Research on Performance Optimization of Gravity Heat Pipe for Mine Return Air
Abstract
:1. Introduction
2. Mathematical Model in Vertical Spray Chamber
2.1. Physical Model
2.2. The Model of Heat and Mass Transfer
3. Thermodynamics Analysis of Heat and Mass Transfer
3.1. Exergy Analysis
3.2. Entransy Analysis
4. Materials and Methods
4.1. Experiment Equipment
- (1)
- Air pretreatment section
- (2)
- Gravity heat pipe heat exchange unit
- (3)
- PLC measurement and control system
- (4)
- Parameters of gravity heat pipe
4.2. Model Validation
5. Calculations and Solution
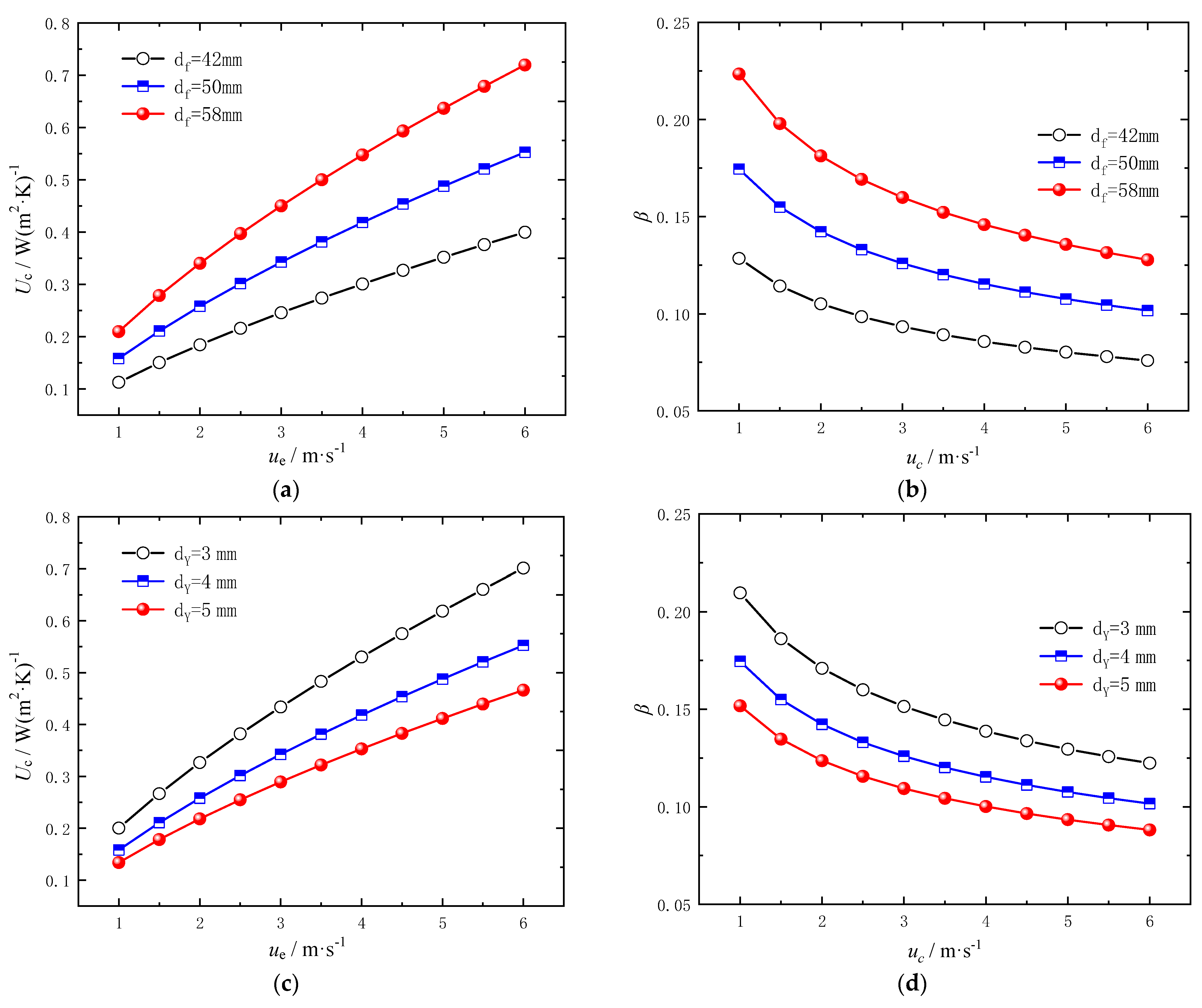
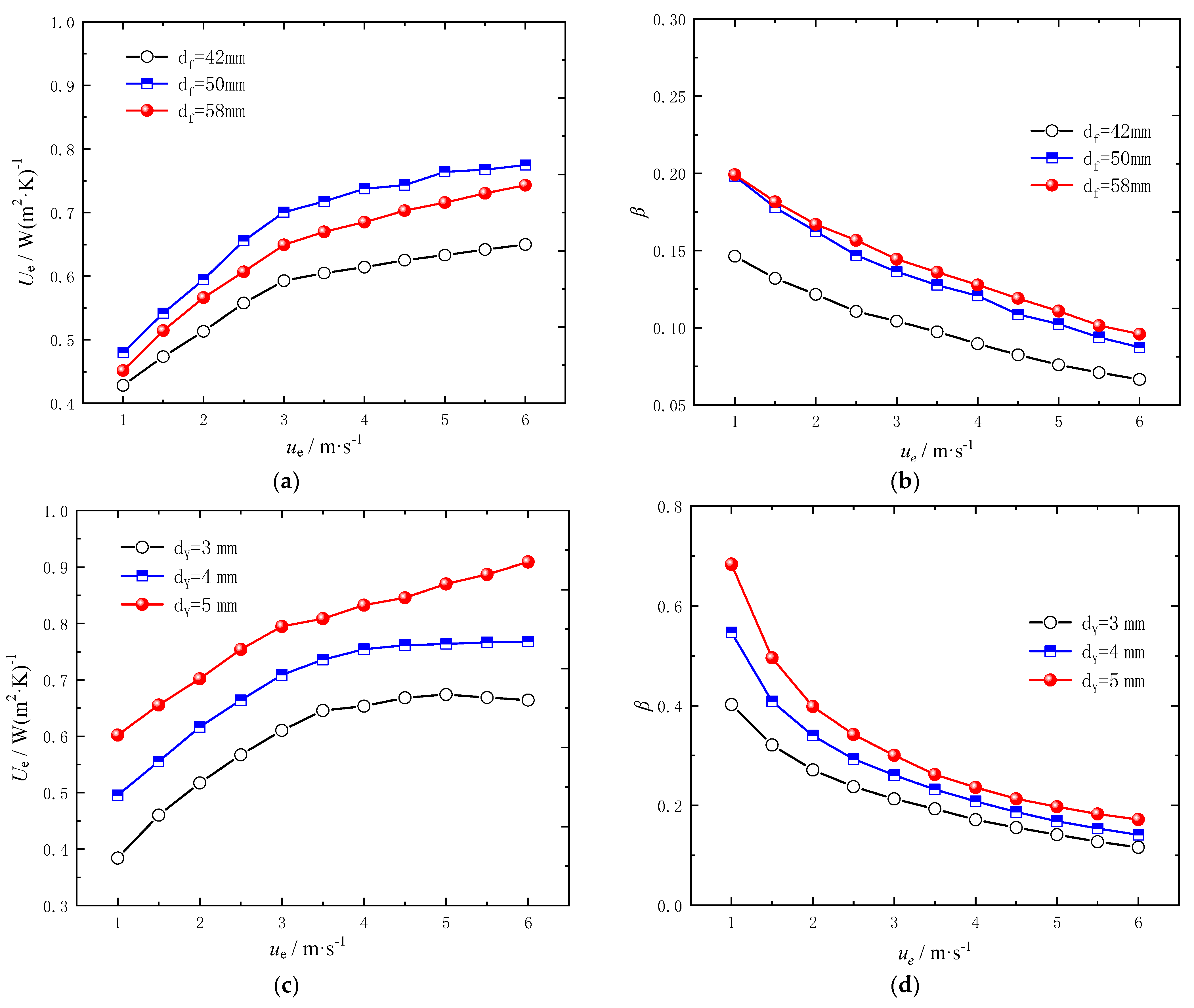
5.1. The Effect of Fin Spacing, dY, and Outer Diameter, df, on Heat Transfer
5.2. Effect of Return Air Volume on Heat Transfer
5.3. Thermal Analysis of Gravity Heat Pipes
6. Conclusions
Author Contributions
Funding
Data Availability Statement
Acknowledgments
Conflicts of Interest
References
- Bai, Y. Comparative analysis of renewable energy in mine and the selection of mine heating sources. Coal Eng. 2019, 51, 68–73. [Google Scholar]
- Cui, H.; Wang, H.; Chen, S. Parameters Optimization and Theoretical Model of Heat-Mass Transfer in a Spray Heat Exchanger Attaching to a Main Fan Diffuser. J. China Coal Soc. 2014, 39, 2047–2052. [Google Scholar]
- Kalantari, H.; Leyla, A.; Ghoreishi-Madiseh, S.A. Analysis of the performance of direct contact heat exchange systems for application in mine waste heat recovery. Int. J. Energy Res. 2022, 46, 290–307. [Google Scholar] [CrossRef]
- Zhu, G.; Bao, L.; Zhao, X.; Wang, J.; Zhang, C. Design optimization of ethylene glycol interwall heat exchange wellhead antifreeze system in Yindonggou Coal Mine. Saf. Coal Mines 2022, 53, 140–145. [Google Scholar]
- Lv, X.; Li, Y.; Bao, L. Research on application of recovering low temperature residual heat from mine air based on heat pipe heat transfer technology. Coal Technol. 2019, 38, 117–120. [Google Scholar]
- Xin, S.; Zhang, Z. Research on separate-type heat pipe recovery technology of mine return air waste heat. Min. Res. Dev. 2020, 40, 160–164. [Google Scholar]
- Adrian, Ł.; Szufa, S.; Piersa, P.; Mikołajczyk, F. Numerical Model of Heat Pipes as an Optimization Method of Heat Exchangers. Energies 2021, 14, 7647. [Google Scholar] [CrossRef]
- Yan, K.; Li, N.; Wu, Y.; Xie, R. Analysis of Condensation Flow Pattern and Heat Transfer of a Cryogenic Loop Heat Pipe with Different Heating Powers. J. Therm. Sci. Eng. Appl. 2022, 14, 054501. [Google Scholar] [CrossRef]
- Zhang, Q. Study on Heat and Mass Transfer Mechanism and Calculation Method of Evaporative Air Cooler with Finned Tubes under Dry and Wet Conditions; East China University of Science and Technology: Shanghai, China, 2019; pp. 50–84. [Google Scholar]
- Zhang, Q.; Yao, D.; Gong, W. Recovery and heat exchange effect of mine return air waste heat with different heat exchangers. Coal Eng. 2021, 53, 35–39. [Google Scholar]
- Lu, Y.; Bao, L.; Zhao, X.; Luo, J.; Wang, J. Heat transfer of mine heat pipe heat exchanger in dehumidifying conditions. Coal Eng. 2022, 54, 165–170. [Google Scholar]
- Lv, X.; Zhai, Y.; Zhao, X. Application of coal mine wellhead heating based on integrated heat pipe heat exchanging. Coal Eng. 2021, 53, 57–61. [Google Scholar]
- Wang, K.; Zhao, D.; Luo, J.; Liu, H. Design and application of heat pipe self-balanced ventilation thermal energy system. Min. Saf. Environ. Prot. 2021, 48, 92–96. [Google Scholar]
- Zhang, L.; Liu, X.; Jiang, Y. Exergy analysis of parameter unmatched characteristic in coupled heat and mass transfer between humid air and water. Int. J. Heat Mass Transf. 2015, 84, 327–338. [Google Scholar] [CrossRef]
- Muangnoi, T.; Asvapoositkul, W.; Wongwises, S. An exergy analysis on the performance of a counterflow wet cooling tower. Appl. Therm. Eng. 2007, 27, 910–917. [Google Scholar] [CrossRef]
- Bertola, V.; Cafaro, E. A critical analysis of the minimum entropy production theorem and its application to heat and fluid flow. Int. J. Heat Mass Transf. 2008, 51, 1907–1912. [Google Scholar] [CrossRef]
- Hesselgreaves, J.E. Rationalisation of second law analysis of heat exchangers. Int. J. Heat Mass Transf. 2000, 43, 4189–4204. [Google Scholar] [CrossRef]
- Shah, R.K.; Skiepko, T. Entropy Generation Extrema and Their Relationship With Heat Exchanger Effectiveness-Number of Transfer Unit Behavior for Complex Flow Arrangements. J. Heat Transf. 2004, 126, 994–1002. [Google Scholar] [CrossRef]
- Guo, Z.Y.; Zhu, H.Y.; Liang, X.G. Entransy—A physical quantity describing heat transfer ability. Int. J. Heat Mass Transf. 2007, 50, 2545–2556. [Google Scholar] [CrossRef]
- Feng, H.J.; Chen, L.G.; Xie, Z.H.; Sun, F.R. Constructal entransy dissipation rate minimization for “volume-point” heat conduction at micro and nanoscales. J. Energy Inst. 2015, 88, 188–197. [Google Scholar] [CrossRef]
- Chen, Q.; Zhu, H.; Pan, N.; Guo, Z.-Y. An alternative criterion in heat transfer optimization. Proc. R. Soc. A Math. Phys. Eng. Sci. 2011, 467, 1012–1028. [Google Scholar] [CrossRef]
- Meng, J.A.; Liang, X.G.; Li, Z.X. Field synergy optimization and enhanced heat transfer by multi-longitudinal vortexes flow in tube. Int. J. Heat Mass Transf. 2005, 48, 3331–3337. [Google Scholar] [CrossRef]
- Jia, H.; Liu, W.; Liu, Z. Enhancing convective heat transfer based on minimum power consumption principle. Chem. Eng. Sci. 2012, 69, 225–230. [Google Scholar] [CrossRef]
- Chen, Q.; Ren, J.; Meng, J. Field synergy equation for turbulent heat transfer and its application. Int. J. Heat Mass Transf. 2007, 50, 5334–5339. [Google Scholar] [CrossRef]
- Jiang, Y.; Xie, X.; Liu, X. Thermological Principle of Moist Air Heat and Moisture Conversion Processes. Heat. Vent. Air Cond. 2011, 41, 51–64. [Google Scholar]
- Xie, X.; Jiang, Y. Thermological Analysis of Chilled Water by Evaporative Cooling Processes. Heat. Vent. Air Cond. 2011, 41, 65–76+21. [Google Scholar]
- Chen, L.; Chen, Q.; Li, Z.; Guo, Z.Y. Moisture transfer resistance method for liquid desiccant dehumidification analysis and optimization. Chin. Sci. Bull. 2010, 55, 1445–1453. [Google Scholar] [CrossRef]
- Chen, Q.; Yang, K.; Wang, M.; Pan, N.; Guo, Z.-Y. A new approach to analysis and optimization of evaporative cooling system I: Theory. Energy 2010, 35, 2448–2454. [Google Scholar] [CrossRef]
- Chen, Q.; Pan, N.; Guo, Z.-Y. A new approach to analysis and optimization of evaporative cooling system II: Applications. Energy 2011, 36, 2890–2898. [Google Scholar] [CrossRef]
- Yuan, F.; Chen, Q. A global optimization method for evaporative cooling systems based on the entransy theory. Energy 2012, 42, 181–191. [Google Scholar] [CrossRef]
- Guo, Z.Y.; Liu, X.B.; Tao, W.Q.; Shah, R.K. Effectiveness–thermal resistance method for heat exchanger design and analysis. Int. J. Heat Mass Transf. 2010, 53, 2877–2884. [Google Scholar] [CrossRef]
- Pirompugd, W.; Wang, C.-C.; Wongwises, S. Finite circular fin method for heat and mass transfer characteristics for plain fin-and-tube heat exchangers under fully and partially wet surface conditions. Int. J. Heat Mass Transf. 2007, 50, 552–565. [Google Scholar] [CrossRef]
- Bump, T.R. Average Temperatures in Simple Heat Exchangers. J. Heat Transf. 1963, 85, 182–183. [Google Scholar] [CrossRef]








| Hot Side | Cold Side | ||||||
|---|---|---|---|---|---|---|---|
| Section Size/m | Wind Speed m/s | Wind Relative Humidity | wind Temperature/°C | Section Size/m | Wind Speed m/s | Wind Relative Humidity | Wind Temperature/°C |
| 0.5 × 0.4 | 0~4.0 | 50%~70% | 15–20 | 0.5 × 0.3 | 0~4.0 | / | −15~5 |
| Parameters | Fin Thickness | Fin Spacing | Fin Height | Fin Vertical Spacing | Fin Horizontal Spacing | Fin Total Length | Fin Outer Diameter | Outer Diameter of the Tubes | Wall Thickness of the Tubes | Heat Pipe Inner Diameter |
|---|---|---|---|---|---|---|---|---|---|---|
| δ mm | dY mm | H mm | SL mm | ST mm | L m | df mm | d0 mm | C mm | di mm | |
| Condensing section | 0.5 | 3 | 13.5 | 55 | 60 | 0.4 | 50 | 22 | 1 | 20 |
| Evaporation section | 0.5 | 5 | 13.5 | 55 | 60 | 0.4 | 50 | 22 | 1 | 20 |
| Experimental Conditions | 1 | 2 | 3 | 4 |
| Hot side air volume Gh/kg·s−1 | 0.88 | 0.88 | 0.6 | 0.6 |
| Hot side inlet temperature Tah,in/°C | 15 | 15 | 18 | 18 |
| Hot side inlet relative humidity RHah,in/% | 70 | 70 | 50 | 50 |
| Cold side air volume Gc/kg·s−1 | 0.75 | 0.5 | 0.5 | 0.75 |
| Cold side inlet temperature Tac,in/°C | −5 | −12 | −5 | −12 |
| Experimental Results | 1 | 2 | 3 | 4 |
| Hot side outlet temperature Tah,out/°C | 10.5 | 9.19 | 12.25 | 9.05 |
| Hot side outlet relative humidity RHah,in/% | 82 | 85 | 65 | 70 |
| Cold side outlet temperature Tac,out/°C | 4.83 | 3.96 | 2.83 | −1.95 |
| Model Numerical Calculation Results | 1 | 2 | 3 | 4 |
| Hot side outlet temperature Tah,out/°C | 9.95 | 9.09 | 11.58 | 8.65 |
| Hot side outlet relative humidity RHah,out/% | 80 | 83 | 64 | 68 |
| Cold side outlet temperature Tac,out/°C | 4.72 | 3.99 | 2.78 | −1.92 |
| Heat Transfer Quantity | 1 | 2 | 3 | 4 |
|---|---|---|---|---|
| Qe/kW | 7.04 | 8.12 | 3.89 | 7.66 |
| Qc/kW | 7.45 | 8.06 | 3.95 | 7.61 |
| Qr/kW | 7.36 | 8.07 | 3.93 | 7.64 |
| Parameters | Fin Thickness δ mm | Fin Spacing dY mm | Fin Height H mm | Fin Vertical Spacing SL mm | Fin Horizontal Spacing ST mm | Fin Total Length L m | Fin Outer Diameter df mm | Outer Diameter of the Heat Pipe d0 mm | Wall Thickness of the Heat Pipe C mm | Inner Diameter of the Heat Pipe di mm |
|---|---|---|---|---|---|---|---|---|---|---|
| Condensing section | 0.5 | 4 | 13.5 | 60 | 2 | 27/26/27 | 50 | 22 | 1 | 20 |
| Evaporation section | 0.5 | 4 | 13.5 | 60 | 2 | 27/26/27 | 50 | 22 | 1 | 20 |
| Experimental Conditions | 1 | 2 | 3 | 4 |
|---|---|---|---|---|
| Heat exchange/kW | 7.36 | 8.06 | 3.93 | 7.63 |
| Exergy efficiency/% | 75.61 | 56.88 | 85.23 | 60.89 |
| Entransy dissipation thermal resistance kW/K | 0.81 | 0.75 | 1.11 | 0.43 |
Publisher’s Note: MDPI stays neutral with regard to jurisdictional claims in published maps and institutional affiliations. |
© 2022 by the authors. Licensee MDPI, Basel, Switzerland. This article is an open access article distributed under the terms and conditions of the Creative Commons Attribution (CC BY) license (https://creativecommons.org/licenses/by/4.0/).
Share and Cite
Zhai, Y.; Zhao, X.; Dong, Z. Research on Performance Optimization of Gravity Heat Pipe for Mine Return Air. Energies 2022, 15, 8449. https://doi.org/10.3390/en15228449
Zhai Y, Zhao X, Dong Z. Research on Performance Optimization of Gravity Heat Pipe for Mine Return Air. Energies. 2022; 15(22):8449. https://doi.org/10.3390/en15228449
Chicago/Turabian StyleZhai, Yu, Xu Zhao, and Zhifeng Dong. 2022. "Research on Performance Optimization of Gravity Heat Pipe for Mine Return Air" Energies 15, no. 22: 8449. https://doi.org/10.3390/en15228449
APA StyleZhai, Y., Zhao, X., & Dong, Z. (2022). Research on Performance Optimization of Gravity Heat Pipe for Mine Return Air. Energies, 15(22), 8449. https://doi.org/10.3390/en15228449
