Research on Aerodynamic Characteristics of Crescent Iced Conductor Based on S-A Finite Element Turbulence Model
Abstract
1. Introduction
2. Finite Element Scheme Based on the S-A Turbulence Model
2.1. Governing Equation
2.2. Temporal Discretization
2.3. Spatial Discretization
- (1)
- Calculate the predicted velocity from Equation (20).
- (2)
- Calculate the intermediate velocity from Equation (21).
- (3)
- Calculate the pressure from Equation (22).
- (4)
- Calculate the velocity from Equation (23).
- (5)
- Calculate the turbulent quantity from Equation (24).
3. Flow Past a Crescent Iced Conductor
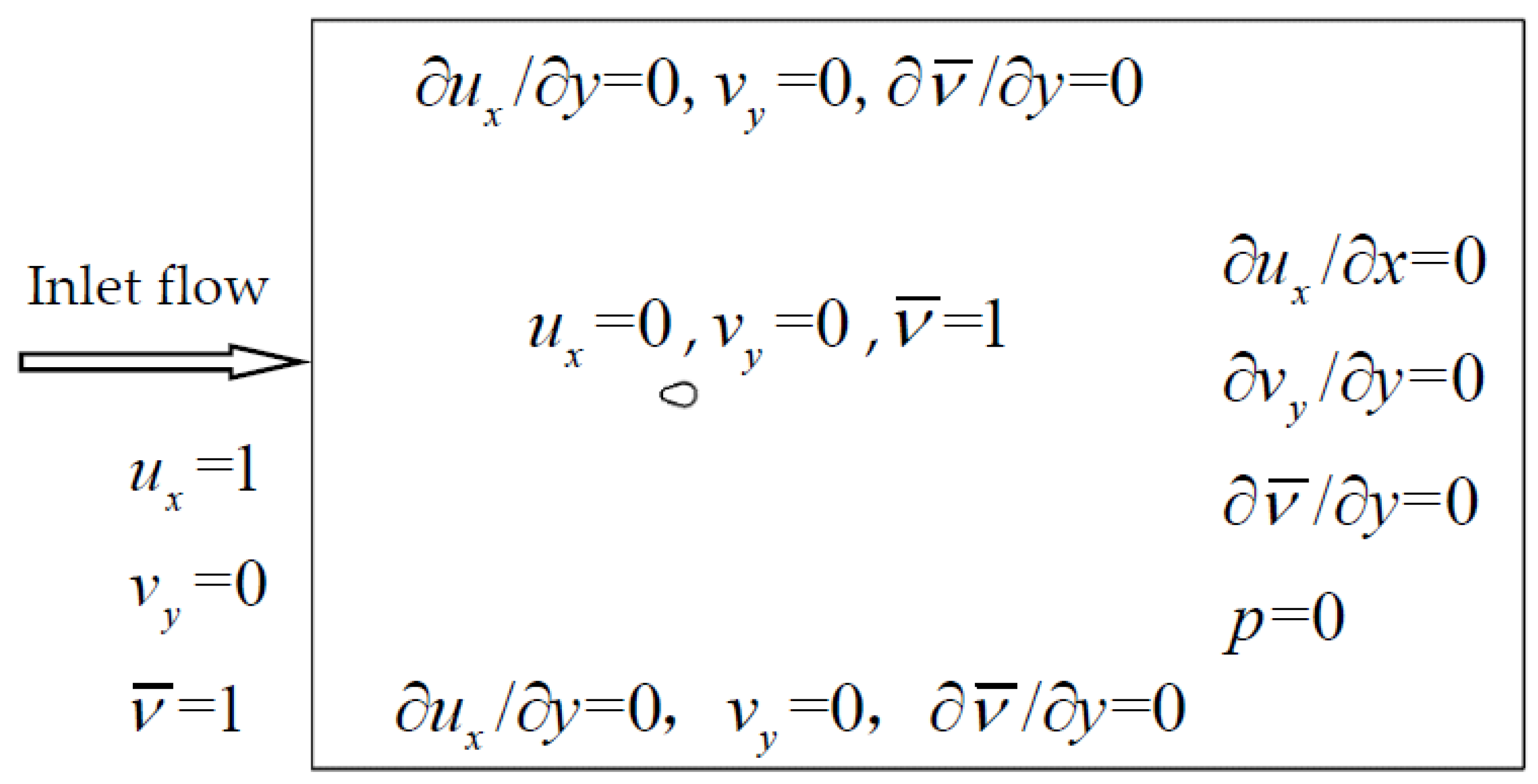
3.1. Problem Descriptions
3.2. Mean Aerodynamic Coefficients
3.3. Flow Pattern
3.4. Mechanism for Sharp Peak of Lift Coefficient
3.5. Stability Analysis of Galloping
4. Discussion
- (1)
- We obtained the aerodynamic coefficients of crescent iced conductor and the sharp peak of lift coefficient. The peak value of lift coefficient increases with the increase of wind speed and icing thickness. The drag coefficient is less affected by wind speed. Between the actual critical wind attack angle, the drag coefficient increases with the increase of icing thickness, and the opposite is true outside the actual critical wind attack angle.
- (2)
- Based on Bernoulli principle, combined with the obtained flow pattern and distribution of mean pressure coefficient, we analyze the reason for the sharp peak of the lift coefficient, which is attributed to the sudden transfer of the boundary layer separation point near the actual wind attack angle and the change of pressure decomposition along the vertical direction.
- (3)
- We obtain Den Hartog and Nigol coefficients of crescent iced conductor. Based on Den Hartog mechanism and Nigol mechanism, with the increase of icing thickness and wind speed, the crescent iced conductor is more prone to galloping near the actual wind attack angle.
Author Contributions
Funding
Data Availability Statement
Conflicts of Interest
References
- Zhang, Z.; Zhang, Y.; Jiang, X.; Hu, J.; Hu, Q. Icing degree characterization of insulators based on the equivalent collision coefficient of standard rotating conductors. Energies 2018, 11, 3326. [Google Scholar] [CrossRef]
- Mou, Z.; Yan, B.; Lin, X.; Huang, G.; Lv, X. Prediction method for galloping features of transmission lines based on fem and machine learning. Cold Reg. Sci. Technol. 2020, 173, 103031. [Google Scholar] [CrossRef]
- Cai, M.; Xu, Q.; Zhou, L.; Yang, X.; Liu, X. Galloping response of sector-shape iced eight bundle conductors. Can. J. Civil Eng. 2019, 47, 1201–1213. [Google Scholar] [CrossRef]
- Wilkinson, M.; Villarreal, J.; Meade, A. A meshless and matrix-free approach to modeling turbulent fluid flow. Comp. Model. Eng. 2021, 129, 1373–1393. [Google Scholar] [CrossRef]
- Moin, P.; Mahesh, K. Direct numerical simulation: A tool in turbulence research. Annu. Rev. Fluid Mech. 1998, 30, 539–578. [Google Scholar] [CrossRef]
- Wang, D.K.; Hu, B.; Shui, Q.X. Large eddy simulation combined with characteristic-based operator-splitting finite element method. Comp. Model. Eng. 2015, 107, 297–320. [Google Scholar]
- Szudarek, M.; Piechna, A.; Prusiński, P.; Rudniak, L. CFD Study of high-speed train in crosswinds for large yaw angles with RANS-based turbulence models including GEKO tuning approach. Energies 2022, 15, 6549. [Google Scholar] [CrossRef]
- Hashemi, M.R. Direct Numerical Simulation of Multi-Phase Flow in Complex Media; Polytechnic University of Catalonia: Barcelona, Spain, 2022. [Google Scholar]
- Altland, S.; Xu, H.; Yang, X. Modeling of cube array roughness: RANS, large eddy simulation, and direct numerical simulation. J. Fluid. Eng.-T. Asme. 2022, 144, 061106. [Google Scholar] [CrossRef]
- Purohit, S.; Kabir, I.F.S.A.; Ng, E.Y.K. On the accuracy of uRANS and LES-based CFD modeling approaches for rotor and wake aerodynamics of the (new) Mexico wind turbine rotor phase-III. Energies 2021, 14, 5198. [Google Scholar] [CrossRef]
- De Vanna, F.; Bof, D.; Benini, E. Multi-objective RANS aerodynamic optimization of a hypersonic intake ramp at Mach 5. Energies 2022, 15, 2811. [Google Scholar] [CrossRef]
- Spalart, P.R.; Allmaras, S.R. A one-equation turbulence model for aerodynamic flows. In Proceedings of the 30th Aerospace Sciences Meeting and Exhibit, Reno, NV, USA, 6–9 January 1994; pp. 5–21. [Google Scholar]
- Bao, Y.; Zhou, D.; Huang, C. Numerical prediction of aerodynamic characteristics of prismatic cylinder by finite element method with Spalart-Allmaras turbulent model. Comput. Struct. 2011, 893, 325–338. [Google Scholar] [CrossRef]
- Han, Z.; Zhou, D.; Tu, J. Flow over two side-by-side square cylinders by CBS finite element scheme of Spalart–Allmaras model. Ocean Eng. 2014, 87, 40–49. [Google Scholar] [CrossRef]
- Xiao, L.C.; Li, X.M.; Jiang, J. Simulation and analysis on aerodynamic characteristics of iced-conductors in typical shapes. Sci. Sin. Phys. Mech. As. 2013, 43, 500–510. [Google Scholar]
- Nithiarasu, P.; Codina, R.; Zienkiewicz, O.C. The characteristic-based split (cbs) scheme-a unified approach to fluid dynamics. Int. J. Numer. Meth. Eng. 2006, 66, 1514–1546. [Google Scholar] [CrossRef]
- Hughes, T.J.R.; Franca, L.P.; Balestra, M. A new finite elment formulation for computational fluid dynamics: V. Circumventing the Babushka-Brezzi condition: A stable Petrov-Galerkin formulation of the stokes problem accommodating equal-order interpolations. Comput. Methods Appl. M. 1986, 59, 85–99. [Google Scholar] [CrossRef]
- Chen, J.; Zhang, Z.Q.; Xu, H. A cell-based smoothed finite element method with semi-implicit CBS procedures for incompressible laminar viscous flows. Int. J. Numer. Methods Fluids 2018, 86, 20–45. [Google Scholar]
- Cortellessa, G.; Arpino, F. Two-phase explicit CBS procedure for compressible viscous flow transport in porous materials. Int. J. Numer. Methods H. 2018, 28, 336–360. [Google Scholar] [CrossRef]
- Nithiarasu, P.; Liu, C.B. An artificial compressibility based characteristic based split (CBS) scheme for steady and unsteady turbulent incompressible flows. Comput. Methods Appl. Mech. Eng. 2006, 195, 2961–2982. [Google Scholar] [CrossRef]
- Bao, Y.; Zhou, D. A two-step Taylor- characteristic-based Galerkin method for incompressible flows and its application to flow. Int. J. Numer. Methods Fluids 2010, 62, 1181–1208. [Google Scholar]
- Enjilela, V.; Arefmanesh, A. Two-step Taylor- characteristic MLPG method for fluid flow and heat transfer applications. Eng. Anal. Bound. Elem. 2015, 51, 174–190. [Google Scholar] [CrossRef]
- Liao, S.K.; Zhang, Y.; Chen, D. A Galerkin finite element algorithm based on third-order Runge-Kutta temporal discreization along the uniform streamline for unsteady incompressible flows. Int. J. Numer. Methods Fluids 2019, 90, 323–339. [Google Scholar] [CrossRef]
- Liao, S.K.; Zhang, Y.; Chen, D. Runge-Kutta finite element method based on the characteristic for the incompressible Navier-Stokes equations. Adv. Appl. Math. Mech. 2019, 11, 1415–1435. [Google Scholar]
- Jia, Y.; Shang, L.; Nan, J. CFD Analysis of fluid-dynamic and heat transfer effects generated by a fixed electricity transmission line interacting with an external wind. Fluid Dyn. Mater. Proc. 2022, 18, 329–344. [Google Scholar] [CrossRef]
- Shimizu, M.; Ishihara, T.; Phuc, P.V. A Wind Tunnel Study on Steady and Unsteady Aerodynamic Characteristics of Ice Accreted Transmission Lines. In Proceedings of the 5th International Colloquium on Bluff Body Aerodynamics and Applications, Ottawa, ON, Canada, 11–15 July 2004; pp. 369–372. [Google Scholar]
- Lou, W.J.; Lin, W.; Huang, M.L. The impact of ice thickness on the aerodynamic characteristics of crescent shape iced conductors. Acta Aerodyn. Sin. 2013, 31, 616–622. [Google Scholar]
- Ishihara, T.; Oka, S. A numerical study of the aerodynamic characteristics of ice-accreted transmission lines. J. Wind Eng. Ind. Aerodyn. 2018, 177, 60–68. [Google Scholar]
- Li, X.M.; Nie, X.C.; Zhu, Y.K. Wind tunnel tests on aerodynamic characteristics of ice-coated 4-bundled conductors. Math. Probl. Eng. 2017, 40, 1628173. [Google Scholar]
- Den Hartog, J.P. Transmission line vibration due to sleet. Trans. Am. Inst. Electr. Eng. 1932, 51, 1074–1076. [Google Scholar] [CrossRef]
- Nigol, O. Torsional stability of bundle conductors. Trans. Power Appar. Syst. 1977, 96, 1666–1676. [Google Scholar] [CrossRef]
- Huo, B.; Liu, X.; Yang, S. Galloping of iced transmission lines considering multi-torsional modes and experimental validation on a continuous model. IEEE T. Power Deliv. 2022, 37, 3016–3026. [Google Scholar] [CrossRef]
- Wang, X. Wind Tunnel Test on Galloping of Iced Conductors and Galloping Simulation for Transmission Tower-Line System; Zhejiang University: Zhejiang, China, 2011. [Google Scholar]
- Oka, S.; Ishihara, T. Numerical Study on Steady Aerodynamic Characteristics of Iced Accreted Transmission. In Proceedings of the 5th Computational Wind Engineering, Chapel Hill, NC, USA, 23–27 May 2010; Volume 275, pp. 23–27. [Google Scholar]












| Computational Domain | No. of Elements | Surface of Iced Conductor | Cd | St | ||
|---|---|---|---|---|---|---|
| Segments | Radial Mesh Size | |||||
| 0.5D:Ω1 [−12, 28] × [−12, 12] | 29,930 | 285 | 3.68 × 10−3 | 0.0025 | 0.687 | 0.213 |
| 0.5D:Ω2 [−16, 36] × [−16, 16] | 38,350 | 285 | 3.68 × 10−3 | 0.0025 | 0.683 | 0.210 |
| 0.5D:Ω3 [−20, 40] × [−20, 40] | 48,325 | 285 | 3.68 × 10−3 | 0.0025 | 0.682 | 0.208 |
| Computational Domain | No. of Elements | Surface of Iced Conductor | Cd | St | ||
|---|---|---|---|---|---|---|
| Segments | Radial Mesh Size | |||||
| G1 38,350 | 285 | 3.68 × 10−3 | 0.0025 | 0.683 | 0.210 | |
| 0.5D:Ω2 [−16, 36] × [−16, 16] | G2 44,050 | 290 | 2.92 × 10−3 | 0.0025 | 0.682 | 0.210 |
| G3 50,400 | 310 | 2.11 × 10−3 | 0.0025 | 0.681 | 0.208 | |
| Icing Thickness | Computational Domain | No. of Elements | Surface of Iced Conductor | Time Step | |
|---|---|---|---|---|---|
| Segments | Radial Mesh Size | ||||
| 0.25D | Ω1 [−16, 36] × [−16, 16] | 38,350 | 285 | 2.92 × 10−3 | 0.0025 |
| 0.5D | Ω2 [−16, 36] × [−16, 16] | 38,350 | 285 | 2.92 × 10−3 | 0.0025 |
| 1.0D | Ω3 [−20, 40] × [−20, 20] | 46,000 | 320 | 2.10 × 10−3 | 0.0025 |
| Icing Thickness | Actual Critical Wind Attack Angle | Theoretical Critical Wind Attack Angle | ||||||||
|---|---|---|---|---|---|---|---|---|---|---|
| Re = 20,000 | Re = 10,000 | Re = 5000 | Re = 1000 | |||||||
| 0.25D | 27° | 155° | 27° | 153° | 25° | 150° | 25° | 150° | 26° | 154° |
| 0.5D | 20° | 168° | 18° | 164° | 18° | 162° | 16° | 160° | 18° | 162° |
| 1.0D | 14° | 176° | 14° | 174° | 14° | 174° | 10° | 170° | 11° | 169° |
Publisher’s Note: MDPI stays neutral with regard to jurisdictional claims in published maps and institutional affiliations. |
© 2022 by the authors. Licensee MDPI, Basel, Switzerland. This article is an open access article distributed under the terms and conditions of the Creative Commons Attribution (CC BY) license (https://creativecommons.org/licenses/by/4.0/).
Share and Cite
Liao, S.; Zhang, Y.; Chen, X.; Cao, P. Research on Aerodynamic Characteristics of Crescent Iced Conductor Based on S-A Finite Element Turbulence Model. Energies 2022, 15, 7753. https://doi.org/10.3390/en15207753
Liao S, Zhang Y, Chen X, Cao P. Research on Aerodynamic Characteristics of Crescent Iced Conductor Based on S-A Finite Element Turbulence Model. Energies. 2022; 15(20):7753. https://doi.org/10.3390/en15207753
Chicago/Turabian StyleLiao, Shaokai, Yan Zhang, Xi Chen, and Pengcheng Cao. 2022. "Research on Aerodynamic Characteristics of Crescent Iced Conductor Based on S-A Finite Element Turbulence Model" Energies 15, no. 20: 7753. https://doi.org/10.3390/en15207753
APA StyleLiao, S., Zhang, Y., Chen, X., & Cao, P. (2022). Research on Aerodynamic Characteristics of Crescent Iced Conductor Based on S-A Finite Element Turbulence Model. Energies, 15(20), 7753. https://doi.org/10.3390/en15207753

