Safety Issues of a Hydrogen Refueling Station and a Prediction for an Overpressure Reduction by a Barrier Using OpenFOAM Software for an SRI Explosion Test in an Open Space
Abstract
1. Introduction
2. Current Regulations on Barriers at HRSs
3. SRI Hydrogen Explosion Test
3.1. Test Facility and Conditions
3.2. Test Results
4. Development of an Analysis Methodology
4.1. Modification of the XiFoam Solver
4.2. Grid Model with Initial and Boundary Conditions
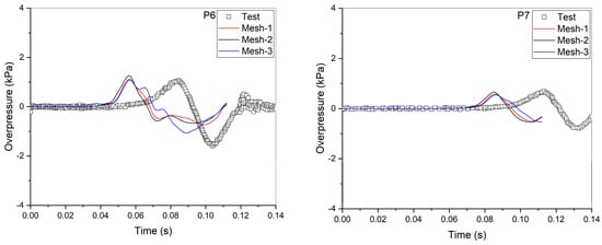
4.3. Discussion on the CFD Results for Test 4-02
4.4. Applicability Test Using the Proposed Analysis Methodology
5. Conclusions and Further Work
Author Contributions
Funding
Conflicts of Interest
Nomenclature
| D | turbulent diffusion coefficient (m2/s) |
| b | progressive variable (-) |
| Cp | specific heat (J/kg-K) |
| E | emission contribution (-) |
| Gr | radiation intensity (W/m2) |
| k | turbulent kinetic energy (m2/s2) |
| mact | mass of the activated mixture of hydrogen and air due to spark (kg) |
| P | pressure (Pa) |
| q | heat flux (W/m2) |
| Rg | gas constant (J/kg-K) |
| r | radius (m) |
| S | strain rate (1/s) |
| Su | laminar flame speed (m/s) |
| St | turbulent flame speed (m/s) |
| Sct | turbulent Schmidt number (-) |
| T | temperature (K) |
| u’ | turbulence fluctuation velocity (m/s) |
| U | velocity (m/s) |
| V | volume (m3) |
| Greek letters | |
| ν | eddy viscosity (m2/s) |
| ρ | density (kg/m3) |
| ω | specific dissipation rate (1/s) |
| σSB | Stefan-Boltzmann coefficient (-) |
| φ | fuel equivalent ratio (-) |
| Subscripts | |
| 0 | reference condition |
| c | ambient state |
| h | activated state |
| k | turbulence kinetic energy |
| r | radiative |
| u | laminar |
| t | turbulence |
References
- Field, R.A.; Derwent, R.G. Global Warming Consequences of Replacing Natural Gas with Hydrogen in the Domestic Energy Sectors of Future Low-Carbon Economies in the United Kingdom and the United States of America. Int. J. Hydrogen Energy 2021, 46, 30190–30203. [Google Scholar] [CrossRef]
- IEA. The Future of Hydrogen, Technical Report. 2019. Available online: https://www.iea.org/reports/the-future-of-hydrogen (accessed on 1 August 2022).
- Meng, X.; Gu, A.; Wu, X.; Zhou, L.; Zhou, Z.; Liu, B.; Mao, Z. Status Quo of China Hydrogen Strategy in the Field of Transportation and International Comparisons. Int. J. Hydrogen Energy 2021, 46, 28887–28899. [Google Scholar] [CrossRef]
- Ministry of Trade, Industry and Energy. Hydrogen Economy Fostering and Hydrogen Safety Management Act; No. 16942; Ministry of Trade, Industry and Energy: Sejong-si, Korea, 2021. [Google Scholar]
- National Library of Korea. Hydrogen Economy Revitalization Roadmap, Policy Information. 2019. Available online: https://policy.ni.go.kr (accessed on 1 June 2021).
- Cho, C.H.; Kim, D.H.; Kang, S.G.; Choi, S.J.; Kim, Y.G. International Status of a Liquid Hydrogen Refueling Station. In Proceedings of the KHNS, Spring Meeting, Daejeon, Korea, 27–28 May 2021. [Google Scholar]
- Chuncheon District Prosecutors’ Office, Gangneung Branch. Investigation Results for the Hydrogen Tank Explosion in Gangwon Techno Park; Press Release Report; Chuncheon District Prosecutors’ Office, Gangneung Branch: Gangneung, Korea, 4 December 2019. [Google Scholar]
- KGS. Facility/Technical/Inspection Code for Manufacture of Water Electrolysis Facility; KGS AH271; KGS: Seoul, Korea, 2021. [Google Scholar]
- Kim, K.S. Development of Design Technology and Safety Standard in the Protection Wall for Blast Mitigations in Hydrogen Station; Research Plan Report, No. 20215810100020; KGS: Seoul, Korea, 2021. [Google Scholar]
- KGS. Facility/Technical/Inspection Code for Fuel Vehicles Refueling by Type of On-Site Hydrogen Production; Technical Standards, KGS FP216; Ministry of Trade, Industry & Energy: Sejong-si, Korea, 2020. [Google Scholar]
- KGS. Facility/Technical/Inspection Code for Fuel Vehicles Refueling by Type of Compressed Hydrogen Delivery; Technical Standards, KGS FP217; Ministry of Trade, Industry & Energy: Sejong-si, Korea, 2020. [Google Scholar]
- Ministry of Environment. Manual for Construction and Operation of a Hydrogen Refueling Station; Ministry of Environment: Sejong-si, Korea, 2021. [Google Scholar]
- Ministry of Trade, Industry and Energy. High Pressure Gas Safety Management Act; Enforcement Rules, No. 446, Annex 2; Ministry of Trade, Industry and Energy: Sejong-si, Korea, 2022. [Google Scholar]
- OpenCFD Ltd. OpenFOAM User Guide, Version 1912. 2019. Available online: https://www.openfoam.com (accessed on 2 May 2021).
- Groethe, M.A.; Colton, J.D. FY01 Annual Report on Hydrogen Safety in the World Energy Network; Technical Report; SRI: Menlo Park, CA, USA, 2002. [Google Scholar]
- Groethe, M.A. FY02 Annual Report on Hydrogen Safety in the World Energy Network; Technical Report; SRI: Menlo Park, CA, USA, 2002. [Google Scholar]
- Kim, S.; Kim, J. Effect of Radiation Model on Simulation of Water Vapor—Hydrogen Premixed Flame Using Flamelet Combustion Model in OpenFOAM. Nucl. Eng. Tech. 2022, 54, 1321–1335. [Google Scholar] [CrossRef]
- Kang, H.S.; NO, H.C.; Kim, S.B.; Kim, M.H. Methodology of CFD Analysis for Evaluating H2 Explosion Accidents in an Open Space. Int. J. Hydrogen Energy 2015, 40, 3075–3090. [Google Scholar] [CrossRef]
- Kang, H.S.; NO, H.C.; Kim, S.B. Application of the Developed CFD Analysis Methodology to H2 Explosion Accidents in an Open Space. Int. J. Hydrogen Energy 2017, 42, 1306–1317. [Google Scholar] [CrossRef]
- Kang, H.S.; Kim, J.; Hong, S.W.; Kim, S.B. Numerical Analysis for Hydrogen Flame Acceleration during a Severe Accident in the APR1400 Containment Using a Multi-Dimensional Hydrogen Analysis System. Energies 2020, 13, 6151. [Google Scholar] [CrossRef]
- Kang, H.S.; Kim, J.; Hong, S.W. Numerical Analysis for Hydrogen Flame Acceleration during a Severe Accident Initiated by SBLOCA in the APR1400 Containment. Hydrogen 2022, 3, 28–42. [Google Scholar] [CrossRef]
- Hall, J. Ignites Release of Liquid Hydrogen; Research Report, RR987; HSL: London, UK, 2014. [Google Scholar]
- Kang, H.S.; Kim, S.; Kim, J.; Kim, D.H. Development of an Analysis Methodology for a Liquid Hydrogen Explosion Accident in a Hydrogen Refueling Station and a Functional Design for Analysis Modules; Technical Report, KAERI/TR-9041/2021; KAERI: Daejeon, Korea, 2021. [Google Scholar]
- Pu, L.; Shao, X.; Zhang, S.; Lei, G.; Li, Y. Plume Dispersion Behaviour and Hazard Identification for Large Quantities of Liquid Hydrogen Leakage. Asia-Pacific J. Chem. Eng. 2019, 14, e2299. [Google Scholar] [CrossRef]
- Weller, H.G. The Development of a New Flame Area Combustion Model Using Conditional Averaging, Thermo-Fluids Section; Report TF/9307; Imperial College: London, UK, 1993. [Google Scholar]
- Tabor, G.; Weller, H.G. Large Eddy Simulation of Premixed Turbulent Combustion Using Ξ Flame Surface Wrinkling Model. Flow Turbul. Combust. 2004, 72, 1–28. [Google Scholar] [CrossRef]
- Turns, S.R. An Introduction to Combustion, 2nd ed.; McGraw-Hill, Inc.: Singapore, 2000. [Google Scholar]
- Kuo, K.K. Principles of Combustion, 2nd ed.; John Wiley & Sons, Inc.: New Jersey, NJ, USA, 2005. [Google Scholar]
- Metghalchi, M.; Keck, J.C. Burning Velocities of Mixtures of Air with Methanol, Isooctane, and Indolence at High Pressure and Temperature. Combust. Flame 1982, 48, 191–210. [Google Scholar] [CrossRef]
- Menter, H.S.; Kim, J.; Kim, S.B.; Hong, S.W. The SST Turbulence Model with Improved Wall Treatment for Heat Transfer Predictions in Gas Turbines. In Proceedings of the International Gas Turbine Congress, Tokyo, Japan, 2–7 November 2003. [Google Scholar]
- Wintergerste, T.; Casey, M.; Hutton, A.G. The Best Practice Guidelines for a CFD—A European Initiative on Quality and Trust. In Proceedings of the 5th ASME Pressure Vessels and Piping Conference, Vancouver, BC, Canada, 5–9 August 2002. [Google Scholar]
- Yanez, J.; Kotchourko, A.; Lelyakin, J. Hydrogen Deflagration Simulations under Typical Containment Conditions for Nuclear Safety. Nuclear Eng. Design 2012, 250, 678–686. [Google Scholar] [CrossRef]
- Movahed-Shariat-Panahi, M.A. Recommendation for Maximum Allowable Mesh Size for Plant Combustion Analyses with CFD codes. Nuclear Eng. Design 2012, 253, 360–366. [Google Scholar] [CrossRef]
- Jakel, C.; Verfondern, K.; Kelm, S.; Jahn, W.; Allelein, H.-J. 3D Modeling of the Different Boiling Regime during Spill and Spreading of Liquid Hydrogen. Engergy Procedia 2012, 29, 244–253. [Google Scholar] [CrossRef]
- Modest, M.F. Radiative Heat Transfer; International ed.; McGraw-Hill, Inc.: Singapore, 1993. [Google Scholar]
- Povilaitis, M.; Jaseliūnaitė, J. Simulation of Hydrogen-Air-Diluents Mixture Combustion in an Acceleration Tube with FlameFoam Solver. Energies 2021, 14, 5504. [Google Scholar] [CrossRef]
- Heywood, J.B. International Combustion Engine Fundamentals; McGraw-Hill, Inc.: New York, NY, USA, 1988. [Google Scholar]
- Choi, J.Y.; Jeung, I.S.; Yoon, Y. Computational Fluid Dynamics Algorithms for Unsteady Shock-Induced Combustion, Part 1: Validation. AIAA J. 2000, 38, 1179–1187. [Google Scholar] [CrossRef]
- Shirvill, L.C.; Royle, M.; Roberts, T.A. Hydrogen Releases Ignited in a Simulated Vehicle Refueling Environment. In Proceedings of the 2nd International Conference on Hydrogen Safety, San Sebastián, Spain, 11–13 September 2007. [Google Scholar]


















| Components in the HRS | Compressed Gas (m3) or Liquefied Gas (kg) | Protected Facility 1st Class (m) | Protected Facility 2nd Class (m) |
|---|---|---|---|
| Storage tank or Processing facility | <10,000 | 17 | 12 |
| 10,000 to 20,000 | 21 | 14 | |
| 20,000 to 30,000 | 24 | 16 | |
| 30,000 to 40,000 | 27 | 18 | |
| 40,000 to 50,000 | 30 | 20 | |
| 50,000 to 990,000 | 30 | 20 | |
| >990,000 | 30 | 20 |
| Test No. | H2–Air Mixture Volume (m3) | H2 Con. (vol.%) | Ambient Temp. (K) | Wind (m/s) | Ignition Method | Barrier Existence |
|---|---|---|---|---|---|---|
| 4-01 | 5.2 | 30.0 | 289.85 | 0.9–1.3 | Electric spark | X |
| 4-02 | 5.2 | 29.9 | 283.45 | 2.0 | Electric spark | O |
| 5-02 | 5.2 | 30.0 | 284.55 | 5.1 | 10 g C-4 | O |
| 6-01 | 5.2 | 30.0 | 290.05 | 1.3 | 10 g C-4 | X |
| Sensor Locations (Photo) | Sensor | Distance from Ignition Point (m) | x | Location (cm) y | z |
|---|---|---|---|---|---|
![]() | P3 | 0.95 | 0 | −95.0 | 0 |
| Ion-1 | 0.80 | −57 | −57 | 2.5 | |
| Ion-2 | 0.90 | −64 | −64 | 2.5 | |
| Ion-3 | 1.00 | −71 | −71 | 2.5 | |
| Ion-4 | 0.99 | 0 | 0 | 101.5 | |
| Ion-5 | 0.19 | 0 | 0 | 21.5 | |
| Ion-6 | 0.40 | 0 | 0 | 43 | |
| Ignition point | - | 0 | 0 | 2.5 |
| Mesh Case No. | Tent Region (cm) | Barrier Region (cm) | Far Field Region (cm) | Total Number of Cells | Aspect Ratio |
|---|---|---|---|---|---|
| 1 | 1.5 | 5–10 | 15–50 | 3,029,280 | <27.8 |
| 2 | 1.5 | 5–10 | 10–50 | 3,473,060 | <28.3 |
| 3 | 1.5 | 5–10 | 20–50 | 2,726,880 | <27.4 |
| Parameter | Tent Region | Air Environment | Spark Ignition Region |
|---|---|---|---|
| Pressure (Pa) | 101,325 | 101,325 | 105,000 |
| Temperature (K) | 283.45 | 283.45 | 1000 |
| H2 fraction (vol.%) | 29.9 | 0 | 29.9 |
| Combustion progress (b) | 1 | 1 | - |
| Parameter | Model |
|---|---|
| OpenFOAM-v1912 |
| PIMPLE |
| Modified XiFoam |
| k-ω SST |
| kqR/omega |
| <0.8 |
| Hexahedral |
| ~50 cm |
| Spark ignition model |
| Case No. | H2–Air Mixture Volume (m3) | H2 Con. (vol.%) | Barrier Type/Height (m)/Width (m) | Number of Cells (Grid Model) |
|---|---|---|---|---|
| Case 1 | 5.2 | 29.9 | Plate/2/0.1 | 3,029,280 |
| Case 2 | 5.2 | 29.9 | Rectangular/2/0.1 | 3,048,516 |
| Case 3 | 5.2 | 29.9 | Rectangular/4/0.1 | 3,807,512 |
Publisher’s Note: MDPI stays neutral with regard to jurisdictional claims in published maps and institutional affiliations. |
© 2022 by the authors. Licensee MDPI, Basel, Switzerland. This article is an open access article distributed under the terms and conditions of the Creative Commons Attribution (CC BY) license (https://creativecommons.org/licenses/by/4.0/).
Share and Cite
Kang, H.-S.; Kim, S.-M.; Kim, J. Safety Issues of a Hydrogen Refueling Station and a Prediction for an Overpressure Reduction by a Barrier Using OpenFOAM Software for an SRI Explosion Test in an Open Space. Energies 2022, 15, 7556. https://doi.org/10.3390/en15207556
Kang H-S, Kim S-M, Kim J. Safety Issues of a Hydrogen Refueling Station and a Prediction for an Overpressure Reduction by a Barrier Using OpenFOAM Software for an SRI Explosion Test in an Open Space. Energies. 2022; 15(20):7556. https://doi.org/10.3390/en15207556
Chicago/Turabian StyleKang, Hyung-Seok, Sang-Min Kim, and Jongtae Kim. 2022. "Safety Issues of a Hydrogen Refueling Station and a Prediction for an Overpressure Reduction by a Barrier Using OpenFOAM Software for an SRI Explosion Test in an Open Space" Energies 15, no. 20: 7556. https://doi.org/10.3390/en15207556
APA StyleKang, H.-S., Kim, S.-M., & Kim, J. (2022). Safety Issues of a Hydrogen Refueling Station and a Prediction for an Overpressure Reduction by a Barrier Using OpenFOAM Software for an SRI Explosion Test in an Open Space. Energies, 15(20), 7556. https://doi.org/10.3390/en15207556

