The Current Status and Future Potential of Biogas Production from Canada’s Organic Fraction Municipal Solid Waste
Abstract
:1. Introduction
2. Policies/Regulations on AD in Both Recycling and Energy Recovery
- Governmental incentives and discouragements (e.g., carbon credits, nutrient credits, and tipping fees major);
- Energy expense reductions (renewable electricity production tax credit, RHI, RIN, and FIT);
- Environmental benefits.
3. Canada’s Existing Infrastructures for the Solid Waste Management
4. Biogas Projects in Ontario
- Generation of both methane and hydrogen;
- Operational conditions and reactions can be easily controlled;
- Improving the speed limiting reaction (hydrolysis);
- Higher energy capacity.
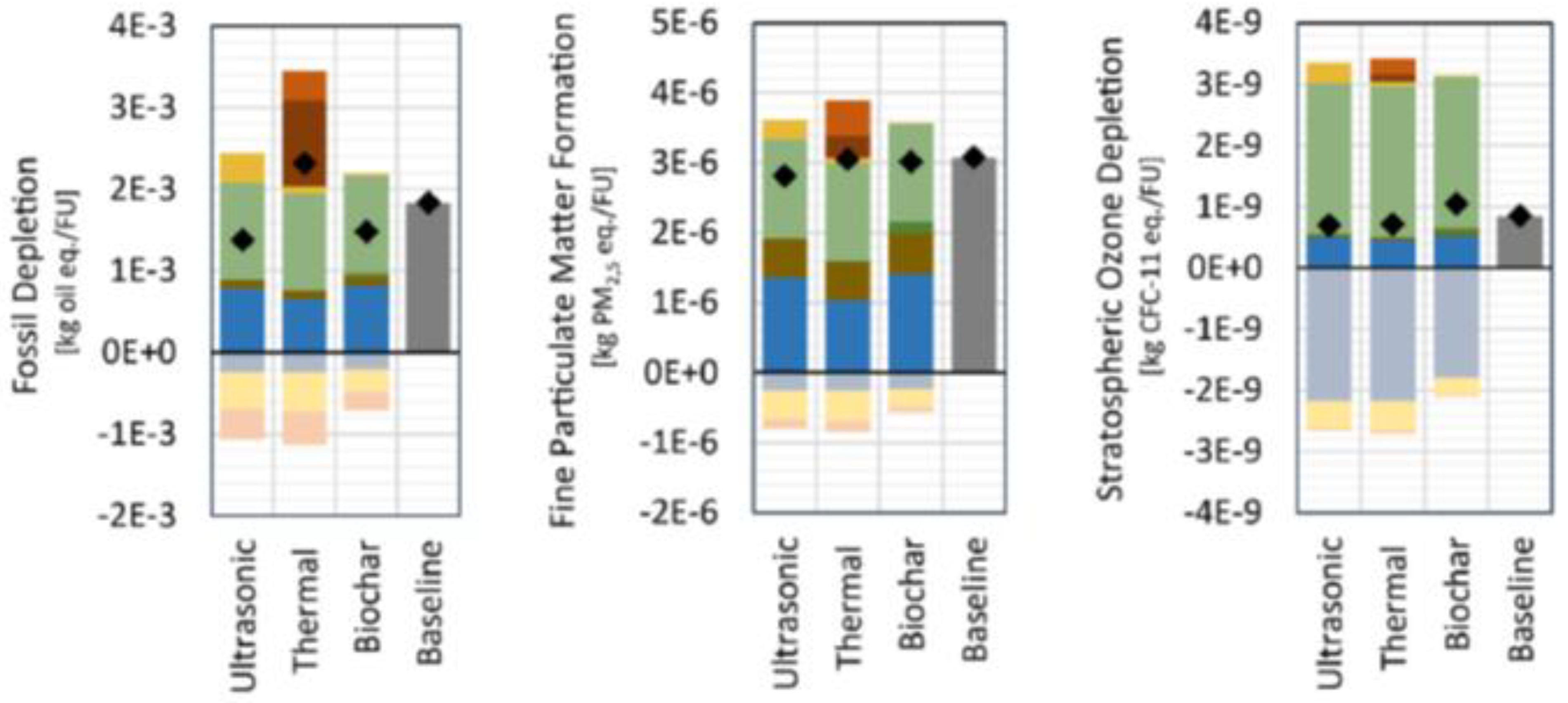
5. Pretreatment Methodologies to Enhance OFMSW Biodegradability
| Pre-Treatment | Description | Available Processes | Advantages and Disadvantages | Commercial Technologies | Ref. |
|---|---|---|---|---|---|
| Mechanical treatment | Shredding and chopping of raw substrates to enhance the interaction between microorganisms and fragmented organic molecules (e.g., sugar, amino, and fatty acids) |
|
|
| [36] |
| Thermal treatment | Applying heat to decompose MSW via different approaches |
|
|
| [32,40] |
| Chemical treatment | Chemical treatment is applied to disrupt the cell walls using strong and concentrated chemicals |
|
|
| [38] |
| Biological treatment | Promoting microbial growth |
|
| [32] | |
| Additives | Additives can promote the AD process through adsorption of inhibitors, increasing buffering capacity, and microbial cell immobilization. |
|
| [39,41] |
6. Guideline for Better Selection of OFMSW Management Methods
- It transforms municipal WRRFs for co-digestion and works towards energy neutrality;
- It enables reception and co-digestion of high strength waste streams such as fats, oils, and grease, or the organic fraction from municipal waste;
- It reduces foaming potential with high torque mechanical mixing.
- Best planning, design, and operational practices to assist stakeholders (i.e., project developers, regulators, organizations);
- Recommendations supporting the circular economy concept;
- A clear outline to assist stakeholders in converting food and organic waste streams using AD.
7. Conclusions
Author Contributions
Funding
Institutional Review Board Statement
Acknowledgments
Conflicts of Interest
Abbreviations
| Organic fraction municipal waste | OFMSW | Renewable heat incentive | RHI |
| Anaerobic digestion | AD | Source-separated organics | SSOs |
| Feed-in tariff | FIT | California’s Low Carbon Fuel Standard | LCFS |
| Renewable natural gas (NRG) | RNG | Dufferin Organics Processing Facility | DOPF |
| European Union (EU) | EU | Food waste | FW |
| Municipal solid waste | MSW | Sewage sludge | SS |
| Water resource recovery facilities | WRRFs | Microbial electrolysis cell | MEC |
| Temperature-phased anaerobic digestion | TPAD | Direct interspecies electron transfer | DIET |
| Hydrothermal carbonization | HTC |
References
- Parizeau, K.; von Massow, M.; Martin, R. Household-level dynamics of food waste production and related beliefs, attitudes, and behaviours in Guelph, Ontario. Waste Manag. 2015, 35, 207–217. [Google Scholar] [CrossRef]
- Parizeau, K.; von Massow, M.; Martin, R.C. Directly observing household food waste generation using composition audits in a Canadian municipality. Waste Manag. 2021, 135, 229–233. [Google Scholar] [CrossRef]
- Babu, R.; Veramendi, P.M.P.; Rene, E.R. Strategies for resource recovery from the organic fraction of municipal solid waste. Case Stud. Chem. Environ. Eng. 2021, 3, 100098. [Google Scholar] [CrossRef]
- Parvez, A.M.; Lewis, J.D.; Afzal, M.T. Potential of industrial hemp (Cannabis sativa L.) for bioenergy production in Canada: Status, challenges and outlook. Renew. Sustain. Energy Rev. 2021, 141, 110784. [Google Scholar] [CrossRef]
- Negri, C.; Ricci, M.; Zilio, M.; D’Imporzano, G.; Qiao, W.; Dong, R.; Adani, F. Anaerobic digestion of food waste for bio-energy production in China and Southeast Asia: A review. Renew. Sustain. Energy Rev. 2020, 133, 110138. [Google Scholar] [CrossRef]
- Zubi, G.; Dufo-López, R.; Carvalho, M.; Pasaoglu, G. The lithium-ion battery: State of the art and future perspectives. Renew. Sustain. Energy Rev. 2018, 89, 292–308. [Google Scholar] [CrossRef]
- Janus, A. More Than Half of All Food Produced in Canada is Lost or Wasted, Report Says. CBC News. Available online: https://www.cbc.ca/news/canada/toronto/food-waste-report-second-harvest-1.49817282019 (accessed on 6 January 2022).
- Di Maria, F.; Sordi, A.; Micale, C. Energy production from mechanical biological treatment and Composting plants exploiting solid anaerobic digestion batch: An Italian case study. Energy Convers. Manag. 2012, 56, 112–120. [Google Scholar] [CrossRef]
- Canada, S. Table 38-10-0034-01 Materials Diverted, by Type, Inactive. Available online: https://www150.statcan.gc.ca/t1/tbl1/en/tv.action?pid=3810003401 (accessed on 6 January 2022).
- Canada, S. Table 38-10-0033-01 Materials Diverted, by Source, Inactive. Available online: https://www150.statcan.gc.ca/t1/tbl1/en/tv.action?pid=3810003301 (accessed on 6 January 2022).
- Mainardis, M.; Buttazzoni, M.; Gievers, F.; Vance, C.; Magnolo, F.; Murphy, F.; Goi, D. Life cycle assessment of sewage sludge pretreatment for biogas production: From laboratory tests to full-scale applicability. J. Clean. Prod. 2021, 322, 129056. [Google Scholar] [CrossRef]
- Norouzisafsari, O.; Di Maria, F.; El-Hoz, M. A short review of comparative energy, economic and environmental assessment of different biogas-based power generation technologies. Energy Procedia 2018, 148, 846–851. [Google Scholar] [CrossRef]
- Di Maria, F.; Sisani, F.; Norouzisafsari, O.; Mersky, R.L. The effectiveness of anaerobic digestion of bio-waste in replacing primary energies: An EU28 case study. Renew. Sustain. Energy Rev. 2019, 108, 347–354. [Google Scholar] [CrossRef]
- Adam Redling Anaergia Begins Construction of North America’s Largest WTE Facility. WasteToday 2018. Available online: https://www.wastetodaymagazine.com/article/anaergia-rialto-waste-to-energy/ (accessed on 6 January 2022).
- Jin, C.; Sun, S.; Yang, D.; Sheng, W.; Ma, Y.; He, W.; Li, G. Anaerobic digestion: An alternative resource treatment option for food waste in China. Sci. Total Environ. 2021, 779, 146397. [Google Scholar] [CrossRef]
- FortisBC Energy Inc. Renewable Natural Gas Supplier Guide; FortisBC Energy Inc.: Columbia, Canada, 2018; p. 14. [Google Scholar]
- Studies, C. Case Studies Surrey, British Columbia Saint-Hyacinthe, Quebec. 2017, pp. 1–4. Available online: https://biogasassociation.ca/resources/rng_outreach_and_market_development (accessed on 6 January 2022).
- Audrey. The Renewable Natural Gas Quality Specifications in North America. American Gas Association 2010, pp. 5–7. Available online: https://www.aga.org/research/reports/renewable-natural-gas-rng/ (accessed on 6 January 2022).
- Canadian Gas Association. Renewable Natural Gas Technology Roadmap for Canada; Canadian Gas Association: Ottawa, ON, Canada, 2014; p. 24. [Google Scholar]
- Pognani, M.; Barrena, R.; Font, X.; Sánchez, A. A complete mass balance of a complex combined anaerobic/aerobic municipal source-separated waste treatment plant. Waste Manag. 2012, 32, 799–805. [Google Scholar] [CrossRef] [PubMed] [Green Version]
- Alibardi, L.; Cossu, R. Composition variability of the organic fraction of municipal solid waste and effects on hydrogen and methane production potentials. Waste Manag. 2015, 36, 147–155. [Google Scholar] [CrossRef] [PubMed]
- Dalke, R.; Demro, D.; Khalid, Y.; Wu, H.; Urgun-Demirtas, M. Current status of anaerobic digestion of food waste in the United States. Renew. Sustain. Energy Rev. 2021, 151, 111554. [Google Scholar] [CrossRef]
- Zachary, A. Anaerobic digestion can help UK reach renewable energy targets. Renew. Energy Focus 2016, 17, 21–22. [Google Scholar] [CrossRef]
- Ackrill, R.; Abdo, H. On-farm anaerobic digestion uptake barriers and required incentives: A case study of the UK East Midlands region. J. Clean. Prod. 2020, 264, 121727. [Google Scholar] [CrossRef]
- Nevzorova, T.; Kutcherov, V. Barriers to the wider implementation of biogas as a source of energy: A state-of-the-art review. Energy Strat. Rev. 2019, 26, 100414. [Google Scholar] [CrossRef]
- Mondello, G.; Salomone, R.; Ioppolo, G.; Saija, G.; Sparacia, S.; Lucchetti, M.C. Comparative LCA of Alternative Scenarios for Waste Treatment: The Case of Food Waste Production by the Mass-Retail Sector. Sustainability 2017, 9, 827. [Google Scholar] [CrossRef] [Green Version]
- Canada, G. of Zero plastic waste: Canada’s actions Canada-wide Strategy on Zero Plastic Waste. Available online: https://www.canada.ca/en/environment-climate-change/services/managing-reducing-waste/reduce-plastic-waste/canada-action.html (accessed on 6 January 2022).
- Canadian Biogas Association. RNG Outreach and Market Development; Canadian Gas Association: Ottawa, ON, Canada, 2017. [Google Scholar]
- Canadian Biogas Association. Biogas Projects in Canada; Canadian Gas Association: Ottawa, ON, Canada, 2019; pp. 2–3. [Google Scholar]
- Canadian Biogas Association. Current Status and Future Potential of Biogas Production from Canada’s Agriculture and Agri-Food Sector; Canadian Gas Association: Ottawa, ON, Canada, 2018. [Google Scholar]
- Biogas World Biogas and Biomethane Projects. 2021. Available online: https://www.biogasworld.com/news/showcase-report-2021-is-out/ (accessed on 6 January 2022).
- Zhen, G.; Lu, X.; Kato, H.; Zhao, Y.; Li, Y.-Y. Overview of pretreatment strategies for enhancing sewage sludge disintegration and subsequent anaerobic digestion: Current advances, full-scale application and future perspectives. Renew. Sustain. Energy Rev. 2017, 69, 559–577. [Google Scholar] [CrossRef]
- Pagés-Díaz, J.; Pereda-Reyes, I.; Taherzadeh, M.J.; Sárvári-Horváth, I.; Lundin, M. Anaerobic co-digestion of solid slaughterhouse wastes with agro-residues: Synergistic and antagonistic interactions determined in batch digestion assays. Chem. Eng. J. 2014, 245, 89–98. [Google Scholar] [CrossRef] [Green Version]
- Dong, L.; Zhenhong, Y.; Yongming, S. Semi-dry mesophilic anaerobic digestion of water sorted organic fraction of municipal solid waste (WS-OFMSW). Bioresour. Technol. 2010, 101, 2722–2728. [Google Scholar] [CrossRef] [PubMed]
- Ji, C.; Kong, C.-X.; Mei, Z.-L.; Li, J. A Review of the Anaerobic Digestion of Fruit and Vegetable Waste. Appl. Biochem. Biotechnol. 2017, 183, 906–922. [Google Scholar] [CrossRef] [PubMed]
- Anaergia Municipal Solid Waste-Anaergia’s Approach for Waste Revalorization. 2021. Available online: https://www.anaergia.com/what-we-do/municipal-solid-waste/materials-recovery (accessed on 6 January 2022).
- Norouzi, O.; Taghavi, S.; Arku, P.; Jafarian, S.; Signoretto, M.; Dutta, A. What is the best catalyst for biomass pyrolysis? J. Anal. Appl. Pyrolysis 2021, 158, 105280. [Google Scholar] [CrossRef]
- Akbay, H.E.G.; Dizge, N.; Kumbur, H. Enhancing biogas production of anaerobic co-digestion of industrial waste and municipal sewage sludge with mechanical, chemical, thermal, and hybrid pretreatment. Bioresour. Technol. 2021, 340, 125688. [Google Scholar] [CrossRef] [PubMed]
- Chiappero, M.; Norouzi, O.; Hu, M.; Demichelis, F.; Berruti, F.; Di Maria, F.; Mašek, O.; Fiore, S. Review of biochar role as additive in anaerobic digestion processes. Renew. Sustain. Energy Rev. 2020, 131, 110037. [Google Scholar] [CrossRef]
- Ghysels, S.; Acosta, N.; Estrada, A.; Pala, M.; De Vrieze, J.; Ronsse, F.; Rabaey, K. Integrating anaerobic digestion and slow pyrolysis improves the product portfolio of a cocoa waste biorefinery. Sustain. Energy Fuels 2020, 4, 3712–3725. [Google Scholar] [CrossRef]
- Arif, S.; Liaquat, R.; Adil, M. Applications of materials as additives in anaerobic digestion technology. Renew. Sustain. Energy Rev. 2018, 97, 354–366. [Google Scholar] [CrossRef]
- Medrano, J.; Llosa-Tanco, M.; Cechetto, V.; Tanaka, D.A.P.; Gallucci, F. Upgrading biogas with novel composite carbon molecular sieve (CCMS) membranes: Experimental and techno-economic assessment. Chem. Eng. J. 2020, 394, 124957. [Google Scholar] [CrossRef]
- Stephen, J. Renewable Natural Gas (Biomethane) Feedstock Potential in Canada. 2020. Available online: https://www.enbridge.com/~/media/Enb/Documents/Media%20Center/RNG-Canadian-Feedstock-Potential-2020%20(1).pdf?la=en (accessed on 6 January 2022).
- Campana, P.E.; Mainardis, M.; Moretti, A.; Cottes, M. 100% renewable wastewater treatment plants: Techno-economic assessment using a modelling and optimization approach. Energy Convers. Manag. 2021, 239, 114214. [Google Scholar] [CrossRef]
- Beggio, G.; Schievano, A.; Bonato, T.; Hennebert, P.; Pivato, A. Statistical analysis for the quality assessment of digestates from separately collected organic fraction of municipal solid waste (OFMSW) and agro-industrial feedstock. Should input feedstock to anaerobic digestion determine the legal status of digestate? Waste Manag. 2019, 87, 546–558. [Google Scholar] [CrossRef]
- Ellis, D. Canadian Anaerobic Digestion Guideline. 2019; pp. 1–76. Available online: https://biogasassociation.ca/resources/canadian_anaerobic_digestion_guideline (accessed on 6 January 2022).






| Country | Policy/Regulations | Incentives | AD Applications |
|---|---|---|---|
| Australia | The National Food Waste Strategy identified the role of AD in both recycling and energy recovery. | Support for installing small-scale AD technology. |
|
| Canada | Policies to support RNG from AD. | Feed-in tariff (FIT) program resulted in 40 AD plants between 2010 and 2017 in Ontario. |
|
| China |
| Forcing the municipalities to resolve urban garbage problems increased number of AD installations. |
|
| Indonesia | The Ministry of Energy and Mineral Resources introduced favorable tariffs for electricity generated from municipal wastes and biomass. | Limited AD installations, especially for FW, although a number of initiatives, such as Indonesia Domestic Biogas program promoted AD for other feedstocks. |
|
| United States |
|
|
|
| United Kingdom |
|
|
|
| Vietnam |
| Strategies to 2025 focus on methods to recover energy and materials from MSW in cities. | FWs account for about 60%. The increasing rate of MSW annually is about 12%. However, currently, all 35 MSW treatment plants in Vietnam are using landfilling, incineration, or composting. Some recent studies have indicated that there is a very high potential in producing biogas via AD process from MSW in Vietnam. |
| Thailand |
| Many pilot programs include small AD operations in urban and rural areas. |
|
| South Korea |
| The Ministry of Environment has also funded biogas Research on organic wastes to energy with a budget of USD 74 million from 2013 to 2020. |
|
| Singapore | The National Environmental Agency’s pilot plan to co-digest FW with SS towards achieving energy neutrality in wastewater treatment. | The co-digestion pilot-scale program will be extended to all sewage treatment plants if it is successful. |
|
| Barriers | Sub-Barriers |
|---|---|
| Technical |
|
| Economic |
|
| Market |
|
| Institutional |
|
| Socio-cultural |
|
| Environmental |
|
| Technology | Source | Type | Description | Location |
|---|---|---|---|---|
| CCI Disco | Source separated organics (SSOs) collected in the residential and commercial Green Bin Program | Single phase | Biogas is used to provide heating for the facility and for the functioning of the anaerobic digestion system and upgraded to renewable natural gas and injected into Ontario’s natural gas grid. Digester solids are sent to a composting facility in southern Ontario. | City of Toronto |
| Dufferin Organics Processing Facility (DOPF.) | Source separated organics (SSOs) collected annually in the residential and commercial Green Bin Program | Single phase | The original DOPF, which had been built to process 25,000 tonnes of organic material annually from the City’s Green Bin Program, will be upgraded with new processes and expanded to a capacity of 55,000 tonnes per year. | City of Toronto |
| Bridgeport Wastewater Treatment Plant | Source-separated organic materials from commercial generators. | Single phase | The anaerobic digestion facility will generate over 10 million kWh of renewable electricity per year–enough to power more than 1000 homes. | City of Bridgeport |
| Surrey’s Organic Waste Biofuel Processing Facility | City’s solid waste Stream | Single phase | The system converts organic wastes into renewable natural gas (RNG) for waste collection and recycling vehicles. | City of Surrey |
| Ingersoll WWTP anaerobic digester | Waste activated sludge (WAS) | Two phase | The anaerobic digestion facility consists of a primary anaerobic digester with an operating volume of 1090 m3 and a secondary anaerobic digester of identical capacity. | County of Oxford |
| ZooShare Biogas | Zoo manure and food waste | Single phase | The plant is designed to handle 17,000 tonnes of organic waste and recover 500 kW electricity. | Toronto |
| Escarpment Renewables | High total solids organic waste | Two phase | The plant is capable of producing 12,000 m3 of biogas per day. | Grimsby |
| CARES—University of Guelph Ridgetown Campus | Farmer waste streams, manure, and glycerol obtained from biodiesel plants | Single phase | The AD is connected to a 250 kW MAN engine with an operating volume of 1527 m3. The plant is built for training students and farmers. | Guelph |
| StormFisher | Farmer waste streams, manure, organic material, and mixed food scraps | Single phase | StormFisher is built to process 65,000 tonnes of organic wastes into electricity and fertilizer granules. | London |
| The Gardiner Farms | Farmer waste streams, manure, and organic material | Single phase | The Gardiner Farms produces electricity and thermal energy using two 250 kW CHP units. | Caledon |
| Greenholm Farms | Recycled digestate solids, organic waste, and the manure produced by cattle | Single phase | The plant is designed with an operating volume of 2077 m3 and is able to produce 250 kW of energy. | Embro |
| Escarpment Renewables | Fats, oils, grease, and organic liquids | Single phase | Escarpment Renewables is an industrial AD facility that is permitted to receive 23,000 tonnes of organics annually. | Beamsville |
| Bayview Flowers Ltd. | Manure, grape pumice, corn silage, pet food | Single phase | The plant is designed with an operating volume of 1200 m3 and its biogas is sent to a 250 kW Scania generator and a retrofitted boiler. | Jordan |
| Delft Blue Veal Inc. | Calf manure and discarded organic residuals provided by food processing companies | Single phase | The plant is designed with an operating volume of 1750 m3 and is able to produce 499 kW of electricity. | Cambridge |
| Koskamp Family Farms | Manure and other organic materials | Single phase | The plant is designed with an operating volume of 1500 m3 and is able to produce 500 kW of electricity. | Stratford |
| Athlone BioPower | Manure and other organic materials | Two phase | The facility has two anaerobic digesters, a primary and secondary tank, with an operating volume of 2077 m3 in size for each of them. The plant is able to produce 500 kW of power. | Tavistock |
| Birchlawn Farms | On-farm materials and outsourced organic waste from food processing plants | Single phase | The plant is designed with an operating volume of 1800 m3 and is able to produce 440 kW of electricity. | Listowel |
| Woolwich Bio-en Inc. | Food waste | Single phase | The facility is built to process 70,000 tonnes per year of organic wastes into electricity and fertilizer granules. The CHP’s produce 2.852 MW of electricity under a Feed-in Tariff contract with the Ontario Power Authority. | Elmira |
| Chatsworth/Georgian Bluffs | Biosolids, grease trap waste, source-separated organics, and other organics | Two phase | The anaerobic digester is a two-stage process with a 100 m3 hydrolysis tank and a 1000 m3 digester. | Owen Sound |
| Clovermead Farms | Manure and other organic materials | Single phase | A 1500 m3 anaerobic digester which supplies fuel for the 250 kW generator, installed by European Power Systems Ltd. | Aylmer |
| Marl Creek Renewables | Manure, milk, fats, oils, and grease | Single phase | The plant is designed with an operating volume of 4200 m3 and is able to fuel two 250 kW combined heat and power units. | Elmwood |
| CCS agriKomp | Manure from the farm’s beef herd, silage, crop residues, and FOG | Single phase | The plant is designed with an operating volume of 680 m3 and is able to supply fuel for a 100 kW engine. | Millbrook |
| Donnandale Farms | Manure and other organic materials | Single phase | The plant is designed with two anaerobic digesters (1600 m3 each) and is able to supply fuel for the 500 kW MWM generator. | Stirling |
Publisher’s Note: MDPI stays neutral with regard to jurisdictional claims in published maps and institutional affiliations. |
© 2022 by the authors. Licensee MDPI, Basel, Switzerland. This article is an open access article distributed under the terms and conditions of the Creative Commons Attribution (CC BY) license (https://creativecommons.org/licenses/by/4.0/).
Share and Cite
Norouzi, O.; Dutta, A. The Current Status and Future Potential of Biogas Production from Canada’s Organic Fraction Municipal Solid Waste. Energies 2022, 15, 475. https://doi.org/10.3390/en15020475
Norouzi O, Dutta A. The Current Status and Future Potential of Biogas Production from Canada’s Organic Fraction Municipal Solid Waste. Energies. 2022; 15(2):475. https://doi.org/10.3390/en15020475
Chicago/Turabian StyleNorouzi, Omid, and Animesh Dutta. 2022. "The Current Status and Future Potential of Biogas Production from Canada’s Organic Fraction Municipal Solid Waste" Energies 15, no. 2: 475. https://doi.org/10.3390/en15020475
APA StyleNorouzi, O., & Dutta, A. (2022). The Current Status and Future Potential of Biogas Production from Canada’s Organic Fraction Municipal Solid Waste. Energies, 15(2), 475. https://doi.org/10.3390/en15020475

