Next Article in Journal
Synergetic Effect of Non-Condensable Gas and Steam Quality on the Production Capacity of Geothermal Wells and Geothermal Power Generation for Hot Dry Rock
Previous Article in Journal
Cs Extraction from Chloride Media by Calixarene Crown-Ethers
 
 
Font Type:
Arial Georgia Verdana
Font Size:
Aa Aa Aa
Line Spacing:
Column Width:
Background:
Article

The Spectral Approach of Love and Mindlin-Herrmann Theory in the Dynamical Simulations of the Tower-Cable Interactions under the Wind and Rain Loads

by
Yanne Marcela Soares Fernandes
1,
Marcela Rodrigues Machado
1 and
Maciej Dutkiewicz
2,*
1
Department of Mechanical Engineering, University of Brasilia, Brasìlia 70910-900, Brazil
2
Faculty of Civil, Environmental Engineering and Architecture, Bydgoszcz University of Science and Technology, 85-796 Bydgoszcz, Poland
*
Author to whom correspondence should be addressed.
Energies 2022, 15(20), 7725; https://doi.org/10.3390/en15207725
Submission received: 18 August 2022 / Revised: 4 October 2022 / Accepted: 17 October 2022 / Published: 19 October 2022

Abstract

The paper presents the transmission line dynamic response considering tower-conductor cable coupling under wind and rain load is presented. The cable and the tower are modeled using the Spectral Element Method. The finite Element Method with different types of elements is used for verification. Excitations, such as wind and rain, are researched in the analysis and the results show the variation of the OTL displacements in each case. The tower modulates the dynamic cable response close to the coupling point and has a high influence in the response of the system. The application of the methodology based on spectral modeling, confirming good feasibility for the overhead transmission line, tower, and cable is the purpose of the study. The new approach of Love and Mindlin-Herrmann theory in the dynamical simulations and tower-cable interactions depending on the distance from the cable connection point is studied. Analysis of the wave number depending on the frequency is also shown.

1. Introduction

Overhead transmission lines (OTL) are the worldwide standard system used to transport energy over long distances. The simultaneous action of wind and rain on infrastructure facilities such as overhead transmission line is a phenomenon often encountered, both in the case of normal wind and heavy wind, with values exceeding the speeds indicated in the wind standards, e.g., Eurocodes, such as tornadoes or hurricanes, which accompanied by heavy rainfall. Another important aspect is the aerodynamic phenomena that accompany the wind flow around the OTL under the influence of wind and rain as single lines or in groups, particularly turbulence effects. Dynamic analysis of the OTL response allows for the comprehensive identification of phenomena that affect the durability of infrastructure. From the point of view of the conducted analyses, it is worth paying attention to in-situ research, laboratory tests, and numerical simulations. The literature review is presented in this wide context, confirming that the discussed topics are still relevant and that the presented issues require further analysis. The methodology proposed by the authors of this paper and the used tools, supported by the results of the analyzes, lead to the conclusion that the paper is the next step in the investigation of the response of OTL under wind and rain excitation, revealing another picture of OTL behavior, not yet presented in the literature. Confirming the above statement, in the paper [1], an OTL with three spans was analyzed with rain and wind loads. The horizontal component of the load acting on the line was the sum of the horizontal drop-impinging force and the force of the wind. The authors pointed out the need for further research on the drag parameters of the conductor with the excitation of rain and wind, as there was insufficient information in the literature on that subject. The analysis showed a significant role in the rain load. Choi in [2] focused on the rain and wind action with special attention to the effects of gusts. The flow pattern around the structure was analyzed based on the solution of the Navier-Stokes equation. In [3] the formula of rain load based on the motion state of droplets and the law of conservation of momentum to study the rain load acting on a transmission tower was presented. The obtained results indicated that the impact of raindrop impinging force on the tower’s response could be neglected, therefore the most attention should be paid to the influence of the rainfall on the aerodynamic property due to the water film on the surface of the tower and line. Zhang et al. [4] presented the effects of the tower-line system’s wind-induced vibrations. This study analyzed the dynamic tower-line response for various wind speeds and directions. In the [5] the vibrations of coupled transmission tower-line system caused by the wind were presented. Based on the analyzed models, the wind-induced response of the transmission tower-line system in time history was performed. The wind-induced vibration coefficient was analyzed. The analysis was carried out for various points in the height of the tower and the different spans of the conductors. The wind-induced vibration coefficient of transmission towers changed below the cross arm of the transmission tower, and in the cross-arm position exists a surge. McClure and Lapointe [6] presented the dynamic analysis of OTL responses due to unbalanced loads. The analysis could be useful in the calculation of other problems related to damage to the elements of the tower or suspension string. Dua et al. [7] analyzed the OTL under turbulent wind load. The authors emphasized that the transmission line response had a non-Gaussian nature which should be investigated in future research. Barbieri et al. [8,9,10] presented in their works the dynamical analysis of the transmission line cables. In [8] authors calculated the eigenvalues and eigenvectors through analytical and experimental methods. They estimated the damping ratio for the first five eigendata through search and complex envelope techniques. The authors noticed that the damping ratio increased with the increase of the length of the sample and decreased with the increase of the mechanical load. In [9] authors focused on damping estimation in the dynamics of transmission line cables. The main achievement was the estimation of the damping matrix of the system with three procedures that were used: interpolation of a fourth-order function, using an auxiliary modal damping matrix, and using the iterative procedure. In [10] authors used nonlinear mathematical models for simulation of the dynamical behavior of the non-inclined and inclined sagged transmission lines cables. The numerical models were obtained through the finite element method. For validation of the mathematical nonlinear models, the simulated results were compared with experimental data obtained in an automated testing system for overhead line cables. The authors observed strong in-plane modal coupling phenomena for cables with Irvine parameters near avoided crossing points and concluded that fluctuations of the load cable or an increase of central sag could change the natural frequencies of the system. The purpose of the paper [11] was to analyze the vibrations of the power transmission line in the natural environment and compare them with the results obtained in the numerical simulations. Analysis was performed for natural and wind-excited vibrations. The numerical model was made using SEM. In the spectral model, for various parameters of stiffness, damping, and tension force, the system response was checked and compared with the results of the accelerations obtained in the situ measurements. In the paper [12], the response of overhead transmission lines in turbulent wind flow with the use of the spectral method was investigated. The numerical analysis investigated the vibrations of the conductor due to different parameters of turbulence. For comparison, the excitation of the sine function was investigated. Spectra of longitudinal wind velocity for the numerical case, as well as the spectra of Karman, FSU, and the proposal of the author’s models were analyzed. Couniham and ESDU integral length scales were performed. Castello and Matt [13] presented the modeling of an electrical conductor subjected to small displacements and damping with additional parameter estimation via Bayesian Inference. In [14] authors analyzed the numerical model of a conductor and the results compared to those one received in the laboratory tests. The authors presented the estimates for the bending stiffness and damping parameters of a conductor. In [15] a numerical model, taking into consideration the ice shedding was analyzed. Fluid-structure interaction methodology was used by Keyhan et al. [16]. The method yielded a more accurate representation of pressure loads acting on moving conductors than provided by the pseudo-static pressure calculation based on Bernoulli’s equation, which is the current approach used in the design. The results based on the proposed method were compared to those obtained using the Bernoulli load model using four natural wind records to perform a nonlinear dynamic analysis. Yin et al. [17] presented the used vibration data, measured from sensors to detect structural damage in the transmission towers. The final load patterns for the tower structures using FEM were presented in the [18]. In [19] authors underlined that the forces from the cables to the tower cannot be neglected in the damage identification analysis. Tian et al. [20] analyzed the broken lines, ice, and wind as an additional load. The analysis was based on an explicit algorithm. The advanced static and dynamic analysis was presented in [21]. Authors in [22] gave practical information on modeling techniques to be used for lattice structures. For the purpose of the experiments, an 8 m long section of a transmission line tower was built in the laboratory, pulled at different levels of solicitation, and left to vibrate freely after the load was suddenly released. Numerical modeling was also conducted and compared to the experimental results. In the paper [23], the results of full-scale measurements and a time series analysis for the wind-induced vibration of a transmission line system in terms of the effects of the coupling motion between a steel tower and conductors were described. The authors emphasized that the coupling response characteristics were prominent in a longitudinal direction and were affected by the modeling manner of the supporting condition of the end of the conductors. The results of the paper [24] presented the differences in the response characteristics, and the peak factors computed from a time-series response were greater than those computed from power spectrum density. In the paper [25], the application of the pendulum damper was analyzed to reduce the vibration coming from the wind. In [26] the influence of a single wire on vibration was investigated. The specific behavior of the OTL system could be observed under heavy wind loads. Hamada and El Damatty [27,28] presented influnece of tornado on OTL. Li [29] carried out a wind tunnel experimental test in the OTL prototype and developed a probabilistic analysis monitoring possible failure in the structure submitted to different periods of wind return. Therefore, fast and accurate techniques have been explored for the dynamic and monitoring analysis of OTL. Computational fluid dynamics, especially in the field of drag and lift forces, is an important source of information supplementing wind tunnel research. Meynen et al. [30], based on Navier–Stokes equations investigated the vibrations due to the flow around the cable. Gołebiowska and Dutkiewicz [31] modeled the flow past the Stockbridge-type damper attached to the overhead transmission line determining aerodynamic drag and lift coefficients and the pressure around them and in their wakes. In [32,33], the element shape functions were obtained from the analytical solution of governing differential equations and the dynamic system solution was written in the frequency domain. In [34] the spectral and finite element method was used for the analysis of cable’s damage in relation to frequency response functions. Dutkiewicz et al. [35] investigated the SEM model due to a change in section area and axial force acting on the cable. In [36] authors presented the comparison of the cable’s natural frequencies resulting from measurements and numerical simulations. The research included, among others, wave number sensitivity and damping. In [37] the Wittrick–Williams algorithm for solving the transcendental eigenvalue problem of the line was presented. The application of SEM for rods and high-order spectral elements analysis were presented in works [32,38,39,40]. This work presents a transmission line dynamic analysis with the application of SEM and FEM verification. The purposes of the research are addressed to the major issues: (i) to describe the truss spectral elements using different rods order elements and compare the efficiency of each approach to model the tower; (ii) to use SEM to model the OTL combining truss and cable elements; (iii) to demonstrate the dynamic coupling behavior of the tower and connecting cable; (iv) to predict the response of the OTL with rain and wind loads.

2. Structural Spectral Element

This section introduces the spectral elements formulation of rods and cables used in the overhead transmission model. The rod and cable equations were derived from the exact solutions of each element described from the solution of the wave equation [33].

2.1. Truss Spectral Element

Truss spectral element is described in the local coordinate system [41]. It is necessary to transform the local into global coordinates.
Figure 1 shows the nodal displacements for a single elementary and Love rods on the left-hand side and Mindlin-Herrmann on the right side.
The Love theory that per node, the one-degree of freedom assumption was made for the bar, and the transformation matrix has the following form:
τ = c o s ( θ ) s i n ( θ ) 0 0 s i n ( θ ) c o s ( θ ) 0 0 0 0 c o s ( θ ) s i n ( θ ) 0 0 s i n ( θ ) c o s ( θ ) U 1 U 2 U 3 U 4 ,
in the case of the Mindlin-Herrmann rod and cable structure it is necessary to apply the transformation matrix corresponding to a frame, expressed as
τ = c o s ( θ ) s i n ( θ ) 0 0 0 0 s i n ( θ ) c o s ( θ ) 0 0 0 0 0 0 1 0 0 0 0 0 0 c o s ( θ ) s i n ( θ ) 0 0 0 0 s i n ( θ ) c o s ( θ ) 0 0 0 0 0 0 1 U 1 U 2 U 3 U 4 U 5 U 6 .
The assembling of the matrix into the global dynamic stiffness matrix is given by
S g ( ω ) = [ τ ] T [ S ( ω ) ] [ τ ] ,

2.2. Elementary Rod Spectral Element

The theory of the elementary rod considers axial load and longitudinal displacement as represented in Figure 2.
The rod’s undamped equilibrium equation in the frequency domain is written as
E A 2 u ^ x 2 + ω 2 ρ A u ^ = 0 ,
where parameter ω is the circular frequency, u ^ is the longitudinal displacement, ρ A is the mass per unit length, and E A is the axial rigidity. Hysteretic damping of structure is assumed as E = E ( 1 + i η ) , where η is the damping factor and i = 1 [32]. The general solution of Equation (4) is assumed to be u ^ ( x ) = a e i k ( ω ) x , where a is the indeterminate amplitude at each frequency. By substituting the general solution it into Equation (4) it gives the longitudinal wavenumber k. For the simple case where all properties are uniform, it is k = ω ρ / E . For the element of length L, the general solution is
u ^ ( x ) = a 1 e i k x + a 2 e + i k ( L x ) = e ( x , ω ) a ,
where a i , i = 1 , 2 are constants. The propagation is non-dispersive
e ( x , ω ) = [ e i k x , e + i k ( L x ) ] , a = a 1 , a 2 T ,
The boundary condition are at u 1 = u ( x = 0 ) , and u 2 = u ( x = L ) and by applying into Equation (5) it has
d = e ( 0 , ω ) e ( L , ω ) a = B ( ω ) a , where B = 1 e i k L e i k L 1 .
Substituting Equation (5) in Equation (7) the constant of boundary conditions vector a is eliminated given the spectral nodal displacement u ^ ( x , ω ) = g ( x , ω ) d , where the interpolation function is
g ( x , ω ) = e ( x , ω ) B 1 ( ω )
The internal axial force of the bar in spectral form is given by,
F ^ = E A u ^ x ,
and the spectral nodal axial forces for the finite elementar rod are defined as,
F ^ = F ^ 1 F ^ 2 = F ^ ( 0 ) + F ^ ( L ) = i k E A i k E A e i k L i k E A e i k L i k E A Φ a ,
where
F ^ = Φ B 1 d
and the spectral element matrix for the elementar rod element is
S ( ω ) = Φ B 1 ,
Or, in an explicit form, it has
S ( ω ) = E A L i k L ( 1 e ( 2 k L ) ) 1 + e i 2 k L 2 e i 2 k L 2 e i 2 k L 1 + e i 2 k L .

2.3. Love Rod Spectral Element

By assuming the general solution u ^ ( x ) = a e i k ( ω ) x , one can rewrite the equation of motion in the frequency domain as,
E A 2 u ^ x 2 ω 2 ν 2 ρ J 2 u ^ x 2 + ρ A ω 2 u ^ = 0 .
The wavenumber can be obtained by grouping similar terms in the equation, it has
( E A ν 2 ω 2 ρ J ) 2 u ^ x 2 + ρ A ω 2 u ^ = 0 2 u ^ x 2 + ρ A ω 2 ( E A ν 2 ω 2 ρ J ) u ^ = 0 .
By following a similar procedure described for the elementar rod theory, the wavenumber can be expressed
k = ± ω ρ A u ^ ( E A ν 2 ω 2 ρ J ) .
The spectral nodal displacement d , matrix of boundary conditions B , and the interpolation function g ( x , ω ) for the Love rod are similar to the elementar model presented from Equation (5) to Equation (8). The spectral nodal forces for the Love theory are found to be
F ^ = E A u ^ x + ν 2 ρ ω 2 J u ^ x .
in matrix form expressed as
F ^ = i k ( E A + ν 2 ρ J ω 2 ) i k ( E A + ν 2 ρ J ω 2 ) e i k L i k ( E A + ν 2 ρ J ω 2 ) e i k L i k ( E A + ν 2 ρ J ω 2 ) Φ a ,
and by relating spectral nodal displacements with nodal forces using the boundary condition term a, one has F ^ = Φ B 1 d , where the dynamic stiffness matrix for Love rod will be S ( ω ) = Φ B 1 .

2.4. Mindlin-Herrmann Rod Spectral Element

In the analysis each node has two degrees of freedom, with longitudinal u and transversal v ¯ displacements, where v ¯ = ψ x y , ψ represents the transverse contraction [32]. The two nodes Mindlin-Hermann rod element is presented in Figure 3.
The equations of motion for the Mindlin-Herrmann rod is
2 μ + λ A 2 u ^ x 2 + λ A ψ ^ x + ω 2 ρ A u ^ , μ I K r 1 2 ψ ^ x 2 2 μ + λ A ψ ^ λ A u ^ x + ω 2 ρ I K r 2 ψ ^ .
The associated boundary conditions are specified in terms of
F ^ = 2 μ + λ A u ^ x + λ A ψ ^ , Q ^ ψ = μ I K r 1 ψ ^ x ,
where I is the inertia of the cross-section, μ , λ , K r 1 , and K r 2 are a set of coupled equations defined by
μ = E / ( 2 ( 1 + ν ) ) , λ = ν E / ( ( 1 + ν ) ( 1 2 ν ) ) , K r 1 = 12 π 2 , K r 2 = K r 1 1 + ν 0.87 + 1.12 ν 2 .
For the two dependent variables u and ψ it is assumed constant coefficients, the general solutions will be
u ^ = U e i k x ω t , ψ ^ = Ψ e i k x ω t .
From the general solution and replacing Equation (20) into Equation (19), in a matrix form, one has
( 2 μ + λ ) A k 2 + ρ A ω 2 i k λ A i k λ A μ I K r 1 k 2 ( 2 μ + λ ) A + ρ I K r 2 ω 2 U Ψ = 0 0 ,
with the determinant of the matrix equal to zero, it has the characteristic equation expressed by the polynomial
x 2 k 4 + x 1 k 2 + x 0 = 0 ,
where,
x 2 = μ A I K r 1 ( 2 μ + λ ) , x 1 = 4 μ ( μ + λ ) A 2 ρ I K r 2 ω 2 ( 2 μ + λ ) A + ρ A ω 2 μ I K r 1 , x 0 = ρ A ω 2 A 2 μ + λ ρ I K r 2 ω 2 .
By solving the polynomial equation of Equation (24), it has the wavenumber
k 2 = x 1 ± x 1 2 4 x 2 x 0 2 x 2 .
As a result of the quadratic terms of the k 2 derived from Mindlin–Herrmann theory, it predicts the two modes related to the real ( k 1 ) and imaginary ( k 2 ) wavenumber. The general solution for longitudinal and transversal displacements is expressed as
u ^ x = a 1 R 1 e i k 1 x + a 2 R 2 e i k 2 x a 3 R 1 e i k 1 ( L x ) a 4 R 2 e i k 1 ( L x ) , ψ ^ x = a 1 e i k 1 x + a 2 e i k 2 x + a 3 e i k 1 ( L x ) + a 4 e i k 1 ( L x ) .
where R is relating term of the amplitude given by [38]:
R i = i k i λ A ( 2 μ + λ ) A k i 2 + ρ A ω 2 ,
the subscript i varies between 1 and 2. The nodal displacements d for the Mindlin-Herrmann rod with length L are given in the form as
d = u ^ 1 ψ ^ 1 u ^ 2 ψ ^ 2 a = u ^ ( e ( 0 , ω ) ) ψ ^ ( e ( 0 , ω ) ) u ^ ( e ( L , ω ) ) ψ ^ ( e ( L , ω ) ) a = B ( ω ) a .
The coefficients a i , i = 1 , , 4 can be found by substituting the element boundary conditions of the element nodal displacement, in a matrix form B will be,
a = B 1 d = R 1 R 2 R 1 p 1 R 2 p 2 1 1 p 1 p 2 R 1 p 1 R 2 p 2 R 1 R 2 p 1 p 2 1 1 1 u ^ 0 ψ ^ 0 u ^ L ψ ^ L ,
where p 1 = e i k 1 L and p 2 = e i k 2 L .
By replacing the derivative of the displacement solutions presented in Equation (26) in the boundary conditions of Equation (20), with F ^ ( 0 ) = F ^ 1 , Q ^ ( 0 ) = Q ^ 1 , F ^ ( L ) = F ^ 2 and Q ^ ( L ) = Q ^ 2 , spectral forces is obtained as,
F ^ = F ^ 1 Q ^ 1 F ^ 2 Q ^ 2 = i k 1 M 3 i k 2 M 3 i k 1 M 3 p 1 i k 2 M 3 p 2 N 1 + M 2 N 2 + M 2 ( N 1 + M 2 ) p 1 ( N 2 + M 2 ) p 2 i k 1 M 3 p 1 i k 2 M 3 p 2 i k 1 M 3 i k 2 M 3 ( N 1 + M 2 ) p 1 ( N 2 + M 2 ) p 2 N 1 + M 2 N 2 + M 2 Φ a 1 a 2 a 3 a 4 ,
where N 1 = ( 2 μ + λ ) A , M 2 = λ A , N 1 = i k 1 M 1 R 1 and N 2 = i k 2 M 1 R 2 . Substituting the vector a of Equation (28) in Equation (29), the dynamic stiffness matrix representing the Mindlin-Herrmann rod is determined likewise in elementar and Love theories.

3. Cable Spectral Element

The cable model derived from an Euler-Bernoulli beam subject to an axial load is shown in Figure 4. It node has flexural and rotational degrees of freedom and axial tension, shear, and momentum forces.
By considering free vibration and hysteretic damping, the spectral form of the equation of motion is
E I d 4 v ^ ( x , ω ) d x 4 T d 2 v ^ ( x , ω ) d x 2 ω 2 ρ A v ^ ( x , ω ) = q .
and replacing the spectral form of solution as v ^ j = v j e i ( k x ω t ) in Equation (30), the characteristic equation for the wavenumbers k j , will be [32,42]
E I k 4 + T k 2 ω 2 ρ A = 0 .
There are four roots, representing two sets of wave mode pairs, being two real and two imaginary roots of the form
k 1 = ± T 2 E I + T 2 E I 2 + ρ A ω 2 E I , k 2 = ± T 2 E I T 2 E I 2 + ρ A ω 2 E I ,
For the Euler-Bernoulli beam spectral element subjected to an axial load of length L, we assumed that ± k 1 = k and ± k 2 = i k . The traveling waves can be expressed in the form
v ^ ( x , ω ) = a 1 e i k x + a 2 e k x + a 3 e i k ( L x ) + a 4 e k ( L x ) = e ( x , ω ) a ,
for
e ( x , ω ) = [ e i k x , e k x , e i k ( L x ) , e k ( L x ) ] , a = [ a 1 , a 2 , a 3 , a 4 ] T .
The spectral nodal displacements and slopes are as follows
d = v 1 ϕ 1 v 2 ϕ 2 = v ^ ( 0 ) v ^ ( 0 ) v ^ ( L ) v ^ ( L ) = e ( 0 , ω ) e ( 0 , ω ) e ( L , ω ) e ( L , ω ) a = B ( ω ) a ,
where,
B ( ω ) = 1 1 e i k L e k L i k k i k e i k L k e k L e i k L e k L 1 1 i k e i k L k e k L i k k ,
for the boundary condition terms a being expressed as a = B 1 ( ω ) d .
Spectral shear V and moment M forces presented in the cable are defined as
V = E I 2 v ^ x 2 , M = E I 3 v ^ x 3 ,
by solving the derivative and applying the boundary conditions, the spectral forces are obtained by:
F ^ = V ( 0 ) M ( 0 ) V ( L ) M ( L ) = E I i k 3 k 3 i k 3 e i k L e i k L k 2 k 2 k 2 e i k L k 2 e k L i k 3 e i k L k 3 e k L i k 3 k 3 k 2 e i k L k 2 e k L k 2 k 2 Φ a ,
and the dynamic stiffness matrix obtained as in the rod elements, so that
S ( ω ) = Φ B 1 .
The displacement is interpolated from the nodal displacement vector d by eliminating the constant vector a ,
v ^ ( x , ω ) = g ( x , ω ) d ,
where the shape function is
g ( x , ω ) = e ( x , ω ) B 1 ( ω ) .
When the beam is uniform without any sources of discontinuity, it can be represented by a single spectral element with accurate solutions [32].

Distributed Load

The distributed load can be incorporated into the spectral formulation and determined its contribution by multiplying the differential equation for v ( x ) by the function of the form g ( x ) and integrating between the limits of the length of the element [32], described by
0 L [ E I g T ( x ) g ( x ) + T g T ( x ) g ( x ) + ω 2 ρ A g T ( x ) g ( x ) ] d x = 0 L q ^ ( x ) g T ( x ) g ( x ) d x ,
where represents the spatial derivative representation. In this way, the stiffness ratio for the cable with a distributed load is written as
F ^ + 0 L q ^ ( x ) g T ( x ) g ( x ) d x = S ( ω ) d .
The same as in the FEM [43], the elements in SEM can be assembled to form a global structure matrix system [33].

4. Wind and Rain Loads

The speeds and directions of wind and rain flow change in space and time. In practice, the loads resulting from these phenomena are determined from numerical simulations, field simulations and wind tunnel tests [20,29,30].

4.1. Wind Load

The action of the wind in contact with a body generates aerodynamic and friction forces. The difference in pressure downstream and upstream of the structures causes drag pressure, which is considerably greater than the viscous drag of the air. Wind speed changes in different altitudes and varies in time [44]. It is assumed that the average wind speed is stable in the period of 10 min to 2 h as demonstrated in [44], in this interval, the instantaneous speed can be obtained by,
V ¯ ( x , t ) = V m ( x ) + v ( x , t ) ,
where V m is the average speed and v the speed variation, those parameters will change from geographic location, e.g in Brazil the forces due to wind admits the average speed remains constant for a period of up to 10 min [45]. However, fluctuations in the wind can introduce important fluctuations in the direction of the wind acting in slender structures, such as in cables. The basic wind speed V b is defined as the wind speed referred to a return period of 50 years [46], at the height of 10 m in relation to the ground, referring to an integration period of 10 min measured in terrain with a degree of roughness B type.
In transmission line analysis the design speed V p is computed by relating the correction factor V b adopted according to the degree of roughness of the terrain, the wind action time interval, and the height of the obstacle, so that
V p = K r K d h 10 1 / n V b ,
where h is the wind action height level, K r roughness coefficient, K d relationship between integration period and terrain roughness, the n the correction factor. The dynamic reference pressure is given by
P v = 1 2 ρ v V p 2 ,
for ρ v = 1.293 ( 1 + 0.00367 ) λ 16000 + 64 λ κ 16000 + 64 λ + κ being the air density, λ the temperature [ C], and κ the altitude of the region. The wind action on the cable generates a perpendicular force, and at the point of attachment to each support is given by
F v = P v C a α d L 2 s e n 2 θ ,
where C a represents the drag coefficient equal to 1 determined by the number of Reynolds, α is the effectiveness factor, d the diameter of the cable in meters, L length of span considered in meters and θ the angle of incidence of the wind (≤ 90 ) . The technical standard NBR6123 [45] defines the action of winds on buildings, with the global force in the wind direction as F v = C a P v A , where A is the area under the effect of the wind load, and the dynamic pressure P v is obtained as
P v = 1 2 ρ V p 2 = 0.613 V p 2 .

4.2. Rain Load

The mathematical expression of the rain load considers the raindrops’ motion and the law of conservation of the moment [3]. It is assumed that the raindrop splashing is neglected in the process of the raindrop impact. The trajectory of the raindrop equation for vertical (y), cross-wind(z) and horizontal along-wind (x), directions are given by [2]
m d 2 x d t 2 = 6 π μ r U d x d t C a R e y 24 , m d 2 y d t 2 = 6 π μ r V d y d t C a R e y 24 , m d 2 z d t 2 = 6 π μ r W d x d t C a R e y 24 m g 1 ρ v ρ w ,
where m = 4 π r 3 3 ρ w is the raindrop mass, U , V , W are the components of wind speed, ρ w is the water density, ρ v the air density, μ the air viscosity, r is the raindrop radius and R e y the Reynolds number given as
R e y = 2 ρ v r μ U d x d t 2 + V d y d t 2 + W d z d t 2 .
By replacing Equation (49) in (48), it has
d 2 x d t 2 = 3 C a x ρ v 8 r ρ w U d x d t U d x d t 2 + V d y d t 2 + W d z d t 2 , d 2 y d t 2 = 3 C a y ρ v 8 r ρ w V d y d t U d x d t 2 + V d y d t 2 + W d z d t 2 , d 2 z d t 2 = 3 C a z ρ v 8 r ρ w W d z d t U d x d t 2 + V d y d t 2 + d z d t 2 g 1 ρ v ρ w .
In the wind field of the atmospheric boundary layer, raindrops are influenced by the wind flow. After a simplification of the drag coefficients in the all directions, the components C a x , C a y , and C a z are equal to the sphere drag coefficient, approximated by 0.47 [47]. The motion of the drops is due to the inertia [3]. The variables characterizing the rain load in the vertical and horizontal speed direction are the specific capture rate N ( d ) related to the raindrop diameter d r , and the speed ration γ ( h , d r , α ) . In short, γ ( h , d r , α ) is proportional to d r of the raindrop and to the power law exponent α , while inversely proportional to its height h, expressed as
γ ( h , d r , α ) = ( 0.2373 h ( 0.5008 ) ) d r 3 0.8 α 0.12 + 1 .
The relationship between the intensity of rain in the horizontal and vertical direction is given by the ratio N ( d ) which is also equal to the rate of rain flow per unit area at the same orientation, given by
N ( d ) = R v ( d ) R h ( d ) = V h V t e r m = V p γ V t e r m ,
where V h is the horizontal velocity and
V t e r m ( d ) = 9.40 ( 1 e 0.557 d 1.15 ) ,
is the vertical terminal velocity.
For V t e r m greater than V h , the vertical rain velocity will be greater than the velocity in the horizontal direction. For rain, with a drop diameter, the intensity is defined by
R ( d ) = 3600 V d r o p n ( d ) π d 3 6 ,
the variable V d r o p is the velocity that is perpendicular to the plane of the raindrop spectrum and n ( d ) is the number of raindrops with diameter per unity of volume. Substituting V t e r m ( d ) and R ( d ) into Equation (52) the catch ratio can be expressed as
N ( d ) = R v ( d ) R h ( d ) = 3600 V h n v ( d ) ( π d 3 / 6 ) 3600 V t e r m n h ( d ) ( π d 3 / 6 ) = V h n v ( d ) V t e r m n h ( d ) ,
where the spectrum in the horizontal and vertical direction are n h = n v = n 0 e ( Λ d ) , receptively [48].
For n 0 = 8 × 10 3 in 1 / ( m 3 m m ) and Λ = 4.1 R h 0.21 in 1 / m m , R h is the intensity of the horizontal rain. In the process of colliding the raindrop with the structure, its speed V h becomes zero. Since the collision time is based on the moment conservation law, it has
0 τ f ( t ) d t + V h 0 m d v = 0 ,
the average impact force F ( τ ) of the drop over a time interval τ is
F ( τ ) = 1 τ 0 τ f ( t ) d t = m V h τ = 1 6 τ ρ w π d 3 V h .
The rain load with a specific diameter acting on the structure in a unitary volume must adopt the spectrum in the vertical plane so that F d = F ( τ ) n v ( d ) .
Therefore, the load related to rain acting on the structure is obtained by [3]:
F c = F d = 1 3 ρ w π d 3 n v ( d ) V h 2 A = 1 3 ρ w π d 3 n h ( d ) ( γ ( h , d , α ) V a ( h , t ) ) 2 A ,
where ∀ is the volume of the flow acting on the structure, and the rain pressure is given by:
P c = 1 3 ρ w π d 3 n h ( d ) ( γ ( h , d , α ) V p ( h , t ) ) 2 .
In situ, it is typically that rain follows by wind, hence there is the necessity to study simultaneous these events to better understand the behavior of the structure [1]. The wind and rain loads acting simultaneously are developed as the sum of forces yields
F t o t a l = F v + F c .

5. Numerical Analyses and Discussion

The numerical analysis examined the results regarding the tower, cable, and cable-tower coupled model under the wind and rain loads. The span of the transmission line of 100 m is shown in Figure 5. The tower is based on the structure proposed by [19] which is a self-supporting tower composed of rods of the same cross-sectional areas and parameters: modulus of elasticity E = 210 GPa, a density of ρ = 7860 kg/m 3 , the cross-section area A = 0.01 m 2 , and Poisson coefficient equals to 0.3. The tower is 26 m high and contains 48 rods in total with 22 connection nodes. The cable was made of aluminum with the properties E = 74 GPa, ρ = 2700 kg/m 3 , η = 0.01 , area of A = 50 × 10 5 m 2 , length L = 100 m and a tension load of 27 kN. The suspension string was omitted, therefore, this article does not analyze the issue of the swing of the cable.
In the numerical model, the truss and the cable elements are used. In Figure 5, the analyzed points on structures are shown: point (a) is located on the tower, (b) is the coupling point, point (c) is on the cable, 1 m from the coupling point, point (d) is located in the middle of the cable. The assumed parameters of wind and rain load are: base wind speed of 20 m/s, air density of 1225 kg/m 3 , raindrops density of 1000 kg/m 3 , correction rate n = 12, terrain category B, roughness category K r = 1 , K d = 1.6 , temperature 25 C, drag coefficient C a = 1 , power-law coefficient α = 0.65 , rain intensity of 150 mm/h.

5.1. Tower Dynamic Analysis

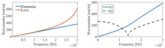
The overhead transmission tower is modeled with the rod and beam structural elements as a small lateral rotation in vibration conditions. Different types of rods are used for modeling the tower and verifying the vibration response, as well as to investigate the computational cost of each approach. Figure 6 shows the dispersion diagrams for a single elementary and Love rods on the left-hand side and Mindlin-Herrmann on the right side with properties described in Section 5. Elementary rod has a non-dispersive behavior in the whole frequency range. The Love bar has a non-dispersive behavior up to 100 kHz and from this frequency onward a dispersive one, caused by the lateral contraction that is considered in this theory. The Mindlin-Herrmann dispersion diagram shows the first ( k 1 ) waveform that presents a purely real behavior. The second mode ( k 2 ) shows a complex waveform with a cutoff frequency ω c around 140 kHz. It has an imaginary value and therefore, evanescent character. Above ω c it presents a real waveform with propagating waves.
Figure 7 presents the receptance frequency response function (FRF) for elementary, Love and Mindlin-Herrmann elements, free-free boundary conditions, and unit force excitation. The receptance functions are measured at the imposed node. Elementary and Love rods present similar receptance in the whole frequency range, in contrast to the Mindlin–Herrmann rod that diverges significantly from 8 kHz. The theory includes the deformation component such as shear due to transverse displacement inducing changes in the dynamic response compared to the other rods.
The time processing increases as the complexity of the theory, which is shown in Table 1. The analysis with the application of the Mindlin-Herrmann model increases the computation time in 107% and the Love model in 53%, in comparison with an elementary rod. Therefore, to select the rod model used in the tower, it is important to consider the frequency range used, the deformation component conditions, and computational time. The transmission tower is modeled with the three-rod theory and compared to the FEM model aiming to verify the application and lead to the rod selection. For the FEM tower analysis, it is used the ANSYS software and Link 180 elements. Figure 8 shows the tower’s receptance obtained for the excitation with unitary force and measured at point (a) that is shown on Figure 5. The tower modeled with elementary (El), Love, and 0.01 m mesh size FEM elements has a similar dynamic response in the frequency of 0 to 200 Hz. The FEM analysis required a larger number of elements in the mesh compared to SEM models. The resonance frequency for Mindlin-Herrmann (M-H) elements differs from the third mode compared to the other models. The mode shapes are the same.
Table 2 shows the first five frequencies of resonance. The results have good approximation among the theories, although FEM needed a refined mesh to converge with SEM and elementary rod. Table 3 shows the mesh discretization ratio of the tower modeled by FEM related to the resonant frequencies. By comparing SEM single rod and FEM, the best outcoming of FEM is with an element sizing 0.01 m. Figure 9 brings the FEM convergence analysis related to the percentage error, where it is shown that the error decreases with the increase of the mesh discretizations. The convergence percentage error was calculated by subtracting the SEM ( ω S ) resonance frequency from the FEM ( ω F ) and divide by ( ω F ), as [ ( ω F ω S ) / ω F ] × 100 .
The computational time for processing is shown in Table 4 and the simulations were performed using a Dell microcomputer with an Intel (R) Core (TM) i7 processor and 8 GB RAM. Note that the elementary rod had the shortest processing time. Comparing the SEM and FEM solutions, it was demonstrated the mesh convergence was proportional to the computational time. The SEM proved to be an accurate method with a low computational cost for all approaches. Because the results with the different SEM rod theories show small variations in the analyzed frequency band and economical cost involved in the analysis, the elementary theory shows to be the best choice for the SEM rod, and it will be used in the next studies.

5.2. Cable under Punctual and Distributed Load

The cable is made of aluminum with the mechanical properties described in the previous subsection. The cable dispersion diagram demonstrates the direct relation of the tensile load with the propagation wave type. Increasing the tension, the wave propagation behavior changes from dispersive for a low tensile load to non-dispersive as shown in Figure 10.
Table 5 shows the cable resonance frequencies obtained during the analysis: analytical [49], SEM, and FEM with different mesh discretization. Presented resonance frequencies are for the 100 m cable span with fixed ends. The frequency analysis was done in the static equilibrium configuration under self-weight. The SEM presents the same frequency values compared to the analytical solution. FEM solutions were obtained with 10, 20, 50, and 100 elements in the mesh. For FEM, with the increase in the number of elements, the accuracy increases together with the processing costs.

5.3. Punctual Load

Figure 11 shows the receptance response obtained at the left end of the cable due to a unitary excitation imposed at the same measured point for SEM and FEM with 20 elements in the mesh. The resonance frequencies and mode shape up to 10 Hz are similar, after 10 Hz the resonances have a small difference. In the next case studies, the results of the analysis with the SEM are presented. The influence of the direction of the wind and rain acting on the cable was analyzed.
Figure 12a presents the receptance function of the cable exposed to the wind-rain load acting at 45 and 90 angle. Figure 12b shows the results from analysis of the cable that is excited by the wind, rain, and wind-rain as the punctual forces. The basic wind speed was assumed as 20 m/s, corresponding to the category of land as urban areas and lands with many tall trees.

5.4. Distributed Load

The cable dynamic response changed with the distributed load. Figure 13a–d shows the receptance FRFs of the cable subjected to a tensile load of 27 KN, excited by (a) distributed unitary load; (b) distributed wind excitation with a base speed of 20 ms; (c) distributed rain load with an intensity of 150 mm/h, and (d) distributed wind and rain. The analysis estimated the receptance over a meter of cable from the support and considered distributed load according to the formulation presented in Section 3.
The cable receptance presented a significant difference when it considered the distributed load compared to the punctual load. Distributed load affects the amplitude of the response and the vibration of the structure itself. However, by comparing the wind and rain-distributed loads with unitary, the difference occurs only on the response amplitudes. The following analyzes assumed distributed loading with wind and rain loads simultaneously.

5.5. Overhead Transmission Line Tower-Cable Coupling

The overhead transmission line composes of a tower coupled to the cable as shown in Figure 5. The FRFs of the system were obtained at the points ’a’ to d due to a unitary excitation force imposed at point ’a’ (red dot). Figure 14a–c are the FRFs measured at the point ’a’ (red dot) horizontal and vertical direction in the tower and b (yellow dot) the coupling point, respectively. The receptance response of those three measurements captured only the tower dynamic resonance frequencies and modes, even in the coupling point where there is the cable attached. The FRF obtained on the cable from a meter of the coupling point is presented in Figure 14d, the interaction of the cable and the tower is observed, and noticed the dynamic behavior of the tower modulates the cable’s response. FRF calculated at the cable middle length, and the end-span are shown in Figure 14e,f, where the cable dynamics increased, but are still modulated by the tower vibration. For the analyzed problem, the range of frequencies from 0 to 200 Hz is significant.
The fatigue failures in the transmission line occur close to the connection coupling point. Figure 15 shows the cable’s receptances obtained from the coupling point ( c ) to 1 m (d) for every 0.1 m distance. At the coupling point, FRF is dominant. In the other points, the cable’s response contribution increased gradually but was still modulated by the tower modes. The tower’s response has a great contribution to the OTL vibrational response. As shown in the literature, cable fractures usually occur between 0.6 to 1 m from the coupling point. In this region, there is an increasing influence of the cable inducing local vibration fatigue, as demonstrated in Figure 15.
Table 6 shows the first six frequencies calculated in the tower at the connection point, and in the cable at 1 m and 50 m from the connection. One can notice the interaction between the tower and the cable by observing the resonance frequencies. The first frequency within one meter of the connection coincides with the tower, and the others are cable frequencies far from the tower one. In the middle of the cable (50 m from the connection), the first six frequencies are low.
The influence of the excitation position is presented in Figure 16. It assumed a unitary force imposed at the coupling point ’b’ (black curves), a meter from the connection in ’c’ (red curves), and at the cable middle length in ’d’ (blue curves). The receptances shown in Figure 16a–e were calculated in the tower, coupling point, in the cable at 1 m and 50 m, and at the end of the cable. The receptances obtained due to the excitation at point ’b’ held a significant influence from the tower in all cases. In contrast, the receptance derived due to the excitation at point ’b’ presented a notable influence of the cable responses and high modal density. However, the tower dynamics modulated the curves. By excitation the system in the middle of the cable, the receptances demonstrated a greater influence of the cable with greater amplitudes in its responses. Therefore, to minimize the influence of tower vibration on the cable response, it is recommended to select the excitation and measurement points over a meter of the connection.
The OTL responses under wind and rain simultaneously excitation shown in Figure 17 exhibited greater amplitude in comparison to the OTL excited by a unitary force. The OTL dynamic response under wind and rain excitation behaves similarly to unitary excitation differing only in the amplitude that increased at 150 dB. It is also noted that the responses tend to follow the dynamic behavior of the structural element where the force is imposed.

5.6. Distributed Load

FRFs obtained over the tower and at the connection point shown in Figure 18a–c assumed a unitary distributed load over the cable. The responses maintain the amplitude of displacement combined with the dynamic tower response, and it is predominantly influenced by cable vibration. The FRFs obtained in the cable, Figure 18d–f exhibited a low influence of the tower in its dynamic behavior. In Figure 18d close to the coupling the FRFs increased in amplitude, and in Figure 18e,f related to the furthest points from the coupling decreased the amplitude.
Figure 19 presents the FRFs estimated using a distributed wind-rain load excitation over the overhead transmission conductors. By comparing Figure 19 to Figure 18, a similar pattern can be observed with changes only in amplitude due to the increased load. For the excitation with the wind and rain phenomena acting separately, the responses follow the same curve pattern, with changes only in amplitude.

6. Conclusions

The action of the rain and wind excitation acting at the same time on the tower and the line is performed in the paper. The behavior of the tower-cable system is presented as excited by the rain and wind, which is more sophisticated than the wind load only. The average impact force of the drop is considered. The purpose of this analysis is to compare the results for Mindlin-Herrmann, Love, and the elementary elements. As models have the wave character, for the purposes of comparison, the propagation of the wave number depending on the frequency is shown. The impact of the load variation causes high displacement amplitudes of the system. It is also notable, that there are no significant variations in the FRFs behavior in the case of distributed loads. Effects of the OTL dynamic coupling responses are evident with changes in the frequencies of a modulation of the cable’s FRF by the tower response. It is worth mentioning that it is essential to analyze the interaction of the structures since both presents the influence of the coupling in the responses. The results prove that, closer to the connection point, the couple vibrations combine the tower and cable response, which means that these elements influence each other near this connection, but far from this point this interaction decreases. The results show that the Poisson coefficient does not affect the tower’s behavior. Therefore, the elementary bar theory in the analysis is further assumed. This is important to emphasize that results of SEM simulations are close to the real vibrations of the cable. Simulation validation was performed and discussed in [37].
The proposed methodology of the spectral and finite element methods is suitable for cable and tower analysis. The method used in the present work shows good feasibility for this type of structure. The transmission tower modeled by the SEM with the three types of rod obtains similar responses to FEM, which has a large mesh in its discretization to achieve a good result. For the cable analysis, the comparison is made among the SEM, FEM, and the analytical solution, demonstrating the good accuracy of SEM.
In the next research, the influence of the shedding of the ice, shock load, and eccentricities of the load at joints of the tower will be analyzed.

Author Contributions

Conceptualization, Y.M.S.F., M.R.M. and M.D.; methodology, Y.M.S.F., M.R.M. and M.D.; software, Y.M.S.F.; validation, Y.M.S.F., M.R.M. and M.D.; formal analysis, M.R.M.; investigation, M.R.M. and M.D.; resources, Y.M.S.F.; data curation, Y.M.S.F., M.R.M. and M.D.; writing—original draft preparation, Y.M.S.F. and M.R.M.; writing—review and editing, M.R.M. and M.D.; visualization, Y.M.S.F.; supervision, M.R.M. and M.D.; project administration, M.R.M. and M.D.; funding acquisition, M.R.M. and M.D. All authors have read and agreed to the published version of the manuscript.

Funding

This work has received no external funding.

Institutional Review Board Statement

Not applicable.

Informed Consent Statement

Not applicable.

Data Availability Statement

Not applicable.

Conflicts of Interest

The authors declare no conflict of interest.

References

  1. Fu, X.; Li, H.N. Dynamic analysis of transmission tower-line system subjected to wind and rain loads. J. Wind. Eng. Ind. Aerodyn. 2016, 157, 95–103. [Google Scholar] [CrossRef]
  2. Choi, E. Numerical modelling of gust effect on wind-driven rain. J. Wind. Eng. Ind. Aerodyn. 1997, 72, 107–116. [Google Scholar] [CrossRef]
  3. Fu, X.; Li, H.-N.; Yi, T.-H. Research on motion of wind-driven rain and rain load acting on transmission tower. J. Wind. Eng. Ind. Aerodyn. 2015, 139, 27–36. [Google Scholar] [CrossRef]
  4. Zhang, M.; Zhao, G.; Wang, L.; Li, J. Wind-Induced Coupling Vibration Effects of High-Voltage Transmission Tower-Line Systems. Shock Vib. 2017, 2017, 1205976. [Google Scholar] [CrossRef]
  5. Chunming, W.; Bin, M.; Tingting, S. Research on the Wind-induced Vibration Coefficient of Transmission Tower-line System. Phys. Procedia 2012, 24, 149–154. [Google Scholar] [CrossRef][Green Version]
  6. McClure, G.; Lapointe, M. Modeling the structural dynamic response of overhead transmission lines. Comput. Struct. 2003, 81, 825–834. [Google Scholar] [CrossRef]
  7. Dua, A.; Clobes, M.; Höbbel, T. Dynamic analysis of overhead transmission line under turbulent wind loading. Electron. J. Struct. Eng. 2015, 15, 46–54. [Google Scholar] [CrossRef]
  8. Barbieri, N.; de Souza, O.H., Jr.; Barbieri, R. Dynamical analysis of transmission line cables. Part 1—Linear theory. Mech. Syst. Signal Process. 2004, 18, 659–669. [Google Scholar] [CrossRef]
  9. Barbieri, R.; Barbieri, N.; de Souza, O.H., Jr. Dynamical analysis of transmission line cables. Part 2—Damping estimation. Mech. Syst. Signal Process. 2004, 18, 671–681. [Google Scholar] [CrossRef]
  10. Barbieri, R.; Barbieri, N.; de Souza, O.H., Jr. Dynamical analysis of transmission line cables. Part 3—Nonlinear theory. Mech. Syst. Signal Process. 2008, 22, 992–1007. [Google Scholar] [CrossRef]
  11. Dutkiewicz, M.; Machado, M.R. Measurements in situ and spectral analysis of wind flow effects on overhead transmission lines. Sound Vib. 2019, 53, 161–175. [Google Scholar] [CrossRef]
  12. Dutkiewicz, M.; Machado, M.R. Dynamic Response of Overhead Transmission Line in Turbulent Wind Flow with Application of the Spectral Element Method. IOP Conf. Ser. Mater. Sci. Eng. 2019, 471, 052031. [Google Scholar] [CrossRef]
  13. Castello, D.A.; Matt, C.F. Estimation of Bending Stiffness and Damping of Transmission Line Conductors. In Proceedings of the Inverse Problem, Design and Optimization Symposium, Miami, FL, USA, 16–18 April 2007. [Google Scholar]
  14. Castello, D.A.; Matt, C.F.T. A validation metrics based model calibration applied on stranded cables. J. Braz. Soc. Mech. Sci. Eng. 2012, 33, 417–427. [Google Scholar] [CrossRef]
  15. Kálmxaxn, T.; Farzaneh, M.; McClure, G. Numerical analysis of the dynamic effects of shock-load-induced ice shedding on overhead ground wires. Comput. Struct. 2007, 85, 375–384. [Google Scholar]
  16. Keyhan, H.; McClure, G.; Habashi, W.G. Dynamic analysis of an overhead transmission line subject to gusty wind loading predicted by wind-conductor interaction. Comput. Struct. 2013, 122, 135–144. [Google Scholar] [CrossRef]
  17. Yin, T.; Lam, H.F.; Chow, H.M.; Zhu, H.P. Dynamic reduction-based structural damage detection of transmission tower utilizing ambient vibration data. Eng. Struct. 2009, 31, 2009–2019. [Google Scholar] [CrossRef]
  18. Rao, N.; Knight, G.M.; Lakshmanan, N.; Iyer, N.R. Investigation of transmission line tower failures. Eng. Fail. Anal. 2010, 17, 1127–1141. [Google Scholar]
  19. Lam, H.F.; Yin, T. Dynamic reduction-based structural damage detection of transmission towers: Practical issues and experimental verification. Eng. Struct. 2011, 33, 1459–1478. [Google Scholar] [CrossRef]
  20. Tian, L.; Guo, L.; Ma, R.; Gai, X.; Wang, W. Full-Scale Tests and Numerical Simulations of Failure Mechanism of Power Transmission Towers. Int. J. Struct. Stab. Dyn. 2018, 18, 1850109. [Google Scholar] [CrossRef]
  21. Naidu, G.G.; Krishna, P.M. Dynamic Analysis Of Electrical Transmission Tower Using Fnite Element Technique. Int. J. Eng. Res. 2018. [Google Scholar] [CrossRef]
  22. Taillon, J.Y.; Légeron, F.; Prud’Homme, S. Variation of damping and stiffness of lattice towers with load level. J. Constr. Steel Res. 2012, 71, 111–118. [Google Scholar] [CrossRef]
  23. Momomura, Y.; Marukawa, H.; Ohkuma, T. Wind-induced vibration of transmission line system. J. Wind. Eng. Ind. Aerodyn. 1992, 43, 2035–2046. [Google Scholar] [CrossRef]
  24. Yasui, H.; Marukawa, H.; Momomura, Y.; Ohkuma, T. Analytical study on wind-induced vibration of power transmission towers. J. Wind. Eng. Ind. Aerodyn. 1999, 83, 431–441. [Google Scholar] [CrossRef]
  25. Battista, R.C.; Rodrigues, R.S.; Michèle, S.P. Dynamic behavior and stability of transmission line towers under wind forces. J. Wind. Eng. Ind. Aerodyn. 2003, 91, 1051–1067. [Google Scholar] [CrossRef]
  26. Li, Q.; Junjian, Y.; Wei, L. Random Wind-induced Response Analysis of Transmission Tower-line System. Energy Procedia 2012, 16, 1813–1821. [Google Scholar]
  27. Hamada, A.; Damatty, A.A. Behaviour of guyed transmission line structures under tornado wind loading. Comput. Struct. 2011, 89, 986–1003. [Google Scholar] [CrossRef]
  28. Hamada, A.; Damatty, A.A. Failure analysis of guyed transmission lines during F2 tornado event. Eng. Struct. 2015, 85, 11–25. [Google Scholar]
  29. Li, X.; Zhang, W.; Niu, H.; Wu, Z.Y. Probabilistic capacity assessment of single circuit transmission tower-line system subjected to strong winds. Eng. Struct. 2018, 175, 517–530. [Google Scholar]
  30. Meynen, S.; Verma, H.; Hagedorn, P.; Schäfer, M. On the numerical simulation of vortex-induced vibrations of oscillating conductors. J. Fluids Struct. 2005, 21, 41–48. [Google Scholar]
  31. Golebiowska, I.; Dutkiewicz, M. Modelling of Flow Past Damper Attached to the Overhead Transmission Line. Mater. Sci. Eng. 2017, 245. [Google Scholar] [CrossRef]
  32. Doyle, J.F. Wave Propagation in Structures-Spectral Analysis Using Fast Discrete Fourier Transforms; Springer: New York, NY, USA, 1997. [Google Scholar]
  33. Lee, U. Spectral Element Method in Strutural Dynamics; John Wiley & Sons: Hoboken, NJ, USA, 2009. [Google Scholar]
  34. Zhang, S.; Shen, R.; Wang, T.; Roeck, G.; Lombaert, G. A two-step FEM-SEM approach for wave propagation analysis in cable structures. J. Sound Vib. 2018, 415, 41–58. [Google Scholar] [CrossRef]
  35. Dutkiewicz, M.; Machado, M.R. Spectral Approach in Vibrations of Overhead Transmission Lines. IOP Conf. Ser. Mater. Sci. Eng. 2019, 471, 052029. [Google Scholar] [CrossRef]
  36. Dutkiewicz, M.; Machado, M. Spectral element method in the analysis of vibrations of overhead transmission line in damping environment. Struct. Eng. Mech. 2009, 71, 291–303. [Google Scholar]
  37. Machado, M.R.; Dutkiewicz, M.; Matt, C.F.T.; Castello, D.A. Spectral model and experimental validation of hysteretic and aerodynamic damping in dynamic analysis of overhead transmission conductor. Mech. Syst. Signal Process. 2019, 136, 1–21. [Google Scholar] [CrossRef]
  38. Krawczuk, M.; Grabowska, J.; Palacz, M. Longitudinal wave propagation. Part I-Comparison of rod theories. J. Sound Vib. 2006, 295, 461–478. [Google Scholar] [CrossRef]
  39. Mei, C. Comparison of the four rod theories of longitudinally vibrating rods. J. Vib. Control. 2015, 21, 1639–1656. [Google Scholar] [CrossRef]
  40. Machado, M.; Adhikari, S.; Santos, J. A spectral approach for damage quantification in stochastic dynamic systems. Mech. Syst. Signal Process. 2017, 88, 253–273. [Google Scholar] [CrossRef]
  41. Hutton, D. Fundamentals of Finite Element Analysis; McGraw-Hill: London, UK, 2004. [Google Scholar]
  42. Gopalakrishnan, S. Wave Propagation in Materials and Structures; CRC Press: Boca Raton, FL, USA, 2016. [Google Scholar]
  43. Zienkiewicz, O.C.; Taylor, R.L. The Finite Element Method, 4th ed.; McGraw-Hill: London, UK, 1991. [Google Scholar]
  44. Krée, P.; Soize, C. Mathematics of Random Phenomena: Random Vibrations of Mechanical Structures; Springer: Dordrecht, The Netherlands, 1986. [Google Scholar]
  45. NBR-6123; NBR-6123-ças Devidas ao Vento em Edificações. NORMAS: Sao Paulo, Brazil, 1988. (In Portuguese)
  46. NBR-5422; NBR5422- Projeto de Linhas de Transmissão de Energia Elétrica. NORMAS: Sao Paulo, Brazil, 1985. (In Portuguese)
  47. Gunn, R.; Kinzer, G. The Terminal Velocity of fall for water droplets in stagnant air. J. Meteorol. 1948, 6, 243–248. [Google Scholar] [CrossRef]
  48. Marshall, J.; Palmer, W.M. The Distribution of Raindrops With size. J. Meteorol. 1948, 5, 165–166. [Google Scholar] [CrossRef]
  49. Rao, S.S. Mechanical Vibrations, 4th ed.; Pearson: London, UK, 2008. [Google Scholar]
Figure 1. Global displacement in a single node for elementary and Love rods on LHS and Mindlin-Hermann rod on RHS.
Figure 1. Global displacement in a single node for elementary and Love rods on LHS and Mindlin-Hermann rod on RHS.
Energies 15 07725 g001
Figure 2. Two nodes elementary and Love rod.
Figure 2. Two nodes elementary and Love rod.
Energies 15 07725 g002
Figure 3. Two nodes Mindlin-Herrmann rod.
Figure 3. Two nodes Mindlin-Herrmann rod.
Energies 15 07725 g003
Figure 4. Euler-Bernoulli beam under axial force.
Figure 4. Euler-Bernoulli beam under axial force.
Energies 15 07725 g004
Figure 5. Span of the transmission line (100 m); point (a)—located on the tower, point (b)—the coupling point, point (c)—on the cable, 1 m from the coupling point, point (d)—located in the middle of the cable.
Figure 5. Span of the transmission line (100 m); point (a)—located on the tower, point (b)—the coupling point, point (c)—on the cable, 1 m from the coupling point, point (d)—located in the middle of the cable.
Energies 15 07725 g005
Figure 6. Elementar and Love rods dispersion diagram on LHS and Mindlin-Herrmann rod on RHS.
Figure 6. Elementar and Love rods dispersion diagram on LHS and Mindlin-Herrmann rod on RHS.
Energies 15 07725 g006
Figure 7. Comparison of the elementary, Love, and Mindlin-Herrmann rod receptances.
Figure 7. Comparison of the elementary, Love, and Mindlin-Herrmann rod receptances.
Energies 15 07725 g007
Figure 8. Tower receptance at point (a) as located in Figure 5, with elementary, FEM, Love, and Mindlin-Herrmann models.
Figure 8. Tower receptance at point (a) as located in Figure 5, with elementary, FEM, Love, and Mindlin-Herrmann models.
Energies 15 07725 g008
Figure 9. Tower mesh convergence percentage error.
Figure 9. Tower mesh convergence percentage error.
Energies 15 07725 g009
Figure 10. Cable dispersion diagram for the different tensile loads (N).
Figure 10. Cable dispersion diagram for the different tensile loads (N).
Energies 15 07725 g010
Figure 11. Cable receptance obtained at the left end via SEM and FEM.
Figure 11. Cable receptance obtained at the left end via SEM and FEM.
Energies 15 07725 g011
Figure 12. Comparison between FRFs estimated under wind-rain load excitation acting at 45 and 90 (a). Comparison among FRFs estimated under wind, rain, and wind-rain load excitation orientated at 90 (b).
Figure 12. Comparison between FRFs estimated under wind-rain load excitation acting at 45 and 90 (a). Comparison among FRFs estimated under wind, rain, and wind-rain load excitation orientated at 90 (b).
Energies 15 07725 g012
Figure 13. Cable receptances obtained over a meter of cable from the support excited by (a) distributed unitary load; (b) distributed wind excitation with a base speed of 20 m/s; (c) distributed rain load with an intensity of 150 mm/h, and (d) distributed wind and rain.
Figure 13. Cable receptances obtained over a meter of cable from the support excited by (a) distributed unitary load; (b) distributed wind excitation with a base speed of 20 m/s; (c) distributed rain load with an intensity of 150 mm/h, and (d) distributed wind and rain.
Energies 15 07725 g013
Figure 14. FRFs of the OTL obtained due to a unitary excitation force imposed at point ’a’ (red dot) and results: (a,b) tower, (c) tower-cable connection, (d) Cable 1 m from the support, (e) middle of the cable, (f) end of the cable span.
Figure 14. FRFs of the OTL obtained due to a unitary excitation force imposed at point ’a’ (red dot) and results: (a,b) tower, (c) tower-cable connection, (d) Cable 1 m from the support, (e) middle of the cable, (f) end of the cable span.
Energies 15 07725 g014
Figure 15. Cable’s receptances obtained from the coupling point (c) to 1 m (d) for every 0.1 m distance. The excitation point was assumed at point (c).
Figure 15. Cable’s receptances obtained from the coupling point (c) to 1 m (d) for every 0.1 m distance. The excitation point was assumed at point (c).
Energies 15 07725 g015
Figure 16. FRF s obtained due to an unitary excitation force positioned at the coupling point ’b’ (black curves), a meter from the connection in ’c’ (red curves), and at the cable middle length in ’d’ (blue curves), and estimated at: (a) tower, (b) tower-cable connection, (c) Cable 1 m from support, (d) Cable middle length, (e) cable end-span.
Figure 16. FRF s obtained due to an unitary excitation force positioned at the coupling point ’b’ (black curves), a meter from the connection in ’c’ (red curves), and at the cable middle length in ’d’ (blue curves), and estimated at: (a) tower, (b) tower-cable connection, (c) Cable 1 m from support, (d) Cable middle length, (e) cable end-span.
Energies 15 07725 g016
Figure 17. FRFs obtained due to an wind-rain excitation force positioned at the coupling point ’b’ (black curves), a meter from the connection in ’c’ (red curves), and at the cable middle length in ’d’ (blue curves), and estimated at: (a) tower, (b) tower-cable connection, (c) cable 1 m from support, (d) cable middle length, (e) cable end-span.
Figure 17. FRFs obtained due to an wind-rain excitation force positioned at the coupling point ’b’ (black curves), a meter from the connection in ’c’ (red curves), and at the cable middle length in ’d’ (blue curves), and estimated at: (a) tower, (b) tower-cable connection, (c) cable 1 m from support, (d) cable middle length, (e) cable end-span.
Energies 15 07725 g017
Figure 18. OTL receptances obtained by applying a distributed load over the cable and estimating at, (a,b) tower; (c) connection point, (d) cable 1 m from support; (e) cable middle length, and (f) cable end-span.
Figure 18. OTL receptances obtained by applying a distributed load over the cable and estimating at, (a,b) tower; (c) connection point, (d) cable 1 m from support; (e) cable middle length, and (f) cable end-span.
Energies 15 07725 g018
Figure 19. OTL receptances obtained by applying a distributed wind-rain load over the cable and estimating at, (a,b) tower; (c) connection point, (d) cable 1 m from support; (e) cable middle length, and (f) cable end-span.
Figure 19. OTL receptances obtained by applying a distributed wind-rain load over the cable and estimating at, (a,b) tower; (c) connection point, (d) cable 1 m from support; (e) cable middle length, and (f) cable end-span.
Energies 15 07725 g019
Table 1. Computational processing time for each rod.
Table 1. Computational processing time for each rod.
RodTime [s]
Elementary0.6941
Love1.0638
Mindlin-Herrmann1.4402
Table 2. First five tower’s resonance frequencies for four models.
Table 2. First five tower’s resonance frequencies for four models.
ModeElLoveM-HFEM
5.65.65.25.6
30.730.731.830.66
39.839.841.339.75
61.261.264.361.14
123.2123.2129.5122.98
Table 3. First tower’s resonance frequencies obtained with SEM and elementary rod and FEM with different mesh discretization in meter.
Table 3. First tower’s resonance frequencies obtained with SEM and elementary rod and FEM with different mesh discretization in meter.
SEMFEM
N/AN/A10.50.10.01
5.584.12215.175.355.535.572
30.6918.86427.2428.7230.2530.64
39.7928.38836.8838.1839.4539.76
61.2440.77655.7958.1760.5661.17
123.283.538104.10118.45120.68122.98
Table 4. Tower computational processing time for each approach.
Table 4. Tower computational processing time for each approach.
Tower (rod)Time [s]
Elementar0.897
Love2.486
Mindlin-Hermann3.374
Link 180108
Table 5. Cable resonance frequencies obtained with the spectral element (SEM), analytical solution (An), and finite element method (FEM) calculated with different mesh discretization.
Table 5. Cable resonance frequencies obtained with the spectral element (SEM), analytical solution (An), and finite element method (FEM) calculated with different mesh discretization.
ModeResonance Frequencies
SEMAnFEM (Mesh Elements)
102050100
0.220.220.220.220.220.22
0.450.450.440.450.450.45
0.670.670.650.670.670.67
0.900.900.850.890.890.90
1.131.131.041.111.121.13
Table 6. OTL and components resonance frequencies.
Table 6. OTL and components resonance frequencies.
Resonance Frequencies
ModeTowerTower-CableCable (1 m)Cable (50 m)
5.65.65.60.7
30.730.77.82.11
39.839.89.233.52
61.261.210.694.93
123.4106.812.176.36
145.7123.213.6777.8
Publisher’s Note: MDPI stays neutral with regard to jurisdictional claims in published maps and institutional affiliations.

Share and Cite

MDPI and ACS Style

Soares Fernandes, Y.M.; Rodrigues Machado, M.; Dutkiewicz, M. The Spectral Approach of Love and Mindlin-Herrmann Theory in the Dynamical Simulations of the Tower-Cable Interactions under the Wind and Rain Loads. Energies 2022, 15, 7725. https://doi.org/10.3390/en15207725

AMA Style

Soares Fernandes YM, Rodrigues Machado M, Dutkiewicz M. The Spectral Approach of Love and Mindlin-Herrmann Theory in the Dynamical Simulations of the Tower-Cable Interactions under the Wind and Rain Loads. Energies. 2022; 15(20):7725. https://doi.org/10.3390/en15207725

Chicago/Turabian Style

Soares Fernandes, Yanne Marcela, Marcela Rodrigues Machado, and Maciej Dutkiewicz. 2022. "The Spectral Approach of Love and Mindlin-Herrmann Theory in the Dynamical Simulations of the Tower-Cable Interactions under the Wind and Rain Loads" Energies 15, no. 20: 7725. https://doi.org/10.3390/en15207725

APA Style

Soares Fernandes, Y. M., Rodrigues Machado, M., & Dutkiewicz, M. (2022). The Spectral Approach of Love and Mindlin-Herrmann Theory in the Dynamical Simulations of the Tower-Cable Interactions under the Wind and Rain Loads. Energies, 15(20), 7725. https://doi.org/10.3390/en15207725

Note that from the first issue of 2016, this journal uses article numbers instead of page numbers. See further details here.

Article Metrics

Back to TopTop