Synergetic Effect of Non-Condensable Gas and Steam Quality on the Production Capacity of Geothermal Wells and Geothermal Power Generation for Hot Dry Rock
Abstract
1. Introduction
2. System Description
3. Mathematical Model
- (1)
- Systems are modeled under steady-state conditions [44];
- (2)
- Changes in the kinetic and potential energy of organic working fluids in the system are ignored [45];
- (3)
- The pressure drop and friction loss of working fluids in evaporators, condensers and pipes as well as heat losses in pipes are ignored because the pipes are insulated well [46];
- (4)
- The working fluid at the inlet of the pump is in the saturated liquid state, and the working fluid at the inlet of the turbine is in a saturated vapor state;
- (5)
- The temperature difference between the evaporation and condensation process of the ORC system is taken as 5 °C in this paper;
- (6)
- The pressure range of the vapor–liquid separator in both the SF system and the SFORC system is P1 > P2 >1 bar [47];
- (7)
- The non-condensable gas is assumed to be pure CO2 [23].
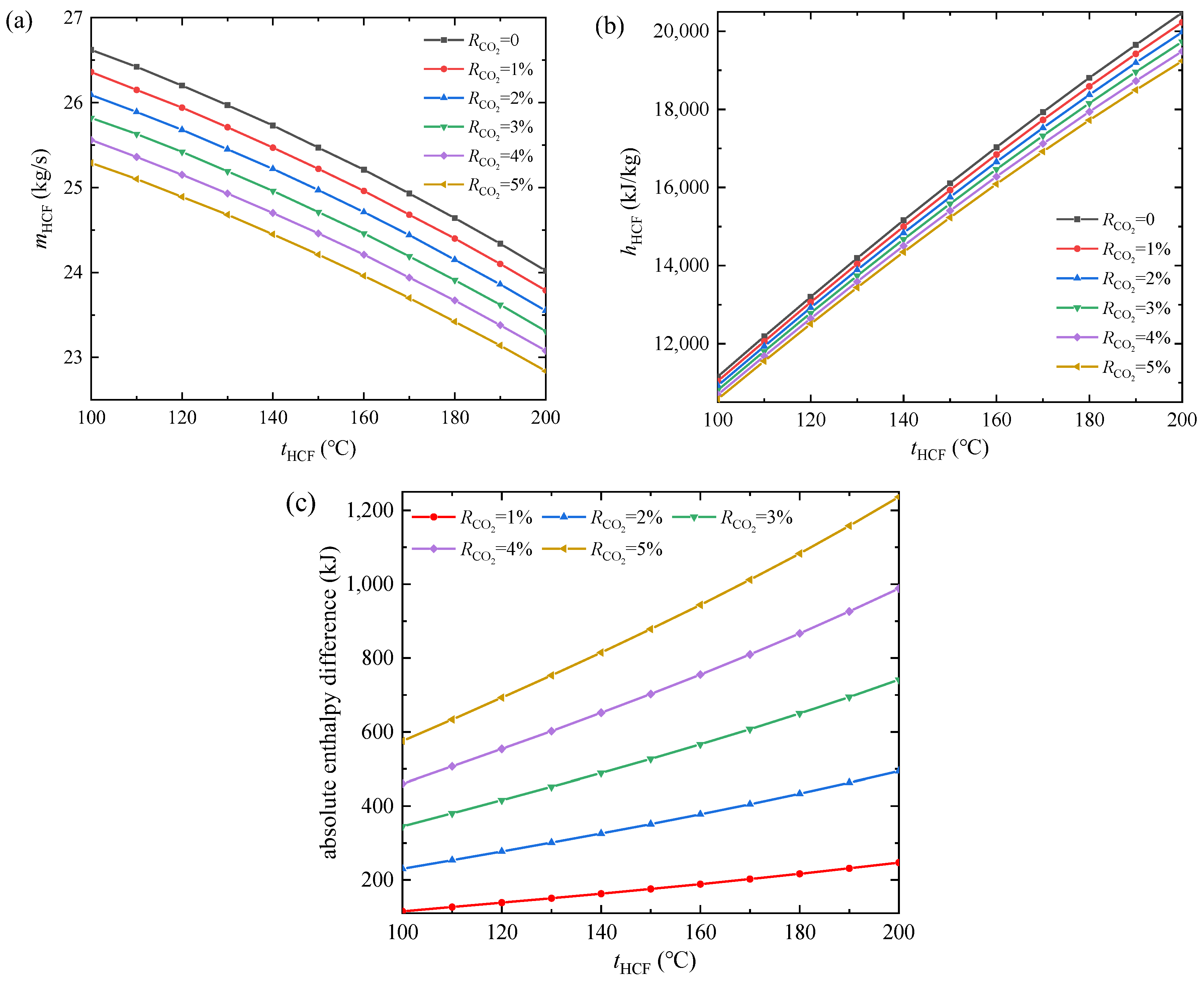
3.1. Mathematical Model of Heat-Carrying Fluid
3.2. Mathematical Model of the SF System
3.3. Mathematical Model of the ORC System
3.4. Mathematical Model of the SFORC System
4. Validation
5. Results and Discussion
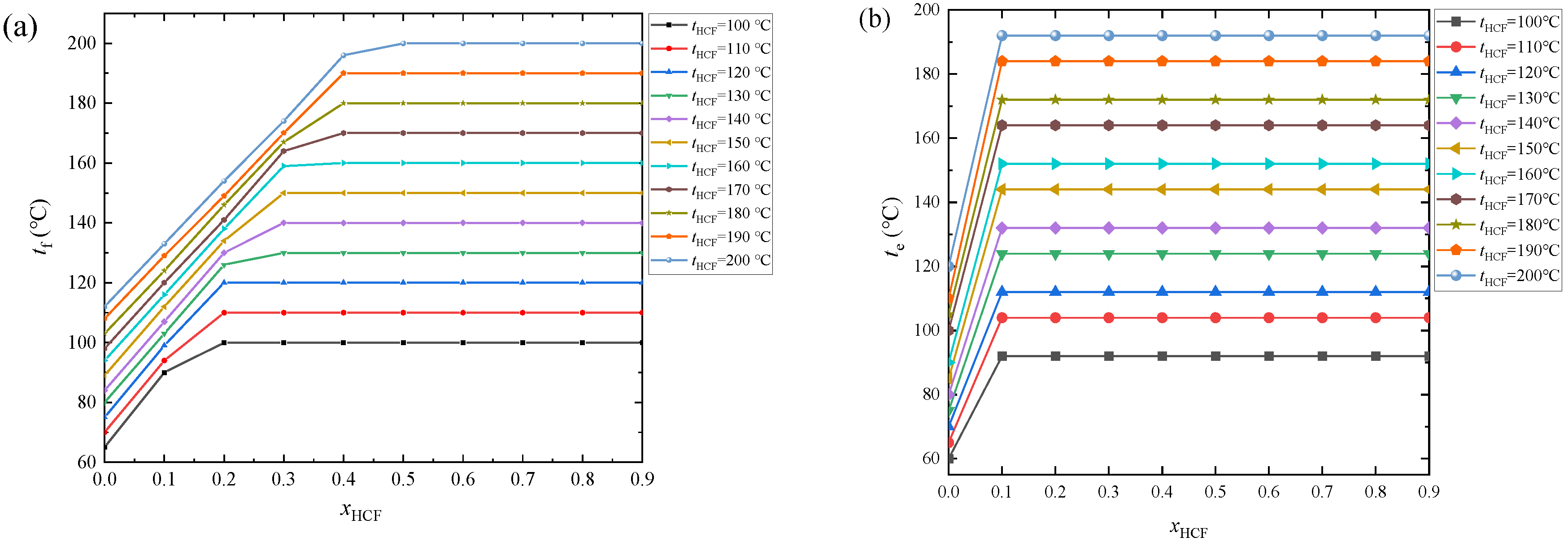
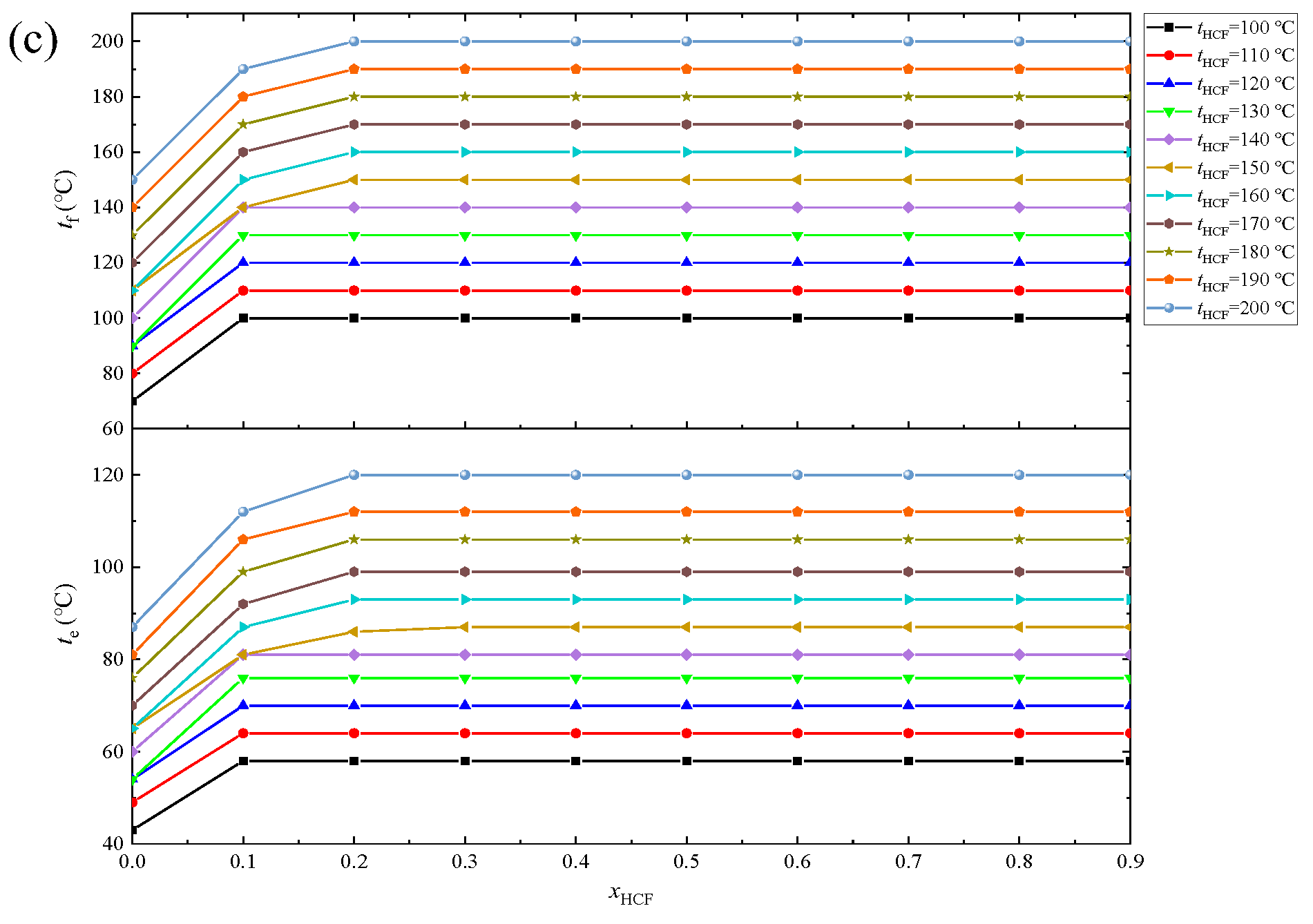
5.1. Synergetic Effect on Production Capacity
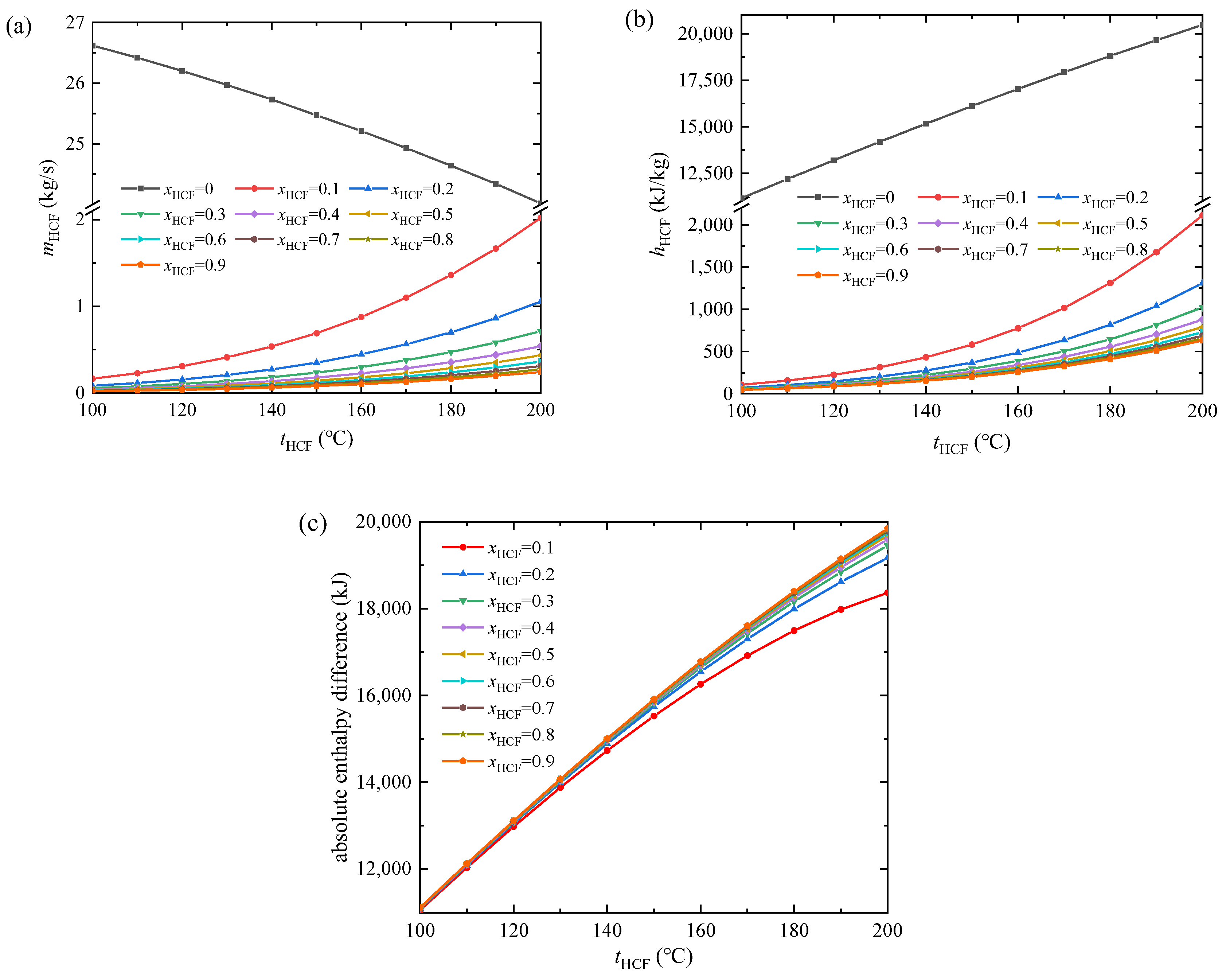
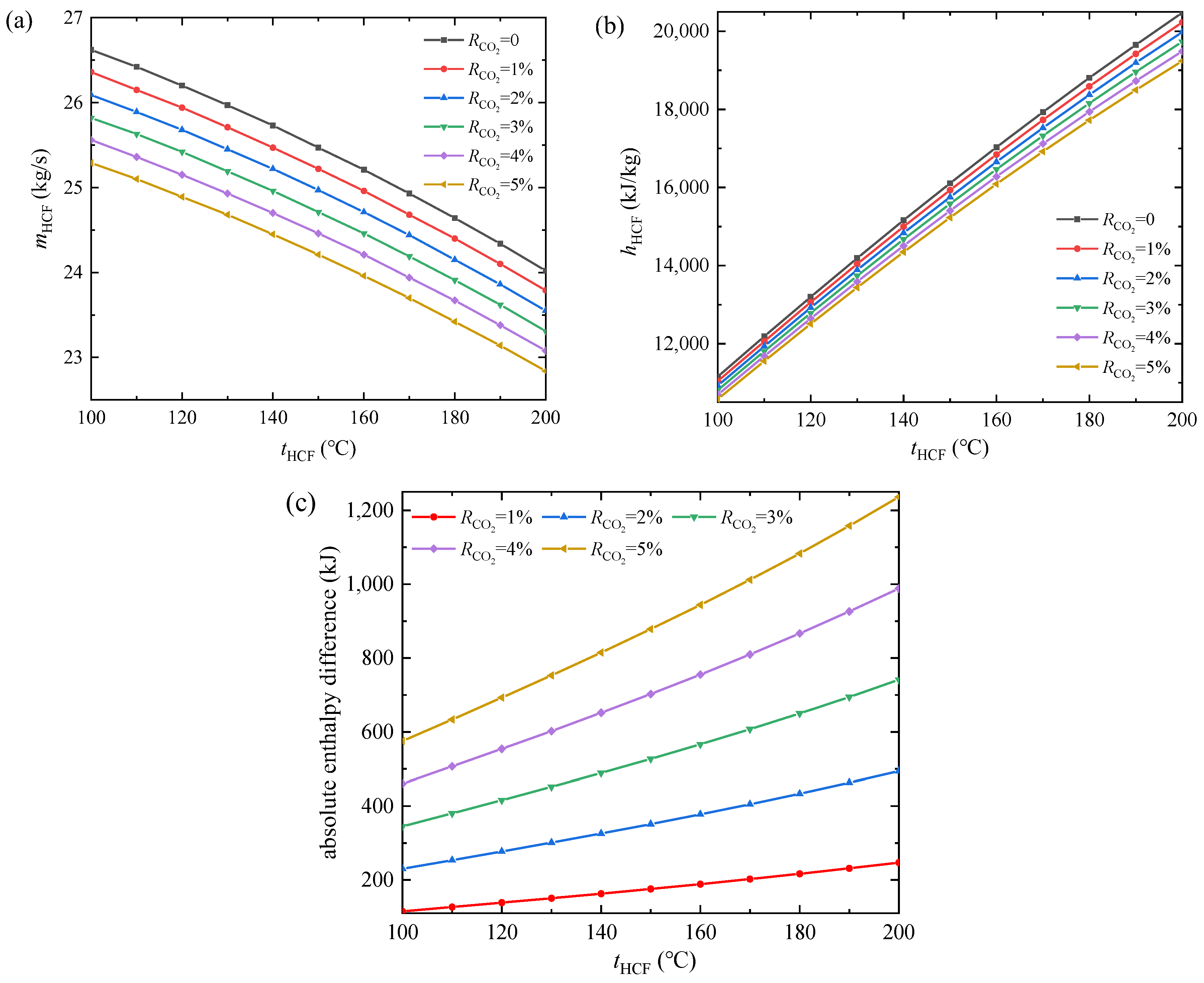
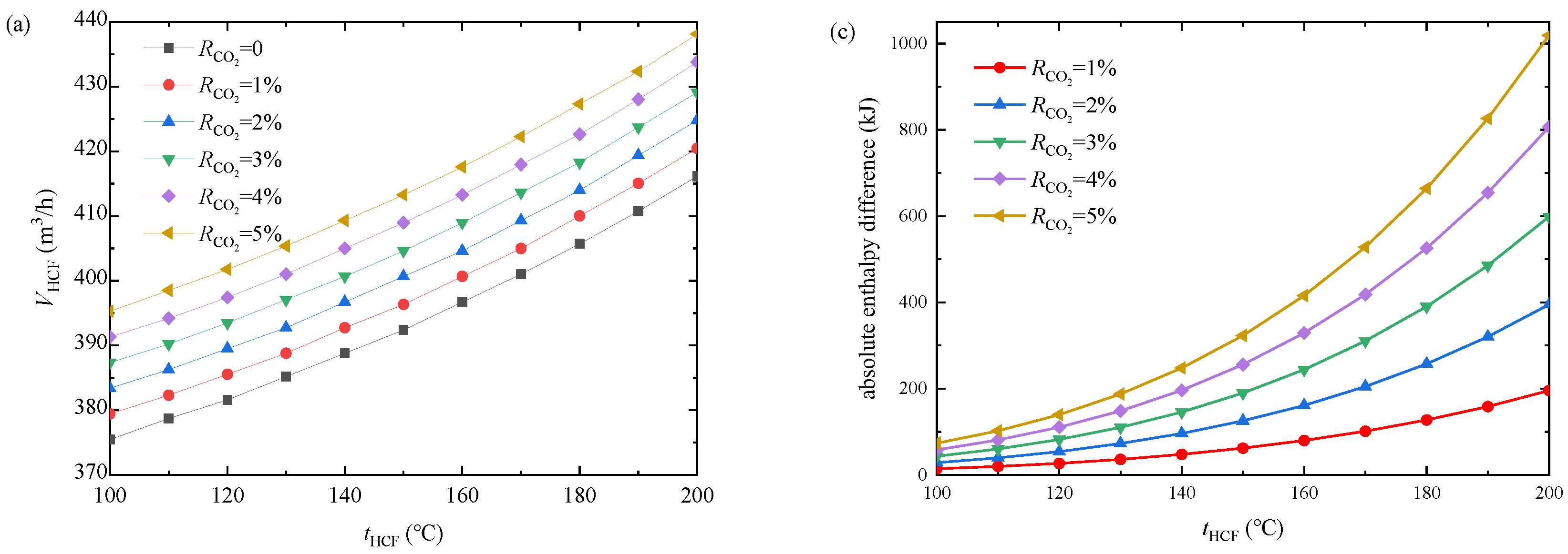
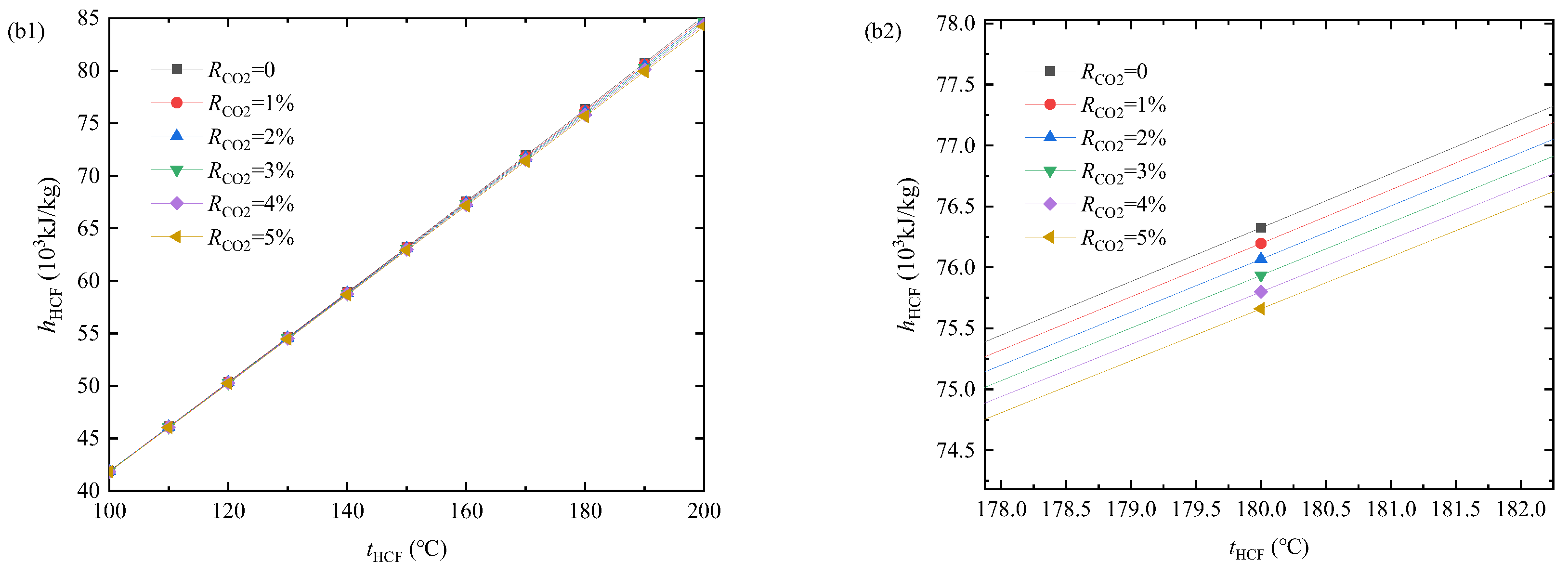
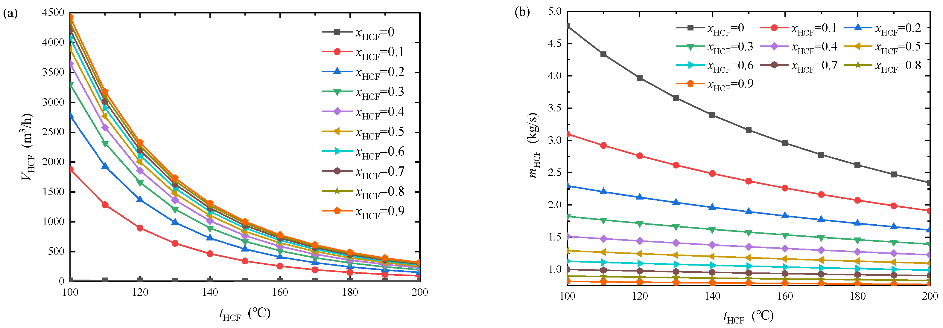
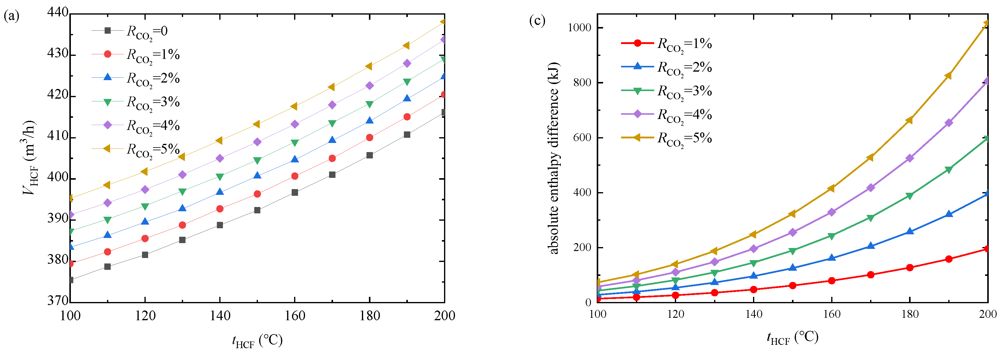
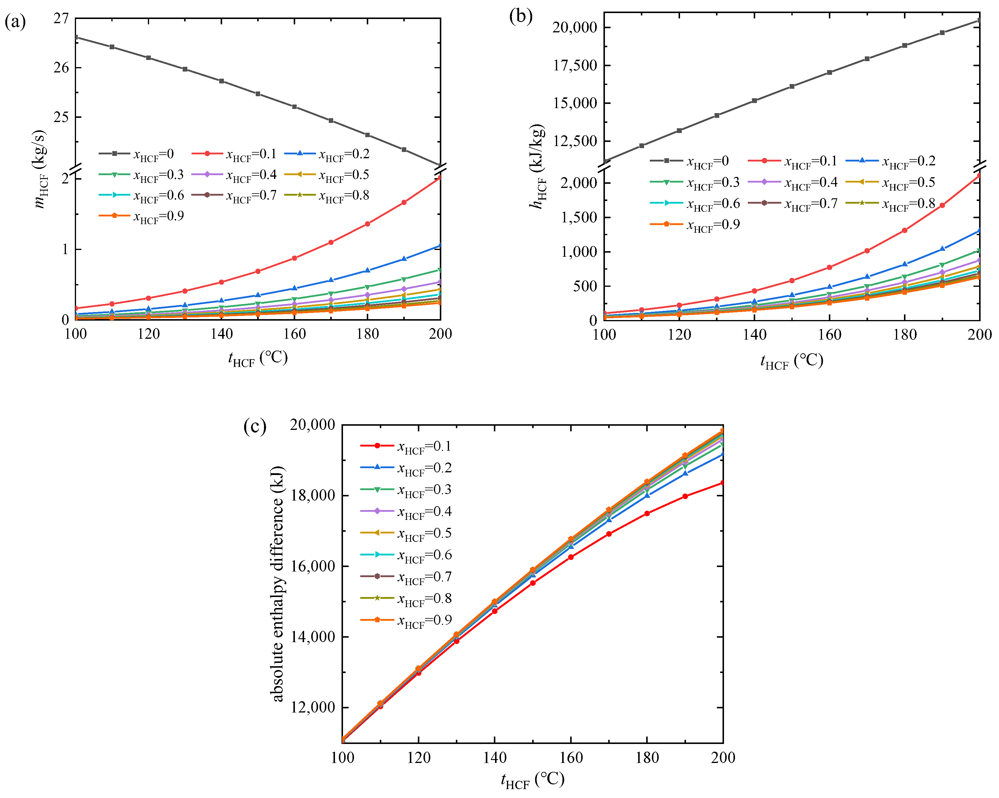
5.1.1. Under a Fixed Volume Flow Rate
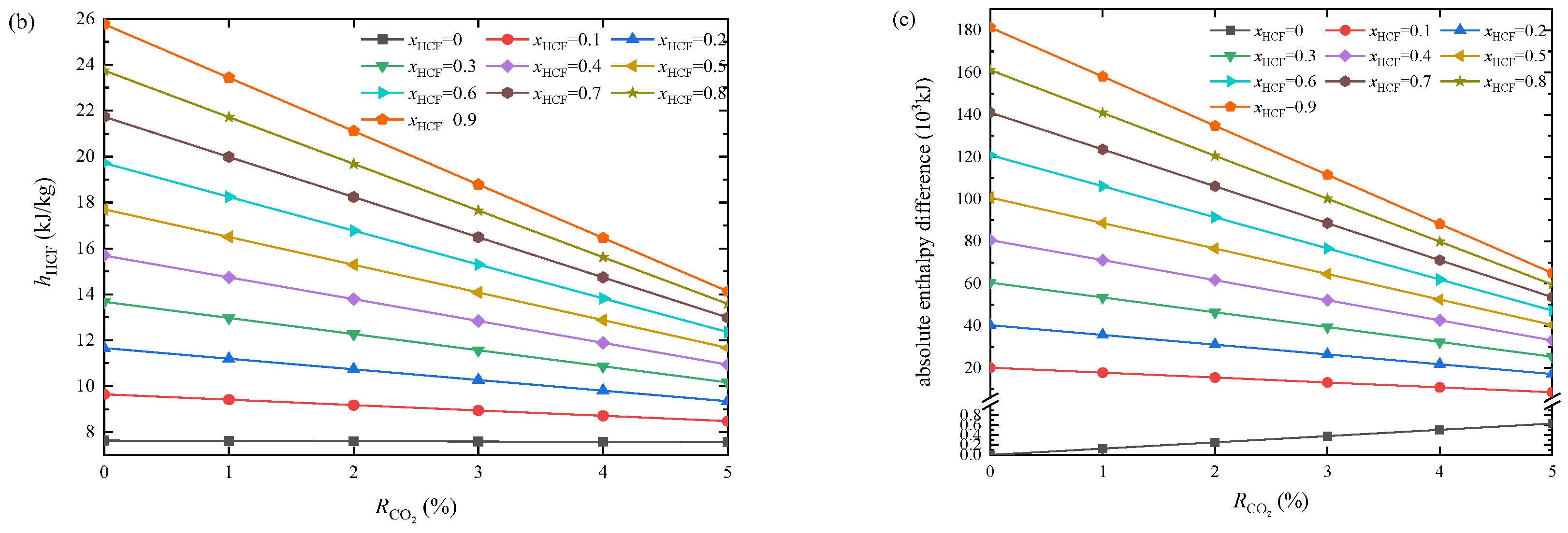
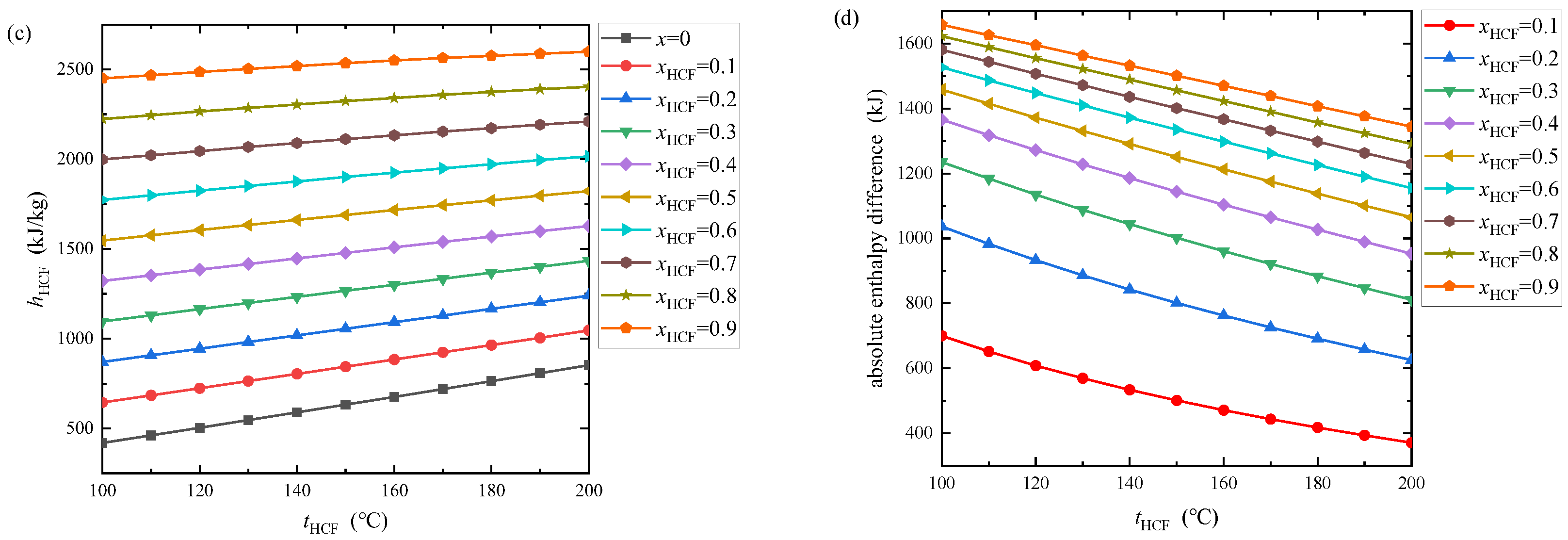
5.1.2. Under a Fixed Mass Flow Rate
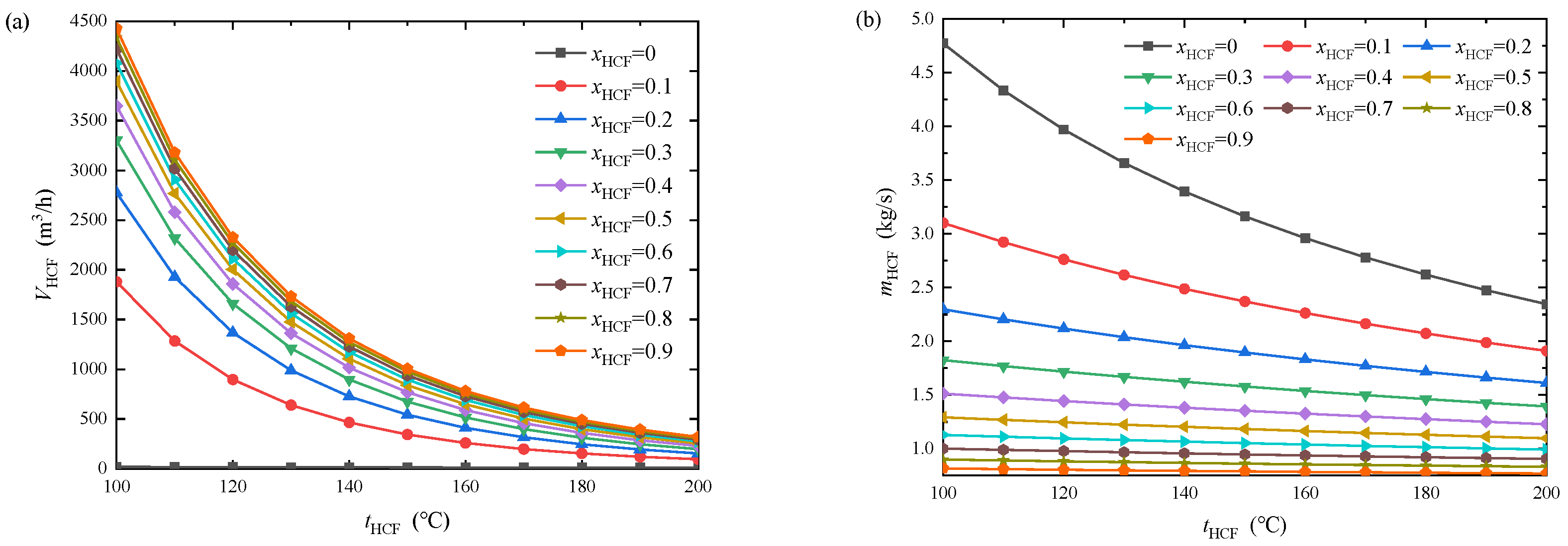
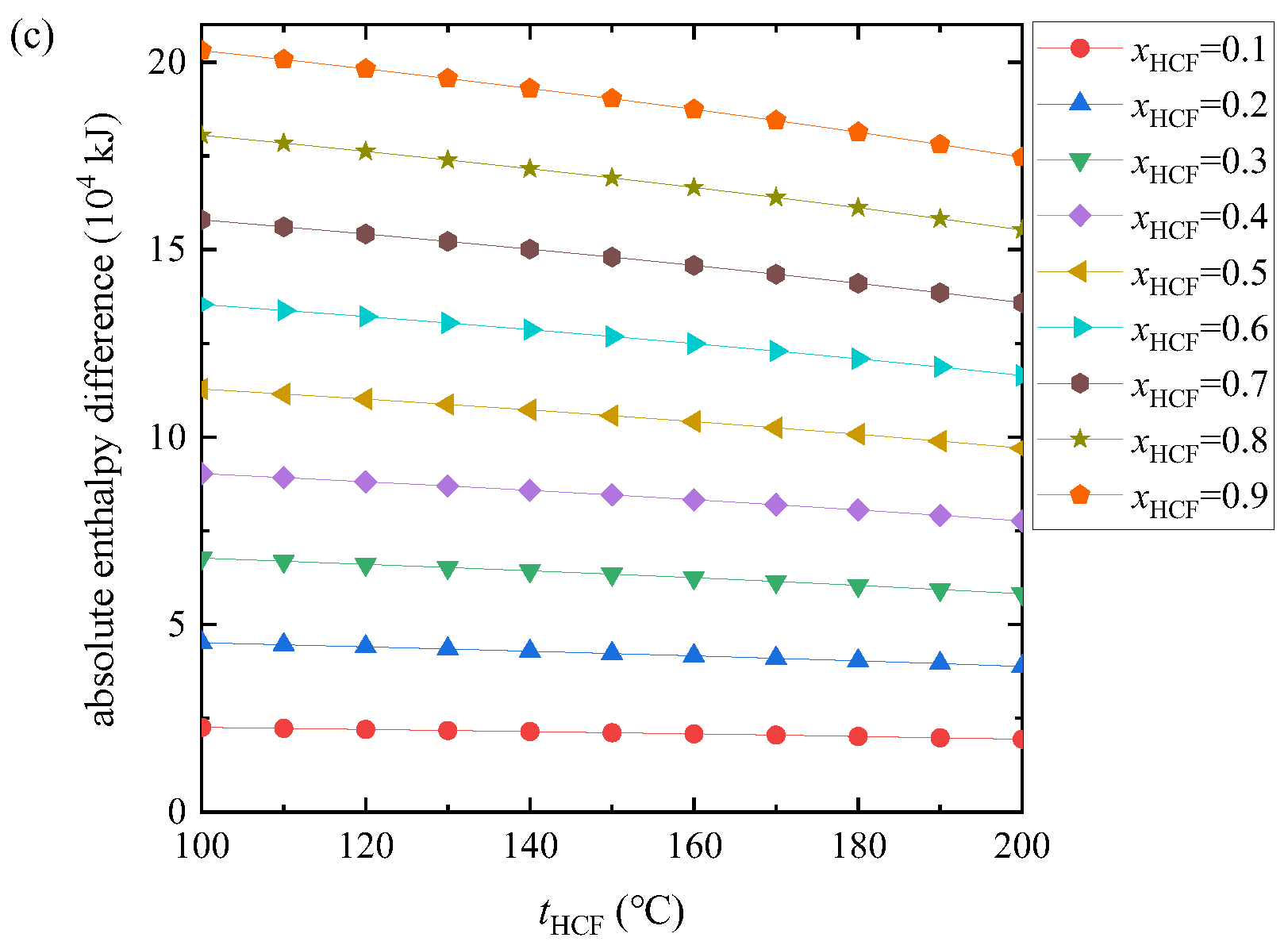
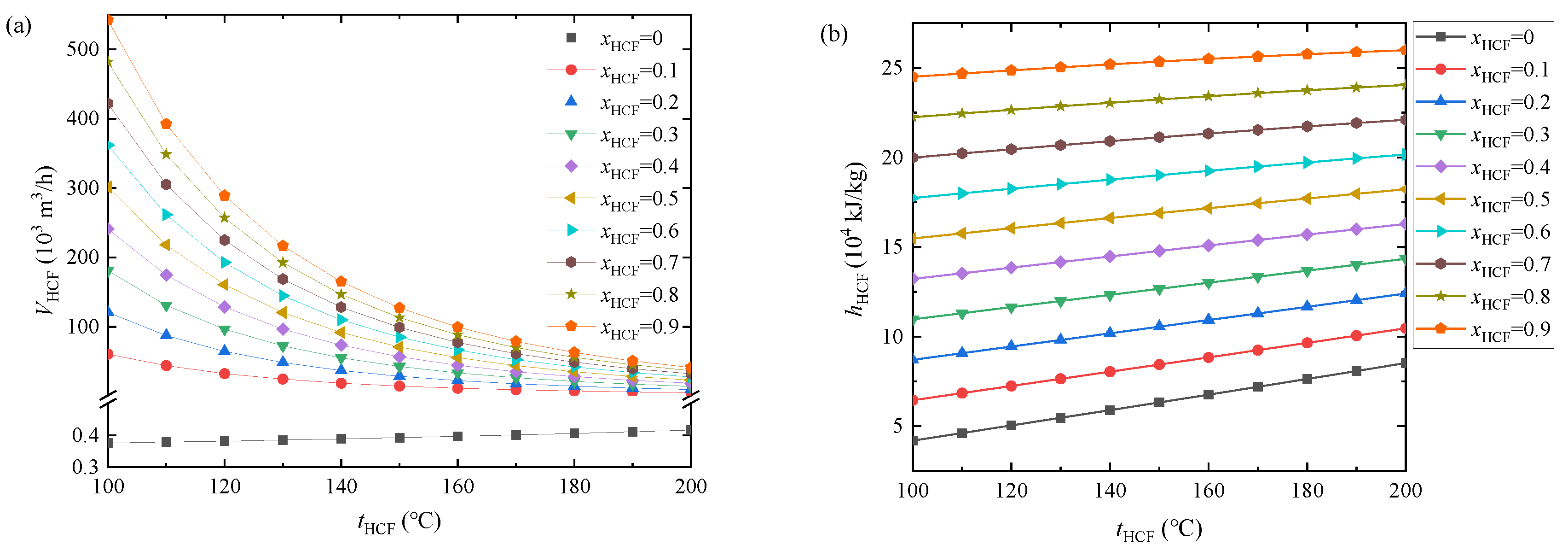
5.1.3. Under a Fixed Heat Extraction
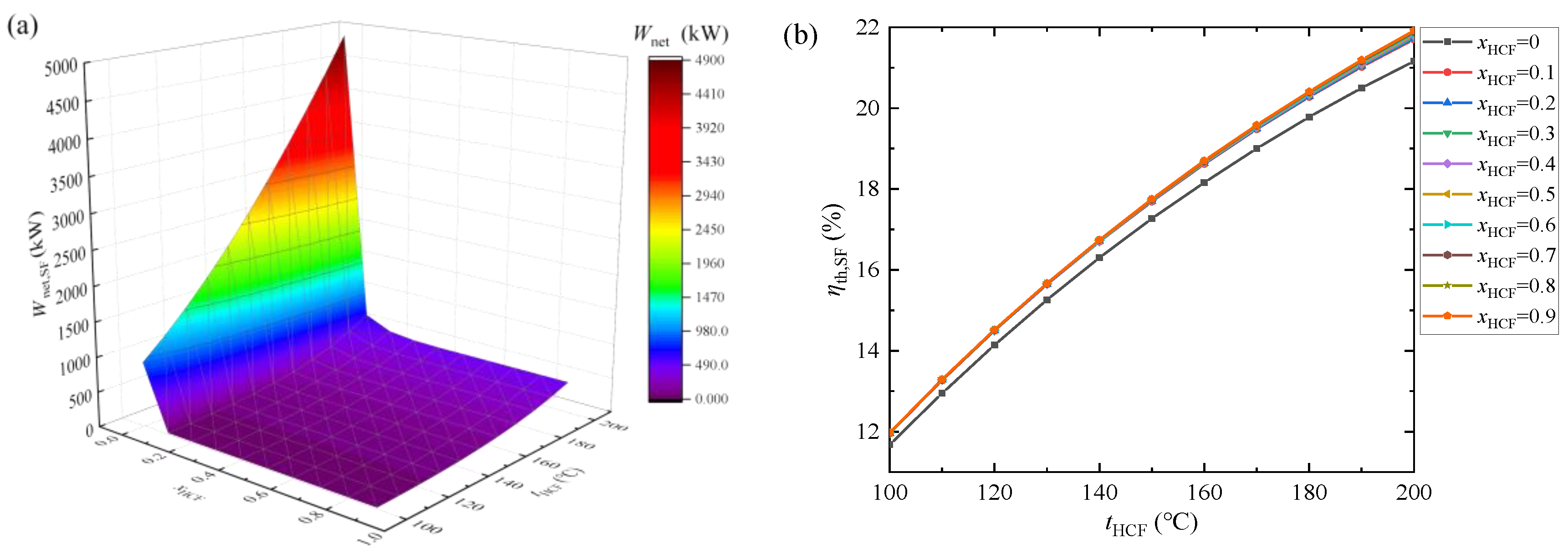
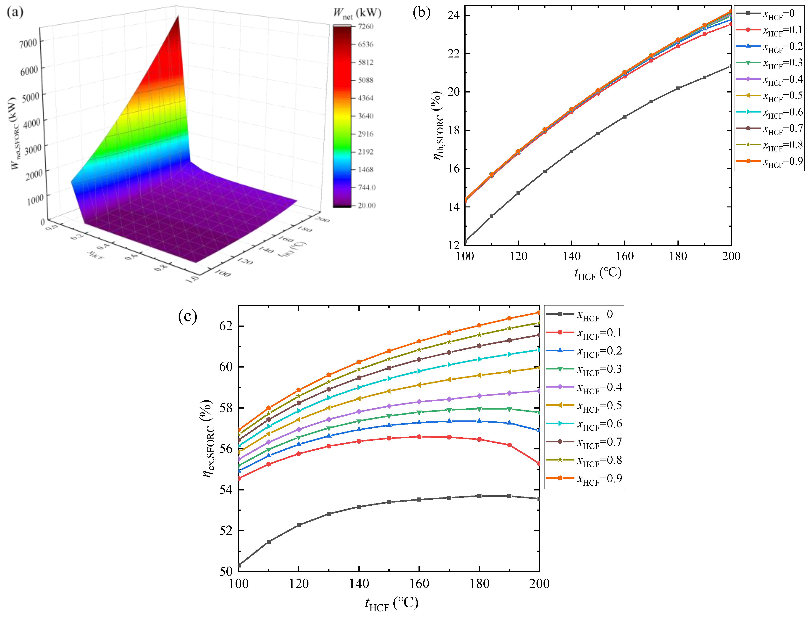
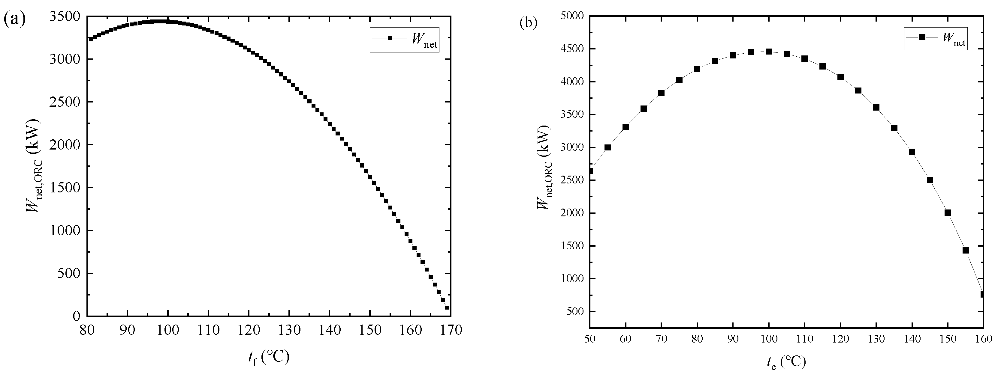
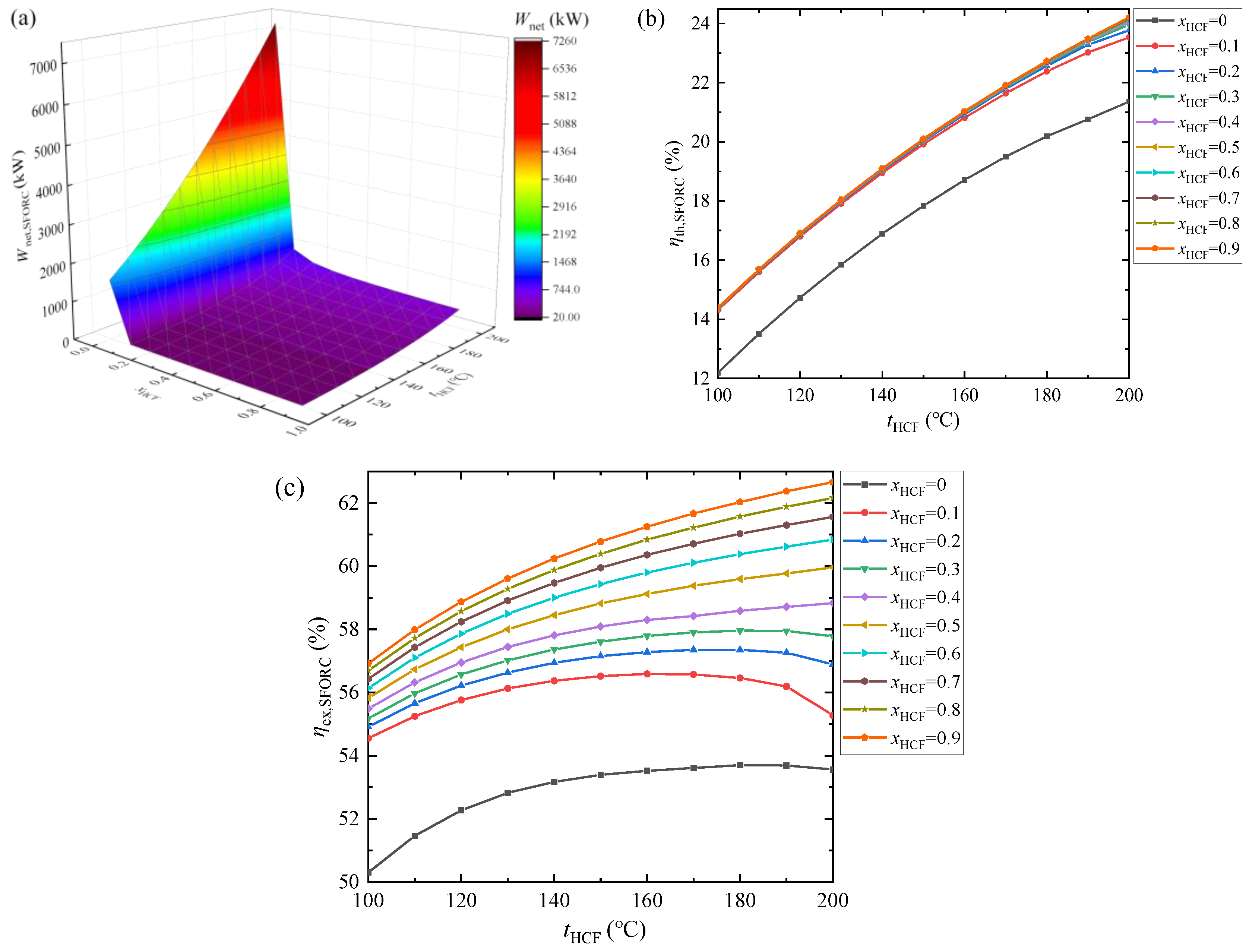
5.2. Comparison and Optimization of Power Generation Performance
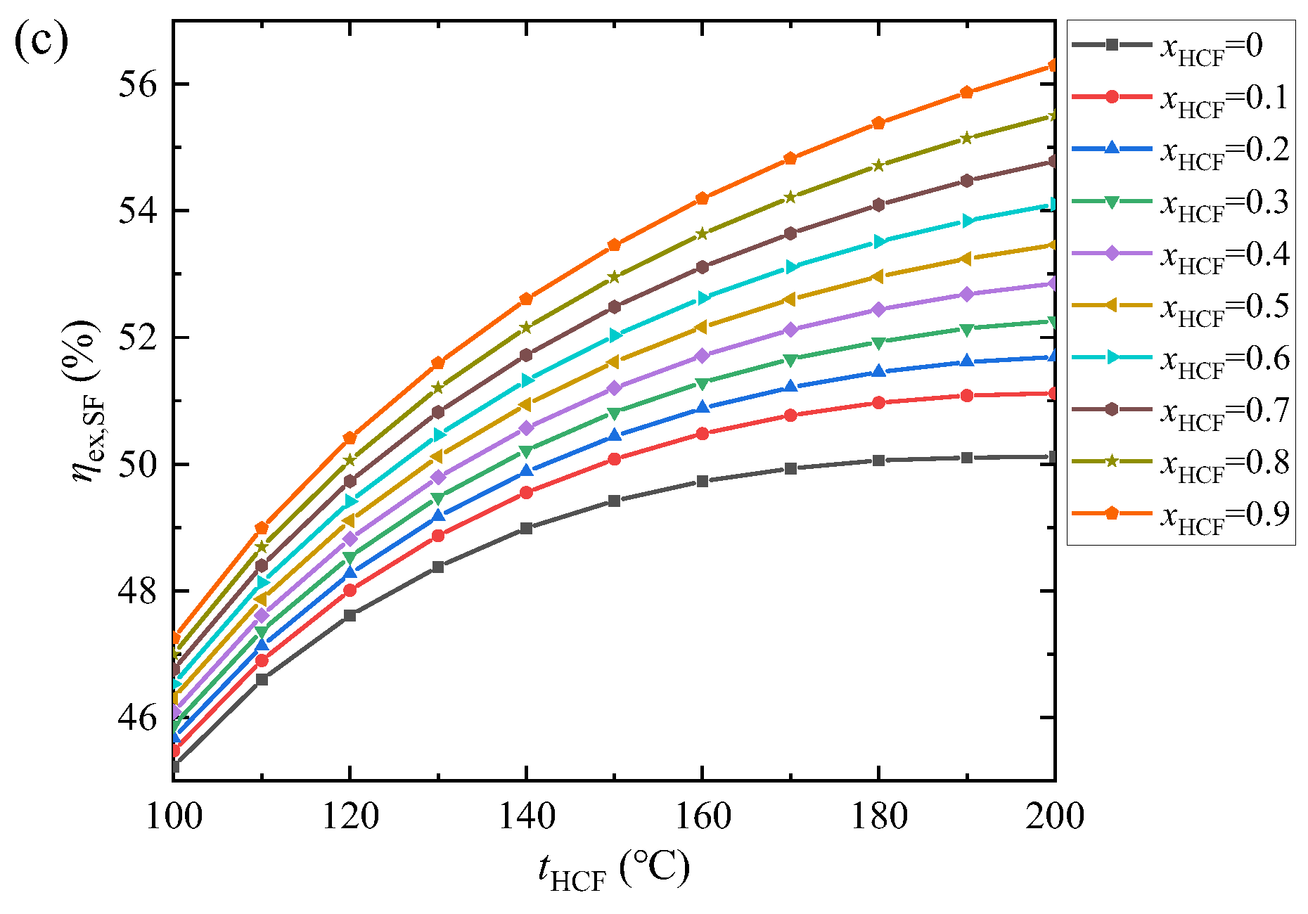
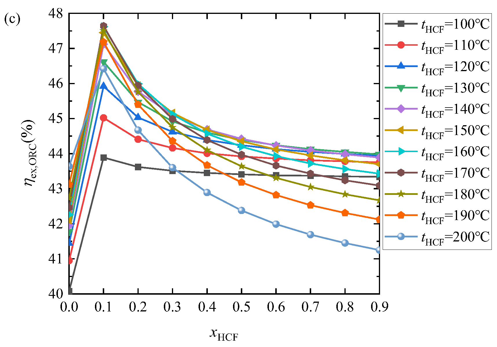
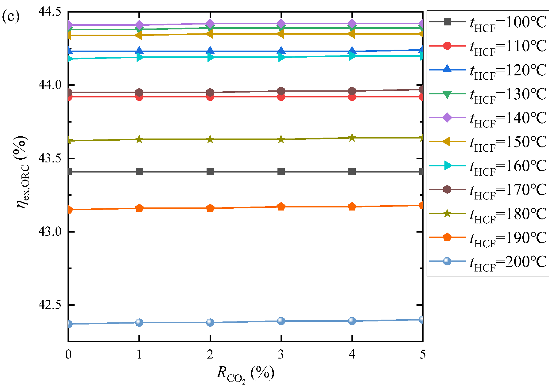
5.3. Synergetic Effect on Energy Conversion System Performance
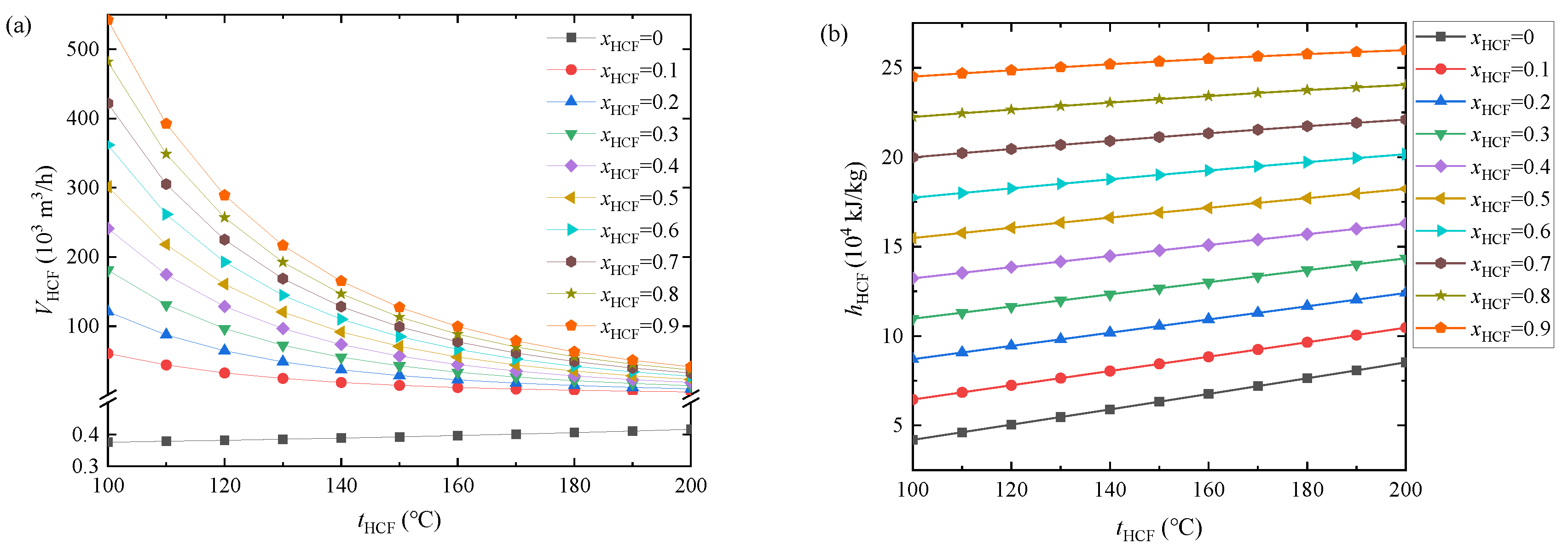
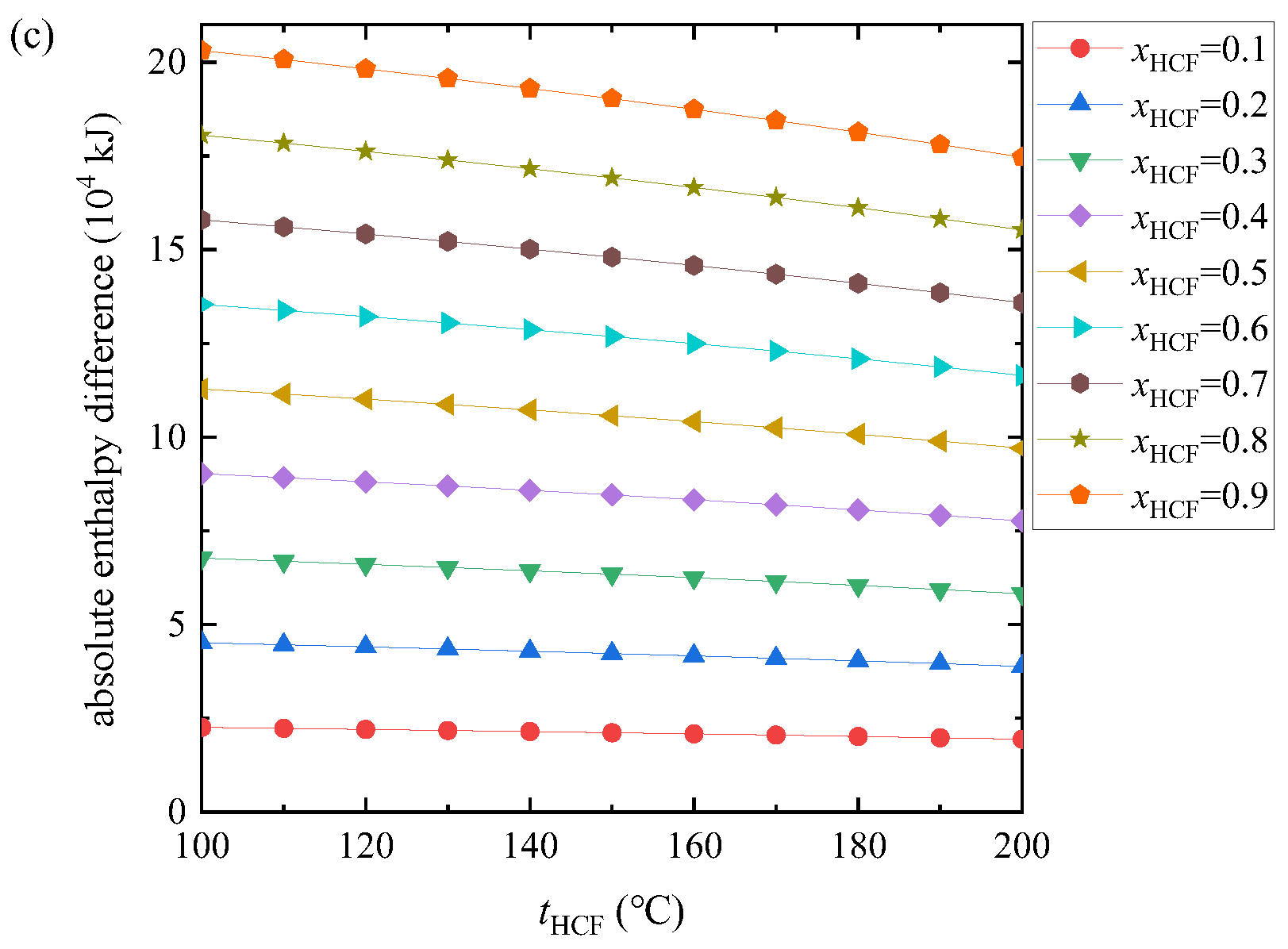
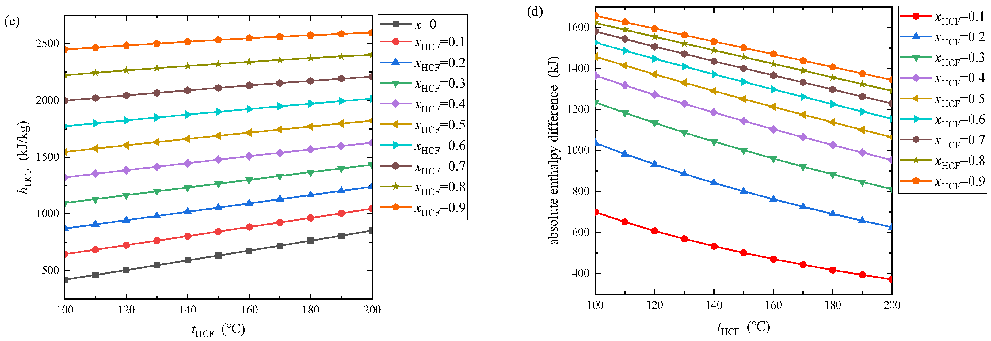
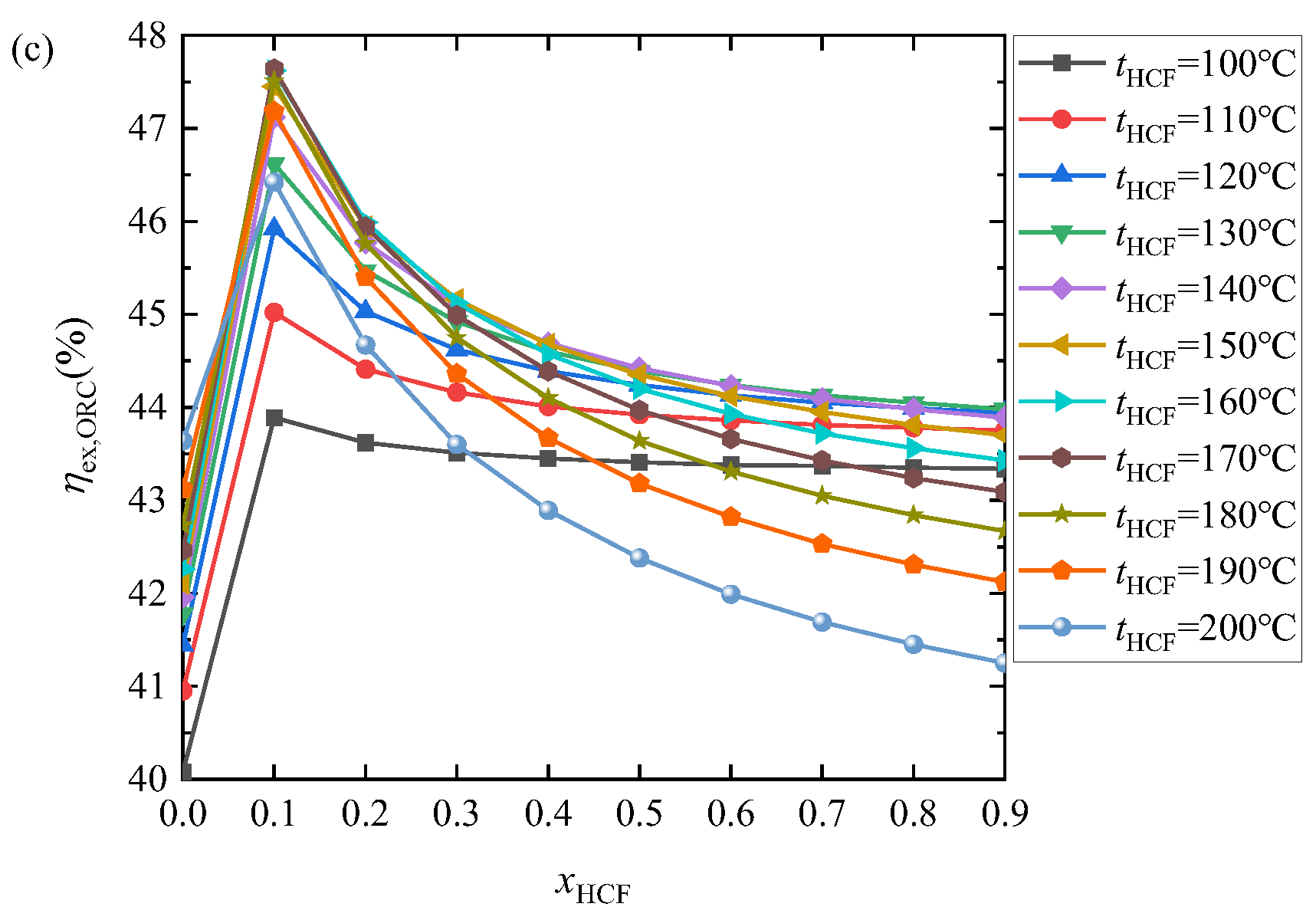
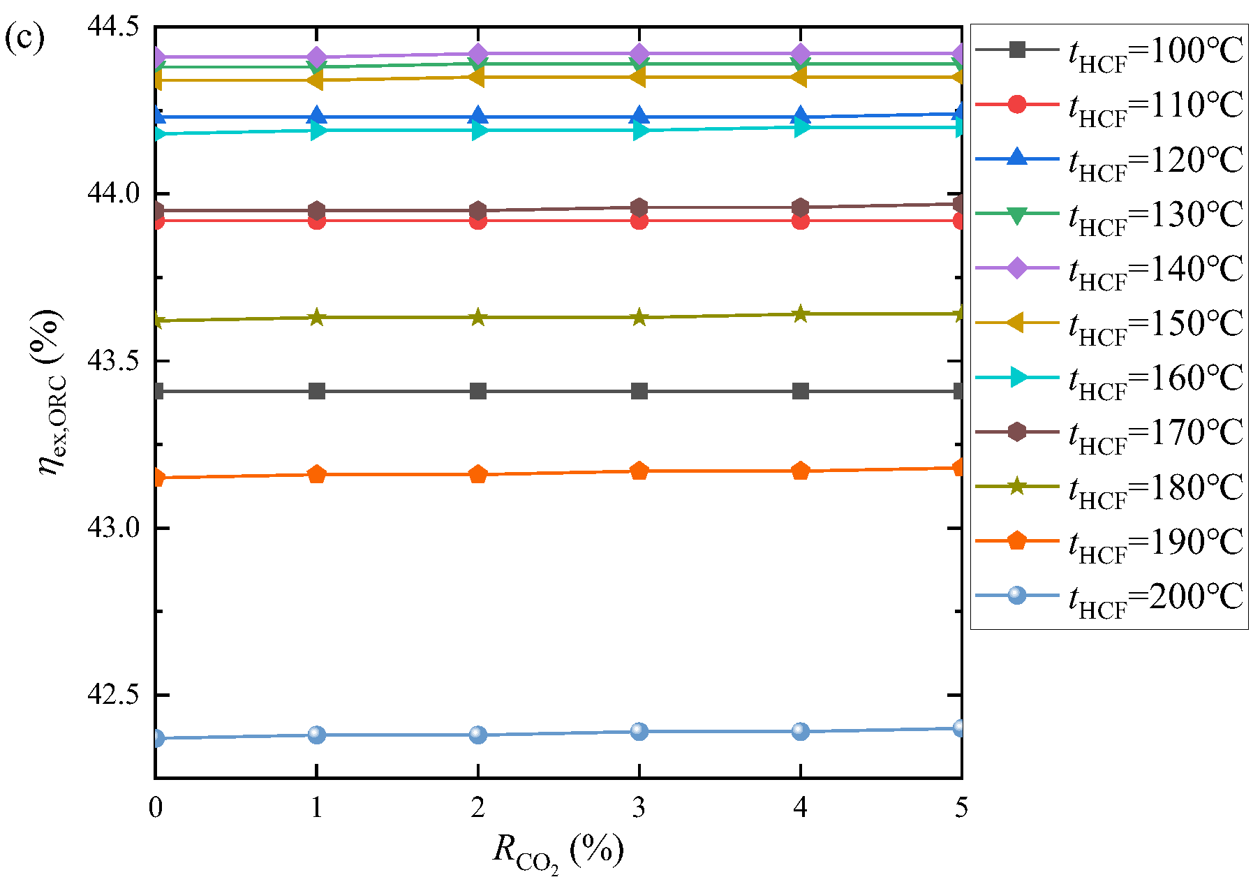
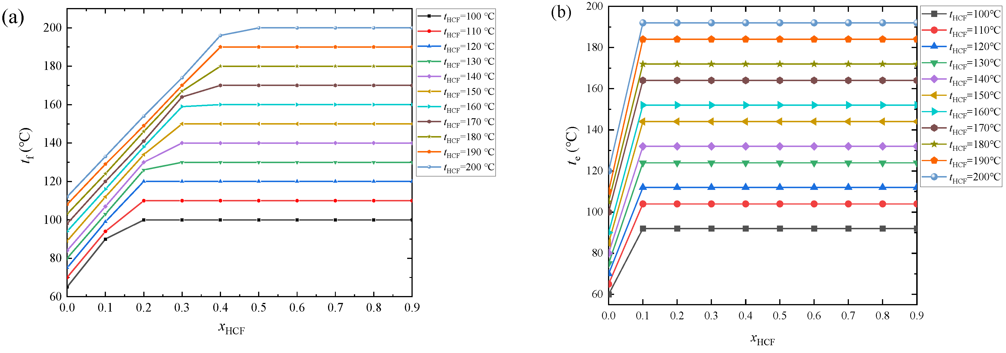
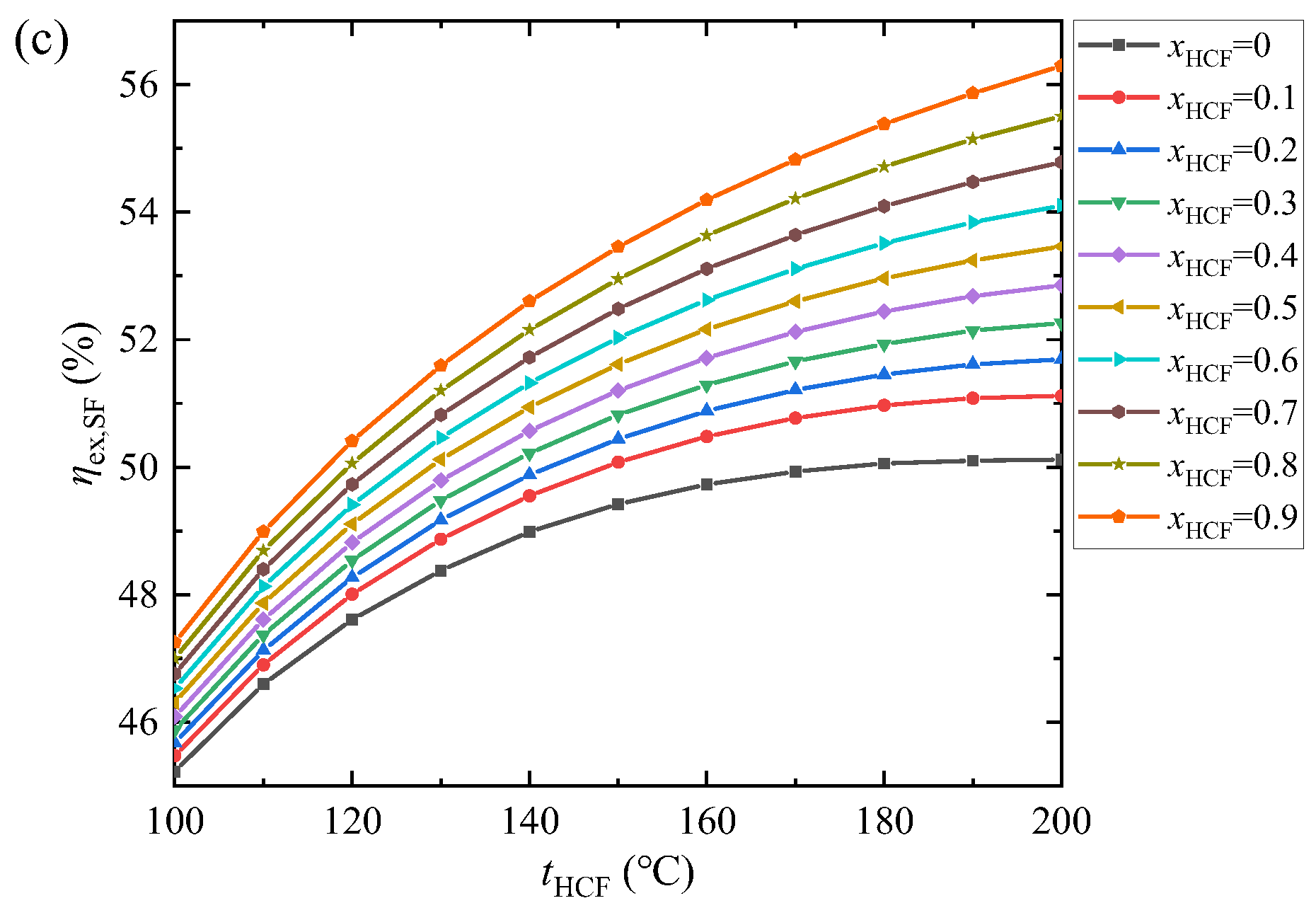
5.3.1. Effect of Steam Quality on the System Performance
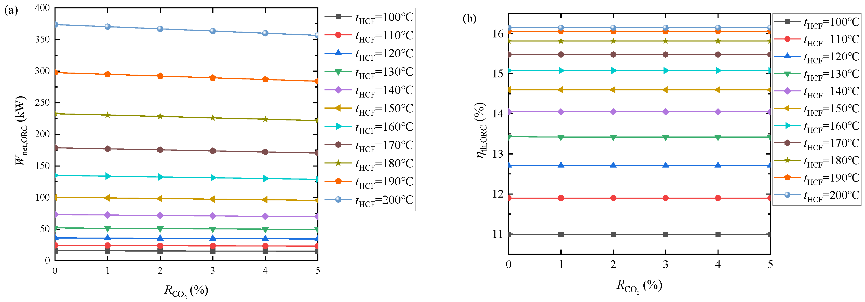
5.3.2. Effect of Non-Condensable Gas on System Performance
6. Conclusions
- Steam quality should be considered in production capacity testing and adapted to geothermal power stations in engineering applications. The presence of NCG is always harmful.
- The increment of steam quality causes an upward shift in the optimal evaporation/flash temperature, while the NCG content has less effect on the optimal evaporation/flash temperature.
- For heat-carrying two-phase fluids, the SFORC system has a better overall performance than the SF system and the ORC system, while the ORC system is recommended in the case of a higher NCG content.
- Especially considering the specific situation of the hot dry rock resources in China, the SFORC system is the better choice.
Author Contributions
Funding
Institutional Review Board Statement
Informed Consent Statement
Data Availability Statement
Conflicts of Interest
Nomenclature
| General | Subscript | ||
| t | temperature (°C) | HCF | heat-carrying fluid |
| P | pressure | net | net output |
| m | mass flow rate (kg/s) | E | evaporator |
| V | volume flow rate (m3/s) | T | turbine |
| h | specific enthalpy (kJ/kg) | C | condenser |
| H | enthalpy (kJ) | P | pump |
| H | head (m) | G | generator |
| x | quality | wf | working fluid |
| ex | specific exergy (kJ/kg) | hp | heat-carrying fluid pump |
| EX | exergy (kJ) | cp | cooling water pump |
| R | volume rate (%) | w | geothermal water |
| W | work (kW) | s | geothermal steam |
| Q | heat exchange (kW) | in | inlet |
| c | specific heat capacity (kJ/(kg·K)) | out | outlet |
| s | specific entropy | 0 | ambient state |
| SF | single flash system | 1–13 | state point |
| ORC | organic Rankine cycle | cw | cooling water |
| SFORC | single flash combined organic Rankine cycle system | pp | pinch point |
| HDR | hot dry rock | F | flash evaporator |
| EGS | enhanced geothermal system | e | evaporation |
| NCG | non-condensable gas | c | condense |
| g | Spend of gravity (m/s2) | th | thermal |
| ODP | ozone depletion potential | m | mechanical transmission |
| GWP | global warming potential | f | flash |
| Greek | |||
| ρ | density (kg/m3) | ||
| η | efficiency (%) |
References
- He, J.-K. Objectives and strategies for energy revolution in the context of tackling climate change. Adv. Clim. Chang. Res. 2015, 6, 101–107. [Google Scholar] [CrossRef]
- Liu, X.; Wei, M.; Yang, L.; Wang, X. Thermo-economic analysis and optimization selection of ORC system configurations for low temperature binary-cycle geothermal plant. Appl. Therm. Eng. 2017, 125, 153–164. [Google Scholar] [CrossRef]
- Alegria, P.; Catalan, L.; Araiz, M.; Rodriguez, A.; Astrain, D. Experimental development of a novel thermoelectric generator without moving parts to harness shallow hot dry rock fields. Appl. Therm. Eng. 2022, 200, 117619. [Google Scholar] [CrossRef]
- Olasolo, P.; Juárez, M.C.; Olasolo, J.; Morales, M.P.; Valdani, D. Economic analysis of Enhanced Geothermal Systems (EGS). A review of software packages for estimating and simulating costs. Appl. Therm. Eng. 2016, 104, 647–658. [Google Scholar] [CrossRef]
- Lacirignola, M.; Blanc, I. Environmental analysis of practical design options for enhanced geothermal systems (EGS) through life-cycle assessment. Renew. Energy 2013, 50, 901–914. [Google Scholar] [CrossRef]
- Bataillé, A.; Genthon, P.; Rabinowicz, M.; Fritz, B. Modeling the coupling between free and forced convection in a vertical permeable slot: Implications for the heat production of an Enhanced Geothermal System. Geothermics 2006, 35, 654–682. [Google Scholar] [CrossRef]
- Lu, S.-M. A global review of enhanced geothermal system (EGS). Renew. Sustain. Energy Rev. 2018, 81, 2902–2921. [Google Scholar] [CrossRef]
- Olasolo, P.; Juárez, M.C.; Morales, M.P.; D’Amico, S.; Liarte, I.A. Enhanced geothermal systems (EGS): A review. Renew. Sustain. Energy Rev. 2016, 56, 133–144. [Google Scholar] [CrossRef]
- Sun, F.; Yao, Y.; Li, G.; Li, X. Geothermal energy development by circulating CO2 in a U-shaped closed loop geothermal system. Energy Convers. Manag. 2018, 174, 971–982. [Google Scholar] [CrossRef]
- Loni, R.; Mahian, O.; Najafi, G.; Sahin, A.Z.; Rajaee, F.; Kasaeian, A.; Mehrpooya, M.; Bellos, E.; le Roux, W.G. A critical review of power generation using geothermal-driven organic Rankine cycle. Therm. Sci. Eng. Prog. 2021, 25, 101028. [Google Scholar] [CrossRef]
- Desideri, U.; Bidini, G. Study of possible optimisation criteria for geothermal power plants. Energy Convers. Manag. 1997, 38, 1681–1691. [Google Scholar] [CrossRef]
- Garg, P.; Kumar, P.; Srinivasan, K.; Dutta, P. Evaluation of isopentane, R-245fa and their mixtures as working fluids for organic Rankine cycles. Appl. Therm. Eng. 2013, 51, 292–300. [Google Scholar] [CrossRef]
- Hu, D.; Li, S.; Zheng, Y.; Wang, J.; Dai, Y. Preliminary design and off-design performance analysis of an Organic Rankine Cycle for geothermal sources. Energy Convers. Manag. 2015, 96, 175–187. [Google Scholar] [CrossRef]
- Alimonti, C.; Conti, P.; Soldo, E. A comprehensive exergy evaluation of a deep borehole heat exchanger coupled with a ORC plant: The case study of Campi Flegrei. Energy 2019, 189, 110160. [Google Scholar] [CrossRef]
- Wang, Y.; Li, C.; Zhao, J.; Wu, B.; Du, Y.; Zhang, J.; Zhu, Y. The above-ground strategies to approach the goal of geothermal power generation in China: State of art and future researches. Renew. Sustain. Energy Rev. 2021, 138, 110557. [Google Scholar] [CrossRef]
- Klein, C.W.; Chase, D.; Geothermal Resources, C. Chemical transients during production of high gas wells at the northern Geysers steam field, California, USA. In Proceedings of the 1995 Annual Meeting of the Geothermal-Resources-Council, Accomplishments of the Past and Challenges of the Future, Reno, NV, USA, 8–11 October 1995; pp. 513–519. [Google Scholar]
- Kaya, E.; Zarrouk, S.J. Reinjection of greenhouse gases into geothermal reservoirs. Int. J. Greenh. Gas Control 2017, 67, 111–129. [Google Scholar] [CrossRef]
- Nogara, J.; Zarrouk, S.J.; Seastres, J. Surface analysis of metal alloys exposed to geothermal fluids with high non-condensable gas content. Geothermics 2018, 72, 372–399. [Google Scholar] [CrossRef]
- Gunerhan, G.G. An upstream reboiler design for removal of noncondensable gases from geothermal steam for Kizildere geothermal power plant, Turkey. Geothermics 1999, 28, 739–757. [Google Scholar] [CrossRef]
- Mubarok, M.H.; Cater, J.E.; Zarrouk, S.J. Comparative CFD modelling of pressure differential flow meters for measuring two-phase geothermal fluid flow. Geothermics 2020, 86, 101801. [Google Scholar] [CrossRef]
- Mubarok, M.H.; Zarrouk, S.J.; Cater, J.E.; Mundakir, A.; Bramantyo, E.A.; Lim, Y.W. Real-time enthalpy measurement of two-phase geothermal fluid flow using load cell sensors: Field testing results. Geothermics 2021, 89, 101930. [Google Scholar] [CrossRef]
- Hasan, A.R.; Kabir, C.S. Modeling two-phase fluid and heat flows in geothermal wells. J. Pet. Sci. Eng. 2010, 71, 77–86. [Google Scholar] [CrossRef]
- Karabacak, R.; Mücasiroğlu, F.; Tan, M.; Karabacak, S. Research of production of CO2 from non-condensable gases in geothermal fluid and cost analysis. Geothermics 2017, 68, 1–8. [Google Scholar] [CrossRef]
- Manente, G.; Bardi, A.; Lazzaretto, A.; Paci, M. Low emission flash-binary and two-phase binary geothermal power plants with water absorption and reinjection of non-condensable gases. Geothermics 2019, 80, 155–169. [Google Scholar] [CrossRef]
- Altar, D.E.; Kaya, E. Numerical modelling of the interaction between geothermal injectate-non condensable gas solutions and greywacke. Int. J. Greenh. Gas Control 2020, 94, 102922. [Google Scholar] [CrossRef]
- Ayachi, F.; Boulawz Ksayer, E.; Zoughaib, A.; Neveu, P. ORC optimization for medium grade heat recovery. Energy 2014, 68, 47–56. [Google Scholar] [CrossRef]
- Quoilin, S.; Declaye, S.; Tchanche, B.F.; Lemort, V. Thermo-economic optimization of waste heat recovery Organic Rankine Cycles. Appl. Therm. Eng. 2011, 31, 2885–2893. [Google Scholar] [CrossRef]
- Pambudi, N.A.; Itoi, R.; Jalilinasrabady, S.; Jaelani, K. Exergy analysis and optimization of Dieng single-flash geothermal power plant. Energy Convers. Manag. 2014, 78, 405–411. [Google Scholar] [CrossRef]
- Rudiyanto, B.; Bahthiyar, M.A.; Pambudi, N.A.; Widjonarko; Hijriawan, M. An update of second law analysis and optimization of a single-flash geothermal power plant in Dieng, Indonesia. Geothermics 2021, 96, 102212. [Google Scholar] [CrossRef]
- Dagdas, A. Performance analysis and optimization of double-flash geothermal power plants. J. Energy Resour. Technol.-Trans. ASME 2007, 129, 125–133. [Google Scholar] [CrossRef]
- Pambudi, N.A.; Itoi, R.; Jalilinasrabady, S.; Jaelani, K. Performance improvement of a single-flash geothermal power plant in Dieng, Indonesia, upon conversion to a double-flash system using thermodynamic analysis. Renew. Energy 2015, 80, 424–431. [Google Scholar] [CrossRef]
- Meng, N.; Li, T.; Wang, J.; Jia, Y.; Liu, Q.; Qin, H. Synergetic mechanism of fracture properties and system configuration on techno-economic performance of enhanced geothermal system for power generation during life cycle. Renew. Energy 2020, 152, 910–924. [Google Scholar] [CrossRef]
- Abdolalipouradl, M.; Mohammadkhani, F.; Khalilarya, S. A comparative analysis of novel combined flash-binary cycles for Sabalan geothermal wells: Thermodynamic and exergoeconomic viewpoints. Energy 2020, 209, 118235. [Google Scholar] [CrossRef]
- Fang, Y.; Yang, F.; Zhang, H. Comparative analysis and multi-objective optimization of organic Rankine cycle (ORC) using pure working fluids and their zeotropic mixtures for diesel engine waste heat recovery. Appl. Therm. Eng. 2019, 157, 113704. [Google Scholar] [CrossRef]
- Wang, H.; Li, H.; Wang, L.; Bu, X. Thermodynamic Analysis of Organic Rankine Cycle with Hydrofluoroethers as Working Fluids. In Proceedings of the 8th International Conference on Applied Energy (ICAE2016), Beijing, China, 8–11 October 2017; pp. 1889–1894. [Google Scholar]
- Hung, T.C.; Wang, S.K.; Kuo, C.H.; Pei, B.S.; Tsai, K.F. A study of organic working fluids on system efficiency of an ORC using low-grade energy sources. Energy 2010, 35, 1403–1411. [Google Scholar] [CrossRef]
- Li, T.; Zhang, Z.; Lu, J.; Yang, J.; Hu, Y. Two-stage evaporation strategy to improve system performance for organic Rankine cycle. Appl. Energy 2015, 150, 323–334. [Google Scholar] [CrossRef]
- Dawo, F.; Fleischmann, J.; Kaufmann, F.; Schifflechner, C.; Eyerer, S.; Wieland, C.; Spliethoff, H. R1224yd(Z), R1233zd(E) and R1336mzz(Z) as replacements for R245fa: Experimental performance, interaction with lubricants and environmental impact. Appl. Energy 2021, 288, 116661. [Google Scholar] [CrossRef]
- Aali, A.; Pourmahmoud, N.; Zare, V. Exergoeconomic analysis and multi-objective optimization of a novel combined flash-binary cycle for Sabalan geothermal power plant in Iran. Energy Convers. Manag. 2017, 143, 377–390. [Google Scholar] [CrossRef]
- Shokati, N.; Ranjbar, F.; Yari, M. Comparative and parametric study of double flash and single flash/ORC combined cycles based on exergoeconomic criteria. Appl. Therm. Eng. 2015, 91, 479–495. [Google Scholar] [CrossRef]
- Shamoushaki, M.; Fiaschi, D.; Manfrida, G.; Talluri, L. Energy, exergy, economic and environmental (4E) analyses of a geothermal power plant with NCGs reinjection. Energy 2022, 244, 122678. [Google Scholar] [CrossRef]
- Chen, C.; Witte, F.; Tuschy, I.; Kolditz, O.; Shao, H. Parametric optimization and comparative study of an organic Rankine cycle power plant for two-phase geothermal sources. Energy 2022, 252, 123910. [Google Scholar] [CrossRef]
- Li, T.; Liu, Q.; Gao, X.; Meng, N.; Kong, X. Thermodynamic, economic, and environmental performance comparison of typical geothermal power generation systems driven by hot dry rock. Energy Rep. 2022, 8, 2762–2777. [Google Scholar] [CrossRef]
- Li, H.; Cao, F.; Bu, X.; Wang, L.; Wang, X. Performance characteristics of R1234yf ejector-expansion refrigeration cycle. Appl. Energy 2014, 121, 96–103. [Google Scholar] [CrossRef]
- Liu, X.; Li, H.; Bu, X.; Wang, L.; Xie, N.; Zeng, J. Performance characteristics and working fluid selection for low-temperature binary-flashing cycle. Appl. Therm. Eng. 2018, 141, 51–60. [Google Scholar] [CrossRef]
- DiPippo, R. Geothermal double-flash plant with interstage reheating: An updated and expanded thermal and exergetic analysis and optimization. Geothermics 2013, 48, 121–131. [Google Scholar] [CrossRef]
- Mohammadzadeh Bina, S.; Jalilinasrabady, S.; Fujii, H. Exergoeconomic analysis and optimization of single and double flash cycles for Sabalan geothermal power plant. Geothermics 2018, 72, 74–82. [Google Scholar] [CrossRef]
- Fan, G.; Gao, Y.; Ayed, H.; Marzouki, R.; Aryanfar, Y.; Jarad, F.; Guo, P. Energy and exergy and economic (3E) analysis of a two-stage organic Rankine cycle for single flash geothermal power plant exhaust exergy recovery. Case Stud. Therm. Eng. 2021, 28, 101554. [Google Scholar] [CrossRef]
- Saleh, B.; Koglbauer, G.; Wendland, M.; Fischer, J. Working fluids for low-temperature organic Rankine cycles. Energy 2007, 32, 1210–1221. [Google Scholar] [CrossRef]
- Liu, G.; Zhou, C.; Liao, S. Comparative study on heat extraction performance between gravity heat pipe system and enhanced geothermal system. Geothermics 2021, 96, 102218. [Google Scholar] [CrossRef]
- Li, T.; Gao, R.; Gao, X. Energy, exergy, economic, and environment (4E) assessment of trans-critical organic Rankine cycle for combined heating and power in wastewater treatment plant. Energy Convers. Manag. 2022, 267, 115932. [Google Scholar] [CrossRef]
- Sulaiman, A.Y.; Cotter, D.F.; Le, K.X.; Huang, M.J.; Hewitt, N.J. Thermodynamic analysis of subcritical High-Temperature heat pump using low GWP Refrigerants: A theoretical evaluation. Energy Convers. Manag. 2022, 268, 116034. [Google Scholar] [CrossRef]
- Roy, S.; Maiya, M.P. Analysis of pinch point in liquid–vapour heat exchanger of R134a–DMAC vapour absorption refrigeration system. Appl. Therm. Eng. 2013, 50, 1619–1626. [Google Scholar] [CrossRef]






























| State | Working Fluid | T (K) | p (MPa) | h (kJ/kg) | |||
|---|---|---|---|---|---|---|---|
| Present Study | Ref. [48] | Present Study | Ref. [48] | Present Study | Ref. [48] | ||
| 1(E1) | water | 573.2 | 573.2 | 8.840 | 8.584 | 1344 | 1344 |
| 2(E2) | water | 488.2 | 488.2 | 0.8918 | 0.8918 | 1344 | 1344 |
| 3(E7) | water | 488.2 | 488.2 | 0.8918 | 0.8918 | 741.2 | 741.2 |
| 4(E3) | water | 488.2 | 488.2 | 0.8918 | 0.8918 | 2773 | 2773 |
| 5(E4) | water | 323.1 | 323.1 | 0.01234 | 0.01234 | 2285 | 2253 |
| 6(E8) | water | 411.05 | 411.9 | 0.3404 | 0.3489 | 580.3 | 584.0 |
| Substance | tHCF, in (°C) | te (°C) | tHCF, out (°C) | pmax (MPa) | mr_ORC (kg/s) | ηth (%) | Source |
|---|---|---|---|---|---|---|---|
| R245fa | 120.0 | 110.0 | 50.70 | 1.269 | 33.80 | 11.98 | Present study |
| 1.267 | 33.42 | 12.52 | Ref. [49] |
| RCO2 (%) | mHCF (kg/s) (xHCF = 0) | mHCF (kg/s) (xHCF = 0.4) | mHCF (kg/s) (xHCF = 0.5) | mHCF (kg/s) (xHCF = 0.9) |
|---|---|---|---|---|
| 0 | 24.64 | 0.3548 | 0.2847 | 0.1590 |
| 1 | 24.40 | 0.3545 | 0.2851 | 0.1606 |
| 2 | 24.15 | 0.3542 | 0.2855 | 0.1623 |
| 3 | 23.91 | 0.3539 | 0.2859 | 0.1640 |
| 4 | 23.67 | 0.3536 | 0.2863 | 0.1656 |
| 5 | 23.42 | 0.3533 | 0.2867 | 0.1673 |
| Substance | M (kg/mol) | tb (°C) | tcri (°C) | Pcri (MPa) | ODP | GWP (100 yr) |
|---|---|---|---|---|---|---|
| R601 | 72.15 | 36.00 | 196.50 | 3.37 | 0 | ~20 |
| Parameter | Value | Parameter | Value |
|---|---|---|---|
| tHCF (°C) | 100–200 | ηT (%) | 75 |
| VHCF (m3/h) | 360 | ηhp/ηcp (%) | 75 |
| RCO2 (%) | 0~5 | ηP (%) | 60 |
| X | 0~0.9 | ηF (%) | 75 |
| tc (°C) | 20 | tpp (°C) | 5 |
| tcw, in (°C) | 6 | ηm (%) | 98 |
| tcw, out (°C) | 16 | ηG (%) | 97 |
Publisher’s Note: MDPI stays neutral with regard to jurisdictional claims in published maps and institutional affiliations. |
© 2022 by the authors. Licensee MDPI, Basel, Switzerland. This article is an open access article distributed under the terms and conditions of the Creative Commons Attribution (CC BY) license (https://creativecommons.org/licenses/by/4.0/).
Share and Cite
Li, T.; Gao, R.; Gao, X.; Liu, Q. Synergetic Effect of Non-Condensable Gas and Steam Quality on the Production Capacity of Geothermal Wells and Geothermal Power Generation for Hot Dry Rock. Energies 2022, 15, 7726. https://doi.org/10.3390/en15207726
Li T, Gao R, Gao X, Liu Q. Synergetic Effect of Non-Condensable Gas and Steam Quality on the Production Capacity of Geothermal Wells and Geothermal Power Generation for Hot Dry Rock. Energies. 2022; 15(20):7726. https://doi.org/10.3390/en15207726
Chicago/Turabian StyleLi, Tailu, Ruizhao Gao, Xiang Gao, and Qinghua Liu. 2022. "Synergetic Effect of Non-Condensable Gas and Steam Quality on the Production Capacity of Geothermal Wells and Geothermal Power Generation for Hot Dry Rock" Energies 15, no. 20: 7726. https://doi.org/10.3390/en15207726
APA StyleLi, T., Gao, R., Gao, X., & Liu, Q. (2022). Synergetic Effect of Non-Condensable Gas and Steam Quality on the Production Capacity of Geothermal Wells and Geothermal Power Generation for Hot Dry Rock. Energies, 15(20), 7726. https://doi.org/10.3390/en15207726
