Far-Wake Meandering of a Wind Turbine Model with Imposed Motions: An Experimental S-PIV Analysis
Abstract
1. Introduction
2. Experimental Setups
2.1. Wind Tunnel and Flow Condition
2.2. Model Description
2.3. S-PIV Measurements and Data Analysing
3. Results
3.1. Data Quality Metrics
3.2. Recovery of Far-Wake
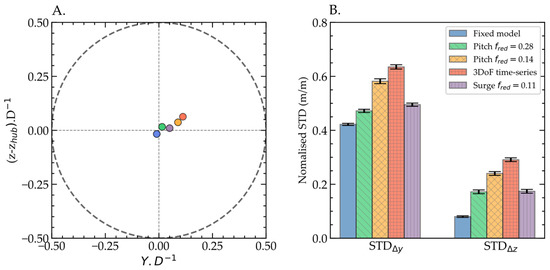
3.3. Far-Wake Meandering Statistics
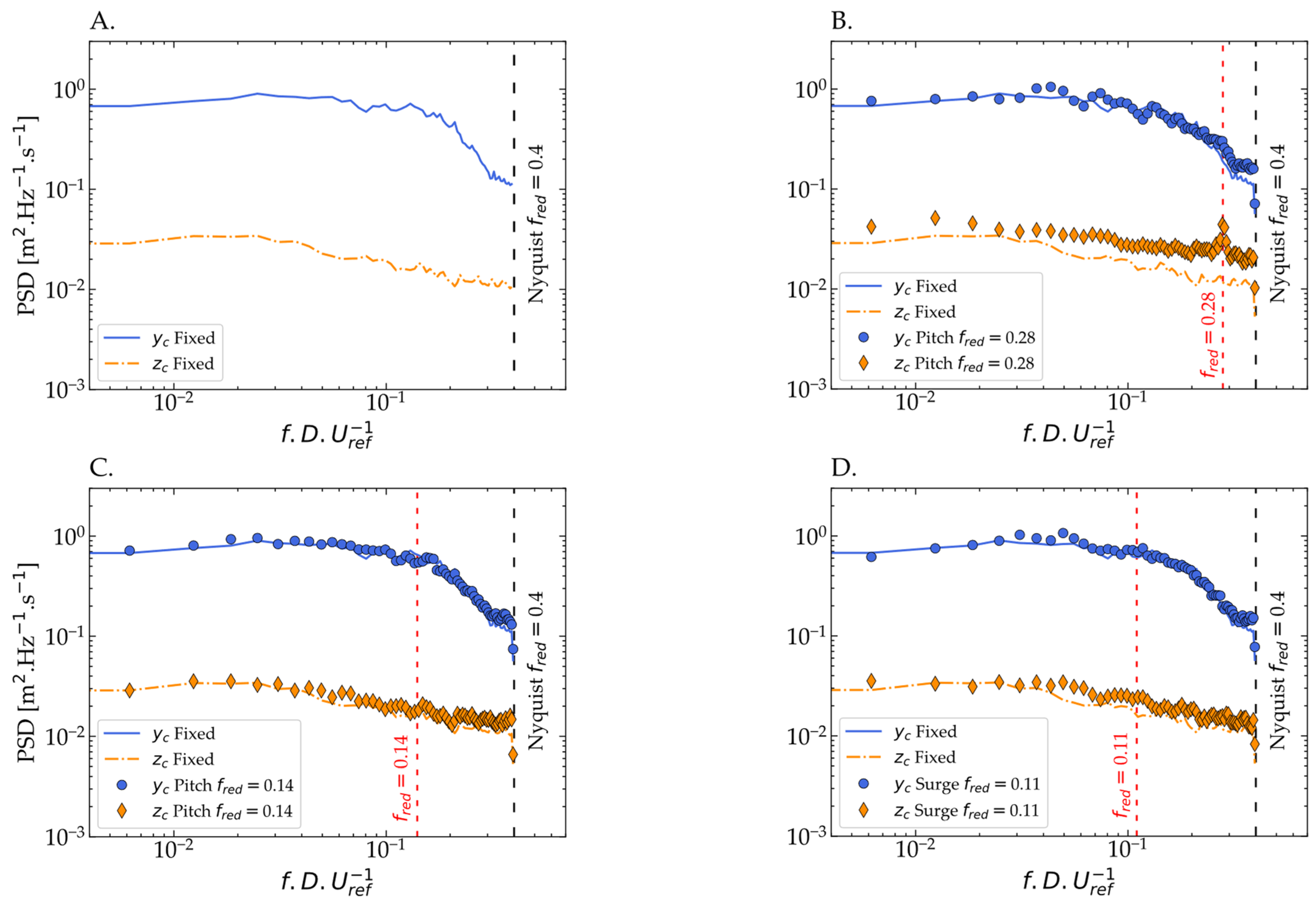
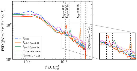
3.4. Spectral Analysis of Far-Wake Centres
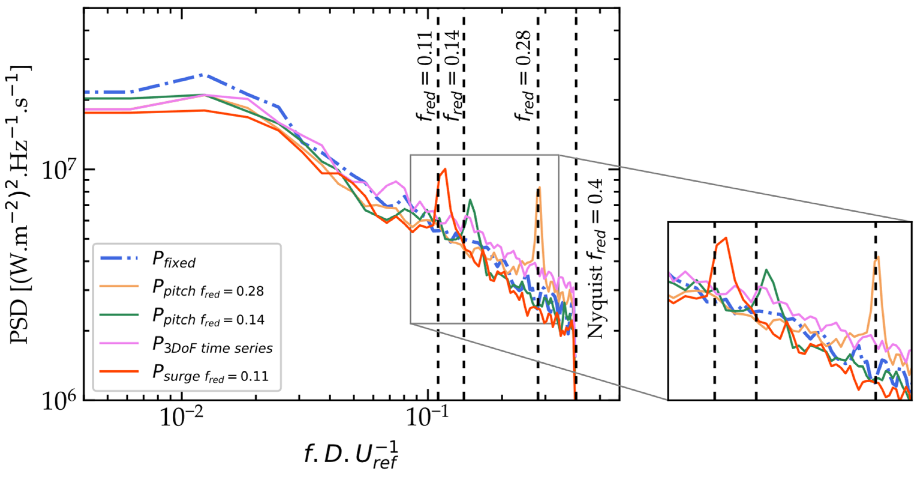
3.5. Normalised Available Wind Power
4. Conclusions
Author Contributions
Funding
Data Availability Statement
Acknowledgments
Conflicts of Interest
Nomenclature
| Abbreviations | Symbols and Indices | ||
| FOWT | Floating Offshore Wind Turbine | Thrust coefficient | |
| WT | Wind Turbine | Frequency in Hz | |
| S-PIV | Stereoscopic Particle Image Velocimetry | Reduced frequency | |
| DoF | Degrees Of Freedom | Reference velocity of incident wind in meter per second | |
| 3DoF | Three-degrees-of-freedom | Reference velocity of wind at hub height in meter per second | |
| ABL | Atmospheric Boundary Layer | Significant wave height in meter | |
| BL | Boundary Layer | Wave peak period in second | |
| 2D3C | 2-Dimensional-3-Component | Mpx | Megapixel |
| 2D | 2-Dimensional | px | Pixel |
| Nd-YAG | Neodymium-Doped Yttrium Aluminum Garnet | Turbulence intensity (%) | |
| TKE | Turbulence Kinetic Energy | Standard deviation of velocity component (x, y, z) | |
| Probability Density Function | Streamwise Turbulence intensity (%) | ||
| PSD | Power Spectral Density | Number of independent samples | |
| Symbols and Indices | Uncertainty of estimated streamwise mean-velocity | ||
| GW, MW, kW | Gigawatt, Megawatt, Kilowatt | Uncertainty of estimated standard deviation | |
| D | Diameter of turbine rotor in meter | x, y z | Space coordinates (streamwise, lateral and vertical, respectively) |
| Power-law exponent of ABL velocity profile | Instantaneous crosswise location of wake centre | ||
| Axial induction factor of porous disc | Mean crosswise location of wake centre | ||
| Roughness length of ABL in meter | Revised location of wake centre | ||
| Integral length scale of ABL in meter | Normalized lateral distance on rotor diameter | ||
| Power coefficient | Hub height in meter | ||
References
- DNV GL. Floating Wind: The Power To Commercialize; DNV GL: Bærum, Norway, 2020. [Google Scholar]
- El-Asha, S.; Zhan, L.; Iungo, G.V. Quantification of Power Losses Due to Wind Turbine Wake Interactions through SCADA, Meteorological and Wind LiDAR Data. Wind Energy 2017, 20, 1823–1839. [Google Scholar] [CrossRef]
- Huang, Y.; Wan, D.; Hu, C. Numerical Study of Wake Interactions between Two Floating Offshore Wind Turbines. In Proceedings of the 28th International Ocean and Polar Engineering Conference, Sapporo, Japan, 10–15 June 2018; pp. 541–548. [Google Scholar]
- Tang, H.; Lam, K.M.; Shum, K.M.; Li, Y. Wake Effect of a Horizontal Axis Wind Turbine on the Performance of a Downstream Turbine. Energies 2019, 12, 2395. [Google Scholar] [CrossRef]
- Barthelmie, R.J.; Jensen, L.E. Evaluation of Wind Farm Efficiency and Wind Turbine Wakes at the Nysted Offshore Wind Farm. Wind Energy 2010, 13, 573–586. [Google Scholar] [CrossRef]
- Sun, H.; Gao, X.; Yang, H. A Review of Full-Scale Wind-Field Measurements of the Wind-Turbine Wake Effect and a Measurement of the Wake-Interaction Effect. Renew. Sustain. Energy Rev. 2020, 132, 110042. [Google Scholar] [CrossRef]
- Barthelmie, R.J.; Hansen, K.; Frandsen, S.T.; Rathmann, O.; Schepers, J.G.; Schlez, W.; Phillips, J.; Rados, K.; Zervos, A.; Politis, E.S.; et al. Modelling and Measuring Flow and Wind Turbine Wakes in Large Wind Farms Offshore. Wind Energy 2009, 12, 431–444. [Google Scholar] [CrossRef]
- Meng, H.; Lien, F.S.; Glinka, G.; Li, L.; Zhang, J. Study on Wake-Induced Fatigue on Wind Turbine Blade Based on Elastic Actuator Line Model and Two-Dimensional Finite Element Model. Wind Eng. 2019, 43, 64–82. [Google Scholar] [CrossRef]
- Urbán, A.M.; Liew, J.; Dellwik, E.; Larsen, G.C. The Effect of Wake Position and Yaw Misalignment on Power Loss in Wind Turbines. In Journal of Physics: Conference Series; IOP Publishing: Bristol, UK, 2019; Volume 1222. [Google Scholar]
- Larsen, G.C.; Madsen, H.A.; Thomsen, K.; Larsen, T.J. Wake Meandering: A Pragmatic Approach. Wind Energy 2008, 11, 377–395. [Google Scholar] [CrossRef]
- Yang, X.; Sotiropoulos, F. A Review on the Meandering of Wind Turbine Wakes. Energies 2019, 12, 4725. [Google Scholar] [CrossRef]
- Porté-Agel, F.; Bastankhah, M.; Shamsoddin, S. Wind-Turbine and Wind-Farm Flows: A Review; Springer: Dordrecht, The Netherlands, 2020; Volume 174, ISBN 1054601900473. [Google Scholar]
- Argyle, P.; Watson, S.; Montavon, C.; Jones, I.; Smith, M. Modelling Turbulence Intensity within a Large Offshore Wind Farm. Wind Energy 2018, 21, 1329–1343. [Google Scholar] [CrossRef]
- Pardo Garcia, L.; Conan, B.; Aubrun, S.; Perret, L.; Piquet, T.; Raibaudo, C.; Schliffke, B. Experimental Analysis of the Wake Meandering of a Floating Wind Turbine under Imposed Surge Motion. J. Phys. Conf. Ser. 2022, 2265, 042003. [Google Scholar] [CrossRef]
- Fu, S.; Jin, Y.; Zheng, Y.; Chamorro, L.P. Wake and Power Fluctuations of a Model Wind Turbine Subjected to Pitch and Roll Oscillations. Appl. Energy 2019, 253, 113605. [Google Scholar] [CrossRef]
- Kadum, H.; Rockel, S.; Hölling, M.; Peinke, J.; Cal, R.B. Wind Turbine Wake Intermittency Dependence on Turbulence Intensity and Pitch Motion. J. Renew. Sustain. Energy 2019, 11, 53302. [Google Scholar] [CrossRef]
- Schliffke, B.; Aubrun, S.; Conan, B. Wind Tunnel Study of a “Floating” Wind Turbine’s Wake in an Atmospheric Boundary Layer with Imposed Characteristic Surge Motion. J. Phys. Conf. Ser. 2020, 1618, 062015. [Google Scholar] [CrossRef]
- BW-ideol FLOATGEN 2MW Demonstration FOW System. Available online: https://www.bw-ideol.com/en/academic-publications (accessed on 1 January 2022).
- Savory, E.; Perret, L.; Rivet, C. Modelling Considerations for Examining the Mean and Unsteady Flow in a Simple Urban-Type Street Canyon. Meteorol. Atmos. Phys. 2013, 121, 1–16. [Google Scholar] [CrossRef]
- Raibaudo, C.; Piquet, T.; Schliffke, B.; Conan, B.; Perret, L. POD Analysis of the Wake Dynamics of an Offshore Floating Wind Turbine Model. J. Phys. Conf. Ser. 2022, 2265, 022085. [Google Scholar] [CrossRef]
- Schliffke, B. Experimental Characterisation of the Far Wake of a Modelled Floating Wind Turbine as a Function of Incoming Swell. Ph.D. Thesis, Ecole Centrale Nantes, Nantes, France, 2022. [Google Scholar]
- VDI 2000 Umweltmeteorologie; Environmental Meteorology—Dispersion of Emissions by Accidental Releases. VDI: Berlin, Germany, 2019.
- Ecole Centrale De Nantes SEM-REV Test Site. Available online: https://sem-rev.ec-nantes.fr/ (accessed on 1 January 2022).
- Aubrun, S.; España, G.; Loyer, S.; Hayden, P.; Hancock, P. Is the Actuator Disc Concept Sufficient to Model the Far-Wake of a Wind Turbine? Oberlack, M., Peinke, J., Talamelli, A., Castillo, L., Hölling, M., Eds.; Springer: Berlin/Heidelberg, Germany, 2012; pp. 227–230. [Google Scholar]
- Kähler, C.J.; Astarita, T.; Vlachos, P.P.; Sakakibara, J.; Hain, R.; Discetti, S.; La Foy, R.; Cierpka, C. Main Results of the 4th International PIV Challenge. Exp. Fluids 2016, 57, 97. [Google Scholar] [CrossRef]
- Benedict, L.H.; Gould, R.D. Towards Better Uncertainty Estimates for Turbulence Statistics. Exp. Fluids 1996, 22, 129–136. [Google Scholar] [CrossRef]
- Sciacchitano, A. Uncertainty Quantification in Particle Image Velocimetry. Meas. Sci. Technol. 2019, 30, 092001. [Google Scholar] [CrossRef]
- Nobach, H.; Tropea, C. Fundamentals of Data Processing BT—Springer Handbook of Experimental Fluid Mechanics; Tropea, C., Yarin, A.L., Foss, J.F., Eds.; Springer: Berlin/Heidelberg, Germany, 2007; pp. 1399–1417. ISBN 978-3-540-30299-5. [Google Scholar]
- Chamorro, L.P.; Porté-Agel, F. A Wind-Tunnel Investigation of Wind-Turbine Wakes: Boundary-Layer Turbulence Effects. Bound.-Layer Meteorol. 2009, 132, 129–149. [Google Scholar] [CrossRef]
- Ramos-García, N.; Kontos, S.; Pegalajar-Jurado, A.; González Horcas, S.; Bredmose, H. Investigation of the Floating IEA Wind 15 MW RWT Using Vortex Methods Part I: Flow Regimes and Wake Recovery. Wind Energy 2022, 25, 468–504. [Google Scholar] [CrossRef]
- Ramos-García, N.; González Horcas, S.; Pegalajar-Jurado, A.; Kontos, S.; Bredmose, H. Investigation of the Floating IEA Wind 15-MW RWT Using Vortex Methods Part II: Wake Impact on Downstream Turbines under Turbulent Inflow. Wind Energy 2022, 25, 1434–1463. [Google Scholar] [CrossRef]
- Taylor, G.J.; Milborrow, D.J.; McIntosh, D.N.; Swift-Hook, D.T. Wake Measurements on the Nibe Windmills. In Proceedings of the 7th British Wind Energy Association Conference, Oxford, UK, 27–29 March 1985. [Google Scholar]
- Coudou, N.; Moens, M.; Marichal, Y.; Van Beeck, J.; Bricteux, L.; Chatelain, P. Development of Wake Meandering Detection Algorithms and Their Application to Large Eddy Simulations of an Isolated Wind Turbine and a Wind Farm. J. Phys. Conf. Ser. 2018, 1037, 72024. [Google Scholar] [CrossRef]














| Model | Dimensionless Values | ||||
|---|---|---|---|---|---|
| Test Case | Motion Type | Amplitude | Frequency (Hz) | Normalised Amplitude ** | Reduced Frequency |
| 1 | Fixed model | - | - | - | - |
| 2 | Pitch I * | 8° | 5 | 8° | 0.28 |
| 3 | Pitch II * | 8° | 2.5 | 8° | 0.14 |
| 4 | 3DoF (Surge, heave, Pitch) | Time series | Time series | ||
| 5 | Surge I | 20 mm | 2 | 0.125 | 0.11 |
| Row | Test Case | Standard Deviation | Skewness | Kurtosis | |||
|---|---|---|---|---|---|---|---|
| Δy | Δz | Δy | Δz | Δy | Δz | ||
| 1 | Fixed model | 0.422 | 0.080 | −0.094 | 3.035 | −0.396 | 17.521 |
| 2 | Pitch I (Amp: 8°; fred: 0.28) | 0.472 | 0.172 | 0.326 | 4.331 | 0.572 | 22.585 |
| 3 | Pitch II (Amp: 8°; fred: 0.14) | 0.582 | 0.240 | 0.737 | 3.313 | 1.000 | 10.934 |
| 4 | 3DoF realistic time-series (Surge, Heave, Pitch) | 0.635 | 0.291 | 0.314 | 2.613 | 0.552 | 6.094 |
| 5 | Surge (Amp: 20 mm; fred: 0.11) | 0.495 | 0.174 | 0.442 | 4.468 | 0.765 | 23.235 |
Publisher’s Note: MDPI stays neutral with regard to jurisdictional claims in published maps and institutional affiliations. |
© 2022 by the authors. Licensee MDPI, Basel, Switzerland. This article is an open access article distributed under the terms and conditions of the Creative Commons Attribution (CC BY) license (https://creativecommons.org/licenses/by/4.0/).
Share and Cite
Belvasi, N.; Conan, B.; Schliffke, B.; Perret, L.; Desmond, C.; Murphy, J.; Aubrun, S. Far-Wake Meandering of a Wind Turbine Model with Imposed Motions: An Experimental S-PIV Analysis. Energies 2022, 15, 7757. https://doi.org/10.3390/en15207757
Belvasi N, Conan B, Schliffke B, Perret L, Desmond C, Murphy J, Aubrun S. Far-Wake Meandering of a Wind Turbine Model with Imposed Motions: An Experimental S-PIV Analysis. Energies. 2022; 15(20):7757. https://doi.org/10.3390/en15207757
Chicago/Turabian StyleBelvasi, Navid, Boris Conan, Benyamin Schliffke, Laurent Perret, Cian Desmond, Jimmy Murphy, and Sandrine Aubrun. 2022. "Far-Wake Meandering of a Wind Turbine Model with Imposed Motions: An Experimental S-PIV Analysis" Energies 15, no. 20: 7757. https://doi.org/10.3390/en15207757
APA StyleBelvasi, N., Conan, B., Schliffke, B., Perret, L., Desmond, C., Murphy, J., & Aubrun, S. (2022). Far-Wake Meandering of a Wind Turbine Model with Imposed Motions: An Experimental S-PIV Analysis. Energies, 15(20), 7757. https://doi.org/10.3390/en15207757

