Characterization of Fluid Flow and Heat Transfer of Expanded Metal Meshes for Catalytic Processes
Abstract
1. Introduction
2. Materials and Methods
2.1. Expanded Meshes Characterization
2.2. Experimental Procedure
2.3. Numerical Simulation
2.3.1. Computational Domain and Mesh Generation
2.3.2. Governing Equations
2.3.3. Boundary Conditions
- Velocity-inlet condition with a uniform value and a static temperature equal to 300 K was defined at the inlet.
- Pressure-outlet condition with zero-gauge pressure was defined at the outlet.
- Constant heat flux and no-slip conditions were imposed on the mesh surface.
- Symmetry condition on the four side boundaries of the computational domain.
2.3.4. Numerical Assumptions
- The air is defined as an ideal gas.
- The flow is in the steady state and laminar due to the maximum value of the Reynolds number, which is nearly 1100 for the arrangement with mesh type B.
- The physical properties of the fluid phase are temperature dependent because of its variations in the simulations.
- The radiative effects were not considered.
2.3.5. Computational Methodology
- A commercially available CFD code, ANSYS FLUENT 21.2, was employed to simulate the fluid flow and heat transfer. The simulation procedure was:
- The pressure–velocity coupling formulation was handled with a coupled algorithm.
- The second-order upwind schemes of discretization were adopted for the momentum and energy equations.
- The residual limit was set to 1 × 10−3 for the continuity and momentum equations and 1 × 10−6 for the energy equation.
3. Results and Discussion
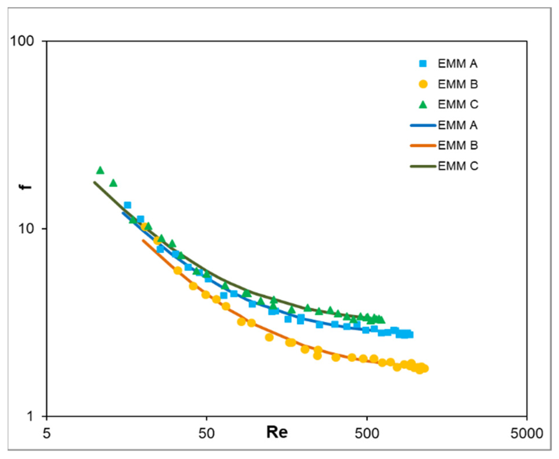
3.1. Flow Resistance
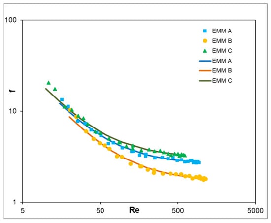
3.2. Heat Transfer
3.3. Comparison of Different Catalyst Supports
4. Conclusions
Author Contributions
Funding
Data Availability Statement
Conflicts of Interest
Nomenclature
| A, B | constants |
| cp | specific heat, J·kg−1·K−1 |
| Dp | grain diameter, mm |
| Dh | hydraulic diameter, mm |
| d | wire diameter, mm |
| ey | average relative error, % |
| F | surface area, m2 |
| f | Fanning friction factor, |
| h | heat transfer coefficient, W∙m−2∙K−1 |
| k | thermal conductivity, W∙m−1∙K−1 |
| L | bed length, m |
| Nu | Nusselt number |
| ΔP | pressure drop, Pa |
| Pr | Prandtl number |
| p | static pressure, Pa |
| q | heat flux, W·m−2 |
| Re | Reynolds number |
| S | sheet thickness, mm |
| Sc | Schmidt number |
| Sh | Sherwood number |
| Sv | specific surface area, m2∙m−3 |
| T | temperature, K |
| T | strand thickness, mm |
| ui, uj | velocity component |
| u0 | superficial (approach) velocity, m∙s−1 |
| W | strand width, mm |
| xi, xj | Cartesian coordinate |
| ε | porosity |
| µ | viscosity, Pa∙s |
| ρ | density, kg∙m−3 |
| τij | stress tensor |
References
- Tang, H.-Y.; Erickson, P.; Yoon, H.C.; Liao, C.-H. Comparison of steam and autothermal reforming of methanol using a packed-bed low-cost copper catalyst. Int. J. Hydrogen Energy 2009, 34, 7656–7665. [Google Scholar] [CrossRef]
- Yang, J.; Wang, Q.; Zeng, M.; Nakayama, A. Computational study of forced convective heat transfer in structured packed beds with spherical or ellipsoidal particles. Chem. Eng. Sci. 2010, 65, 726–738. [Google Scholar] [CrossRef]
- Kołodziej, A.; Łojewska, J.; Łojewski, T.; Iwaniszyn, M. Short-channel structures of triangular cross-section. Int. J. Heat Mass Transf. 2011, 54, 3291–3295. [Google Scholar] [CrossRef]
- Kołodziej, A.; Łojewska, J.; Ochońska, J.; Łojewski, T. Short-channel structured reactor: Experiments versus previous theoretical design. Chem. Eng. Process.-Process Intensif. 2011, 50, 869–876. [Google Scholar] [CrossRef]
- Iwaniszyn, M.; Ochońska, J.; Jodłowski, P.J.; Knapik, A.; Łojewska, J.; Janowska-Renkas, E.; Kołodziej, A. Short-channel structured reactor as a catalytic afterburner. Top. Catal. 2013, 56, 273–278. [Google Scholar] [CrossRef]
- Iwaniszyn, M.; Ochońska, J.; Jodłowski, P.J.; Łojewska, J.; Matuszek-Chmurowska, A.; Kołodziej, A. Microstructured reactor as a pre-turbo catalytic converter. Top. Catal. 2013, 56, 384–389. [Google Scholar] [CrossRef][Green Version]
- Jodłowski, P.J.; Kryca, J.; Rogulska, A.; Gil, B.; Iwaniszyn, M.; Łojewska, J.; Kołodziej, A. New method of determination of intrinsic kinetic and mass transport parameters from typical catalyst activity tests: Problem of mass transfer resistance and diffusional limitation of reaction rate. Chem. Eng. J. 2017, 162, 322–331. [Google Scholar] [CrossRef]
- Giani, L.; Groppi, G.; Tronconi, E. Mass-Transfer Characterization of Metallic Foams as Supports for Structured Catalysts. Ind. Eng. Chem. Res. 2005, 44, 4993–5002. [Google Scholar] [CrossRef]
- Peng, W.; Xu, M.; Li, X.; Huai, X.; Liu, Z.; Wang, H. CFD study on thermal transport in open-cell metal foams with and without a washcoat: Effective thermal conductivity and gas-solid interfacial heat transfer. Chem. Eng. Sci. 2017, 161, 92–108. [Google Scholar] [CrossRef]
- Bianchi, G.; Schwieger, W.; Freund, H. Assessment of Periodic Open Cellular Structures for Enhanced Heat conduction in Catalytic Fixed-Bed Reactors. Adv. Eng. Mater. 2016, 18, 608–614. [Google Scholar] [CrossRef]
- Kumar, P.; Topin, F. Simultaneous determination of intrinsic solid phase conductivity and effective thermal conductivity of Kelvin like foams. Appl. Therm. Eng. 2014, 71, 536–547. [Google Scholar] [CrossRef]
- Bracconi, M.; Ambrosetti, M.; Maestri, M.; Groppi, G.; Tronconi, E. A systematic procedure for the virtual reconstruction of open-cell foams. Chem. Eng. J. 2017, 315, 608–620. [Google Scholar] [CrossRef]
- Gancarczyk, A.; Iwaniszyn, M.; Piątek, M.; Korpyś, M.; Sindera, K.; Jodłowski, P.J.; Łojewska, J.; Kołodziej, A. Catalytic Combustion of Low-Concentration methane on Structured Catalyst Supports. Ind. Eng. Chem. Res. 2018, 57, 10281–10291. [Google Scholar] [CrossRef]
- Busse, C.; Freud, H.; Schwieger, W. Intensification of heat transfer in catalytic reactors by additively manufactured periodic open cellular structures (POCS). Chem. Eng. Process.-Process Intensif. 2018, 124, 199–214. [Google Scholar] [CrossRef]
- Klumpp, M.; Inayat, A.; Schwerdtfeger, J.; Korner, C.; Singer, R.F.; Freund, H.; Schwieger, W. Periodic open cellular structures with ideal cubic cell geometry: Effect of porosity and cell orientation on pressure drop behavior. Chem. Eng. J. 2014, 242, 364–378. [Google Scholar] [CrossRef]
- Oshinowo, L.; Kuhn, D.C.S. Turbulence Decay Behind Expanded Metal Screens. Can. J. Chem. Eng. 2000, 78, 1032–1039. [Google Scholar] [CrossRef]
- Smith, D.; Graciano, C.; Martínez, G. Expanded metal: A review of manufacturing, applications and structural performance. Thin-Walled Struct. 2021, 160, 107371. [Google Scholar] [CrossRef]
- Kołodziej, A.; Łojewska, J. Mass transfer for woven and knitted wire gauze substrates: Experiments and modelling. Catal. Today 2009, 147S, S120–S124. [Google Scholar] [CrossRef]
- Ahlström-Silversand, A.F.; Odenbrand, C.U.I. Modelling catalytic combustion of carbon monoxide and hydrocarbons over catalytically active wire meshes. Chem. Eng. J. 1999, 73, 205–216. [Google Scholar] [CrossRef]
- Lyubovsky, M.; Karim, H.; Menacherry, P.; Boorse, S.; LaPierre, R.; Pfefferle, W.C.; Roychoudhury, S. Complete and partial catalytic oxidation of methane over substrates with enhanced transport properties. Catal. Today 2003, 83, 183–197. [Google Scholar] [CrossRef]
- Porsin, A.V.; Kulikov, A.V.; Dalyuk, I.K.; Rogozhnikov, V.N.; Kochergin, V.I. Catalytic reactor with metal gauze catalysts for combustion of liquid fuel. Chem. Eng. J. 2015, 282, 233–240. [Google Scholar] [CrossRef]
- Jodłowski, P.J.; Kuterasiński, Ł.; Jędrzejczyk, R.J.; Chlebda, D.; Gancarczyk, A.; Basąg, S.; Chmielarz, Ł. DeNOx Abatement Modelling over Sonically Prepared Copper USY and ZSM5 Structured Catalysts. Catalysts 2017, 7, 205. [Google Scholar] [CrossRef]
- Zalosh, R. Deflagration suppression using expanded metal mesh and polymer foams. J. Loss Prev. Process Ind. 2007, 20, 659–663. [Google Scholar] [CrossRef]
- Mustaffar, A.; Harvey, A.; Reay, D. Melting of phase change material assisted by expanded metal mesh. Appl. Therm. Eng. 2015, 90, 1052–1060. [Google Scholar] [CrossRef]
- Lafmejani, S.S.; Müller, M.; Olesen, A.C.; Kær, S.K. Experimental and numerical study of flow in expanded metal plate for water electrolysis applications. J. Power Sources 2018, 397, 334–342. [Google Scholar] [CrossRef]
- Saini, R.P.; Saini, J.S. Heat transfer and friction factor correlations for artificially roughened ducts with expanded metal mesh as roughness element. Int. J. Heat Mass Transf. 1997, 40, 973–986. [Google Scholar] [CrossRef]
- Mallick, R.K.; Thombre, S.B. Performance of passive DMFC with expanded metal mesh current collectors. Electrochim. Acta 2017, 243, 299–309. [Google Scholar] [CrossRef]
- Ergun, S. Fluid flow through packed columns. Chem. Eng. Prog. 1952, 48, 89–94. [Google Scholar]
- Iwaniszyn, M.; Sindera, K.; Gancarczyk, A.; Korpyś, M.; Jędrzejczyk, R.J.; Kołodziej, A.; Jodłowski, P.J. Experimental and CFD investigation of heat transfer and flow resistance in woven wire gauzes. Chem. Eng. Process.-Process Intensif. 2021, 163, 108364. [Google Scholar] [CrossRef]
- Chilton, T.H.; Colburn, A.P. Mass transfer (absorption) coefficients prediction from data on heat transfer and fluid friction. Ind. Eng. Chem. 1934, 26, 1183–1187. [Google Scholar] [CrossRef]










| Mesh Characterization | A | B | C |
|---|---|---|---|
| Length of mesh, LWM [mm] | 6 (6 *) | 6 (5 *) | 4 (4 *) |
| Width of mesh, SWM [mm] | 3.4 (3.4 *) | 3.5 (3.5 *) | 2.5 (2 *) |
| Length of opening, LWO [mm] | 4 (4 *) | 4.5 (3 *) | 2 (2 *) |
| Width of opening, SWO [mm] | 2 (2 *) | 2.5 (2 *) | 1.5 (1.5 *) |
| Strand thickness, T [mm] | 0.5 (0.5 *) | 0.4 (0.5 *) | 0.3 (0.5 *) |
| Strand width, W [mm] | 0.6 (0.6 *) | 0.5 (0.5 *) | 0.4 (0.6 *) |
| Sheet thickness, S [mm] | 1.1 | 1 | 0.65 |
| Specific surface area, Sv [m2/m3] | 1100 | 900 | 1700 |
| Void fraction, ε | 0.84 | 0.9 | 0.84 |
| Bed length, L [m] | 0.0295 | 0.031 | 0.0181 |
| Supplier | Ann-Filters Poland | Ann-Filters Poland | NETex-POL |
| Grid Size | No. of Elements | ΔP/L [Pa/m] | Difference [%] | Nu | Difference [%] |
|---|---|---|---|---|---|
| Coarse | 520,239 | 1952.06 | 2.5 | 58.3 | 0.87 |
| Medium | 766,915 | 1928.66 | 1.3 | 58.0 | 0.35 |
| Fine | 1,038,352 | 1903.90 | - | 57.8 | - |
| EMM | Correlation | Correlation Factor R2 | Difference [%] | No of Exp. Points |
|---|---|---|---|---|
| A | 0.9988 | 3.07 | 30 | |
| B | 0.9983 | 3.35 | 30 | |
| C | 0.9987 | 3.95 | 30 |
| EMM | Correlation | Correlation Factor R2 | Difference [%] | No of Exp. Points |
|---|---|---|---|---|
| A | 0.9956 | 4.06 | 32 | |
| B | 0.9913 | 3.55 | 24 | |
| C | 0.9802 | 4.76 | 28 |
| Support Type | Sv [m2/m3] | ε | Dh [mm] | |
|---|---|---|---|---|
| EMM | A | 1100 | 0.84 | 3.05 |
| B | 900 | 0.9 | 4 | |
| C | 1700 | 0.84 | 1.98 | |
| WWM [29] | No. 1 (d = 5 mm) | 1025 | 0.786 | 2.93 |
| No. 2 (d = 1.13 mm) | 1252 | 0.754 | 2.52 | |
| Monolith (L = 0.2 m) | 1339 | 0.72 | 2.15 | |
| Packed bed (Dp = 3 mm) | 1220 | 0.39 | 1.28 | |
Publisher’s Note: MDPI stays neutral with regard to jurisdictional claims in published maps and institutional affiliations. |
© 2022 by the authors. Licensee MDPI, Basel, Switzerland. This article is an open access article distributed under the terms and conditions of the Creative Commons Attribution (CC BY) license (https://creativecommons.org/licenses/by/4.0/).
Share and Cite
Iwaniszyn, M.; Sindera, K.; Gancarczyk, A.; Leszczyński, B.; Korpyś, M.; Suwak, M.; Kołodziej, A.; Jodłowski, P.J. Characterization of Fluid Flow and Heat Transfer of Expanded Metal Meshes for Catalytic Processes. Energies 2022, 15, 8437. https://doi.org/10.3390/en15228437
Iwaniszyn M, Sindera K, Gancarczyk A, Leszczyński B, Korpyś M, Suwak M, Kołodziej A, Jodłowski PJ. Characterization of Fluid Flow and Heat Transfer of Expanded Metal Meshes for Catalytic Processes. Energies. 2022; 15(22):8437. https://doi.org/10.3390/en15228437
Chicago/Turabian StyleIwaniszyn, Marzena, Katarzyna Sindera, Anna Gancarczyk, Bartosz Leszczyński, Mateusz Korpyś, Mikołaj Suwak, Andrzej Kołodziej, and Przemysław J. Jodłowski. 2022. "Characterization of Fluid Flow and Heat Transfer of Expanded Metal Meshes for Catalytic Processes" Energies 15, no. 22: 8437. https://doi.org/10.3390/en15228437
APA StyleIwaniszyn, M., Sindera, K., Gancarczyk, A., Leszczyński, B., Korpyś, M., Suwak, M., Kołodziej, A., & Jodłowski, P. J. (2022). Characterization of Fluid Flow and Heat Transfer of Expanded Metal Meshes for Catalytic Processes. Energies, 15(22), 8437. https://doi.org/10.3390/en15228437

