Gasification Kinetics of Organic Solid Waste Pellets: Comparative Study Using Distributed Activation Energy Model and Coats–Redfern Method
Abstract
1. Introduction
2. Materials and Methods
2.1. Materials
2.2. Pellet Preparations
2.3. Gasification
2.4. Kinetic Study
2.4.1. Coats–Redfern Method
2.4.2. DAEM Method
| Model | Symbol | ||
|---|---|---|---|
| Chemical reaction (HM) | |||
| First-order | O1 | (1 − x) | −ln(1 − x) |
| Phase boundary controlled reactions or shrinking core model (SCM) | |||
| Two dimensions (Contracting Cylinder) | R2 | 2(1 − x)1/2 | 1 − (1 − x)1/2 |
| Three dimensions (Contracting Sphere) | R3 | 3(1 − x)2/3 | 1 − (1 − x)1/3 |
| Dimensional diffusion models | |||
| One-dimensional | D1 | α−1/2 | α2 |
| Two-dimensional, cylindrical symmetry | D2 | [−ln(1 − α)]−1 | A + (1 − α) ln(1 − α) |
| Three-dimensional, spherical symmetry | D3 | 3(1 − α)2/3[1 − (1 − α)1/3]−1/2 | [1 − (1 − α)1/3]2 |
| Three-dimensional, cylindrical symmetry | D4 | (1 − 2α/3) − (1 − a)2/3 | (1 − 2α/3) − (1 − a)2/3 |
3. Results
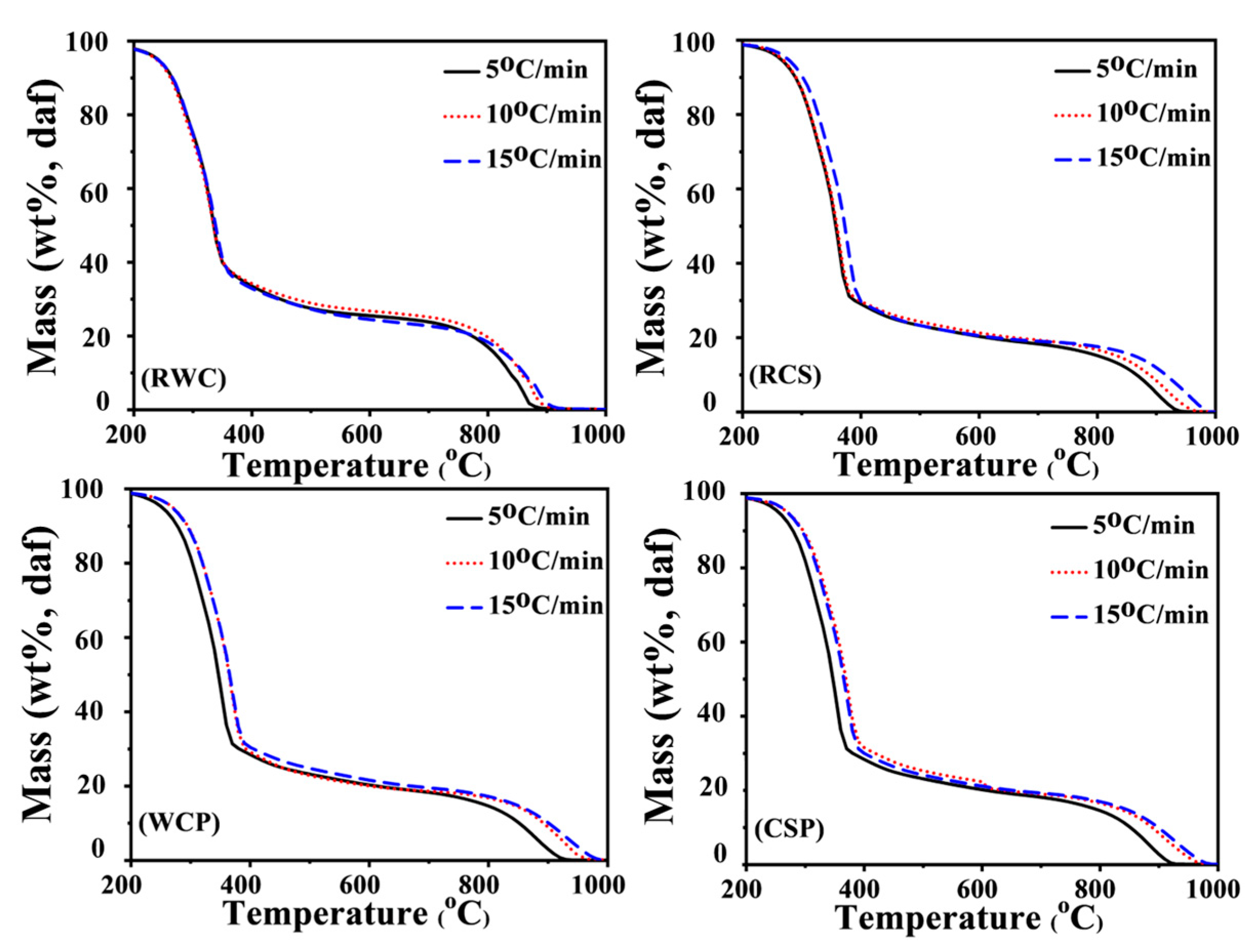
3.1. Gasification Behaviour of Raw Materials and Pellets
3.2. Kinetic Analysis
3.2.1. Coats–Redfern Method
3.2.2. DAEM Method
3.3. Comparison of the Coats–Redfern and DAEM Methods
4. Conclusions
Supplementary Materials
Author Contributions
Funding
Institutional Review Board Statement
Informed Consent Statement
Data Availability Statement
Conflicts of Interest
References
- Zanzi, R.; Sjostrom, K.; Bjornbom, E. Rapid pyrolysis of agricultural residues at high temperature. Biomass Bioenergy 2002, 23, 357–366. [Google Scholar] [CrossRef]
- Borah, A.J.; Singh, S.; Goyal, A.; Moholkar, V.S. An assessment of the potential of invasive weeds as multiple feedstocks for biofuel production. RSC Adv. 2016, 6, 47151–47163. [Google Scholar] [CrossRef]
- Chen, J.; Wang, Y.; Lang, X.; Fan, S. Evaluation of agricultural residues pyrolysis under non-isothermal conditions: Thermal behaviors, kinetics, and thermodynamics. Bioresour. Technol. 2017, 241, 340–348. [Google Scholar] [CrossRef]
- Zhu, X.; Tang, J.; Li, X.; Lan, W.; Xu, K.; Fang, Y.; Ashida, R.; Miura, K.; Luo, G.; Yao, H. Modeling and kinetic study of degradative solvent extraction of biomass wastes. Energy Fuels 2017, 31, 5097–5103. [Google Scholar] [CrossRef]
- Emami-Taba, L.; Irfan, M.F.; Daud, W.M.A.W.; Chakrabarti, M.H. Fuel blending effects on the co-gasification of coal and biomass–A review. biomass and bioenergy 2013, 57, 249–263. [Google Scholar] [CrossRef]
- Zhu, X.; Li, X.; Xiao, L.; Zhang, X.; Tong, S.; Wu, C.; Ashida, R.; Liu, W.; Miura, K.; Yao, H. Novel carbon-rich additives preparation by degradative solvent extraction of biomass wastes for coke-making. Bioresour. Technol. 2016, 207, 85–91. [Google Scholar] [CrossRef]
- Xiong, Z.; Guo, J.; Chaiwat, W.; Deng, W.; Hu, X.; Han, H.; Chen, Y.; Xu, K.; Su, S.; Hu, S. Assessing the chemical composition of heavy components in bio-oils from the pyrolysis of cellulose, hemicellulose and lignin at slow and fast heating rates. Fuel Process. Technol. 2020, 199, 106299. [Google Scholar] [CrossRef]
- Patel, M.; Zhang, X.; Kumar, A. Techno-economic and life cycle assessment on lignocellulosic biomass thermochemical conversion technologies: A review. Renew. Sustain. Energy Rev. 2016, 53, 1486–1499. [Google Scholar] [CrossRef]
- Cheng, J.; Zhou, F.; Si, T.; Zhou, J.; Cen, K. Mechanical strength and combustion properties of biomass pellets prepared with coal tar residue as a binder. Fuel Process. Technol. 2018, 179, 229–237. [Google Scholar] [CrossRef]
- Rhén, C.; Gref, R.; Sjöström, M.; Wästerlund, I. Effects of raw material moisture content, densification pressure and temperature on some properties of Norway spruce pellets. Fuel Process. Technol. 2005, 87, 11–16. [Google Scholar] [CrossRef]
- González, J.F.; González-García, C.M.; Ramiro, A.; González, J.; Sabio, E.; Gañán, J.; Rodríguez, M.A. Combustion optimisation of biomass residue pellets for domestic heating with a mural boiler. Biomass Bioenergy 2004, 27, 145–154. [Google Scholar] [CrossRef]
- Mami, M.A.; Mätzing, H.; Gehrmann, H.; Stapf, D.; Bolduan, R.; Lajili, M. Investigation of the olive mill solid wastes pellets combustion in a counter-current fixed bed reactor. Energies 2018, 11, 1965. [Google Scholar] [CrossRef]
- Mian, I.; Li, X.; Dacres, O.D.; Wang, J.; Wei, B.; Jian, Y.; Zhong, M.; Liu, J.; Ma, F.; Rahman, N. Combustion kinetics and mechanism of biomass pellet. Energy 2020, 205, 117909. [Google Scholar] [CrossRef]
- Mian, I.; Li, X.; Jian, Y.; Dacres, O.D.; Zhong, M.; Liu, J.; Ma, F.; Rahman, N. Kinetic study of biomass pellet pyrolysis by using distributed activation energy model and Coats Redfern methods and their comparison. Bioresour. Technol. 2019, 294, 122099. [Google Scholar] [CrossRef]
- Edreis, E.M.; Yao, H. Kinetic thermal behaviour and evaluation of physical structure of sugar cane bagasse char during non-isothermal steam gasification. J. Mater. Res. Technol. 2016, 5, 317–326. [Google Scholar] [CrossRef]
- Edreis, E.M.; Li, X.; Xu, C.; Yao, H. Kinetic study and synergistic interactions on catalytic CO2 gasification of Sudanese lower sulphur petroleum coke and sugar cane bagasse. J. Mater. Res. Technol. 2017, 6, 147–157. [Google Scholar] [CrossRef]
- Huo, W.; Zhou, Z.; Chen, X.; Dai, Z.; Yu, G. Study on CO2 gasification reactivity and physical characteristics of biomass, petroleum coke and coal chars. Bioresour. Technol. 2014, 159, 143–149. [Google Scholar] [CrossRef]
- de Caprariis, B.; Santarelli, M.L.; Scarsella, M.; Herce, C.; Verdone, N.; De Filippis, P. Kinetic analysis of biomass pyrolysis using a double distributed activation energy model. J. Therm. Anal. Calorim. 2015, 121, 1403–1410. [Google Scholar] [CrossRef]
- Miura, K.; Maki, T. A simple method for estimating f (E) and k 0 (E) in the distributed activation energy model. Energy Fuels 1998, 12, 864–869. [Google Scholar] [CrossRef]
- Zhang, P.; Chen, Z.; Zhang, Q.; Zhang, S.; Ning, X.; Zhou, J. Co-pyrolysis characteristics and kinetics of low metamorphic coal and pine sawdust. RSC Adv. 2022, 12, 21725–21735. [Google Scholar] [CrossRef]
- Sharma, A.; Mohanty, B. Thermal degradation of mango (Mangifera indica) wood sawdust in a nitrogen environment: Characterization, kinetics, reaction mechanism, and thermodynamic analysis. RSC Adv. 2021, 11, 13396–13408. [Google Scholar] [CrossRef]
- Hu, Y.; Wang, Z.; Cheng, X.; Ma, C. Non-isothermal TGA study on the combustion reaction kinetics and mechanism of low-rank coal char. Rsc Adv 2018, 8, 22909–22916. [Google Scholar] [CrossRef]
- Tang, L.; Xiao, J.; Mao, Q.; Zhang, Z.; Yao, Z.; Zhu, X.; Ye, S.; Zhong, Q. Thermogravimetric Analysis of the Combustion Characteristics and Combustion Kinetics of Coals Subjected to Different Chemical Demineralization Processes. ACS Omega 2022, 7, 13998–14008. [Google Scholar] [CrossRef]
- Wang, C.; Wang, F.; Yang, Q.; Liang, R. Thermogravimetric studies of the behavior of wheat straw with added coal during combustion. Biomass Bioenergy 2009, 33, 50–56. [Google Scholar] [CrossRef]
- Çepelioğullar, Ö.; Pütün, A.E. Thermal and kinetic behaviors of biomass and plastic wastes in co-pyrolysis. Energy Convers. Manag. 2013, 75, 263–270. [Google Scholar] [CrossRef]
- Cheng, G.; He, P.; Xiao, B.; Hu, Z.; Liu, S.; Zhang, L.; Cai, L. Gasification of biomass micron fuel with oxygen-enriched air: Thermogravimetric analysis and gasification in a cyclone furnace. Energy 2012, 43, 329–333. [Google Scholar] [CrossRef]
- Yan, L.; He, B.; Hao, T.; Pei, X.; Li, X.; Wang, C.; Duan, Z. Thermogravimetric study on the pressurized hydropyrolysis kinetics of a lignite coal. Int. J. Hydrogen Energy 2014, 39, 7826–7833. [Google Scholar] [CrossRef]
- Edreis, E.M.; Luo, G.; Li, A.; Xu, C.; Yao, H. Synergistic effects and kinetics thermal behaviour of petroleum coke/biomass blends during H2O co-gasification. Energy Convers. Manag. 2014, 79, 355–366. [Google Scholar] [CrossRef]
- Ferdous, D.; Dalai, A.K.; Bej, S.K.; Thring, R.W. Pyrolysis of lignins: Experimental and kinetics studies. Energy Fuels 2002, 16, 1405–1412. [Google Scholar] [CrossRef]
- Miura, K. A new and simple method to estimate f (E) and k0 (E) in the distributed activation energy model from three sets of experimental data. Energy Fuels 1995, 9, 302–307. [Google Scholar] [CrossRef]
- Elkhalifa, S.; Mariyam, S.; Mackey, H.R.; Al-Ansari, T.; McKay, G.; Parthasarathy, P. Pyrolysis Valorization of Vegetable Wastes: Thermal, Kinetic, Thermodynamics, and Pyrogas Analyses. Energies 2022, 15, 6277. [Google Scholar] [CrossRef]
- Dacres, O.D.; Tong, S.; Li, X.; Zhu, X.; Edreis, E.M.; Liu, H.; Luo, G.; Worasuwannarak, N.; Kerdsuwan, S.; Fungtammasan, B. Pyrolysis kinetics of biomasses pretreated by gas-pressurized torrefaction. Energy Convers. Manag. 2019, 182, 117–125. [Google Scholar] [CrossRef]
- Gao, Y.; Ding, L.; Li, X.; Wang, W.; Xue, Y.; Zhu, X.; Hu, H.; Luo, G.; Naruse, I.; Bai, Z. Na&Ca removal from Zhundong coal by a novel CO2-water leaching method and the ashing behavior of the leached coal. Fuel 2017, 210, 8–14. [Google Scholar]
- Hu, Q.; Yang, H.; Xu, H.; Wu, Z.; Lim, C.J.; Bi, X.T.; Chen, H. Thermal behavior and reaction kinetics analysis of pyrolysis and subsequent in-situ gasification of torrefied biomass pellets. Energy Convers. Manag. 2018, 161, 205–214. [Google Scholar] [CrossRef]
- Khonde, R.; Chaurasia, A. Rice husk gasification in a two-stage fixed-bed gasifier: Production of hydrogen rich syngas and kinetics. Int. J. Hydrogen Energy 2016, 41, 8793–8802. [Google Scholar] [CrossRef]
- Tran, K.; Bui, H.; Luengnaruemitchai, A.; Wang, L.; Skreiberg, Ø. Isothermal and non-isothermal kinetic study on CO2 gasification of torrefied forest residues. Biomass Bioenergy 2016, 91, 175–185. [Google Scholar] [CrossRef]
- El-Sayed, S.A.; Mostafa, M.E. Pyrolysis characteristics and kinetic parameters determination of biomass fuel powders by differential thermal gravimetric analysis (TGA/DTG). Energy Convers. Manag. 2014, 85, 165–172. [Google Scholar] [CrossRef]
- De Filippis, P.; De Caprariis, B.; Scarsella, M.; Verdone, N. Double distribution activation energy model as suitable tool in explaining biomass and coal pyrolysis behavior. Energies 2015, 8, 1730–1744. [Google Scholar] [CrossRef]
- Gupta, A.; Thengane, S.K.; Mahajani, S. Kinetics of pyrolysis and gasification of cotton stalk in the central parts of India. Fuel 2020, 263, 116752. [Google Scholar] [CrossRef]
- Edreis, E.M.; Li, X.; Luo, G.; Sharshir, S.W.; Yao, H. Kinetic analyses and synergistic effects of CO2 co-gasification of low sulphur petroleum coke and biomass wastes. Bioresour. Technol. 2018, 267, 54–62. [Google Scholar] [CrossRef]
- Collazzo, G.C.; Broetto, C.C.; Perondi, D.; Junges, J.; Dettmer, A.; Dornelles Filho, A.A.; Foletto, E.L.; Godinho, M. A detailed non-isothermal kinetic study of elephant grass pyrolysis from different models. Appl. Therm. Eng. 2017, 110, 1200–1211. [Google Scholar] [CrossRef]
- Tong, W.; Liu, Q.; Yang, C.; Cai, Z.; Wu, H.; Ren, S. Effect of pore structure on CO2 gasification reactivity of biomass chars under high-temperature pyrolysis. J. Energy Inst. 2020, 93, 962–976. [Google Scholar] [CrossRef]
- Gonnella, G.; Ischia, G.; Fambri, L.; Fiori, L. Thermal Analysis and Kinetic Modeling of Pyrolysis and Oxidation of Hydrochars. Energies 2022, 15, 950. [Google Scholar] [CrossRef]






| Samples | Proximate Analysis (wt.%) | Ultimate Analysis (wt.%, daf) | CV (MJ/kg, db) | ||||||
|---|---|---|---|---|---|---|---|---|---|
| Aad | Vdaf | FCdaf | C | H | O 1 | N | S | ||
| WC | 0.9 | 86.8 | 13.2 | 49.6 | 5.4 | 42.7 | 2.3 | 0.1 | 16.8 |
| CS | 6.1 | 80.4 | 19.6 | 43.5 | 5.1 | 48.4 | 2.8 | 0.2 | 13.3 |
| Stage | Characteristics | RWC | WCP | RCS | CSP |
|---|---|---|---|---|---|
| 1 | Ti (°C) | 216 | 232 | 231 | 242 |
| Tf (°C) | 372 | 400 | 397 | 404 | |
| Tmax (°C) | 329 | 369 | 358 | 369 | |
| DTGmax (%/min) | 0.008 | 0.010 | 0.010 | 0.009 | |
| 2 | Ti (°C) | 801 | 860 | 854 | 861 |
| Tf (°C) | 922 | 979 | 976 | 983 | |
| Tmax (°C) | 879 | 935 | 921 | 922 | |
| DTGmax (%/min) | 0.003 | 0.002 | 0.002 | 0.001 |
| Samples | Models | Stage 1 | Stage 2 | ||||
|---|---|---|---|---|---|---|---|
| E (kJ/mol) | A (S−1) | R2 | E (kJ/mol) | A (S−1) | R2 | ||
| RWC | O1 | 72.73 | 1.37 × 106 | 0.996 | 107.42 | 1.29 × 108 | 0.975 |
| R2 | 64.17 | 4.40 × 104 | 0.989 | 94.81 | 2.13 × 107 | 1.000 | |
| R3 | 66.93 | 7.11 × 104 | 0.978 | 98.87 | 4.26 × 107 | 0.999 | |
| D1 | 122.11 | 1.35 × 1012 | 0.980 | 183.02 | 3.84 × 1016 | 0.996 | |
| D2 | 131.81 | 1.44 × 1013 | 0.988 | 197.35 | 8.72 × 1017 | 0.986 | |
| D3 | 142.97 | 3.89 × 1013 | 0.993 | 213.80 | 7.57 × 1017 | 0.997 | |
| D4 | 136.80 | 3.80 × 1012 | 0.990 | 207.64 | 8.45 × 1017 | 0.999 | |
| Average | 133.42 | 200.45 | |||||
| WCP | O1 | 89.99 | 8.26 × 108 | 0.975 | 94.81 | 7.15 × 105 | 0.982 |
| R2 | 79.78 | 1.32 × 107 | 0.999 | 83.62 | 9.72 × 103 | 0.990 | |
| R3 | 83.06 | 2.67 × 107 | 1.000 | 87.23 | 1.50 × 104 | 0.995 | |
| D1 | 150.83 | 4.21 × 1015 | 0.985 | 162.65 | 1.13 × 1011 | 0.986 | |
| D2 | 162.44 | 3.64 × 1016 | 0.993 | 175.37 | 5.59 × 1013 | 0.997 | |
| D3 | 175.76 | 9.01 × 1016 | 0.999 | 198.27 | 3.56 × 1014 | 0.996 | |
| D4 | 172.65 | 3.62 × 1016 | 0.998 | 196.77 | 2.75 × 1011 | 0.997 | |
| Average | 165.42 | 183.26 | |||||
| RCS | O1 | 89.76 | 8.23 × 105 | 1.000 | 127.71 | 5.73 × 107 | 0.997 |
| R2 | 79.53 | 2.89 × 104 | 0.971 | 112.84 | 1.33 × 106 | 0.991 | |
| R3 | 82.82 | 4.54 × 104 | 1.000 | 117.63 | 8.78 × 105 | 0.983 | |
| D1 | 150.22 | 1.58 × 1012 | 0.983 | 191.60 | 6.00 × 1014 | 0.994 | |
| D2 | 161.83 | 7.62 × 1011 | 0.997 | 203.50 | 3.37 × 1015 | 0.977 | |
| D3 | 175.17 | 2.73 × 1014 | 1.000 | 222.88 | 7.69 × 1017 | 0.994 | |
| D4 | 171.74 | 1.46 × 1012 | 0.998 | 220.79 | 2.91 × 1015 | 0.998 | |
| Average | 164.74 | 209.69 | |||||
| CSP | O1 | 93.50 | 4.82 × 106 | 0.979 | 125.32 | 3.31 × 106 | 0.996 |
| R2 | 82.78 | 5.75 × 104 | 0.986 | 110.74 | 1.32 × 105 | 0.998 | |
| R3 | 86.23 | 9.27 × 104 | 0.997 | 115.43 | 9.90 × 103 | 0.987 | |
| D1 | 156.31 | 5.47 × 1012 | 0.989 | 179.42 | 2.77 × 1011 | 0.995 | |
| D2 | 168.47 | 4.29 × 1014 | 0.994 | 195.99 | 1.74 × 1013 | 0.997 | |
| D3 | 182.45 | 3.12 × 1015 | 0.989 | 213.34 | 7.17 × 1014 | 0.985 | |
| D4 | 178.37 | 5.73 × 1012 | 0.996 | 207.64 | 7.82 × 1010 | 0.998 | |
| Average | 171.40 | 199.10 | |||||
Publisher’s Note: MDPI stays neutral with regard to jurisdictional claims in published maps and institutional affiliations. |
© 2022 by the authors. Licensee MDPI, Basel, Switzerland. This article is an open access article distributed under the terms and conditions of the Creative Commons Attribution (CC BY) license (https://creativecommons.org/licenses/by/4.0/).
Share and Cite
Wang, X.; Hu, Z.; Mian, I.; Dacres, O.D.; Li, J.; Wei, B.; Zhong, M.; Li, X.; Rahman, N.; Luo, G.; et al. Gasification Kinetics of Organic Solid Waste Pellets: Comparative Study Using Distributed Activation Energy Model and Coats–Redfern Method. Energies 2022, 15, 9575. https://doi.org/10.3390/en15249575
Wang X, Hu Z, Mian I, Dacres OD, Li J, Wei B, Zhong M, Li X, Rahman N, Luo G, et al. Gasification Kinetics of Organic Solid Waste Pellets: Comparative Study Using Distributed Activation Energy Model and Coats–Redfern Method. Energies. 2022; 15(24):9575. https://doi.org/10.3390/en15249575
Chicago/Turabian StyleWang, Xiangxi, Zhenzhong Hu, Inamullah Mian, Omar D. Dacres, Jian Li, Bo Wei, Mei Zhong, Xian Li, Noor Rahman, Guangqian Luo, and et al. 2022. "Gasification Kinetics of Organic Solid Waste Pellets: Comparative Study Using Distributed Activation Energy Model and Coats–Redfern Method" Energies 15, no. 24: 9575. https://doi.org/10.3390/en15249575
APA StyleWang, X., Hu, Z., Mian, I., Dacres, O. D., Li, J., Wei, B., Zhong, M., Li, X., Rahman, N., Luo, G., & Yao, H. (2022). Gasification Kinetics of Organic Solid Waste Pellets: Comparative Study Using Distributed Activation Energy Model and Coats–Redfern Method. Energies, 15(24), 9575. https://doi.org/10.3390/en15249575
