Thermal Perturbations at Crystal Nucleation in Glass-Forming Liquids
Abstract
1. Introduction
2. Crystal Nucleation in Glass-Forming Liquids
2.1. Influence of Local Temperature Change on the Nucleation Rate in Silicate Glasses
2.2. Influence of Local Temperature Change on the Nucleation Rate in Polymers
3. Thermal Perturbations in Glass-Forming Liquids
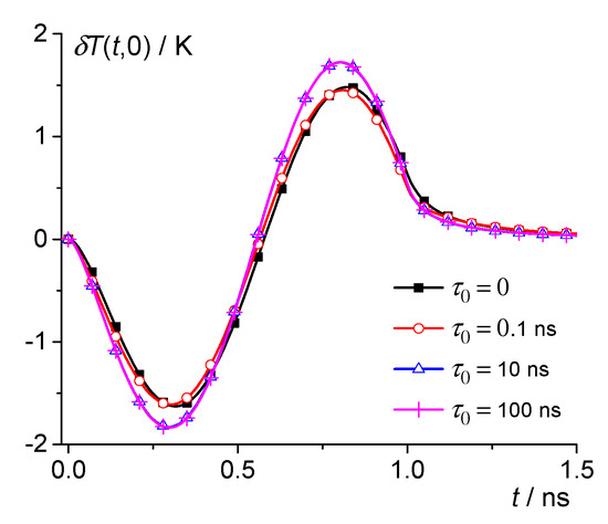
4. Local Thermal Perturbations during the Nucleation and Decay of Crystal Nuclei in Glass-Forming Liquids
5. Conclusions
Author Contributions
Funding
Data Availability Statement
Acknowledgments
Conflicts of Interest
Nomenclature
| Latin Symbols | |
| parameter of the VFTH equation (dimensionless) | |
| and | parameters of the VFTH equation (K) |
| , | initial and equilibrium heat capacities (J·kg−1·K−1) |
| dynamic heat capacity (J·kg−1·K−1) | |
| equilibrium thermal diffusivity (m2·s−1) | |
| activation energy for the transport of segments in polymers (kJ·mol−1) | |
| kinetic barrier to nucleation (J) | |
| energy barrier for homogeneous nucleation (J) | |
| change in volumetric Gibbs free energy at crystallization (J·m−3) | |
| volumetric enthalpy of melting (J·m−3) | |
| distribution function (s−1) | |
| nucleation rate (m−3·s−1) | |
| Boltzmann constant (J·K−1) | |
| critical lateral thickness (nm) | |
| universal gas constant (J·mol−1·K−1) | |
| minimum work needed to form the nucleus (J) | |
| critical radius (nm) | |
| local change in temperature (K) | |
| undercooling (K) | |
| glass transition temperature (K) | |
| equilibrium melting temperature (K) | |
| volume of the critical nucleus (nm3) | |
| sound speed (m·s−1) | |
| Greek Symbols | |
| relaxation parameter (dimensionless) | |
| (dimensionless) | |
| viscosity (Pa·s) | |
| thermal conductivity (W·m−1·K−1) | |
| relaxation parameter (dimensionless) | |
| density (kg·m−3) | |
| σ | interfacial free energy (J·m−2) |
| interfacial free energy for fold surface (J·m−2) | |
| Debye relaxation time (s) | |
| Kohlrausch relaxation time (s) | |
| relaxation time (s) | |
| time of nucleation and decay of a subcritical nucleus (s) | |
| volumetric heat flux density (W·m−3) | |
| volumetric heat flux density (W·m−3) | |
| nth Fourier component (W·m−2) | |
| nth Fourier component (K·m) | |
| temperature modulation frequency (rad·s−1) | |
References
- Liu, H.; Jiang, Q.; Huo, J.; Zhang, Y.; Yang, W.; Li, X. Crystallization in additive manufacturing of metallic glasses: A review. Addit. Manuf. 2020, 36, 101568. [Google Scholar] [CrossRef]
- Li, X.P. Additive manufacturing of advanced multi-component alloys: Bulk metallic glasses and high entropy alloys. Adv. Eng. Mater. 2018, 20, 1700874. [Google Scholar] [CrossRef]
- Liu, H.; Yang, D.; Jiang, Q.; Jiang, Y.; Yang, W.; Liu, L.; Zhang, L.C. Additive manufacturing of metallic glasses and high-entropy alloys: Significance, unsettled issues, and future directions. J. Mat. Sci. Technol. 2022, 140, 79–120. [Google Scholar] [CrossRef]
- Zhang, Y.; Liu, H.; Mo, J.; Wang, M.; Chen, Z.; He, Y.; Yang, W.; Tang, C. Atomic-level crystallization in selective laser melting fabricated Zr-based metallic glasses. Phys. Chem. Chem. Phys. 2019, 21, 12406–12413. [Google Scholar] [CrossRef]
- Perepezko, J.H.; Gao, M.; Wang, J.Q. Nanoglass and nanocrystallization reactions in metallic glasses. Front. Mater. 2021, 8, 663862. [Google Scholar] [CrossRef]
- Zhao, B.; Yang, B.; Abyzov, A.S.; Schmelzer, J.W.P.; Rodríguez-Viejo, J.; Zhai, Q.; Schick, C.; Gao, Y. Beating homogeneous nucleation and tuning atomic ordering in glass-forming metals by nanocalorimetry. Nano Lett. 2017, 17, 7751–7760. [Google Scholar] [CrossRef]
- Wang, L.; Ma, L.; Kimura, H.; Inoue, A. Amorphous Forming Ability and Mechanical Properties of Rapidly Solidified Al–Zr–LTM (LTM=Fe, Co, Ni and Cu) Alloys. Mater. Lett. 2002, 52, 47–52. Available online: https://www.sciencedirect.com/journal/materials-letters/vol/52/issue/1 (accessed on 23 November 2022). [CrossRef]
- Mansouri, M.; Simchi, A.; Varahram, N.; Park, E.S. Development of fcc-Al nanoparticles during crystallization of amorphous Al–Ni alloys containing mischmetal: Microstructure and hardness evaluation. Mater. Sci. Eng. A 2014, 604, 92–97. [Google Scholar] [CrossRef]
- Singh, D.; Singh, D.; Mandal, R.K.; Srivastava, O.N.; Tiwari, R.S. Crystallization behavior and mechanical properties of (Al90Fe5Ce5)100−xTix amorphous alloys. J. Alloys Comp. 2016, 687, 990–998. [Google Scholar] [CrossRef]
- Lee, B.S.; Burr, G.W.; Shelby, R.M.; Raoux, S.; Rettner, C.T.; Bogle, S.N.; Darmawikarta, K.; Bishop, S.G.; Abelson, J.R. Observation of the role of subcritical nuclei in crystallization of a glassy solid. Science 2009, 326, 980–984. [Google Scholar] [CrossRef] [PubMed]
- Orava, J.; Greer, A.L. Fast crystal growth in glass-forming liquids. J. Non Crystal. Sol. 2016, 451, 94–100. [Google Scholar] [CrossRef]
- Fokin, V.M.; Zanotto, E.D.; Yuritsyn, N.S.; Schmelzer, J.W.P. Homogeneous crystal nucleation in silicate glasses: A 40 years perspective. J. Non-Crystal. Sol. 2006, 352, 2681–2714. [Google Scholar] [CrossRef]
- Hoffman, J.D.; Davis, G.T.; Lauritzen, J.I., Jr. The rate of crystallization of linear polymers with chain folding. In Treatise on Solid State Chemistry; Hannay, N.B., Ed.; Springer: Boston, MA, USA, 1976. [Google Scholar] [CrossRef]
- Andrianov, R.A.; Androsch, R.; Zhang, R.; Mukhametzyanov, T.A.; Abyzov, A.S.; Schmelzer, J.W.P.; Schick, C. Growth and dissolution of crystal nuclei in poly(l-lactic acid) (PLLA) in Tammann’s development method. Polymer 2020, 196, 122453. [Google Scholar] [CrossRef]
- Schick, C.; Androsch, R.; Schmelzer, J.W.P. Homogeneous crystal nucleation in polymers. J. Phys. Condens. Matter. 2017, 29, 453002. [Google Scholar] [CrossRef]
- Reiter, G.; Strobl, G.R. Progress in Understanding of Polymer Crystallization, Lecture Notes in Physics; Springer: Berlin/Heidelberg, Germany, 2007; ISBN 10: 9783540473053. [Google Scholar] [CrossRef]
- Russo, J.; Tanaka, H. The microscopic pathway to crystallization in supercooled liquids. Sci. Rep. 2012, 2, 505. [Google Scholar] [CrossRef]
- Wyslouzil, B.E.; Seinfeld, J.H. Nonisothermal homogeneous nucleation. J. Chem. Phys. 1992, 97, 2661–2670. [Google Scholar] [CrossRef]
- Birge, N.O.; Nagel, S.R. Specific heat spectroscopy of the glass transition. Phys. Rev. Lett. 1985, 54, 2674–2677. [Google Scholar] [CrossRef] [PubMed]
- Korus, J.; Beiner, M.; Busse, K.; Kahle, S.; Unger, R.D. Heat capacity spectroscopy at the glass transition in polymers. Thermochim. Acta 1997, 304–305, 99–110. [Google Scholar] [CrossRef]
- Chua, Y.Z.; Schulz, G.; Shoifet, E.; Huth, H.; Zorn, R.; Scmelzer, J.W.P.; Schick, C. Glass transition cooperativity from broad band heat capacity spectroscopy. Colloid Polym. Sci. 2014, 292, 1893–1904. [Google Scholar] [CrossRef]
- Minakov, A.; Schick, C. Nanometer scale thermal response of polymers to fast thermal perturbations. J. Chem. Phys. 2018, 149, 074503. [Google Scholar] [CrossRef]
- Landau, L.D.; Lifshitz, E.M. Course of Theoretical Physics 5: Statistical, 3rd ed.; Butterworth-Heinemann: Oxford, UK, 1980; ISBN 13: 978-0750633727. [Google Scholar]
- Landau, L.D.; Lifshitz, E.M. Course of Theoretical Physics 10: Physical Kinetics, 1st ed.; Pergamon Press: Oxford, UK; Frankfurt, Germany, 1981; ISBN 978-0-08-026480-6. [Google Scholar]
- Schmelzer, J.W.P. Application of the Nucleation Theorem to Crystallization of Liquids: Some General Theoretical Results. Entropy 2019, 21, 1147. [Google Scholar] [CrossRef]
- Kelton, K.F.; Greer, A.L. Nucleation in Condensed Matter—Applications in Materials and Biology. Pergamon Mater. Ser. 2010, 15, 1–15. [Google Scholar] [CrossRef]
- Kashchiev, D.; van Rosmalen, G.M. Review: Nucleation in solutions revisited. Cryst. Res. Technol. 2003, 38, 555–574. [Google Scholar] [CrossRef]
- Lide, D.R. CRC Handbook of Chemistry and Physics, 90th ed.; CRC Press: Boca Raton, FL, USA, 2010; ISBN 13: 978-1420090840/10:1420090844. [Google Scholar]
- Minakov, A.A.; Schick, C. Integro-differential equation for the non-equilibrium thermal response of glass-forming materials: Analytical solutions. Symmetry 2021, 13, 256. [Google Scholar] [CrossRef]
- Blow, K.E.; Quigley, D.; Sosso, G.C. The seven deadly sins: When computing crystal nucleation rates, the devil is in the details. J. Chem. Phys. 2021, 155, 040901. [Google Scholar] [CrossRef] [PubMed]
- Separdar, L.; Rino, J.P.; Zanotto, E.D. Unveiling nucleation dynamics by seeded and spontaneous crystallization in supercooled liquids. Comput. Mater. Sci. 2021, 199, 110802. [Google Scholar] [CrossRef]
- Tipeev, A.O.; Zanotto, E.D.; Rino, J.P. Crystal nucleation kinetics in supercooled germanium: MD simulations versus experimental data. J. Phys. Chem. B 2020, 124, 7979–7988. [Google Scholar] [CrossRef] [PubMed]
- Mahata, A.; Zaeem, M.A.; Baskes, M.I. Understanding homogeneous nucleation in solidification of aluminum by molecular dynamics simulations. Model. Simul. Mater. Sci. Eng. 2018, 26, 025007. [Google Scholar] [CrossRef]
- Fitzner, M.; Sosso, G.C.; Coxa, S.J. Michaelidesa, Ice is born in low-mobility regions of supercooled liquid water. Proc. Natl. Acad. Sci. USA 2019, 116, 2009–2014. [Google Scholar] [CrossRef] [PubMed]
- Sosso, G.C.; Miceli, G.; Caravati, S.; Giberti, F.; Behler, J.; Bernasconi, M. Fast Crystallization of the Phase Change Compound GeTe by Large-Scale Molecular Dynamics Simulations. J. Phys. Chem. Lett. 2013, 4, 4241–4246. [Google Scholar] [CrossRef]
- Sosso, G.C.; Chen, J.; Cox, S.J.; Fitzner, M.; Pedevilla, P.; Zen, A.; Michaelides, A. Crystal Nucleation in Liquids: Open Questions and Future Challenges in Molecular Dynamics Simulations. Chem. Rev. 2016, 116, 7078–7116. [Google Scholar] [CrossRef] [PubMed]
- Lee, B.M.; Baik, H.K.; Seong, B.S.; Munetoh, S.; Motooka, T. Molecular-dynamics analysis of the nucleation and crystallization process of Si. Phys. B Condens. Matter 2007, 392, 266–271. [Google Scholar] [CrossRef]
- Sanz, E.; Vega, C.; Espinosa, J.R.; Caballero-Bernal, R.; Abascal, J.L.F.; Valeriani, C. Homogeneous Ice Nucleation at Moderate Supercooling from Molecular Simulation. J. Am. Chem. Soc. 2013, 135, 15008–15017. [Google Scholar] [CrossRef] [PubMed]
- Zhang, Z.; Yang, X. The effect of chain interpenetration on an ordering process in the early stage of polymer crystal nucleation. Polymer 2006, 47, 5213–5219. [Google Scholar] [CrossRef]
- Yamamoto, T. Molecular dynamics simulation of polymer crystallization through chain folding. J. Chem. Phys. 1997, 107, 2653–2663. [Google Scholar] [CrossRef]
- Waheed, N.; Ko, M.J.; Rutledge, G.C. Molecular simulation of crystal growth in long alkanes. Polymer 2005, 46, 8689–8702. [Google Scholar] [CrossRef]
- Gu, J.; Wang, X.; Wu, J.; Wang, X. Molecular Dynamics Simulation of Chain Folding for Polyethylene Subjected to Vibration Excitation. Int. J. Polym. Sci. 2014, 2014, 506793. [Google Scholar] [CrossRef]
- Luo, C.; Sommer, J.U. Frozen topology: Entanglements control nucleation and crystallization in polymers. Phys. Rev. Lett. 2014, 112, 195702. [Google Scholar] [CrossRef]
- Kelton, K.F. Crystal nucleation in liquids and glasses. Solid State Phys. 1991, 45, 75–177. [Google Scholar] [CrossRef]
- Rodrigues, L.R.; Fokin, A.S.A.V.M.; Zanotto, E.D. Effect of structural relaxation on crystal nucleation in a soda-lime-silica glass. J. Am. Ceram. Soc. 2021, 104, 3212–3223. [Google Scholar] [CrossRef]
- Schmelzer, J.W.P.; Tropin, T.V.; Fokin, V.M.; Abyzov, A.S.; Zanotto, E.D. Effects of Glass Transition and Structural Relaxation on Crystal Nucleation: Theoretical Description and Model Analysis. Entropy 2020, 22, 1098. [Google Scholar] [CrossRef]
- Rodrigues, L.R.; Abyzov, A.S.; Fokin, V.M.; Schmelzer, J.W.P.; Zanotto, E.D. Relaxation effect on crystal nucleation in a glass unveiled by experimental, numerical, and analytical approaches. Acta Mater. 2022, 223, 117458. [Google Scholar] [CrossRef]
- Schmelzer, J.W.P.; Tropin, T.V. Theory of crystal nucleation of glass-forming liquids: Some new developments. Int. J. Appl. Glass Sci. 2022, 13, 171–198. [Google Scholar] [CrossRef]
- Cabral, A.A.; Fokin, V.M.; Zanotto, E.D. Nanocrystallization of fresnoite glass. II. Analysis of homogeneous nucleation kinetics. J. Non Crystal. Sol. 2004, 343, 85–90. [Google Scholar] [CrossRef]
- Zanotto, E.D.; Fokin, V.M. Recent Studies of Internal and Surface Nucleation In Silicate Glasses. Phil. Trans. R. Soc. Lond. A 2003, 361, 591–613. [Google Scholar] [CrossRef]
- Granasy, L.; Igioi, F. Comparison of experiments and modern theories of crystal nucleation. J. Chem. Phys. 1997, 107, 3634. Available online: https://aip.scitation.org/doi/10.1063/1.474721 (accessed on 23 November 2022). [CrossRef]
- Zanotto, E.D.; Weinberg, M. Trends in homogeneous crystal nucleation in oxide glasses. Phys. Chem. Glasses Eur. J. Glass Sci. Technol. Part B 1989, 30, 186–192. [Google Scholar]
- Gonzalez-Oliver, C.J.R.; James, P.F. Crystal nucleation and growth in a Na2O2CaO3SiO2 glass. J. Non Crystal. Sol. 1980, 38–39, 699–704. [Google Scholar] [CrossRef]
- van Krevelen, D.W.; Nijenhuis, K.T. Properties of Polymers, 4th ed.; Elsevier Science: Amsterdam, The Netherlands, 2009; ISBN 978-0-08-054819-7. [Google Scholar]
- Mark, J.E. Polymer Data Handbook, 2nd ed.; Oxford University Press: Oxford, UK, 2009; ISBN 13: 978-0195181012/10:0195181018. [Google Scholar]
- Mark, J.E. Physical Properties of Polymers Handbook; Springer: New York, NY, USA, 2007; ISBN 978-0-387-31235-4. [Google Scholar]
- Qiu, Z.; Yang, W. Crystallization kinetics and morphology of poly(butylene succinate)/poly(vinyl phenol) blend. Polymer 2006, 47, 6429–6437. [Google Scholar] [CrossRef]
- Deng, Y.; Thomas, N.L. Blending poly(butylene succinate) with poly(lactic acid): Ductility and phase inversion effects. Eur. Polym. J. 2015, 71, 534–546. [Google Scholar] [CrossRef]
- Schick, C.; Toda, A.; Androsch, R. The narrow thickness distribution of lamellae of poly(butylene succinate) formed at low melt supercooling. Macromolecules 2021, 54, 3366–3376. [Google Scholar] [CrossRef]
- Saffian, H.A.; Yamaguchi, M.; Ariffin, H.; Abdan, K.; Kassim, N.K.; Lee, S.H.; Lee, C.H.; Shafi, A.R.; Alias, A.H. Thermal, Physical and Mechanical Properties of Poly(Butylene Succinate)/Kenaf Core Fibers Composites Reinforced with Esterified Lignin. Polymers 2021, 13, 2359. [Google Scholar] [CrossRef] [PubMed]
- Huang, J.; Gupta, P.K. Temperature dependence of the isostructural heat capacity of a soda lime silicate glass. J. Non Crystal. Sol. 1992, 139, 239–247. [Google Scholar] [CrossRef]
- Stebbins, J.F.; Carmichael, I.S.E.; Moret, L.K. Heat capacities and entropies of silicate liquids and glasses. Contrib. Mineral. Petrol. 1984, 86, 131–148. [Google Scholar] [CrossRef]
- Hofmeister, A.M.; Sehlke, A.; Avard, G.; Bollasina, A.J.; Robert, G.; Whittington, A.G. Transport properties of glassy and molten lavas as a function of temperature and composition. J. Volcanol. Geotherm. Res. 2016, 327, 330–348. [Google Scholar] [CrossRef]
- Kang, Y.; Lee, J.; Morita, K. Thermal Conductivity of Molten Slags: A Review of Measurement, Techniques and Discussion Based on Microstructural Analysis. ISIJ Int. 2014, 54, 2008–2016. [Google Scholar] [CrossRef]
- Sukenaga, S.; Endo, T.; Nishi, T.; Yamada, H.; Ohara, K.; Wakihara, T.; Inoue, K.; Kawanishi, S.; Ohta, H.; Shibata, H. Thermal Conductivity of Sodium Silicate Glasses and Melts: Contribution of Diffusive and Propagative Vibration Modes. Front. Mater. 2021, 8, 753746. [Google Scholar] [CrossRef]
- Berberan-Santos, M.N.; Bodunov, E.N.; Valeur, B. Mathematical functions for the analysis of luminescence decays with underlying distributions 1 Kohlrausch decay function (stretched exponential). Chem. Phys. 2005, 315, 171–182. [Google Scholar] [CrossRef]
- Ezzeddine, I.; Ghorbel, N.; Ilsouk, M.; Arous, M.; Lahcini, M.; Bouharras, F.Z.; Raihane, M.; Kallel, A. Dielectric and thermal characteristics of Beidellite nanoclay-reinforced poly (butylene succinate). Mater. Chem. Phys. 2021, 258, 123855. [Google Scholar] [CrossRef]






| Substance | J/m3 | K | K | K | J/m2 | J/m3 | J | ||
|---|---|---|---|---|---|---|---|---|---|
| Li2O·2SiO2 | 9.4 × 108 | 1310 | 1160 | 150 | 0.20 | 11.0 × 107 | 1.17 × 10−17 | 728 | 1.65 × 104 |
| Na2O·2CaO·3SiO2 | 7.2 × 108 | 1560 | 1360 | 200 | 0.19 | 9.23 × 107 | 1.35 × 10−17 | 718 | 1.32 × 103 |
| 2Na2O·CaO·3SiO2 | 4.97 × 108 | 1448 | 1248 | 200 | 0.17 | 6.86 × 107 | 1.75 × 10−17 | 1013 | 2.25 × 104 |
| BaO·2SiO2 | 5.11 × 108 | 1690 | 1490 | 200 | 0.13 | 6.05 × 107 | 1.0 × 10−17 | 488 | 1.32 × 102 |
| Substance | K | K | K | K | - | - |
|---|---|---|---|---|---|---|
| Li2O·2SiO2 | 1347 | 595 | 1160 | 565 | 2.38 | 0.996 |
| Na2O·2CaO·3SiO2 | 4893 | 547 | 1360 | 813 | 6.02 | 0.993 |
| BaO·2SiO2 | 1702 | 795 | 1490 | 695 | 2.45 | 0.997 |
| Polymer | J/m3 | K | K | K | J/m2 | J/m2 | J/m3 | J | ||
|---|---|---|---|---|---|---|---|---|---|---|
| PE | 2.8 × 108 | 418 | 388 | 30 | 0.093 | 0.0146 | 2.0 × 107 | 1.2 × 10−18 | 230 | 2.2 × 103 |
| iPS | 9.1 × 107 | 516 | 486 | 30 | 0.035 | 0.0077 | 5.3 × 106 | 1.9 × 10−18 | 278 | 1.1 × 104 |
| Polymer | J/m3 | K | K | K | J/m2 | J/m2 | J/m3 | J | ||
|---|---|---|---|---|---|---|---|---|---|---|
| PBS | 1.47 × 108 | 403 | 343 | 60 | 0.0337 | 0.0309 | 2.2 × 107 | 1.7 × 10−18 | 354 | 1.3 × 105 |
| iPP | 1.57 × 108 | 461 | 421 | 40 | 0.07 | 0.0115 | 1.4 × 107 | 1.3 × 10−18 | 216 | 5.0 × 104 |
| Polymer | K | K | K | K | - | - |
|---|---|---|---|---|---|---|
| PE | 754 | 118 | 388 | 270 | 2.79 | 0.995 |
| iPS | 754 | 330 | 486 | 156 | 2.29 | 0.985 |
| Polymer | K | K | K | K | - | - |
|---|---|---|---|---|---|---|
| PBS | 754 | 206 | 343 | 137 | 5.5 | 0.961 |
| iPP | 754 | 225 | 421 | 196 | 3.85 | 0.981 |
Publisher’s Note: MDPI stays neutral with regard to jurisdictional claims in published maps and institutional affiliations. |
© 2022 by the authors. Licensee MDPI, Basel, Switzerland. This article is an open access article distributed under the terms and conditions of the Creative Commons Attribution (CC BY) license (https://creativecommons.org/licenses/by/4.0/).
Share and Cite
Minakov, A.; Schick, C. Thermal Perturbations at Crystal Nucleation in Glass-Forming Liquids. Energies 2022, 15, 9005. https://doi.org/10.3390/en15239005
Minakov A, Schick C. Thermal Perturbations at Crystal Nucleation in Glass-Forming Liquids. Energies. 2022; 15(23):9005. https://doi.org/10.3390/en15239005
Chicago/Turabian StyleMinakov, Alexander, and Christoph Schick. 2022. "Thermal Perturbations at Crystal Nucleation in Glass-Forming Liquids" Energies 15, no. 23: 9005. https://doi.org/10.3390/en15239005
APA StyleMinakov, A., & Schick, C. (2022). Thermal Perturbations at Crystal Nucleation in Glass-Forming Liquids. Energies, 15(23), 9005. https://doi.org/10.3390/en15239005

