Applicability of Dynamic Inflow Models of HAWT in Yawed Flow Conditions
Abstract
1. Introduction
2. Description of Models
2.1. Engineering Models
2.1.1. Yaw Momentum Engineering Models
2.1.2. Dynamic Inflow Engineering Models
2.1.3. Coupling Yaw and Dynamic Inflow Engineering Models
- Modified Pitt–Peters’ dynamic inflow model:
- Modified ECN dynamic inflow model:
- Øye dynamic inflow model for yawed flow
- Yu dynamic inflow model for yawed flow
2.2. Vortex Models
Prescribed and Free Wake Vortex Models
2.3. 3-Dimensional Actuator Disc CFD Modeling
Convergence Study
2.4. Verification of Models
3. Case Studies
Operation Conditions
4. Results and Discussion
4.1. Induction Field with Constant Load
4.1.1. Case I: Non-Yawed Flow and Constant Load
4.1.2. Case II: Yawed Flow and Constant Load
4.2. Induction Field with Dynamic Load
4.2.1. Case III: Non-Yawed Flow and Dynamic Load
4.2.2. Case IV: Yawed Flow and Dynamic Load
4.3. Analysis of Step Responses for Yawed Flow
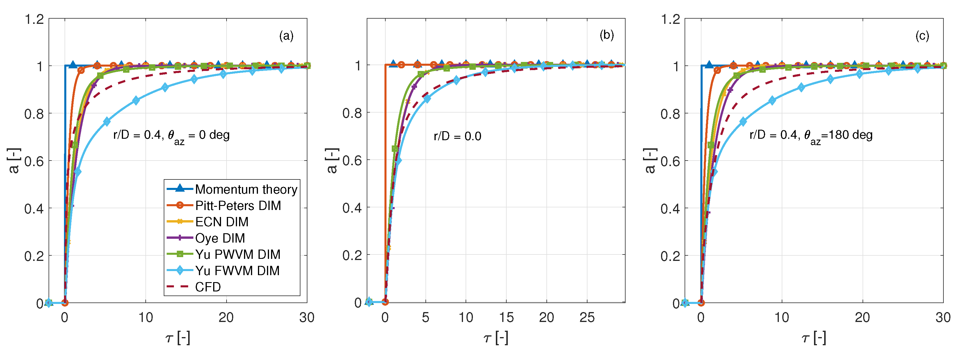
4.3.1. Azimuth and Yaw Angle Dependency
4.3.2. Radial Position Dependency
4.3.3. Thrust Coefficient Dependency
4.3.4. Normalized Induction Field from CFD Results and Modified Dynamic Inflow Models for Yawed Flow at Varying Time Step
5. Conclusions
Author Contributions
Funding
Data Availability Statement
Conflicts of Interest
Nomenclature
| Thrust coefficient [-] | |
| Yaw angle, azimuth angle [deg] | |
| Diameter of the actuator disc, radius of the actuator disc [m] | |
| Free stream wind velocity [m/s] | |
| Reduced frequency [-] | |
| (Cartesian coordinate) | x is on axial direction aligned with free stream velocity [m] |
| Induction factors on x axis, y axis, z axis and normal direction to the disc [-] | |
| Non-dimensionalized time [-] | |
| PWVM, FWVM | Prescribed wake vortex model, free wake vortex model |
| Øye YM | Øye’s yaw model |
| MT | Momentum theory |
| Pitt-Peters DIM | The Pitt–Peters’ dynamic inflow model |
| ECN DIM | The ECN dynamic inflow model |
| ye DIM | The Øye’s dynamic inflow model |
| Yu PWVM DIM | The Yu’s linear dynamic inflow model |
| Yu FWVM DIM | The Yu’s non-linear dynamic inflow model |
References
- Fleming, P.; Gebraad, P.M.; Lee, S.; van Wingerden, J.W.; Johnson, K.; Churchfield, M.; Michalakes, J.; Spalart, P.; Moriarty, P. Simulation comparison of wake mitigation control strategies for a two-turbine case. Wind Energy 2015, 18, 2135–2143. [Google Scholar] [CrossRef]
- Gebraad, P.M.; Teeuwisse, F.; van Wingerden, J.W.; Fleming, P.A.; Ruben, S.D.; Marden, J.R.; Pao, L.Y. A data-driven model for wind plant power optimization by yaw control. In Proceedings of the 2014 American Control Conference, Portland, OR, USA, 4–6 June 2014; pp. 3128–3134. [Google Scholar]
- Rak, B.P.; Pereira, R.S. Impact of the wake deficit model on wind farm yield: A study of yaw-based control optimization. J. Wind. Eng. Ind. Aerodyn. 2022, 220, 104827. [Google Scholar] [CrossRef]
- Wise, A.S.; Bachynski, E.E. Wake meandering effects on floating wind turbines. Wind Energy 2020, 23, 1266–1285. [Google Scholar] [CrossRef]
- Schepers, J. Engineering Models in Wind Energy Aerodynamics. Ph.D. Thesis, Aerospace Engineering, Delft University of Technology, Delft, The Netherlands, 2012. [Google Scholar]
- van Dijk, M.T.; van Wingerden, J.W.; Ashuri, T.; Li, Y.; Rotea, M.A. Yaw-misalignment and its impact on wind turbine loads and wind farm power output. In Proceedings of the Journal of Physics: Conference Series; IOP Publishing: Bristol, UK, 2016; Volume 753, p. 062013. [Google Scholar]
- Matha, D.; Sandner, F.; Schlipf, D. Efficient critical design load case identification for floating offshore wind turbines with a reduced nonlinear model. In Proceedings of the Journal of Physics: Conference Series; IOP Publishing: Bristol, UK, 2014; Volume 555, p. 012069. [Google Scholar]
- Hur, C.; Berdowski, T.; Simao Ferreira, C.; Boorsma, K.; Schepers, G. A review of momentum models for the actuator disk in yaw. In Proceedings of the AIAA Scitech 2019 Forum, San Diego, CA, USA, 7–11 January 2019; p. 1799. [Google Scholar]
- Rahimi, H.; Hartvelt, M.; Peinke, J.; Schepers, J. Investigation of the current yaw engineering models for simulation of wind turbines in BEM and comparison with CFD and experiment. In Proceedings of the Journal of Physics: Conference Series; IOP Publishing: Bristol, UK, 2016; Volume 753, p. 022016. [Google Scholar]
- Yu, W.; Tavernier, D.; Ferreira, C.; van Kuik, G.A.; Schepers, G. New dynamic-inflow engineering models based on linear and nonlinear actuator disc vortex models. Wind Energy 2019, 22, 1433–1450. [Google Scholar] [CrossRef]
- Berdowski, T. Three-Dimensional Free-Wake Vortex Simulations of an Actuator Disc in Yaw and Tilt. In Proceedings of the 2018 Wind Energy Symposium, Kissimmee, FL, USA, 8–12 January 2018; p. 0513. [Google Scholar]
- Pitt, D.M.; Peters, D.A. Theoretical prediction of dynamic-inflow derivatives. In Proceedings of the 6th European Rotorcraft and Powered Lift Aircraft Forum, Bristol, UK, 16–19 September 1980. [Google Scholar]
- Snel, H.; Schepers, J. Engineering moles for dynamic inflow phenomena. J. Wind. Eng. Ind. Aerodyn. 1992, 39, 267–281. [Google Scholar] [CrossRef]
- ye, S. A simple vortex model of a turbine rotor. In Proceedings of the Third IEA Symposium on the Aerodynamics of Wind Turbines, ETSU, Harwell, UK, 16–17 November 1989; pp. 1–4. [Google Scholar]
- Glauert, H. A General Theory of the Autogyro; HM Stationery Office: Richmond, UK, 1926; Volume 1111. [Google Scholar]
- Snel, H.; Schepers, J. Joint Investigation of Dynamic Inflow Effects and Implementation of an Engineering Method; Netherlands Energy Research Foundation: Petten, The Netherlands, 1995. [Google Scholar]
- Yu, W. The Wake of an Unsteady Actuator Disc. Ph.D. Thesis, Delft University of Technology, Delft, The Netherlands, 2018. [Google Scholar]
- Pirrung, G.R.; Madsen, H.A. Dynamic inflow effects in measurements and high-fidelity computations. Wind Energy Sci. 2018, 3, 545–551. [Google Scholar] [CrossRef]
- Glauert, H. The Analysis of Experimental Results in the Windmill Brake and Vortex Ring States of an Airscrew; HM Stationery Office: Richmond, UK, 1926. [Google Scholar]
- Sørensen, J.; Shen, W.; Munduate, X. Analysis of wake states by a full-field actuator disc model. Wind Energy Int. J. Prog. Appl. Wind. Power Convers. Technol. 1998, 1, 73–88. [Google Scholar] [CrossRef]
- Jiménez, Á.; Crespo, A.; Migoya, E. Application of a LES technique to characterize the wake deflection of a wind turbine in yaw. Wind Energy 2010, 13, 559–572. [Google Scholar] [CrossRef]
- Sørensen, J.N. General Momentum Theory for Horizontal Axis wind Turbines; Springer: Berlin/Heidelberg, Germany, 2016; Volume 4. [Google Scholar]
- Van Kuik, G.; Lignarolo, L. Potential flow solutions for energy extracting actuator disc flows. Wind Energy 2016, 19, 1391–1406. [Google Scholar] [CrossRef]

















| Case No. | CFD | Ratio Case 1/Case 8 | Momentum Theory | |||
|---|---|---|---|---|---|---|
| 1 | 120 | 38 | 1 milion | 0.3686 | 99.68% | 0.3675 |
| 2 | 160 | 38 | 1.5 milions | 0.3686 | 99.68% | 0.3675 |
| 3 | 160 | 80 | 6.6 milions | 0.3669 | 99.95% | 0.3675 |
| 4 | 400 | 80 | 15 milions | 0.3669 | 99.95% | 0.3675 |
| 5 | 400 | 150 | 27 milions | 0.3666 | 100.00% | 0.3675 |
| 6 | 400 | 200 | 34 milions | 0.3665 | 100.01% | 0.3675 |
| 7 | 600 | 200 | 50 milions | 0.3666 | 100.01% | 0.3675 |
| 8 | 800 | 200 | 67 milions | 0.3666 | 100.00% | 0.3675 |
| Case I | Case II | Case III | Case IV | |
|---|---|---|---|---|
| Base | 0.6 | |||
| Load type | Constant load | Step load ( = +0.1) | ||
| Yaw angle | 0 deg | 30 deg | 0 deg | 30 deg |
| Models | Øye yaw model (YM), PWVM, FWVM, CFD model | Pitt–Peters dynamic inflow model (DIM), ECN DIM, Øye’s DIM, Yu PWVM (linear) DIM, Yu FWVM (non-linear) DIM CFD model | ||
Publisher’s Note: MDPI stays neutral with regard to jurisdictional claims in published maps and institutional affiliations. |
© 2022 by the authors. Licensee MDPI, Basel, Switzerland. This article is an open access article distributed under the terms and conditions of the Creative Commons Attribution (CC BY) license (https://creativecommons.org/licenses/by/4.0/).
Share and Cite
Hur, C.; Ferreira, C.; Schepers, G. Applicability of Dynamic Inflow Models of HAWT in Yawed Flow Conditions. Energies 2022, 15, 9368. https://doi.org/10.3390/en15249368
Hur C, Ferreira C, Schepers G. Applicability of Dynamic Inflow Models of HAWT in Yawed Flow Conditions. Energies. 2022; 15(24):9368. https://doi.org/10.3390/en15249368
Chicago/Turabian StyleHur, Chihoon, Carlos Ferreira, and Gerard Schepers. 2022. "Applicability of Dynamic Inflow Models of HAWT in Yawed Flow Conditions" Energies 15, no. 24: 9368. https://doi.org/10.3390/en15249368
APA StyleHur, C., Ferreira, C., & Schepers, G. (2022). Applicability of Dynamic Inflow Models of HAWT in Yawed Flow Conditions. Energies, 15(24), 9368. https://doi.org/10.3390/en15249368

