Electric Vehicle Routing Problem with Simultaneous Pickup and Delivery: Mathematical Modeling and Adaptive Large Neighborhood Search Heuristic Method
Abstract
1. Introduction
- (1)
- A new mixed integer linear programming model for EVRPSPD-NL-LD is presented, in which (i) each customer has both pickup and delivery requests with time windows, (ii) the non-linear charging function is considered instead of a constant charging rate, and (iii) the power of EVs is discharged depending on not only the travel distance but also the weight of the current load.
- (2)
- We developed efficient metaheuristics, i.e., an ALNS with and without new operators, and a time priority method to solve EVRPSPD-NL-LD.
2. Literature Review
2.1. Vehicle-Routing Problem with Simultaneous Pickup and Delivery
2.2. Electric-Vehicle-Routing Problem with Simultaneous Pickup and Delivery
2.3. Elective-Vehicle-Routing Problem—Non-linear Charging and/or Load-Dependent Discharging
2.4. Solution Methodology
3. Mathematical Programming Model
3.1. Modeling of Battery-Charging Functions
3.2. Estimation of Power Required
3.3. Problem Description
3.4. Mathematical Formulation
- (1)
- A request, whether for pickup or delivery, is less than the capacity of an EV and can only be served once by one EV.
- (2)
- The speed of the homogeneous fleet of EVs is fixed.
- (3)
- EVs are allowed to arrive earlier than the time window, which means the EV will wait at the customer until the time window is met, but EVs cannot arrive later than the time window.
- (4)
- Each EV can only be used once under the limited cruising duration.
- (5)
- The CSs are homogeneous and can be visited multiple times.
- (6)
- Each EV must depart from the depot and eventually return to the depot.
4. Solution Method
4.1. ALNS Approach
4.1.1. Initial Solution

| Pseudocode 1: Check and Repair (Route) | |
| 1: If Route satisfies the constraints of load then | |
| 2: If Route satisfies the constraints of battery level then | |
| 3: If Route satisfies the constraints of time window then | |
| 4: Return True and f(Route) | |
| 5: Else | |
| 6: Return False | |
| 7: Else | |
| 8: Repair Route | |
| 9: If Route repaired satisfies the constraints of time window then | |
| 10: Return True and f(Route repaired) | |
| 11: Else | |
| 12: Return False | |
| 13: Else | |
| 14: Return False | |
| Note: f(Route) is a function that can calculate the time spent for a given route. | |
| Pseudocode 2: Initial Solution Generation | |
| 1: 2: 3: 4: 5: 6: 7: 8: 9: 10: 11: 12: 13: 14: 15: 16: | Initial CurrentRoute and BestTotalTime While is not empty do For EachRequest in do For EachPosition in position where it can be inserted in CurrentRoute then Insert EachRequest at EachPosition and obtain TempRoute Check TempRoute in Pseudocode 1 If TempRoute is feasible and f(TempRoute) < BestTotalTime then BestRoute TempRoute BestTotalTime f(TempRoute) If no request can be inserted to CurrentRoute then InitialSolution append CurrentRoute Add another initialized Route CurrentRoute Route Else Remove request inserted in BestRoute from CurrentRoute BestRoute |
4.1.2. ALNS Procedure
4.2. Operators
- (1)
- Shaw Removal Operator: is changed as follows: if request i and request j belong to the same customer,; otherwise, . If request , ; otherwise, . Where , , , and are the weights, = −1 if request i and j are in the same route, and 1 otherwise.
- (2)
- Waiting Time Removal Operator: The waiting time cost at each request is calculated by the following equations:where represents the cost of removing request i. The operator removes the request with the th largest cost where is a random number and is a random parameter introduced to avoid repeated selection of the same request.
- (3)
- Waiting Time Insertion Operator: The operator traverses all possible insertion positions of the requirement one by one and selects the position with the least increased waiting time as the insertion position to construct a new solution. Equation (48) calculates the increased waiting time:where , , and represent the travel time, service time, and charging time of the new route, respectively, and , , and represent the travel time, service time, and charging time of the current route, respectively.Note that two or more CSs are likely to be removed in the SR operation. Thus, there is great potential that a destroyed solution will be feasible by inserting multi-stations instead of only one station. We proposed the multi-insertion of a station to repair the solution in a relatively efficient way, while in the literature, only one or two CSs could be accessed in a route [30,31].
- (4)
- Greedy Station Insertion Operator: We demonstrated that when the route is determined, the charge of the EV is determined in Proposition 2. The GSI is provided in Pseudocode 3.
| Pseudocode 3: Greedy Station Insertion (Route, Rank) | |
| 1: Global FeasibleRoute | |
| 2: Find position j where the battery level is negative and first appeared in Route | |
| 3: For i in range (Rank, j) do | |
| 4: For CS in CSs do | |
| 5: Get TempRoute by inserting CS into position i in Route | |
| 6: If TempRoute is feasible then | |
| 7: FeasibleRoute append TempRoute | |
| 8: Else if TempRoute is still infeasible with battery level then | |
| 9: Run Greedy Station Insertion (TempRoute, i) in given maximum recursive depth | |
| 10: Select the Route with least time spent among FeasibleRoute | |
| Notes: Because the maximum number of removed stations in SR does not exceed 4, the maximum recursive depth we adopted is no more than 4. The parameter of rank is generally assigned 1 when it is called for the first time. | |
5. Numerical Experiments
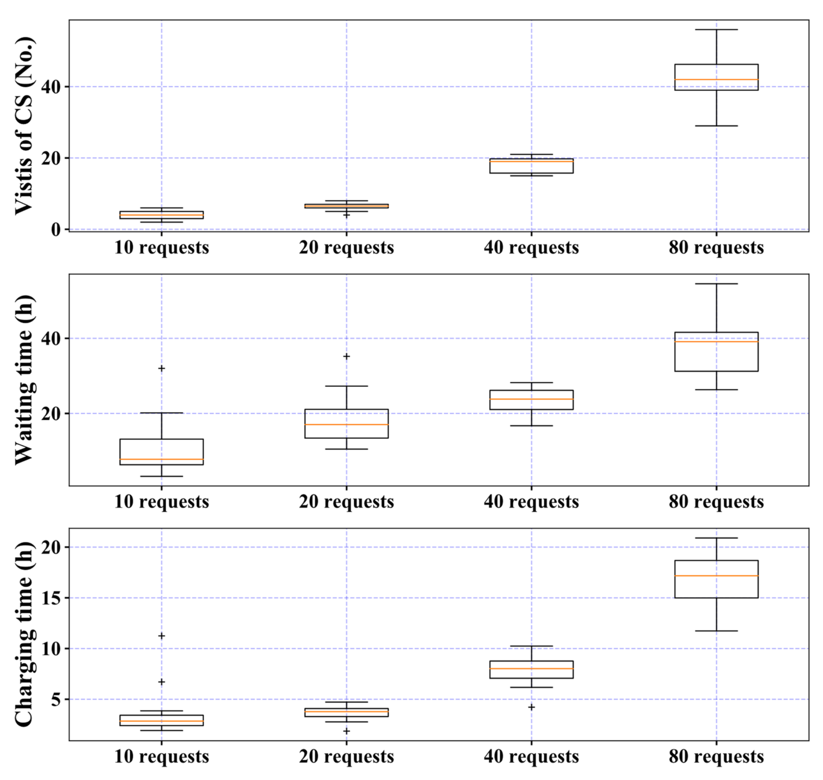
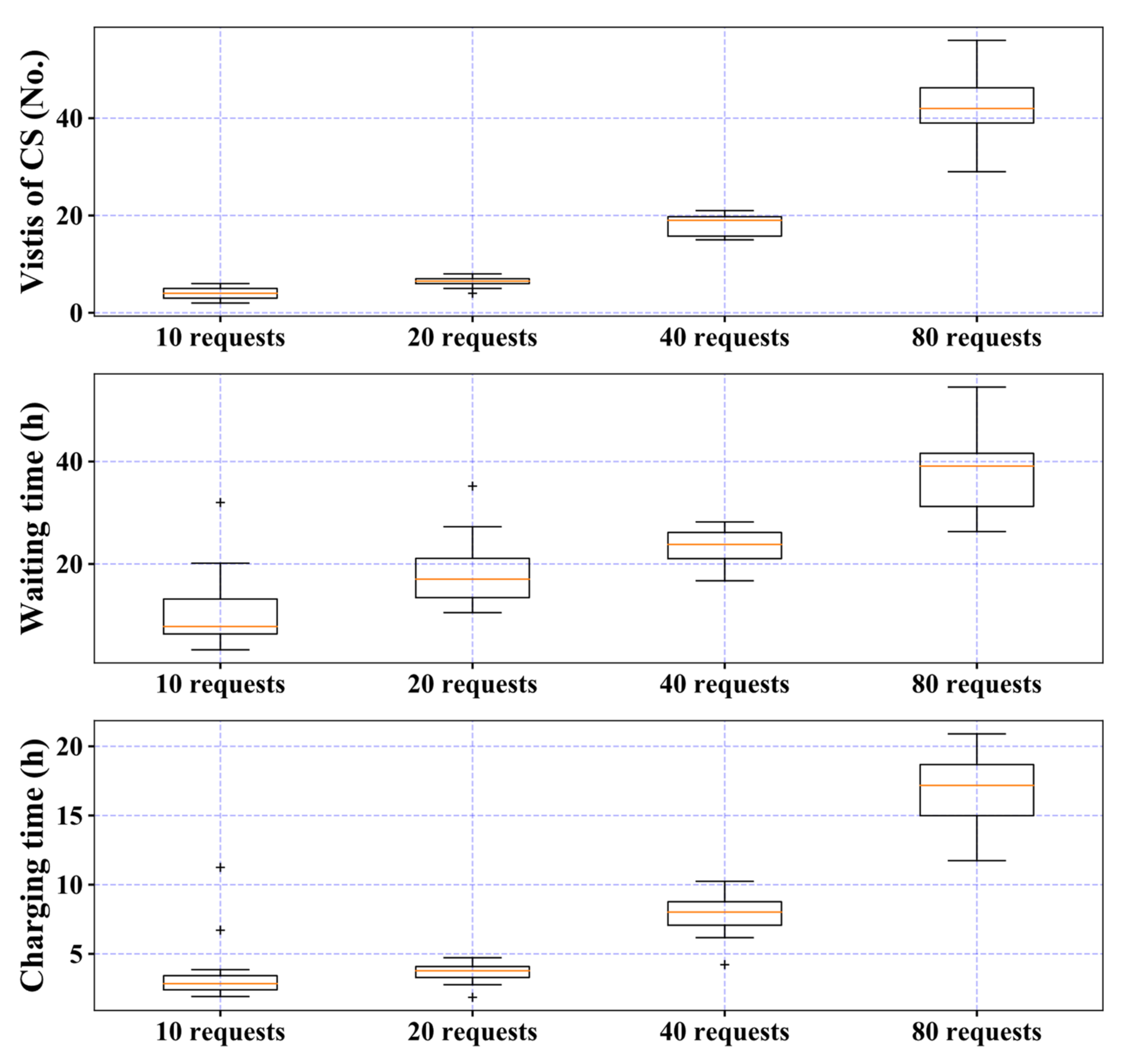
5.1. Data Preparation
5.2. Comparison of CPLEX and the ALNS Heuristic Method
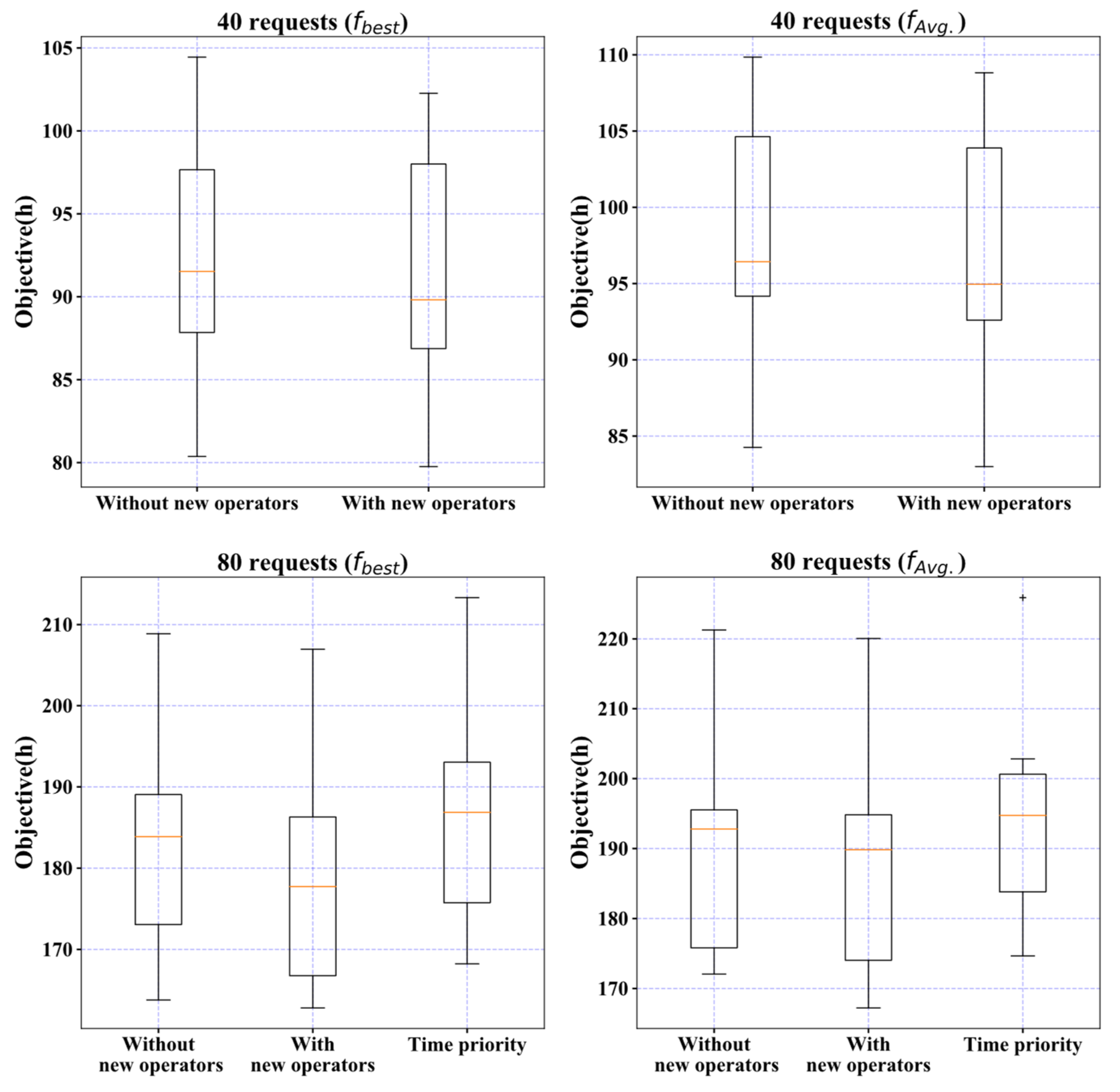
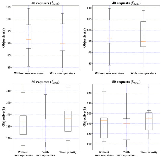
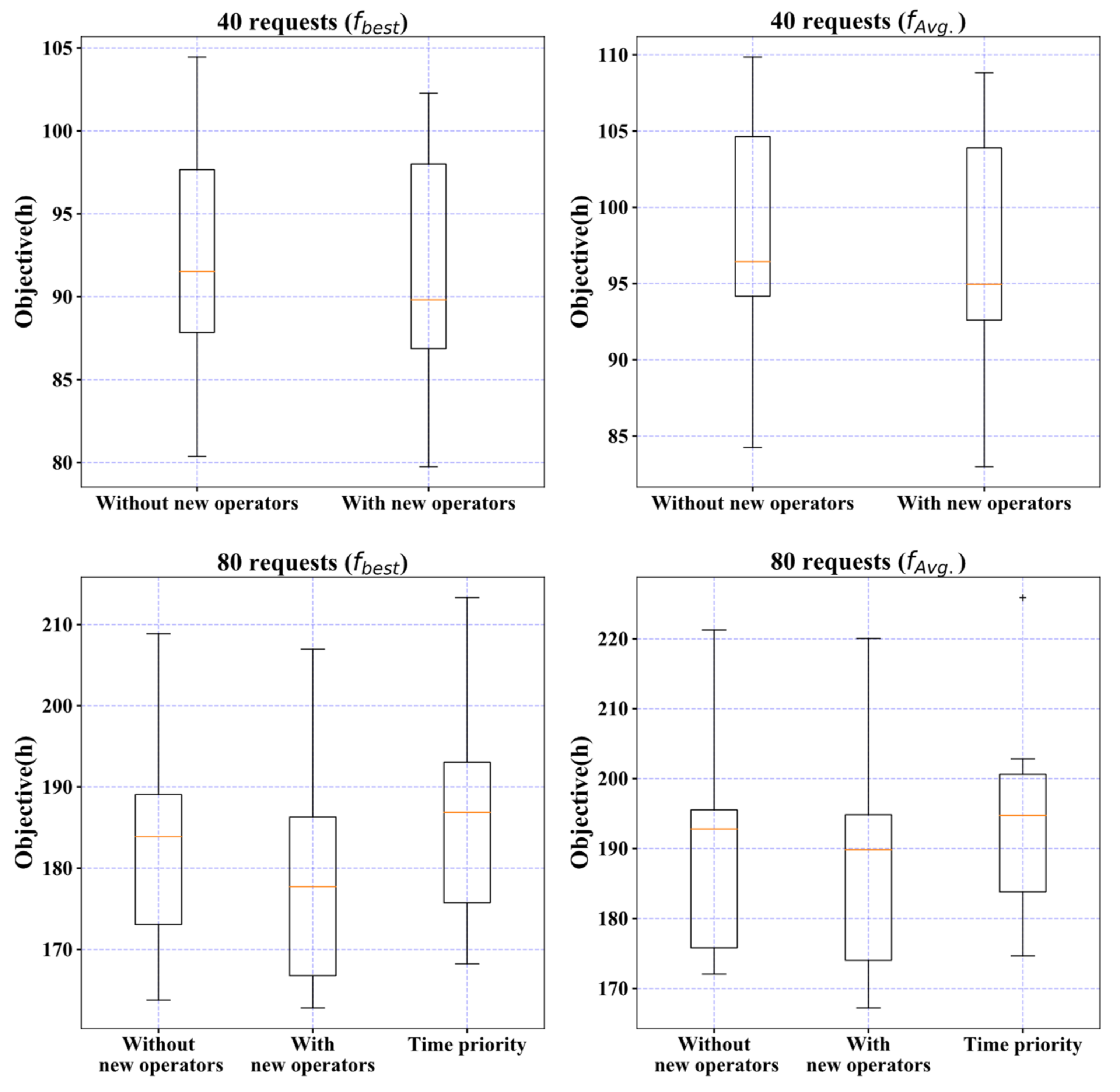
5.3. ALNS with/without New Operators and the Time Priority Approach
5.4. Sensitivity Analysis
6. Conclusions
Author Contributions
Funding
Data Availability Statement
Conflicts of Interest
References
- Wang, Z.; Ching, T.W.; Huang, S.; Wang, H.; Xu, T. Challenges faced by electric vehicle motors and their solutions. IEEE Access 2021, 9, 5228–5249. [Google Scholar] [CrossRef]
- United Nations Environment Programme. Emissions Gap Report 2021: The Heat Is On—A World of Climate Promises Not Yet Delivered; United Nations Digital Library: Nairobi, Kenya, 2021; pp. 38–43. Available online: https://www.unep.org/resources/emissions-gap-report-2021 (accessed on 20 February 2022).
- Montoya, A.; Guéret, C.; Mendoza, J.E.; Villegas, J.G. The electric vehicle routing problem with nonlinear charging function. Transp. Res. Part B Methodol. 2017, 103, 87–110. [Google Scholar] [CrossRef]
- Min, H. The multiple vehicle routing problem with simultaneous delivery and pick-up points. Transp. Res. Part A Gen. 1989, 23, 377–386. [Google Scholar] [CrossRef]
- Froger, A.; Mendoza, J.E.; Jabali, O.; Laporte, G. Improved formulations and algorithmic components for the electric vehicle routing problem with nonlinear charging functions. Comput. Oper. Res. 2019, 104, 256–294. [Google Scholar] [CrossRef]
- Koyuncu, I.; Yavuz, M. Duplicating nodes or arcs in green vehicle routing: A computational comparison of two formulations. Transp. Res. Part E Logist. Transp. Rev. 2019, 122, 605–623. [Google Scholar] [CrossRef]
- Parragh, S.N.; Doerner, K.F.; Hartl, R.F. A survey on pickup and delivery models part ii: Transportation between pickup and delivery locations. J. Für Betr. 2008, 58, 81–117. [Google Scholar] [CrossRef]
- Zachariadis, E.E.; Kiranoudis, C.T. A local search metaheuristic algorithm for the vehicle routing problem with simultaneous pick-ups and deliveries. Expert Syst. Appl. 2011, 38, 2717–2726. [Google Scholar] [CrossRef]
- Olgun, B.; Koç, Ç.; Altıparmak, F. A hyper heuristic for the green vehicle routing problem with simultaneous pickup and delivery. Comput. Ind. Eng. 2021, 153, 107010. [Google Scholar] [CrossRef]
- Yu, V.F.; Susanto, H.; Yeh, Y.-H.; Lin, S.-W.; Huang, Y.-T. The Vehicle Routing Problem with Simultaneous Pickup and Delivery and Parcel Lockers. Mathematics 2022, 10, 920. [Google Scholar] [CrossRef]
- Subramanian, A.; Drummond, L.M.A.; Bentes, C.; Ochi, L.S.; Farias, R. A parallel heuristic for the vehicle routing problem with simultaneous pickup and delivery. Comput. Oper. Res. 2010, 37, 1899–1911. [Google Scholar] [CrossRef]
- Montané, F.A.T.; Galvao, R.D. A tabu search algorithm for the vehicle routing problem with simultaneous pick-up and delivery service. Comput. Oper. Res. 2006, 33, 595–619. [Google Scholar] [CrossRef]
- Zhou, H.; Qin, H.; Zhang, Z.; Li, J. Two-echelon vehicle routing problem with time windows and simultaneous pickup and delivery. Soft Comput. 2022, 26, 3345–3360. [Google Scholar] [CrossRef]
- Goeke, D. Granular tabu search for the pickup and delivery problem with time windows and electric vehicles. Eur. J. Oper. Res. 2019, 278, 821–836. [Google Scholar] [CrossRef]
- Soysal, M.; Çimen, M.; Belbağ, S. Pickup and delivery with electric vehicles under stochastic battery depletion. Comput. Ind. Eng. 2020, 146, 106512. [Google Scholar] [CrossRef]
- Yilmaz, Y.; Kalayci, C.B. Variable Neighborhood Search Algorithms to Solve the Electric Vehicle Routing Problem with Simultaneous Pickup and Delivery. Mathematics 2022, 10, 3108. [Google Scholar] [CrossRef]
- Löffler, M.; Desaulniers, G.; Irnich, S.; Schneider, M. Routing electric vehicles with a single recharge per route. Networks 2020, 76, 187–205. [Google Scholar] [CrossRef]
- Schiffer, M.; Walther, G. The electric location routing problem with time windows and partial recharging. Eur. J. Oper. Res. 2017, 260, 995–1013. [Google Scholar] [CrossRef]
- Bruglieri, M.; Pezzella, F.; Pisacane, O.; Suraci, S. A matheuristic for the electric vehicle routing problem with time windows. arXiv 2015, arXiv:1506.00211. [Google Scholar] [CrossRef]
- Desaulniers, G.; Errico, F.; Irnich, S.; Schneider, M. Exact algorithms for electric vehicle-routing problems with time windows. Oper. Res. 2016, 64, 1388–1405. [Google Scholar] [CrossRef]
- Felipe, Á.; Ortuño, M.T.; Righini, G.; Tirado, G. A heuristic approach for the green vehicle routing problem with multiple technologies and partial recharges. Transp. Res. Part E Logist. Transp. Rev. 2014, 71, 111–128. [Google Scholar] [CrossRef]
- Kancharla, S.R.; Ramadurai, G. Electric vehicle routing problem with non-linear charging and load-dependent discharging. Expert Syst. Appl. 2020, 160, 113714. [Google Scholar] [CrossRef]
- Lee, C. An exact algorithm for the electric-vehicle routing problem with nonlinear charging time. J. Oper. Res. Soc. 2021, 72, 1461–1485. [Google Scholar] [CrossRef]
- Zuo, X.; Xiao, Y.; You, M.; Kaku, I.; Xu, Y. A new formulation of the electric vehicle routing problem with time windows considering concave nonlinear charging function. J. Clean. Prod. 2019, 236, 117687. [Google Scholar] [CrossRef]
- Froger, A.; Mendoza, J.E.; Laporte, G.; Jabali, O. New Formulations for the Electric Vehicle Routing Problem with Nonlinear Charging Functions. 2017. hal-01559507. Available online: https://hal.archives-ouvertes.fr/hal-01559507 (accessed on 6 November 2020).
- Shao, S.; Guan, W.; Bi, J. Electric vehicle-routing problem with charging demands and energy consumption. IET Intell. Transp. Syst. 2018, 12, 202–212. [Google Scholar] [CrossRef]
- Kancharla, S.R.; Ramadurai, G. An adaptive large neighborhood search approach for electric vehicle routing with load-dependent energy consumption. Transp. Dev. Econ. 2018, 4, 10. [Google Scholar] [CrossRef]
- Zhang, S.; Gajpal, Y.; Appadoo, S.S.; Abdulkader, M.M.S. Electric vehicle routing problem with recharging stations for minimizing energy consumption. Int. J. Prod. Econ. 2018, 203, 404–413. [Google Scholar] [CrossRef]
- Basso, R.; Kulcsár, B.; Egardt, B.; Lindroth, P.; Sanchez-Diaz, I. Energy consumption estimation integrated into the Electric Vehicle Routing Problem. Transp. Res. Part D Transp. Environ. 2019, 69, 141–167. [Google Scholar] [CrossRef]
- Schneider, M.; Stenger, A.; Goeke, D. The electric vehicle-routing problem with time windows and recharging stations. Transp. Sci. 2014, 48, 500–520. [Google Scholar] [CrossRef]
- Keskin, M.; Çatay, B. Partial recharge strategies for the electric vehicle routing problem with time windows. Transp. Res. Part C Emerg. Technol. 2016, 65, 111–127. [Google Scholar] [CrossRef]
- Verma, A. Electric vehicle routing problem with time windows, recharging stations and battery swapping stations. EURO J. Transp. Logist. 2018, 7, 415–451. [Google Scholar] [CrossRef]
- Koç, Ç.; Jabali, O.; Mendoza, J.E.; Laporte, G. The electric vehicle routing problem with shared charging stations. Int. Trans. Oper. Res. 2019, 26, 1211–1243. [Google Scholar] [CrossRef]
- Zang, Y.; Wang, M.; Qi, M. A column generation tailored to electric vehicle routing problem with nonlinear battery depreciation. Comput. Oper. Res. 2022, 137, 105527. [Google Scholar] [CrossRef]
- Kyriakakis, N.A.; Sevastopoulos, I.; Marinaki, M.; Marinakis, Y. A hybrid Tabu search—Variable neighborhood descent algorithm for the cumulative capacitated vehicle routing problem with time windows in humanitarian applications. Comput. Ind. Eng. 2022, 164, 107868. [Google Scholar] [CrossRef]
- Barth, M.; Boriboonsomsin, K. Energy and emissions impacts of a freeway-based dynamic eco-driving system. Transp. Res. Part D Transp. Environ. 2009, 14, 400–410. [Google Scholar] [CrossRef]
- Koç, Ç.; Karaoglan, I. The green vehicle routing problem: A heuristic based exact solution approach. Appl. Soft Comput. 2016, 39, 154–164. [Google Scholar] [CrossRef]
- Ropke, S.; Pisinger, D. An adaptive large neighborhood search heuristic for the pickup and delivery problem with time windows. Transp. Sci. 2006, 40, 455–472. [Google Scholar] [CrossRef]
- Xu, W. Electric Vehicle Routing with Soft Time Windows. In Proceedings of the 22nd COTA International Conference of Transportation, Changsha, China, 8–11 July 2022; pp. 2516–2525. [Google Scholar] [CrossRef]









| Literature | Problem | Solution Methodology |
|---|---|---|
| Schneider et al. (2014) [30] | EVRP with time windows (EVRPTW) | Tabu search |
| Keskin and Çatay (2016) [31] | EVRPTW with partial recharge (EVRPTW-PR) | Adaptive large neighborhood search algorithm |
| Shao et al. (2017) [26] | Green-vehicle-routing problem with simultaneous pickup and delivery (G-VRPSPD) | Hyper-genetic algorithm |
| Kancharla and Ramadurai (2018) [27] | EVRP with load-dependent discharging (EVRP-LD) | Adaptive large neighborhood search algorithm |
| Verma (2018) [32] | EVRP with time windows, recharging stations and battery-swapping stations (EVRP-RS-BS-SS) | Genetic algorithm |
| Zhang et al. (2018) [28] | EVRP with recharging stations (EVRP-RS) | Ant colony |
| Koç et al. (2019) [33] | EVRP with shared charging stations | Adaptive large neighborhood search algorithm |
| Basso et al. (2019) [29] | EVRP with energy consumption | Linear programming solver, Bellman–Ford algorithm |
| Goeke (2019) [14] | Pickup and delivery problem with time windows (EV-PDPTW) | Granular tabu search |
| Kancharla and Ramadurai (2020) [22] | EVRP with non-linear charging and load-dependent discharging (EVRP-NL-LD) | Adaptive large neighborhood search algorithm |
| Löffler et al. (2020) [17] | EVRP with a single recharge (EVRP-SR) | Tabu search |
| Olgun et al. (2021) [9] | Green-vehicle-routing problem with simultaneous pickup and delivery (G-VRPSPD) | Iterative local search and variable neighborhood descent heuristics |
| Lee (2021) [23] | EVRP with load-dependent energy consumption (EVRP-LD) | Branch and price |
| Zang et al. (2022) [34] | EVRPTW with non-linear battery depreciation | Column generation |
| Kyriakakis et al. (2022) [35] | Capacitated-vehicle-routing problem with time windows (CVRPTW) | Hybrid tabu search and variable neighborhood descent algorithm |
| Yilmaz and Kalayci (2022) [16] | EVRP with simultaneous pickup and delivery (EVRPSPD) | Variable neighborhood search |
| Parameter | Description | Parameter | Description |
|---|---|---|---|
| Speed (m/s) | Air density (kg/m3) | ||
| Acceleration (m/s2) | Frontal surface area (m2) | ||
| Gross vehicle weight (kg) | Coefficient of aerodynamic drag | ||
| Gravitational constant (m/s2) | Coefficient of rolling resistance | ||
| Longitudinal gradient of road | Vehicle drive train efficiency |
| Customer | 1 | 2 | 3 | 4 | 5 |
|---|---|---|---|---|---|
| Time window for pickup | [9.8, 10.3] | [9.4, 10.3] | [12.9, 13.5] | [4.0, 4.8] | [11.8, 12.6] |
| Time window for delivery | [7.6, 8.3] | [6.9, 7.9] | [5.8, 6.7] | [6.2, 6.8] | [1.5, 2.3] |
| Pickup (kg) | 224 | 83 | 193 | 148 | 143 |
| Delivery (kg) | 219 | 101 | 136 | 141 | 208 |
| Vehicle | Route |
|---|---|
| Vehicle 1 | 0—2 (pickup and delivery)—5 (pickup)—0 |
| Vehicle 2 | 0—1 (delivery)—7 (charging)—0 |
| Vehicle 3 | 0—5 (delivery)—6 (charging)—4 (delivery)—3 (pickup and delivery)—0 |
| Vehicle 4 | 0—4 (pickup)—6 (charging)—1 (pickup)—7 (charging)—0 |
| Vehicle | Route |
|---|---|
| Vehicle 1 | 0—5 (delivery)—2 (pickup and delivery)—5 (pickup)—0 |
| Vehicle 2 | 0—6 (charging)—4 (pickup and delivery)—0 |
| Vehicle 3 | 0—6 (charging)—3 (delivery)—1 (pickup and delivery)—7 (charging)—3 (pickup)—0 |
| Parameter | Description |
|---|---|
| Total number of customers | |
| Set of requests, | |
| Set of pickup vertices, | |
| Set of delivery vertices, | |
| Set of charging stations, | |
| Set of charging stations and their copies, | |
| Depot | |
| Set of arc , | |
| Distance between vertices and , (km) | |
| Travel time between vertices and , (h) | |
| Request of pickup for customer , (kg) | |
| Request of delivery for customer , (kg) | |
| Vehicle capacity (kg) | |
| Battery capacity (kwh) | |
| Set of the breakpoints in charging function, | |
| Time at breakpoint , (h) | |
| Battery level at breakpoint (kwh), | |
| Time window of vertex , , where and is the maximum duration of process | |
| Service time for vertex , where (h) | |
| Set of vehicles, | |
| Consumption rate with zero load | |
| When the load increases by 1 kg, the consumption rate increases | |
| Weight of vehicle (kg) | |
| A sufficiently large coefficient |
| Variable | Description |
|---|---|
| =1, if arc is traveled, otherwise 0 | |
| Load of EV when departing from node | |
| Load of EV when departing from depot to route | |
| , if node is in route , | |
| Arrival time of EV at node , | |
| Waiting time before arriving at node | |
| Remaining battery capacity on arrival at node , | |
| / | Remaining battery capacity on arrival/departure at charging station |
| / | Time required to charge to / |
| Charging time at charging station | |
| / | Auxiliary binary variable used to determine whether the arrival/departure power level is between breakpoint and breakpoint in the piecewise linear approximation at CS , |
| / | Auxiliary variable to enable the expression of / as a convex combination of the breakpoints |
| Operation | Node | Operator | Description |
|---|---|---|---|
| Removal | Request (RR) | Random | The operator randomly chooses requests and removes them from the routes. |
| Worst-Distance | The operator removes the request that increases the largest total distance. | ||
| Worst-time | The operator removes the request with the highest difference between the arrival time of the EV and the earliest allowed arrival time. | ||
| Shaw | The operator removes the request with high similarity. | ||
| Proximity | The operator removes the request with high distance similarity. | ||
| Time-based | The operator removes the request with a high similarity of arrival time. | ||
| Demand | The operator removes the request with a high similarity of cargo weight. | ||
| Zone | The operator removes all requests in a random area. | ||
| Waiting time | The operator removes the request that most increased the waiting time. | ||
| Station (SR) | Random | The operator randomly removes the CSs from the routes. | |
| Worst-Distance | The operator removes the CS that most increased the total distance. | ||
| Worst-Charge Usage | The operator removes the CSs where the EV arrives with the maximum battery level. | ||
| Full Charge | The operator removes the CSs where the EV is fully charged. | ||
| Route (RR’) | Random route removal (RRR) | The operator randomly chooses a route and removes all the nodes visited in that route. | |
| Greedy route removal (GRR) | The routes are sorted in non-decreasing order of the number of customers serviced, and the routes ranked first are removed. | ||
| Insertion | Request (RI) | Greedy | The operator selects the best insertion position with the minimum total time. |
| Regret-k | The operator calculates the difference between the total working time of the first and the kth-best insertion of the request and inserts the request with the largest difference to its optimal position. | ||
| Waiting time | The operator inserts the request into the position with the least waiting time. | ||
| Station (SI) | Greedy station insertion (GSI) | The operator insert a CS between the given starting position and the negative power position and chooses the position that requires the least time. |
| Type | Coordinate (km) | Request of Pickup (kg) | Request of Delivery (kg) | Time Window of Pickup (h) | Time Window of Delivery (h) | Service Time (h) |
|---|---|---|---|---|---|---|
| Depot | (0, 0) | 0 | 0 | [0, 15] | [0, 15] | 0 |
| Customer | (12.44, 47.61) | 84 | 57 | [2.1, 2.67] | [4.59, 5.44] | 0.16 |
| Customer | (108.2, 93.64) | 65 | 153 | [12.64, 13.17] | [6.31, 6.87] | 0.16 |
| Customer | (58.51, 24.22) | 180 | 249 | [11.07, 11.9] | [8.85, 9.49] | 0.16 |
| Customer | (116.26, 13.76) | 135 | 147 | [3.79, 4.3] | [4.11, 4.77] | 0.16 |
| Customer | (113.56, 85.73) | 233 | 213 | [5.52, 6.22] | [9.33, 9.91] | 0.16 |
| Customer | (5.09, 69.91) | 60 | 111 | [1.76, 2.27] | [6.37, 7.29] | 0.16 |
| Customer | (89.27, 58.94) | 85 | 165 | [2.98, 3.89] | [2.46, 3.09] | 0.16 |
| Customer | (78.54, 57.16) | 87 | 236 | [4.51, 5.22] | [1.93, 2.91] | 0.16 |
| Customer | (111.56, 51.2) | 238 | 234 | [4.77, 5.33] | [2.34, 3.34] | 0.16 |
| Customer | (11.05, 72.52) | 167 | 106 | [10.12, 10.81] | [13.3, 14.17] | 0.16 |
| Station | (93.39, 10.8) | 0 | 0 | [0, 15] | [0, 15] | 0 |
| Station | (8.9, 10.98) | 0 | 0 | [0, 15] | [0, 15] | 0 |
| Instance | CPLEX | ALNS | |||||||
|---|---|---|---|---|---|---|---|---|---|
| Time (s) | TimeAvg. (s) | ||||||||
| R01r10s2 | 3 | 38.95 | 323 | 3 | 38.95 | 15 | 0 | 38.95 | 0 |
| R02r10s2 | 3 | 38.35 | 1200 | 3 | 38.35 | 18 | 0 | 38.35 | 0 |
| R01r10s3 | 3 | 33.7 | 1200 | 3 | 33.4 | 89 | −0.9% | 33.4 | 0 |
| R02r10s3 | 4 | 52.48 | 1200 | 4 | 52.48 | 31 | 0 | 52.48 | 0 |
| C01r10s2 | 2 | 25.71 | 1200 | 2 | 25.56 | 20 | 0 | 25.56 | 0 |
| C02r10s2 | 4 | 44.12 | 1200 | 4 | 44.12 | 36 | 0 | 44.12 | 0 |
| C03r10s2 | 2 | 22.8 | 1200 | 2 | 22.8 | 17 | 0 | 22.8 | 0 |
| C04r10s2 | 3 | 33.53 | 1200 | 3 | 33.13 | 35 | −1.2% | 33.13 | 0 |
| C05r10s2 | 3 | 36.37 | 651 | 3 | 36.37 | 31 | 0 | 36.37 | 0 |
| C01r10s3 | 3 | 25.17 | 1200 | 2 | 25.17 | 17 | 0 | 25.17 | 0 |
| C02r10s3 | 3 | 31.71 | 1200 | 3 | 31.71 | 81 | 0 | 31.71 | 0 |
| C03r10s3 | 2 | 23.8 | 1200 | 2 | 23.8 | 42 | 0 | 23.8 | 0 |
| C04r10s3 | 3 | 30.8 | 1200 | 3 | 30.77 | 83 | −0.1% | 30.77 | 0 |
| C05r10s3 | 3 | 41.63 | 840 | 3 | 41.63 | 78 | 0 | 41.63 | 0 |
| RC01r10s3 | 2 | 22.15 | 1200 | 2 | 22.15 | 19 | 0 | 22.15 | 0 |
| RC02r10s3 | 2 | 24.43 | 1200 | 2 | 24.43 | 65 | 0 | 24.43 | 0 |
| R01r20s2 | 6 | 58.63 | 3600 | 6 | 58.63 | 93 | 0 | 59.5 | 1.5% |
| R02r20s2 | 4 | 47.27 | 3600 | 4 | 47.27 | 76 | 0 | 48.57 | 2.7% |
| R01r20s3 | 5 | 59.9 | 3600 | 5 | 59.9 | 207 | 0 | 61.45 | 2.5% |
| R02r20s3 | 5 | 46.93 | 3600 | 4 | 43.48 | 225 | −7.9% | 45.54 | 4.5% |
| C01r20s2 | 4 | 44.85 | 3600 | 4 | 42.24 | 60 | −5.9% | 43.16 | 2.1% |
| C02r20s2 | 6 | 70.6 | 3600 | 4 | 51.13 | 72 | −38.1% | 55.68 | 8.2% |
| C03r20s2 | 5 | 55.37 | 3600 | 5 | 48.5 | 82 | −14.2% | 49.94 | 2.9% |
| C04r20s2 | 4 | 42.78 | 3600 | 4 | 42.78 | 61 | 0 | 46.67 | 8.3% |
| C01r20s3 | 6 | 61.43 | 3600 | 5 | 55.04 | 108 | −11.6% | 56.3 | 2.2% |
| C02r20s3 | 4 | 41.61 | 3600 | 4 | 40.04 | 123 | −3.9% | 42.9 | 6.7% |
| C03r20s3 | 4 | 45.8 | 3600 | 4 | 45.65 | 91 | −0.3% | 46.59 | 2.0% |
| C04r20s3 | 4 | 48.55 | 3600 | 4 | 47.77 | 140 | −1.6% | 48.6 | 1.7% |
| RC01r20s3 | 4 | 50.68 | 3600 | 4 | 50.68 | 46 | 0 | 52.1 | 2.7% |
| RC02r20s3 | 3 | 38.05 | 3600 | 3 | 37.31 | 145 | −2.0% | 37.71 | 1.1% |
| Avg. | - | - | - | - | - | 73.53 | −2.92% | - | 1.6% |
| Instance | CPLEX | ALNS | |||||||||||||
|---|---|---|---|---|---|---|---|---|---|---|---|---|---|---|---|
| Without New Operators | With New Operators | ||||||||||||||
| Time (s) | TimeAvg. (s) | TimeAvg. (s) | |||||||||||||
| R01r40s3 | N/A | N/A | 3600 | 9 | 9.2 | 99.43 | 106.1 | 157 | 9 | 9.1 | 99.71 | 0.3% | 105.78 | 5.7% | 141 |
| R02r40s3 | N/A | N/A | 3600 | 9 | 9.6 | 101.19 | 107.28 | 221 | 9 | 9.5 | 99.85 | −1.3% | 108.82 | 8.2% | 171 |
| R01r40s4 | N/A | N/A | 3600 | 8 | 8.8 | 104.45 | 109.85 | 455 | 8 | 8.4 | 102.27 | −2.1% | 106.85 | 4.3% | 401 |
| R02r40s4 | N/A | N/A | 3600 | 7 | 7.8 | 86.05 | 94.69 | 161 | 7 | 7.5 | 86.66 | 0.7% | 92.45 | 6.3% | 255 |
| C01r40s3 | N/A | N/A | 3600 | 8 | 8.3 | 91.56 | 96.89 | 101 | 8 | 8.1 | 90.91 | −0.7% | 96.26 | 5.6% | 103 |
| C02r40s3 | N/A | N/A | 3600 | 7 | 8 | 88.8 | 94.23 | 169 | 7 | 7.9 | 88.72 | −0.1% | 93.65 | 5.2% | 151 |
| C03r40s3 | N/A | N/A | 3600 | 8 | 8.2 | 91.5 | 95.98 | 114 | 7 | 8.1 | 86.33 | −6.0% | 93.05 | 7.2% | 113 |
| C03r40s3 | 19 | 205.37 | 3600 | 7 | 7.3 | 87.53 | 91.2 | 126 | 7 | 7.3 | 87.52 | −0.0% | 90.64 | 3.4% | 170 |
| C05r40s3 | N/A | N/A | 3600 | 8 | 8 | 80.37 | 84.26 | 101 | 8 | 8 | 79.76 | −0.8% | 83 | 3.9% | 109 |
| C06r40s3 | N/A | N/A | 3600 | 8 | 8.7 | 92.35 | 100.24 | 54 | 8 | 8.4 | 92.89 | 0.6% | 98.23 | 5.4% | 78 |
| Avg. | - | - | - | - | - | - | - | 165.9 | - | - | - | −0.9% | - | 5.5% | 169.2 |
| Instance | ALNS | ||||||||||||||||||
|---|---|---|---|---|---|---|---|---|---|---|---|---|---|---|---|---|---|---|---|
| Without New Operators | With New Operators | Time Priority Approach | |||||||||||||||||
| TimeAvg. (s) | TimeAvg. (s) (IV) | TimeAvg. (s) (VI) | |||||||||||||||||
| R01r80s5 | 16 | 16.9 | 193 | 197.18 | 294 | 16 | 16.5 | 186.75 | −3.3% | 196.18 | 4.8% | 324 | 16 | 17.5 | 194.15 | 3.8% | 202.82 | 33 | 89.8% |
| R02r80s5 | 15 | 15.3 | 173.27 | 181.37 | 793 | 14 | 15.1 | 173.71 | 0.3% | 180.77 | 3.9% | 713 | 14 | 15 | 178.91 | 2.9% | 187.32 | 47 | 93.4% |
| R03r80s5 | 16 | 16.4 | 183.5 | 191.58 | 439 | 16 | 16.5 | 178.46 | −2.8% | 190.22 | 6.1% | 561 | 16 | 16.9 | 189.71 | 5.9% | 196.2 | 38 | 93.2% |
| R04r80s5 | 16 | 16.2 | 188.66 | 195.12 | 465 | 16 | 16.2 | 184.94 | −2.0% | 195.25 | 5.2% | 536 | 16 | 16.4 | 189.66 | 2.5% | 193.91 | 45 | 91.6% |
| R01r80s8 | 14 | 14.6 | 165.24 | 172.06 | 1291 | 14 | 14.7 | 164.46 | −0.5% | 171.63 | 4.2% | 1031 | 15 | 15.5 | 174.69 | 5.9% | 182.65 | 137 | 86.7% |
| R02r80s8 | 14 | 15.3 | 172.99 | 173.96 | 677 | 14 | 15.1 | 162.8 | −6.3% | 171.79 | 5.2% | 856 | 15 | 15.2 | 168.23 | 3.2% | 174.66 | 97 | 88.6% |
| R03r80s8 | 16 | 17 | 184.24 | 194.01 | 582 | 16 | 16.6 | 177.02 | −4.1% | 189.45 | 6.6% | 652 | 16 | 17 | 184.06 | 3.8% | 195.56 | 83 | 87.2% |
| R04r80s8 | 16 | 16.2 | 189.19 | 195.67 | 735 | 16 | 16.2 | 188.56 | −0.3% | 193.57 | 2.6% | 664 | 16 | 16.8 | 196.68 | 4.1% | 202.11 | 89 | 86.6% |
| RC01r80s5 | 17 | 17.9 | 208.87 | 221.28 | 317 | 17 | 17.4 | 206.96 | −0.9% | 220.06 | 6.0% | 418 | 17 | 17.8 | 213.33 | 3.0% | 225.92 | 63 | 84.9% |
| RC02r80s5 | 15 | 15.9 | 163.78 | 172.62 | 351 | 15 | 15.2 | 163.89 | 0.1% | 167.22 | 2.0% | 336 | 15 | 15.6 | 173.38 | 5.5% | 178.34 | 27 | 92.0% |
| Avg. | - | - | - | - | 594 | - | - | - | −2.0% | - | 4.7% | 609.1 | - | - | - | 4.1% | - | 65.9 | 89.4% |
Publisher’s Note: MDPI stays neutral with regard to jurisdictional claims in published maps and institutional affiliations. |
© 2022 by the authors. Licensee MDPI, Basel, Switzerland. This article is an open access article distributed under the terms and conditions of the Creative Commons Attribution (CC BY) license (https://creativecommons.org/licenses/by/4.0/).
Share and Cite
Xu, W.; Zhang, C.; Cheng, M.; Huang, Y. Electric Vehicle Routing Problem with Simultaneous Pickup and Delivery: Mathematical Modeling and Adaptive Large Neighborhood Search Heuristic Method. Energies 2022, 15, 9222. https://doi.org/10.3390/en15239222
Xu W, Zhang C, Cheng M, Huang Y. Electric Vehicle Routing Problem with Simultaneous Pickup and Delivery: Mathematical Modeling and Adaptive Large Neighborhood Search Heuristic Method. Energies. 2022; 15(23):9222. https://doi.org/10.3390/en15239222
Chicago/Turabian StyleXu, Wei, Chenghao Zhang, Ming Cheng, and Yucheng Huang. 2022. "Electric Vehicle Routing Problem with Simultaneous Pickup and Delivery: Mathematical Modeling and Adaptive Large Neighborhood Search Heuristic Method" Energies 15, no. 23: 9222. https://doi.org/10.3390/en15239222
APA StyleXu, W., Zhang, C., Cheng, M., & Huang, Y. (2022). Electric Vehicle Routing Problem with Simultaneous Pickup and Delivery: Mathematical Modeling and Adaptive Large Neighborhood Search Heuristic Method. Energies, 15(23), 9222. https://doi.org/10.3390/en15239222

