
The hardware of interest was the MR rotary damper RD-2028 manufactured by Lord Corp. The damper’s maximum current is 1 A, and its coil resistance is 8.9 . The device’s limiting frequency is 1.9 Hz at the maximum current level [41,42]. Moreover, an inspection of the response time metrics was carried out by Gołdasz et al. [43]; the reader should refer there for details on the performance evaluation, responses to voltage step inputs and the like.
All measurements were carried out by the authors with the stationary damper. The data acquisition circuit incorporated: the voltage supply, the power driver, and the real-time AD/DA FPGA board, as highlighted in Figure 4. During the tests, the damper was excited with sinusoidal voltage waveforms of various peak amplitudes and frequencies f up to 10 Hz. The voltage level was adjusted to result in the peak current of 1 A at the frequency of 1 Hz. The sampling frequency of the data acquisition board was 1 kHz. The exercise was split into 2 series of experiments. In the first one, the damper was operated using the sinusoidal voltage input , V—peak voltage, and the frequency of the excitation varied from 1 Hz up to 10 Hz in 1 Hz increments. In the second series of the experiments, the damper was subjected to the time-varying voltage waveforms , A—voltage increase/decrease rate. The frequency of this signal was 1 Hz. Moreover, the damper was air-cooled during the tests to minimize heating and reduce the coil resistance changes over time.
Figure 4.
Data acquisition layout.
5. Modeling and Optimisation Procedures—Support Vector Regression and Genetic Algorithm
In brief, the SVR model was developed using the LIBSVM toolkit [44] and MATLAB R2017a. The SVR network was to copy the coil current change induced by varying the supply voltage . In this manner, the regressor (feature) vector is formed. The length of the vector depends on the parameters and , which account for the number of previous samples of the voltage and the current, respectively. Depending on whether the network is operated in the simulation mode or the prediction (forward) mode, the feature vector of the SVM can be described as
or
where u is the input of the model (voltage signal) at , refers to the plant output (measured current signal) sampled at , denotes the model output (simulated current signal) at ; and indicate the order of the NARX model (the number of lags).
In the implemented scenario, the model was of the SISO type. As such, the NARX-SVR network structure can be referred to with the triplet , and K—number of support vectors.
The learning stage was conducted in the prediction mode, while testing was made in the simulation mode. Two quality metrics were used for acquiring the model’s accuracy - the mean-square-error (MSE) and the normalized root-mean-square error (NRMSE)—FIT. The better the model performs, the lower the MSE is (or the higher model fit).
where is the measured output, is the simulated output, is the mean of the measured output, n is the number of samples.
The selection of optimal values of the parameters describing the regressors () the SVM structure parameters (C, ) were carried out using the genetic algorithm. The procedure is illustrated in Figure 5.
Figure 5.
Diagram of the optimal parameter value selection procedure.
Throughout this exercise, we used the genetic algorithm implemented with the Global Optimisation Toolbox in MATLAB. The vector of decision variables was and the optimal solution should satisfy the inequality constraints
Since the decision variables included both integers () and real numbers (), we used the Mixed Integer Optimization algorithm. This category of optimization problems is called mixed-integer type and its solutions require minimizing the penalty function below
where , are the number of lags, are the SVM parameters, and is the model performance calculated for the testing data set of the SVM simulation mode. The GA parameters were as follows: the number of generations—20, the population size—20, the selection function—‘selectionstochunif’, crossover probability—0.8, mutation rate—0.01.
6. Results
The obtained results are presented in Figure 6, Figure 7 and Figure 8. Specifically, Figure 6 highlights the current response of the damper when excited with the voltage inputs at frequencies up to 10 Hz. The time histories were normalized with respect to the input frequency. Figure 7 illustrates the corresponding data plotted in the plane. Finally, Figure 8 shows the output of the damper when excited with the time-varying amplitude waveforms. The agreement with the experimental data is satisfactory.

Figure 6.
Normalized coil current time history : model vs. test.

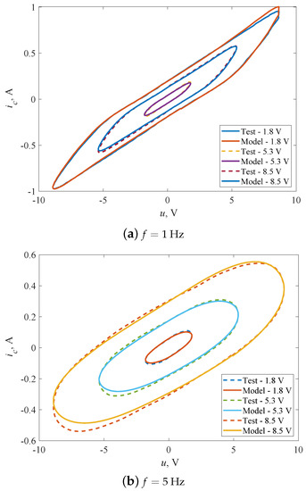
Figure 7.
Coil current vs. voltage (one cycle): model vs. test.
Figure 8.
Current response to time-varying amplitude voltage.
The calculated results are revealed in Table 1 and Figure 9 and Figure 10. The table contains the values of the quality metrics obtained by comparing the model against the coil current measurements. The SVR network was setup as follows: u lags—16, i lags—49, , , . The analysis of the table contents and the figures shows that the quality of the results obtained in the prediction mode (for the frequencies excluded from training) is very good, i.e., the values of the fit metrics exceed 90 percent for most data sets. That is evident when analyzing Figure 9 and Figure 10. Moreover, in both the prediction mode and the simulation mode all quality metrics deteriorate as the excitation voltage frequency moves away from the training data set at Hz. Also, for a given frequency the voltage amplitude affects the quality of the model. Moreover, as expected, the model performance in the prediction mode is significantly better than in the simulation mode. Still, the model’s performance can be deemed satisfactory. The obtained results generally emphasize the highly nonlinear characteristics of the analyzed control circuit (of the MR damper).
Table 1.
Calculated quality metrics, FIT(MSE)–P: prediction mode metrics, FIT(MSE)–S: simulation mode metrics.
Figure 9.
Quality metrics vs. voltage amplitude.
Figure 10.
Quality metrics vs. voltage frequency.
7. Discussion
To conclude, in this study, SVM is applied to predict the current response of a shear-mode MR damper. The object can be considered a nonlinear solenoid. The model has been thoroughly validated over a wide range of sinusoidal excitation inputs and frequencies. The results have revealed that the identified model can provide accurate predictions and copy the non-linear behavior of the device’s electrical circuit. The accuracy of the obtained results is satisfactory within the examined excitation frequency range (1–10 Hz). The performance is more than adequate in the prediction mode and satisfactory in the simulation mode for most of the frequencies analyzed. The obtained metrics reveal that the model performance degrades as the excitation frequency shifts from the training data set. The input voltage amplitude does not significantly impact the model quality. The actuator’s non-parametric SVM-based electrical circuit model can be modified to improve the accuracy and optimize its structure. Moreover, the model performance shows the application potential for incorporating it into MR model-based control system prototyping and designing.
Arguably, SVM was employed in [16] for modeling MR dampers. However, the optimization procedure in the referenced study concerned only the SVM network’s hyperparameters. No information has been revealed concerning the structure of this model or its operation mode. Moreover, what was also lacking was the information on choosing the number of regressors and the network’s mode during testing. In comparison to the present research, the results were presented separately for both modes (simulation, prediction), respectively, and that aspect was missing in the referenced study.
To conclude, it is the first time the SVM network was applied for predicting the current response of MR dampers. The other novel aspects of this research involve the combined use of the SVM network and GA for simultaneous optimization of the network’s hyperparameters and its structure by applying Mixed Integer (GA) Optimization.
Finally, it should be noted that the SVM-based electrical circuit model can be further optimized to improve the accuracy with respect to its parameters and structure. Extending the model is also planned in the following steps of the authors’ research to account for the I/O relationship between the current (or voltage) and the magnetic flux induced in the MR damper’s structure. The magnetic flux information can be deduced either from model-based simulations or sensorless measurements as in [43]. As the field-dependent yield stress in MR fluids reacts to magnetic flux (and not the current) the extension of the present model to account for magnetic flux is of interest.
Author Contributions
Conceptualization, J.G. and B.S.; methodology, J.G.; data acquisition, Ł.J.; software, M.A. and R.S.; writing-review, editing and validation, B.S., Ł.J., J.G., M.A. and R.S.; supervision, J.G. All authors have read and agreed to the published version of the manuscript.
Funding
This research received funding from the AGH University of Science and Technology, within the scope of the research program No. 16.16.130.942 and Excellence Initiative—Research University.
Institutional Review Board Statement
Not applicable.
Informed Consent Statement
Not applicable.
Data Availability Statement
Data can be obtained from the corresponding author upon request.
Conflicts of Interest
The authors declare no conflict of interest.
References
- Gołdasz, J.; Dzierżek, S. Parametric study on the performance of automotive MR shock absorbers. In Proceedings of the IOP Conference Series: Materials Science and Engineering, Bali, Indonesia, 19–20 March 2016; IOP Publishing: Bristol, UK, 2016; Volume 148, p. 012004. [Google Scholar]
- Carlson, J.D.; Jolly, M.R. MR fluid, foam and elastomer devices. Mechatronics 2000, 10, 555–569. [Google Scholar] [CrossRef]
- Choi, S.B.; Li, W.; Yu, M.; Du, H.; Fu, J.; Do, P.X. State of the art of control schemes for smart systems featuring magneto-rheological materials. Smart Mater. Struct. 2016, 25, 043001. [Google Scholar] [CrossRef]
- Nehl, T.; Deng, F. Piston Damper Assembly, and Dust Tube Subassembly, Having a Velocity Sensor. U.S. Patent US20040089506A1, 4 March 2004. [Google Scholar]
- Yang, G.; Spencer, B.F., Jr.; Jung, H.J.; Carlson, J.D. Dynamic modeling of large-scale magnetorheological damper systems for civil engineering applications. J. Eng. Mech. 2004, 130, 1107–1114. [Google Scholar] [CrossRef]
- Or, S.W.; Duan, Y.; Ni, Y.; Chen, Z.; Lam, K.H. Development of magnetorheological dampers with embedded piezoelectric force sensors for structural vibration control. J. Intell. Mater. Syst. Struct. 2008, 19, 1327–1338. [Google Scholar] [CrossRef]
- Li, Z.; Gong, Y.; Li, S.; Wang, W. Magnetic hysteresis compensation control of a magnetorheological damper. Front. Mater. 2019, 6, 299. [Google Scholar] [CrossRef]
- Erol, O.; Gonenc, B.; Senkal, D.; Alkan, S.; Gurocak, H. Magnetic induction control with embedded sensor for elimination of hysteresis in magnetorheological brakes. J. Intell. Mater. Syst. Struct. 2012, 23, 427–440. [Google Scholar] [CrossRef]
- Hinkkanen, M.; Luomi, J. Modified integrator for voltage model flux estimation of induction motors. IEEE Trans. Ind. Electron. 2003, 50, 818–820. [Google Scholar] [CrossRef]
- Sabzevari, S.I.H.; Chulaee, Y.; Abdi, S. Analysis and Modification of a Particle Filter Algorithm for Sensorless Control of BLDC Machine. In Proceedings of the 2020 International Conference on Electrical Machines (ICEM), Gothenburg, Sweden, 23–26 August 2020; IEEE: Piscataway, NJ, USA, 2020; Volume 1, pp. 1067–1073. [Google Scholar]
- Elsaady, W.; Oyadiji, S.O.; Nasser, A. A review on multi-physics numerical modelling in different applications of magnetorheological fluids. J. Intell. Mater. Syst. Struct. 2020, 31, 1855–1897. [Google Scholar] [CrossRef]
- Wang, D.; Liao, W.H. Magnetorheological fluid dampers: A review of parametric modelling. Smart Mater. Struct. 2011, 20, 023001. [Google Scholar] [CrossRef]
- Rossi, A.; Orsini, F.; Scorza, A.; Botta, F.; Belfiore, N.P.; Sciuto, S.A. A Review on Parametric Dynamic Models of Magnetorheological Dampers and Their Characterization Methods. Actuators 2018, 7, 16. [Google Scholar] [CrossRef]
- Ehrgott, R.C.; Masri, S.F. Modeling the oscillatory dynamic behaviour of electrorheological materials in shear. Smart Mater. Struct. 1992, 1, 275–285. [Google Scholar] [CrossRef]
- Choi, S.B.; Lee, S.K.; Park, Y.P. A Hysteresis Model for the Field-Dependent Damping Force of a Magnetorheological Damper. J. Sound Vib. 2001, 245, 375–383. [Google Scholar] [CrossRef]
- Qian, C.; Yin, X.; Ouyang, Q. Modeling and Parameter Identification of the MR Damper Based on LS-SVM. Int. J. Aerosp. Eng. 2021, 2021. [Google Scholar] [CrossRef]
- Duchanoy, C.A.; Moreno-Armendáriz, M.A.; Moreno-Torres, J.C.; Cruz-Villar, C.A. A deep neural network based model for a kind of magnetorheological dampers. Sensors 2019, 19, 1333. [Google Scholar] [CrossRef] [PubMed]
- Liu, Q.; Chen, W.; Hu, H.; Zhu, Q.; Xie, Z. An Optimal NARX Neural Network Identification Model for a Magnetorheological Damper With Force-Distortion Behavior. Front. Mater. 2020, 7, 10. [Google Scholar] [CrossRef]
- Burton, S.A.; Makris, N.; Konstantopoulos, I.; Antsaklis, P. Modeling the response of ER damper: Phenomenology and emulation. J. Eng. Mech. 1996, 122, 897–906. [Google Scholar] [CrossRef]
- Chang, C.C.; Roschke, P. Neural Network Modeling of a Magnetorheological Damper. J. Intell. Mater. Syst. Struct. 1998, 9, 755–764. [Google Scholar] [CrossRef]
- Schurter, K.C.; Roschke, P.N. Fuzzy modeling of a magnetorheological damper using ANFIS. In Proceedings of the Ninth IEEE International Conference on Fuzzy Systems, FUZZ-IEEE 2000 (Cat. No. 00CH37063), San Antonio, TX, USA, 7–10 May 2000; Volume 1, pp. 122–127. [Google Scholar]
- Takagi, T.; Sugeno, M. Fuzzy identification of systems and its applications to modeling and control. IEEE Trans. Syst. Man Cybern. 1985, SMC-15, 116–132. [Google Scholar] [CrossRef]
- Pawlus, W.; Karimi, H.R. A comparative study of phenomenological models of MR brake based on neural networks approach. Int. J. Wavelets Multiresolut. Inf. Process. 2013, 11, 1350009. [Google Scholar] [CrossRef]
- Chen, P.Y.; Fu, Y.Y.; Su, K.L.; Jeng, J.T. ARFNNs under Different Types SVR for Identification of Nonlinear Magneto-Rheological Damper Systems with Outliers. Int. J. Fuzzy Syst. 2010, 12. [Google Scholar]
- Priya, C.B.; Gopalakrishnan, N. Temperature dependent modelling of magnetorheological (MR) dampers using Support Vector Regression. Smart Mater. Struct. 2019, 28, 025021. [Google Scholar] [CrossRef]
- Bahiuddin, I.; Imaduddin, F.; Mazlan, S.A.; Ariff, M.H.; Mohmad, K.B.; Choi, S.B. Accurate and fast estimation for field-dependent nonlinear damping force of meandering valve-based magnetorheological damper using extreme learning machine method. Sens. Actuators A Phys. 2021, 318, 112479. [Google Scholar] [CrossRef]
- Jolly, M.; Bender, J.; Carlson, J. Properties and applications of commercial magnetorheological fluids. J. Intell. Mater. Syst. Struct. 1999, 10, 5–13. [Google Scholar] [CrossRef]
- Li, W.; Du, H. Design and experimental evaluation of a magnetorheological brake. Int. J. Adv. Manuf. Technol. 2003, 21, 508–515. [Google Scholar] [CrossRef]
- Imaduddin, F.; Mazlan, S.; Zamzuri, H. A design and modelling review of rotary magnetorheological damper. Mater. Des. 2013, 51, 575–591. [Google Scholar] [CrossRef]
- Li, W. Design and Development of Magneto-Rheological Actuators with Application in Mobile Robotics. Master’s Thesis, The University of Western Ontario, London, ON, Canada, 2014. [Google Scholar]
- Falck, T.; Dreesen, P.; De Brabanter, K.; Pelckmans, K.; De Moor, B.; Suykens, J.A. Least-squares support vector machines for the identification of Wiener–Hammerstein systems. Control Eng. Pract. 2012, 20, 1165–1174. [Google Scholar] [CrossRef]
- Ljung, L. Identification of Nonlinear Systems; Linköping University Electronic Press: Linköping, Sweden, 2007. [Google Scholar]
- Piroddi, L.; Farina, M.; Lovera, M. Black box model identification of nonlinear input–output models: A Wiener–Hammerstein benchmark. Control Eng. Pract. 2012, 20, 1109–1118. [Google Scholar] [CrossRef]
- Korenberg, M.; Billings, S.A.; Liu, Y.; McIlroy, P. Orthogonal parameter estimation algorithm for non-linear stochastic systems. Int. J. Control 1988, 48, 193–210. [Google Scholar] [CrossRef]
- Piroddi, L.; Spinelli, W. An identification algorithm for polynomial NARX models based on simulation error minimization. Int. J. Control 2003, 76, 1767–1781. [Google Scholar] [CrossRef]
- Sałat, R.; Awtoniuk, M.; Korpysz, K. Black-box identification of a pilot-scale dryer model: A Support Vector Regression and an Imperialist Competitive Algorithm approach. IFAC-PapersOnLine 2017, 50, 1559–1564. [Google Scholar] [CrossRef]
- Salat, R.; Awtoniuk, M. Black box modeling of PIDs implemented in PLCs without structural information: A support vector regression approach. Neural Comput. Appl. 2015, 26, 723–734. [Google Scholar] [CrossRef] [PubMed][Green Version]
- Szala, M.; Łatka, L.; Awtoniuk, M.; Winnicki, M.; Michalak, M. Neural modelling of aps thermal spray process parameters for optimizing the hardness, porosity and cavitation erosion resistance of Al2O3-13 wt% TiO2 coatings. Processes 2020, 8, 1544. [Google Scholar] [CrossRef]
- Awtoniuk, M.; Daniun, M.; Sałat, K.; Sałat, R. Impact of feature selection on system identification by means of NARX-SVM. In Proceedings of the MATEC Web of Conferences; EDP Sciences: Les Ulis, France, 2019; Volume 252, p. 03012. [Google Scholar]
- Vapnik, V.; Chervonenkis, A. Theory of Pattern Recognition; Nauka: Moscow, Russia, 1974. [Google Scholar]
- Węgrzynowski, M. Energy Harvesting—Magnetorheological Dampers: Modeling, Laboratory Testing, Control. Ph.D. Thesis, AGH University of Science and Technology, Kraków, Poland, 2016. [Google Scholar]
- Sapiński, B.; Węgrzynowski, M.; Nabielec, J. Magnetorheological damper–based positioning system with power generation. J. Intell. Mater. Syst. Struct. 2018, 29, 1236–1254. [Google Scholar] [CrossRef]
- Gołdasz, J.; Sapinski, B.; Jastrzębski, Ł. Assessment of the magnetic hysteretic behaviour of MR dampers through sensorless measurements. Shock Vib. 2018, 2018, 3740208. [Google Scholar] [CrossRef]
- Chang, C.C. LIBSVM: A library for support vector machines. ACM Trans. Intell. Syst. Technol. 2011, 2, 1–27. [Google Scholar] [CrossRef]
Publisher’s Note: MDPI stays neutral with regard to jurisdictional claims in published maps and institutional affiliations. |
© 2022 by the authors. Licensee MDPI, Basel, Switzerland. This article is an open access article distributed under the terms and conditions of the Creative Commons Attribution (CC BY) license (https://creativecommons.org/licenses/by/4.0/).