Performance Analysis and Optimization of SHS Based on Solar Resources Distribution in Typical Cities in Cold Regions of China
Abstract
1. Introduction
2. Typical Urban Thermal Load Simulation
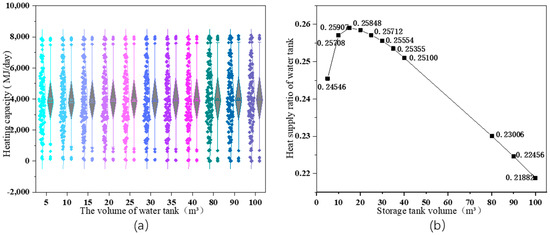
- (a)
- (b)
- Other parameters:
- (1)
- Heating time. The heating date is from November 15th to March 15th of the following year, a total of 120 days.
- (2)
- Indoor personnel. According to the actual construction situation, a total of 456 people live in the building, the density of the number of people in the activity room is 0.1 person/m2.
- (3)
- Lights and equipment. The light power is 11 W/m2, and the equipment power is 20 W/m2.
- (4)
- Room temperature. The room heating temperature is set at 20 °C, and the humidity is 55%.
3. Design and Simulation of SHS
3.1. System Parameters
3.2. Conceptual Plan and Dynamic Simulation of SHS
4. Operation Analysis and Optimization
4.1. Analysis of Operation Status of Xi’an
4.2. Optimization Strategy in Xi’an
4.2.1. Optimization of Supply Water Temperature
4.2.2. System Optimization in Different Specifications of HSWTs
4.3. Comparative Analysis of the Three Regions
5. Conclusions
Author Contributions
Funding
Conflicts of Interest
Nomenclature
| Supply temperature of fluid, °C | Maximum thermal load, kW | ||
| Design temperature difference of plate heat, °C | Specific heat capacity of the solution at the collector side, J (kg·K) | ||
| Heat transfer coefficient, W/(m2∙°C) | Specific heat capacity of solution at the end of plate heat exchanger, J (kg·K) | ||
| Area of the plate heat exchanger, m2 | Solution density at collector side, kg/m3 | ||
| Area of single plate heat collector, m2 | Solution density at the end of plate heat exchanger, kg/m3 | ||
| N | Number of heat collectors | Volume of water tank, m3 | |
| Angle of heat collectors, ° | HSWT | Heat storage water tank | |
| Total flow of collector side, kg/s | SASHP | Solar air source heat pump | |
| Total flow at the end of plate heat exchanger, kg/s | AHS | Auxiliary heat source | |
| Thermal efficiency of collector with as reference, % | SHS | Solar heating system | |
| Collector thermal efficiency when = 0, % | , | Heat source, load side flow, kg/h | |
| Normalized temperature difference, (m2·K)/W | , | Tank Heat Loss Coefficient | |
| Constant with reference to | Tank Heat Loss Coefficient | ||
| Constant with reference to | Ambient temperature, °C | ||
| G | Total solar irradiance, W/m2 | , | Heat source, load Control parameters |
| Collector working medium inlet temperature, °C | , | Control parameters of heat and mass exchange between layers i | |
| Ambient temperature, °C | Tank top temperature, | ||
| The i-th water layer mass, kg | Design heating temperature, °C | ||
| The i-th water layer temperature, °C | Heating backwater temperature, °C | ||
| Specific heat capacity of water, kJ/(kg·K) | M | Hot water flow, kg/h | |
| Flow of heating backwater back to water tank, kg/h | Flow of heating backwater directly into mixing valve, kg/h |
References
- Francesconi, M.; Antonelli, M. A CFD analysis to investigate thermal losses in a panel composed of several CPC concentrators. Therm. Sci. Eng. Progr. 2018, 5, 278–288. [Google Scholar] [CrossRef]
- Kılıçkap, S.; El, E.; Yıldız, C. Investigation of the effect on the efficiency of phase change material placed in solar collector tank. Therm. Sci. Eng. Progr. 2018, 5, 25–31. [Google Scholar] [CrossRef]
- Yu, H.; Niu, J.L.; Chung, T.M. Study on performance of energy-efficient retrofitting measures on commercial building ex-ternal walls in cooling-dominant cities. Appl. Energy 2013, 103, 97–108. [Google Scholar]
- Zou, B.; Dong, J.K.; Yao, Y.; Jiang, Y.Q. An experimental investigation on a small-sized parabolic trough solar collector for water heating in cold areas. Appl. Energy 2016, 163, 396–407. [Google Scholar] [CrossRef]
- Sun, L.; Xiang, N.; Yuan, Y.P.; Cao, X.L. Experimental Investigation on Performance Comparison of Solar Water Heating-Phase Change Material System and Solar Water Heating System. Energies 2019, 12, 2347. [Google Scholar] [CrossRef]
- Hu, W.S.; Sun, S.J.; Zhang, C.J.; Xiong, C.; Sun, P.F. Performance of phase—Variant U—tube solar collector. Chem. Ind. Eng. Prog. 2021, 40, 771–777. [Google Scholar]
- de Araújo Elias, T.; da Costa Mendes, P.R.; Normey-Rico, J.E. Hybrid predictive controller for overheating prevention of solar collectors. Renew. Energy 2019, 136, 535–547. [Google Scholar] [CrossRef]
- Kaan, Y.; Gökhan, A. Modeling, simulation, and optimization of a solar water heating system in different climate regions. J. Renew. Sustain. Energy 2018, 10, 3703. [Google Scholar]
- Kursun, B.; Okten, K. Effect of rectangular hot water tank position and aspect ratio on thermal stratification enhancement. Renew. Energy 2018, 116, 639–646. [Google Scholar] [CrossRef]
- Rey, A.; Zmeureanu, R. Multi-objective optimization of a residential solar thermal combisystem. Sol. Energy 2016, 139, 622–632. [Google Scholar] [CrossRef]
- Hui, D. Optimization Design and Operation Simulation of Solar Heating System in Jinzhou Xinwande Co., Ltd; Liaoning University of Technology: Jinzhou, China, 2018. [Google Scholar]
- Wu, W.; Dai, S.; Liu, Z.; Dou, Y.P.; Wang, X.Y. Experimental study on the performance of a novel solar water heating system with and without PCM. Sol. Energy 2021, 171, 604–612. [Google Scholar] [CrossRef]
- Wang, D.; Gao, Q.; Liu, Y.; Wang, Y.; Chen, Y.W.; Liu, Y.; Liu, J.P. Experimental study on heating characteristics and parameter optimization of transpired solar collectors. Appl. Energy 2019, 238, 534–546. [Google Scholar] [CrossRef]
- Villasmil, W.; Troxler, M.; Hendry, R.; Schuetz, P.; Worlitschek, J. Control strategies of solar heating systems coupled with seasonal thermal energy storage in self-sufficient buildings. J. Energy Storage 2021, 42, 103069. [Google Scholar] [CrossRef]
- Zhang, L.; Chen, H.; Liu, C.; He, Y.; Cao, L. Optimal allocation of heat collection area of two kinds of collectors in solar water heating system. Mod. Electron. Tech. 2021, 44, 156–159. [Google Scholar]
- Varc, P.; Seidl, J.; Václav, D. Experimental study of influence of inlet geometry on thermal stratification in thermal energy storage during charging process. Eur. Phys. J. Conf. 2014, 67, 02114. [Google Scholar]
- Erdemir, D.; Altuntop, N. Improved thermal stratification with obstacles placed inside the vertical mantled hot water tanks. Appl. Therm. Eng. 2016, 100, 20–29. [Google Scholar] [CrossRef]
- Moncho-Esteve, I.J.; Gasque, M.; González-Altozano, P.; Palau-Salvador, G. Simple inlet devices and their influence on thermal stratification in a hot water storage tank. Energy Build. 2017, 150, 625–638. [Google Scholar] [CrossRef]
- Liu, Y.F.; Li, T.; Chen, Y.W.; Wang, D.J. Optimization of Solar Water Heating System under Time and Spatial Partition Heating in Rural Dwellings. Energies 2017, 10, 1561. [Google Scholar] [CrossRef]
- Huan, C.; Sheng, L.; Zhao, W. Performance Analysis of a Combined Solar-Assisted Heat Pump Heating System in Xi’an, China. Energies 2019, 12, 2515. [Google Scholar] [CrossRef]
- Long, J.; Xia, K.; Zhong, H.; Lu, H.; Yongga, A. Study on energy-saving operation of a combined heating system of solar hot water and air source heat pump. Energy Convers. Manag. 2021, 229, 113624. [Google Scholar] [CrossRef]
- GB50736-2018; Ministry of Housing and Urban-Rural Development of the People’s Republic of China. Design Code for Heating Ventilation and Air Conditioning of Civil Buildings. China Architecture & Building Press: Beijing, China, 2018.
- JGJ26-2018; Ministry of Housing and Urban-Rural Development of the People’s Republic of China. Design Standard for Energy Efficiency of Residential Buildings in Severe Cold and Cold Zones. China Architecture & Building Press: Beijing, China, 2018.
- GB 50495-2019; Ministry of Housing and Urban-Rural Development of the People’s Republic of China. Technical Standards for Solar Heating and Heating Engineering. China Architecture & Building Press: Beijing, China, 2019.
- Zhao, J.; Bai, Y.; Gao, J.; Qiang, T.; Liang, P. Smart Evaluation Index of Roof SHS Suitability. Energies 2022, 15, 1164. [Google Scholar] [CrossRef]








| The Type of Enclosing Structure | Material and Thickness |
|---|---|
| Exterior walls | 20 mm lime mortar–200 mm porous concrete—20 mm lime mortar–80 mm polystyrene foam |
| interior wall | 20 mm cement mortar–200 mm gravel or pebble—20 mm cement mortar–20 mm polystyrene foam |
| Window | Normal hollow glass–12 mm outer windowNormal hollow glass–9 mm inner window |
| Door | The glass exterior door of the mallWooden inner door |
| Type of Building: Student Dormitory | Unit | Value | |
|---|---|---|---|
| Supply temperature of fluid | °C | 45 | |
| Design temperature difference of plate heat | °C | 5 | |
| Type of heating end | Hot water floor radiation | ||
| Type of collector | Flat plate collector | ||
| Fluid specific heat | J/kg·K | 3635 | |
| Flow rate at test conditions | kg/h·m2 | 50 | |
| Intercept efficiency | 0.7 | ||
| Heat transfer fluid of the collector side | water-glycol | ||
| Type of heat exchanger | plate heat exchanger | ||
| Heat transfer coefficient | 4622 | ||
| Area of the plate heat exchanger | m2 | 16.2 | |
| Area of single plate heat collector | m2 | 2.09 | |
| Effective area of solar collector | m2 | 1.92 | |
| Number of heat collectors | N | 120 | |
| Total flow of collector side | kg/s | 0.768 | |
| Total flow at the end of plate heat exchanger | kg/s | 0.703 | |
| The specific heat capacity of the solution at the collector side | J/(kg·K) | 3635 | |
| Specific heat capacity of solution at the end of plate heat exchanger | J/(kg·K) | 4175 | |
| Solution density at collector side | kg/m3 | 1042 | |
| Solution density at the end of plate heat exchanger | kg/m3 | 992 | |
| The volume of water tank | m3 | 25 | |
| fluid specific heat (Tank) | J/(kg·K) | 4175 | |
| Tank loss coefficient | kJ/h·m2·K | 2.5 | |
| Number of tank node | 2 | ||
| Auxiliary thermal source | Air-cooled heat pump unit | ||
| Maximum thermal load | kW | 160.44 (Xi’an) |
Publisher’s Note: MDPI stays neutral with regard to jurisdictional claims in published maps and institutional affiliations. |
© 2022 by the authors. Licensee MDPI, Basel, Switzerland. This article is an open access article distributed under the terms and conditions of the Creative Commons Attribution (CC BY) license (https://creativecommons.org/licenses/by/4.0/).
Share and Cite
Zhao, J.; Bai, Y.; Zhou, B.; Gao, J.; Qiang, T.; Yan, S.; Liang, P. Performance Analysis and Optimization of SHS Based on Solar Resources Distribution in Typical Cities in Cold Regions of China. Energies 2022, 15, 7735. https://doi.org/10.3390/en15207735
Zhao J, Bai Y, Zhou B, Gao J, Qiang T, Yan S, Liang P. Performance Analysis and Optimization of SHS Based on Solar Resources Distribution in Typical Cities in Cold Regions of China. Energies. 2022; 15(20):7735. https://doi.org/10.3390/en15207735
Chicago/Turabian StyleZhao, Juan, Yifei Bai, Botao Zhou, Junmei Gao, Tianwei Qiang, Suqian Yan, and Pei Liang. 2022. "Performance Analysis and Optimization of SHS Based on Solar Resources Distribution in Typical Cities in Cold Regions of China" Energies 15, no. 20: 7735. https://doi.org/10.3390/en15207735
APA StyleZhao, J., Bai, Y., Zhou, B., Gao, J., Qiang, T., Yan, S., & Liang, P. (2022). Performance Analysis and Optimization of SHS Based on Solar Resources Distribution in Typical Cities in Cold Regions of China. Energies, 15(20), 7735. https://doi.org/10.3390/en15207735

