Numerical Simulation of High-Performance CsPbI3/FAPbI3 Heterojunction Perovskite Solar Cells
Abstract
1. Introduction
2. Methodology and Materials
2.1. Numerical Method
2.2. Device Structures and Input Parameters
3. Results and Discussion
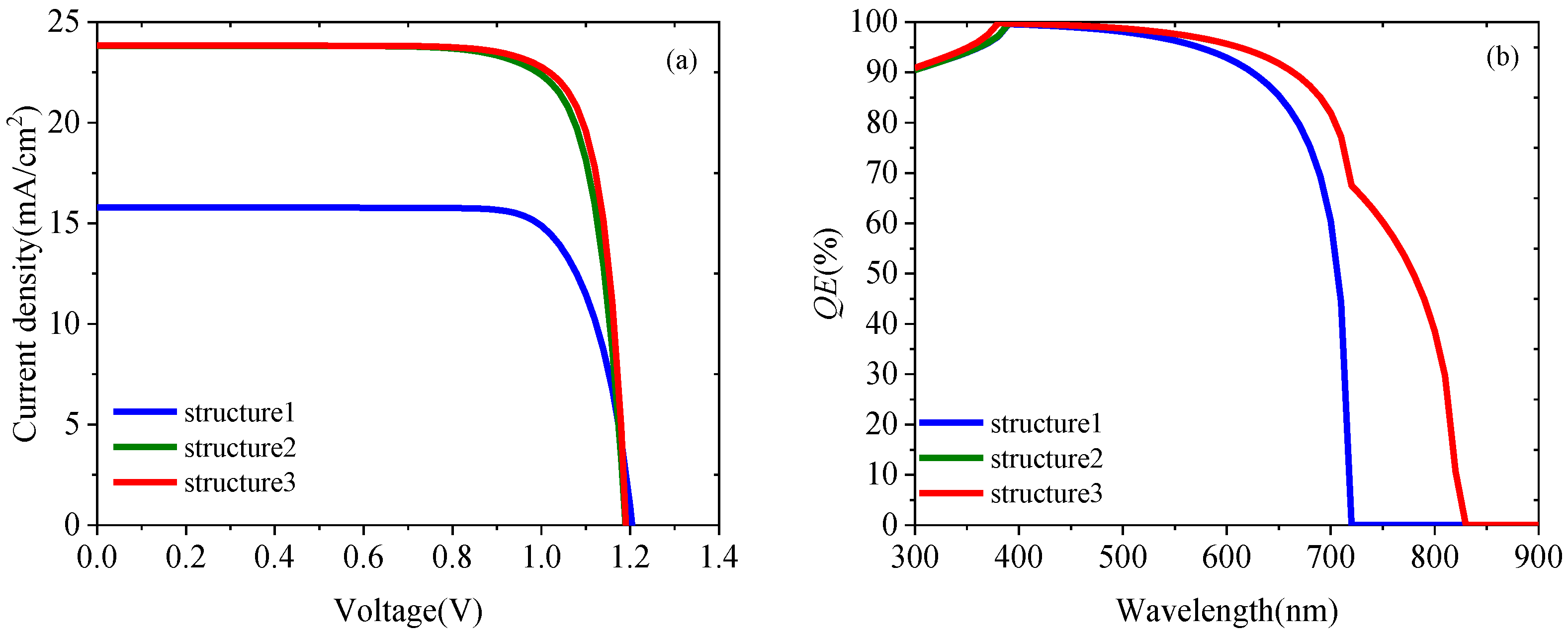
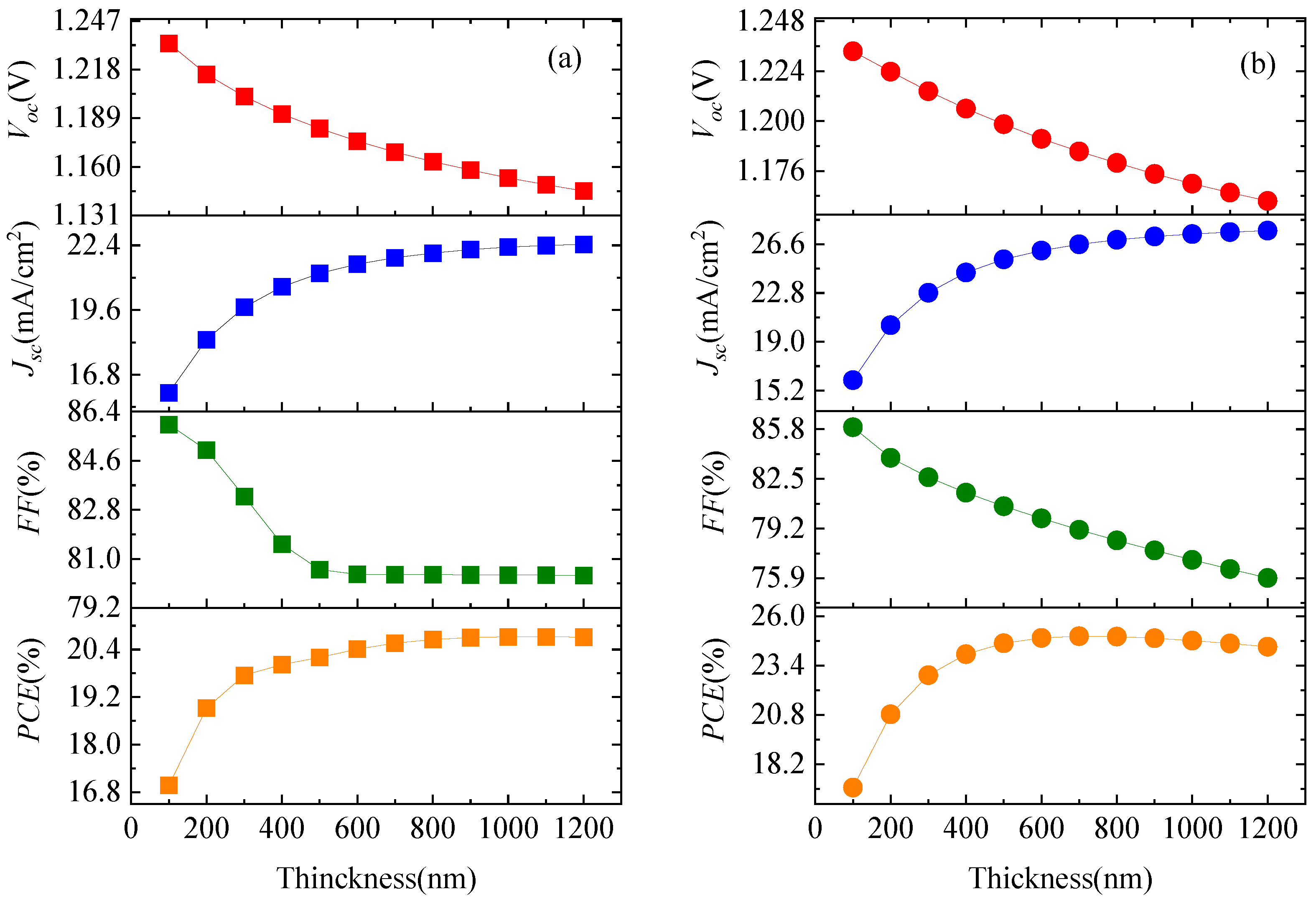
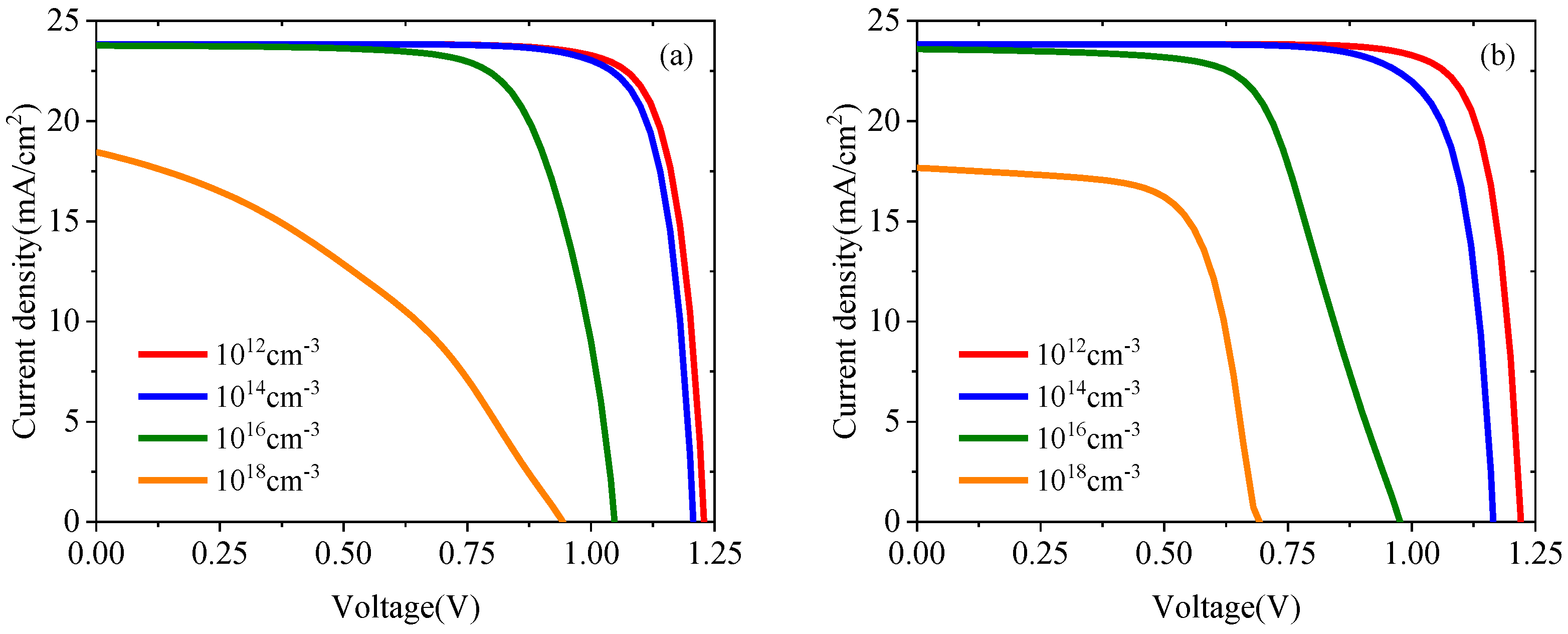
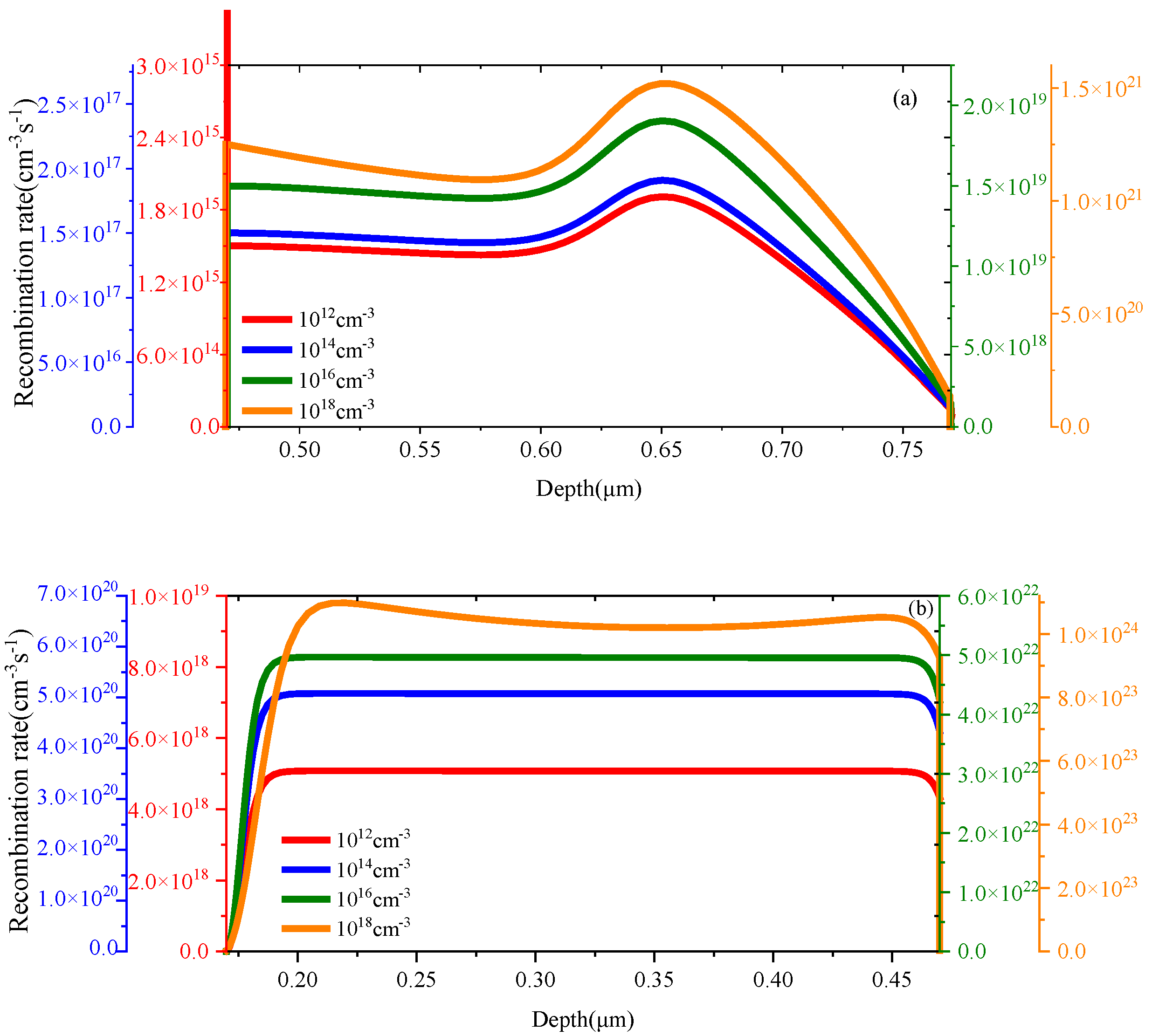
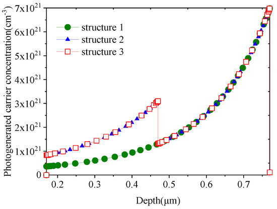
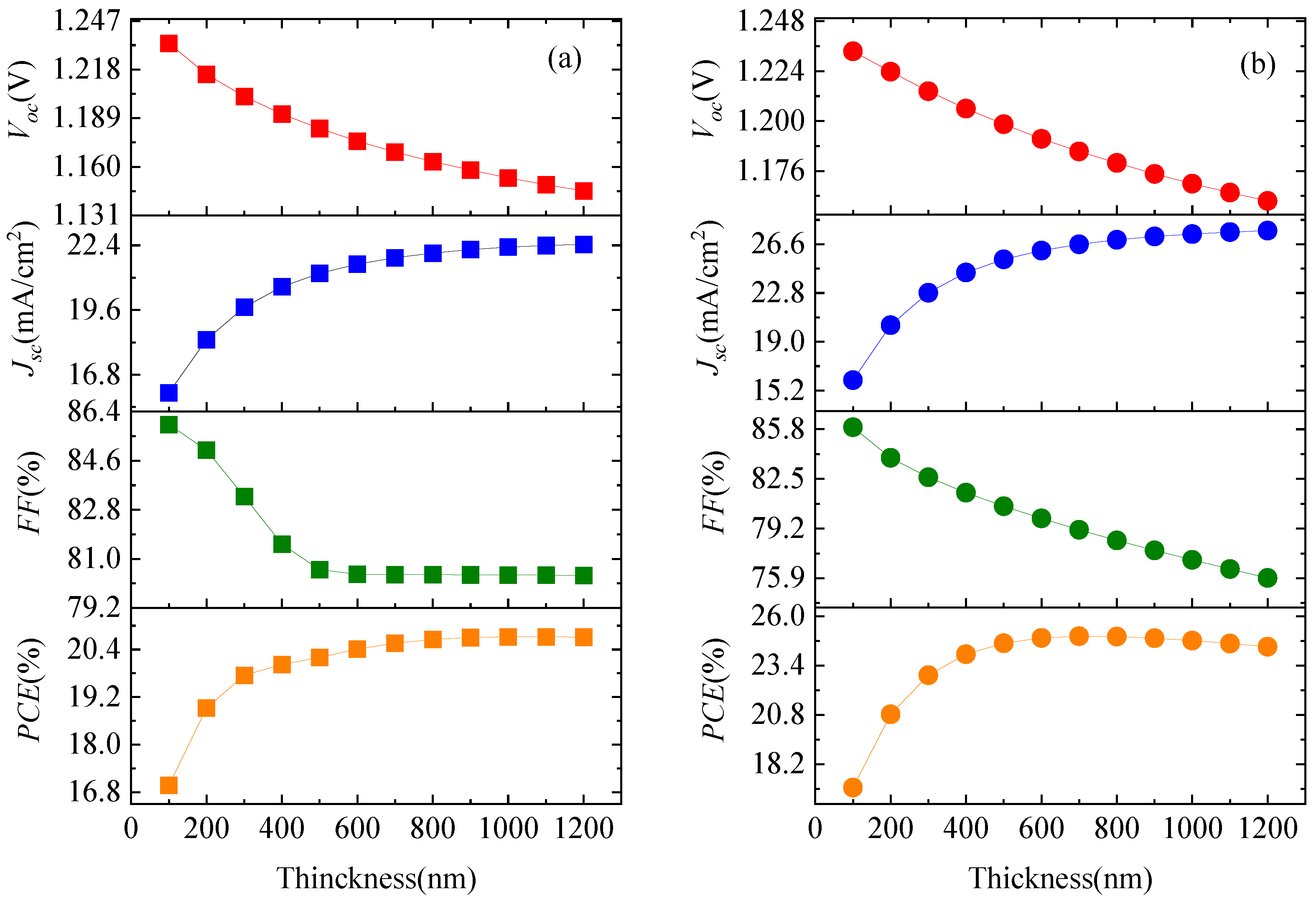
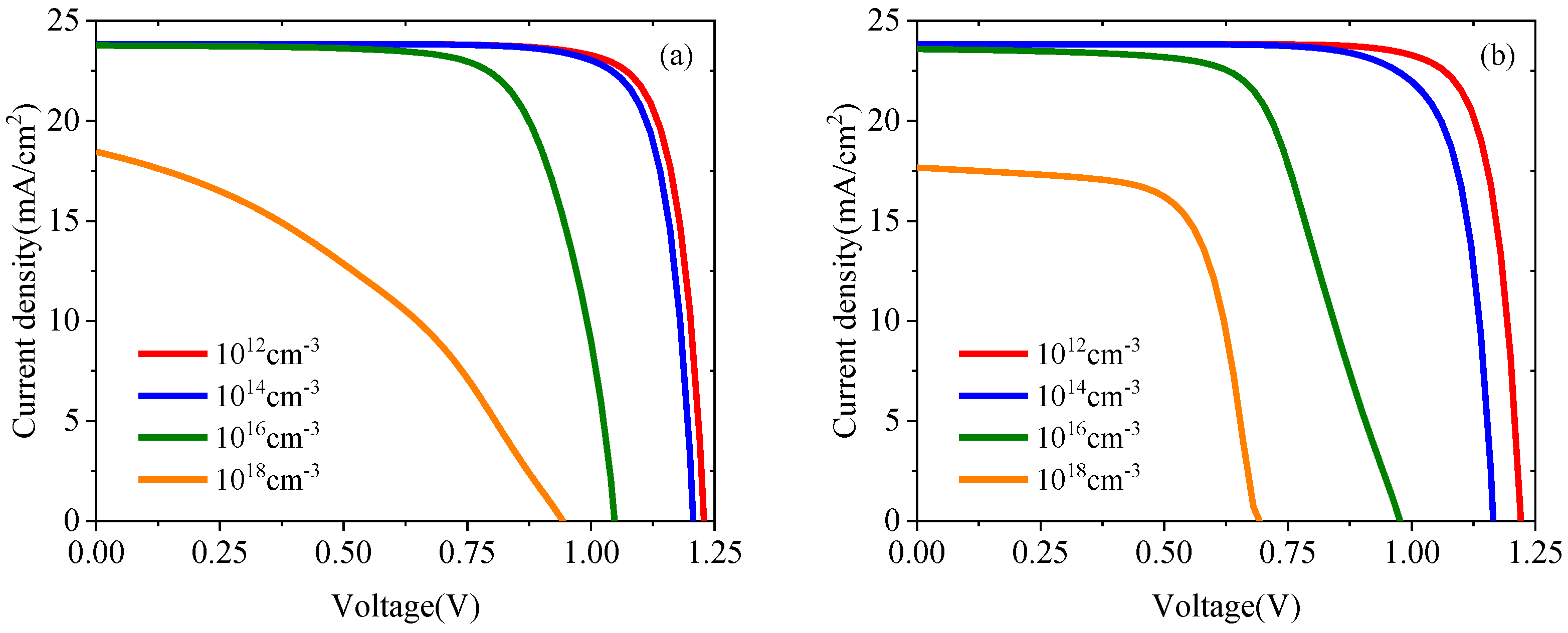
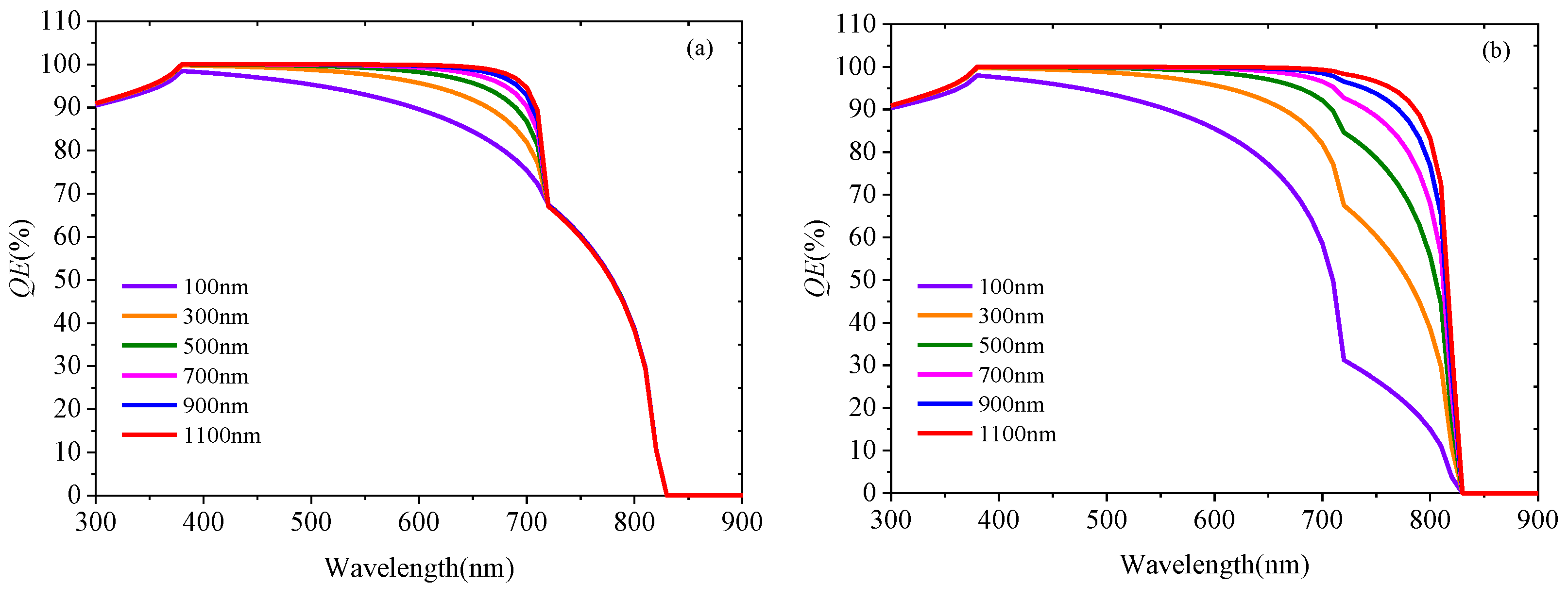
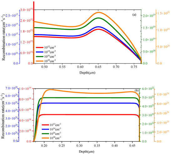
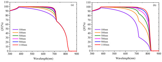
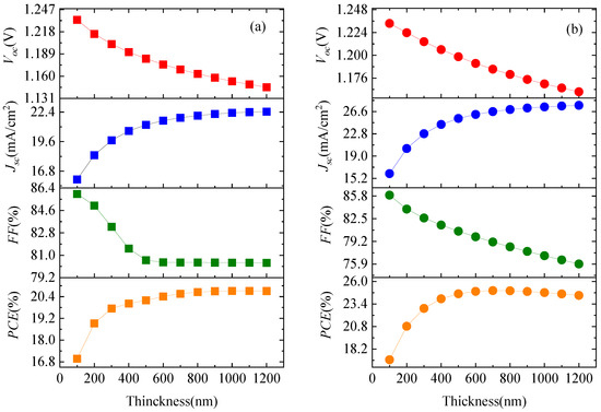
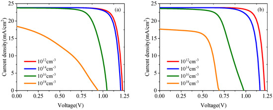
3.1. Effect of Thickness and Defect Density of the Photoactive Layers on Cell Performance
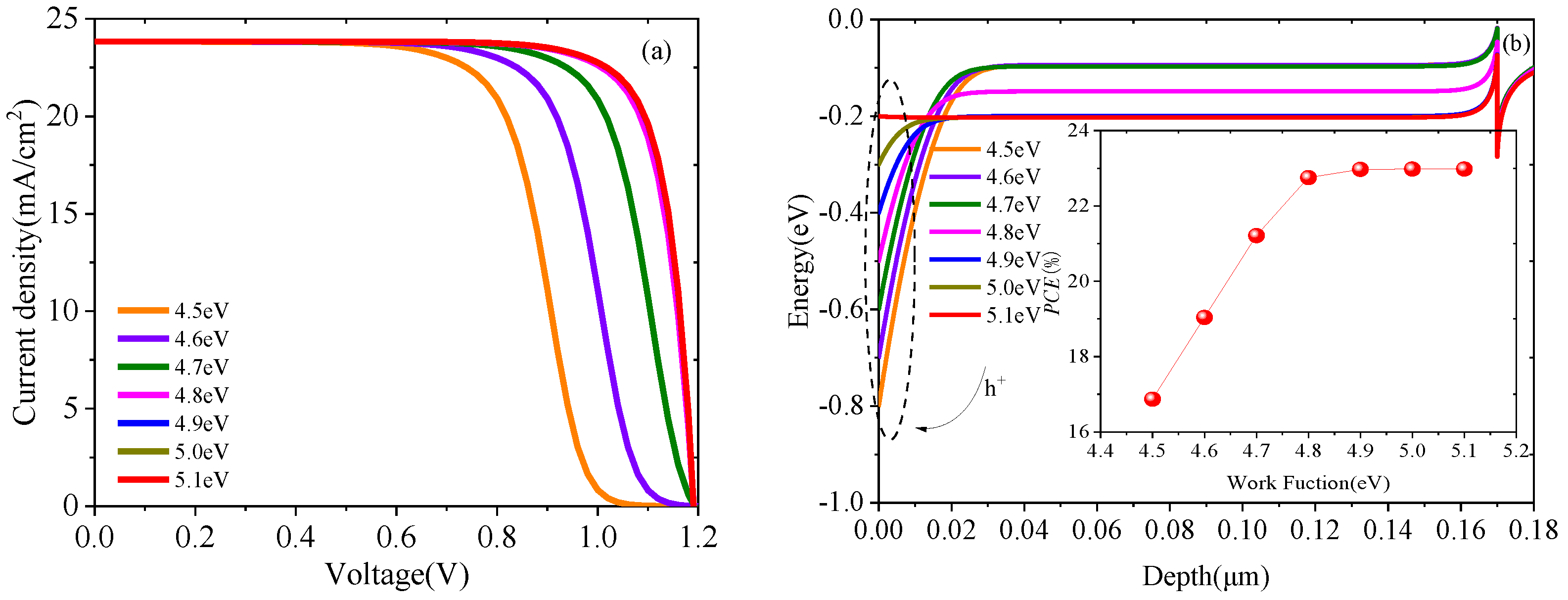
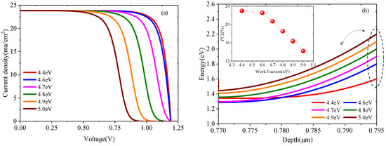
3.2. Effect of Work Function of Metal Back Electrode on Cell Performance
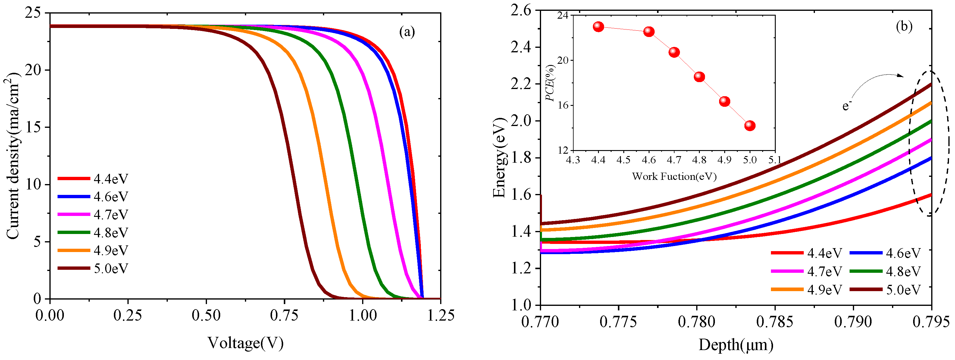
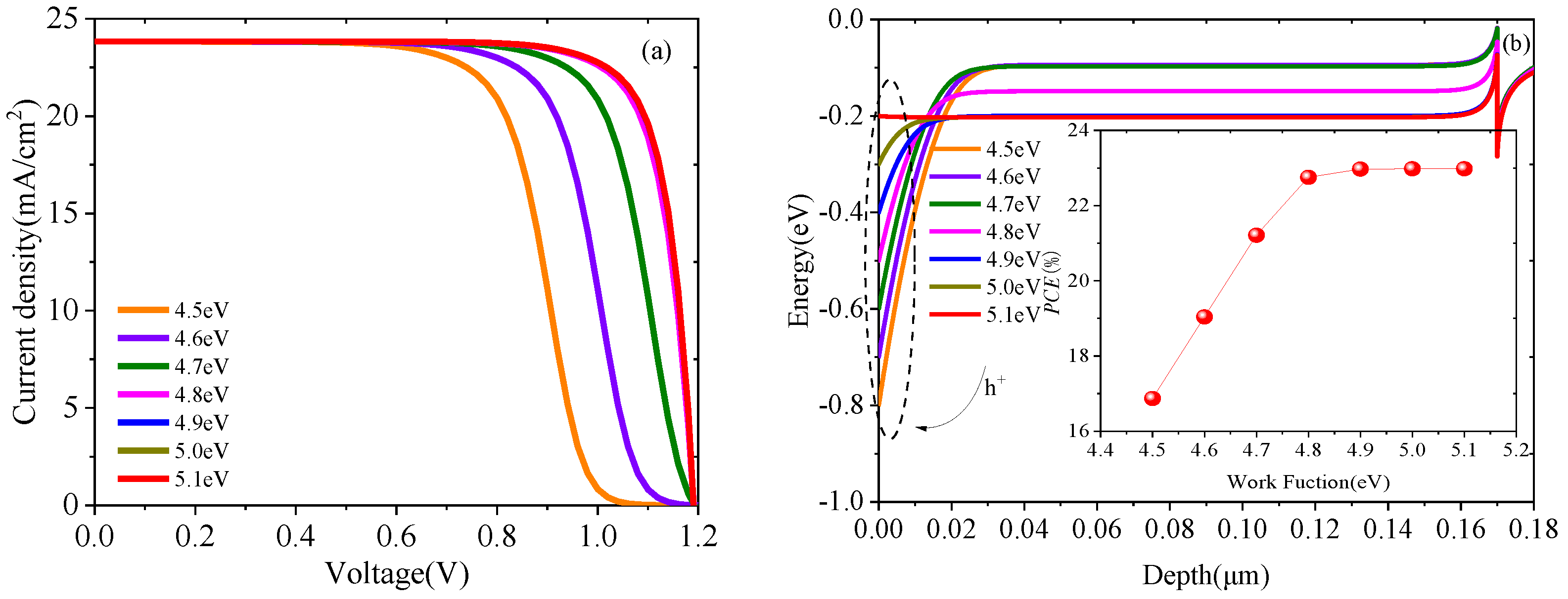
3.3. Effect of Work Function of Front Electrode on Cell Performance
3.4. Effect of Working Temperature on Cell Performance
4. Conclusions
Author Contributions
Funding
Acknowledgments
Conflicts of Interest
References
- Shaikh, S.F.; Kwon, H.C.; Yang, W.; Mane, R.S.; Moon, J. Performance enhancement of mesoporous TiO2-based perovskite solar cells by ZnS ultrathin-interfacial modification layer. J. Alloys Compd. 2018, 738, 405–414. [Google Scholar] [CrossRef]
- Eperon, G.E.; Burlakov, V.M.; Docampo, P.; Goriely, A.; Snaith, H.J. Morphological control for high performance, solution-processed planar heterojunction perovskite solar cells. Adv. Funct. Mater. 2014, 24, 151–157. [Google Scholar] [CrossRef]
- Liu, M.; Johnston, M.B.; Snaith, H.J. Efficient planar heterojunction perovskite solar cells by vapour deposition. Nature 2013, 501, 395–398. [Google Scholar] [CrossRef]
- Min, H.; Lee, D.Y.; Kim, J.; Kim, G.; Lee, K.S.; Kim, J.; II Seok, S. Perovskite solar cells with atomically coherent interlayers on SnO2 electrodes. Nature 2021, 598, 444–450. [Google Scholar] [CrossRef]
- Mehrabian, M.; Norouzi, A.E.; Norouzzadeh, P. Numerical simulation of bilayer perovskite quantum dot solar cell with 18.55% efficiency. Opt. Quant. Electron. 2022, 54, 439. [Google Scholar] [CrossRef]
- Niu, T.; Chao, L.; Dong, X.; Li, F.; Chen, Y. Phase-pure α-FAPbI3 for perovskite solar cells. J. Phys. Chem. Lett. 2022, 13, 1845–1854. [Google Scholar] [CrossRef] [PubMed]
- Mari-Guaita, J.; Bouich, A.; Mari, B. Shedding light on phase stability and surface engineering of formamidinium lead Iodide (FaPbI3) thin films for solar cells. Eng. Proc. 2021, 12, 1. [Google Scholar] [CrossRef]
- Frolova, L.A.; Anokhin, D.V.; Piryazev, A.A.; Luchkin, S.Y.; Dremova, N.N.; Stevenson, K.J.; Troshin, P.A. Highly efficient all-inorganic planar heterojunction perovskite solar cells produced by thermal coevaporation of CsI and PbI2. J. Phys. Chem. Lett. 2017, 8, 67–72. [Google Scholar] [CrossRef]
- Bouich, A.; Mari-Guaita, J.; Baig, F.; Khattak, Y.H.; Soucase, B.M.; Palacios, P. Investigation of the surface coating, humidity degradation, and recovery of perovskite film phase for solar-cell applications. Nanomaterials 2022, 12, 3027. [Google Scholar] [CrossRef]
- Kim, Y.S.; Ri, C.H.; Ko, U.H.; Kye, Y.H.; Jong, U.G.; Yu, C.J. Interfacial enhancement of photovoltaic performance in MAPbI3/CsPbI3 superlattice. ACS Appl. Mater. Interfaces 2021, 13, 14679–14687. [Google Scholar] [CrossRef]
- Lin, L.; Jiang, L.; Li, P.; Xiong, H.; Kang, Z.; Fan, B.; Qiu, Y. Simulated development and optimized performance of CsPbI3 based all-inorganic perovskite solar cells. Sol. Energy 2020, 198, 454–460. [Google Scholar] [CrossRef]
- Chen, R.; Hui, Y.; Wu, B.; Wang, Y.; Huang, X.; Xu, Z.; Ruan, P.; Zhang, W.; Cheng, F.; Zhang, W.; et al. Moisture-tolerant and high-quality α-CsPbI3 films for efficient and table perovskite solar modules. J. Mater. Chem. A 2020, 8, 9597–9606. [Google Scholar] [CrossRef]
- Tai, E.G.; Wang, R.T.; Chen, J.Y.; Xu, G. A water-stable organic-inorganic hybrid perovskite for solar cells by inorganic passivation. Crystals 2019, 9, 83. [Google Scholar] [CrossRef]
- Li, F.; Zhou, S.; Yuan, J.; Qin, C.; Yang, Y.; Shi, J.; Ma, W. Perovskite quantum dot solar cells with 15.6% efficiency and improved stability enabled by an α-CsPbI3/FAPbI3 bilayer structure. ACS Energy Lett. 2019, 4, 2571–2578. [Google Scholar] [CrossRef]
- Zhou, Y.; Zhao, Y. Chemical stability and instability of inorganic halide perovskites. Energy Environ. Sci. 2019, 12, 1495–1511. [Google Scholar] [CrossRef]
- Li, C.; Wang, Y.; Choy, W.C.H. Efficient interconnection in perovskite tandem solar cells. Small Methods 2020, 4, 2000093. [Google Scholar] [CrossRef]
- Lin, L.; Jiang, L.; Li, P.; Chen, D.; Huang, S.; Xiong, H.; Sun, W.-H.; Qin, Y. Numerical simulation of novel designed HTL-free perovskite solar cells to realize over 25% efficiency based on CH3NH3PbI3/CH3NH3PbI2Br cascade structure. Opt. Mater. 2022, 129, 112496. [Google Scholar] [CrossRef]
- Akhtarianfar, S.F.; Shojaei, S.; Asl, S.K. High-performance CsPbI3/XPbI3 (X= MA and FA) heterojunction perovskite solar cell. Opt. Commun. 2022, 512, 128053. [Google Scholar] [CrossRef]
- Duan, Q.; Ji, J.; Hong, X.; Fu, Y.; Wang, C.; Zhou, K.; Wang, Z.-Y. Design of hole-transport-material free CH3NH3PbI3/CsSnI3 all-perovskite heterojunction efficient solar cells by device simulation. Sol. Energy 2020, 201, 555–560. [Google Scholar] [CrossRef]
- Xu, X.; Wang, J.; Cao, D.; Zhou, Y.; Jiao, Z. Design of all-inorganic hole-transport-material-free CsPbI3/CsSnI3 heterojunction solar cells by device simulation. Mater. Res. Express 2022, 9, 025509. [Google Scholar] [CrossRef]
- Clark, C.P.; Mann, J.E.; Bangsund, J.S.; Hsu, W.J.; Aydil, E.S.; Holmes, R.J. Formation of Stable Metal Halide Perovskite/Perovskite Heterojunctions. ACS Energy Lett. 2020, 5, 3443–3451. [Google Scholar] [CrossRef]
- Yang, T.C.J.; Fiala, P.; Jeangros, Q.; Ballif, C. High-bandgap perovskite materials for multijunction solar cells. Joule 2018, 2, 1421–1436. [Google Scholar] [CrossRef]
- Zhang, P.; Wu, J.; Zhang, T.; Wang, Y.; Liu, D.; Chen, H.; Li, S. Perovskite solar cells with ZnO electron-transporting materials. Adv. Mater. 2018, 30, 1703737. [Google Scholar] [CrossRef]
- Son, D.Y.; Im, J.H.; Kim, H.S.; Park, N.G. 11% efficient perovskite solar cell based on ZnO nanorods: An effective charge collection system. J. Phys. Chem. C 2014, 118, 16567–16573. [Google Scholar] [CrossRef]
- Tseng, Z.L.; Chiang, C.H.; Wu, C.G. Surface engineering of ZnO thin film for high efficiency planar perovskite solar cells. Sci. Rep. 2015, 5, 13211. [Google Scholar] [CrossRef]
- Liu, G.; Zhong, Y.; Mao, H.; Yang, J.; Dai, R.; Hu, X.; Chen, Y. Highly efficient and stable ZnO-based MA-free perovskite solar cells via overcoming interfacial mismatch and deprotonation reaction. Chem. Eng. J. 2022, 431, 134235. [Google Scholar] [CrossRef]
- Wu, X.; Zhang, J.; Qin, M.; Liu, K.; Lv, Z.; Qin, Z.; Lu, X. ZnO electron transporting layer engineering realized over 20% efficiency and over 1.28 V open-circuit voltage in all-inorganic perovskite solar cells. EcoMat 2022, 4, e12192. [Google Scholar] [CrossRef]
- Azri, F.; Meftah, A.; Sengouga, N.; Meftah, A. Electron and hole transport layers optimization by numerical simulation of a perovskite solar cell. Sol. Energy 2019, 181, 372–378. [Google Scholar] [CrossRef]
- Madhavan, V.E.; Zimmermann, I.; Baloch, A.A.; Manekkathodi, A.; Belaidi, A.; Tabet, N.; Nazeeruddin, M.K. CuSCN as hole transport material with 3D/2D perovskite solar cells. ACS Appl. Energy Mater. 2019, 3, 114–121. [Google Scholar] [CrossRef]
- Murugadoss, G.; Thangamuthu, R.; Kumar, S.M.S.; Anandhan, N.; Kumar, M.R.; Rathishkumar, A. Synthesis of ligand-free, large scale with high quality all-inorganic CsPbI3 and CsPb2Br5 nanocrystals and fabrication of all-inorganic perovskite solar cells. J. Alloys Compd. 2019, 787, 17–26. [Google Scholar] [CrossRef]
- Burgelman, M.; Nollet, P.; Degrave, S. Modelling polycrystalline semiconductor solar cells. Thin Solid Film. 2000, 361, 527–532. [Google Scholar] [CrossRef]
- Patel, P.K. Device simulation of highly efficient eco-friendly CH3NH3SnI3 perovskite solar cell. Sci. Rep. 2021, 11, 3082. [Google Scholar] [CrossRef]
- Mohanty, I.; Mangal, S.; Singh, U.P. Performance optimization of lead free-MASnI3/CIGS heterojunction solar cell with 28.7% efficiency: A numerical approach. Opt. Mater. 2021, 122, 111812. [Google Scholar] [CrossRef]
- Minemoto, T.; Matsui, T.; Takakura, H.; Hamakawa, Y.; Negami, T.; Hashimoto, Y.; Kitagawa, M. Theoretical analysis of the effect of conduction band offset of window/CIS layers on performance of CIS solar cells using device simulation. Sol. Energy Mater. Sol. Cells 2001, 67, 83–88. [Google Scholar] [CrossRef]
- Minemoto, T.; Hashimoto, Y.; Shams-Kolahi, W.; Satoh, T.; Negami, T.; Takakura, H.; Hamakawa, Y. Control of conduction band offset in wide-gap Cu(In, Ga)Se2 solar cells. Sol. Energy Mater. Sol. Cells 2003, 75, 121–126. [Google Scholar] [CrossRef]
- Minemoto, T.; Murata, M. Theoretical analysis on effect of band offsets in perovskite solar cells. Sol. Energy Mater. Sol. Cells 2015, 133, 8–14. [Google Scholar] [CrossRef]
- Lakhdar, N.; Hima, A. Electron transport material effect on performance of perovskite solar cells based on CH3NH3GeI3. Opt. Mater. 2020, 99, 109517. [Google Scholar] [CrossRef]
- Lin, L.; Jiang, L.; Li, P.; Fan, B.; Qiu, Y. A modeled perovskite solar cell structure with a Cu2O hole-transporting layer enabling over 20% efficiency by low-cost low-temperature processing. J. Phys. Chem. Solids 2019, 124, 205–211. [Google Scholar] [CrossRef]
- Karthick, S.; Velumani, S.; Bouclé, J. Experimental and SCAPS simulated formamidinium perovskite solar cells: A comparison of device performance. Sol. Energy 2020, 205, 349–357. [Google Scholar] [CrossRef]
- Gan, Y.; Bi, X.; Liu, Y.-C.; Qin, B.; Li, Q.; Jiang, Q.; Mo, P. Numerical investigation energy conversion performance of tin-based perovskite solar cells using cell capacitance simulator. Energies 2020, 13, 5907. [Google Scholar] [CrossRef]
- Yang, I.S.; Lee, S.; Choi, J.; Jung, M.T.; Kim, J.; Lee, W.I. Enhancement of open circuit voltage for CuSCN-based perovskite solar cells by controlling the perovskite/CuSCN interface with functional molecules. J. Mater. Chem. A 2019, 7, 6028–6037. [Google Scholar] [CrossRef]
- Hassan, A.; Wang, Z.; Ahn, Y.H.; Azam, M.; Khan, A.A.; Farooq, U.; Zubair, M.; Cao, Y. Recent defect passivation drifts and role of additive engineering in perovskite photovoltaics. Nano Energy 2022, 101, 107579. [Google Scholar] [CrossRef]
- Tan, K.; Lin, P.; Wang, G.; Liu, Y.; Xu, Z.; Lin, Y. Controllable design of solid-state perovskite solar cells by SCAPS device simulation. Solid-State Electron. 2016, 126, 75–80. [Google Scholar] [CrossRef]
- Devi, N.; Parrey, K.A.; Aziz, A.; Datta, S. Numerical simulations of perovskite thin-film solar cells using a CdS hole blocking layer. J. Vac. Sci. Technol. B 2018, 36, 04G105. [Google Scholar] [CrossRef]
- Liu, F.; Zhu, J.; Wei, J.; Li, Y.; Lv, M.; Yang, S.; Dai, S. Numerical simulation: Toward the design of high-efficiency planar perovskite solar cells. Appl. Phys. Lett. 2014, 104, 253508. [Google Scholar] [CrossRef]
- Sengar, B.S.; Garg, V.; Kumar, A.; Dwivedi, P. Numerical simulation: Design of high-efficiency planar pn homojunction perovskite solar cells. IEEE Trans. Electron Devices 2021, 68, 2360–2364. [Google Scholar] [CrossRef]
- Qiu, D.; Kim, E.K. Electrically tunable and negative Schottky barriers in multi-layered graphene/MoS2 heterostructured transistors. Sci. Rep. 2015, 5, 13743. [Google Scholar] [CrossRef]
- Lin, L.Y.; Jiang, L.Q.; Qiu, Y.; Fan, B.D. Analysis of Sb2Se3/CdS based photovoltaic cell: A numerical simulation approach. J. Phys. Chem. Solids 2018, 122, 19–24. [Google Scholar] [CrossRef]
- Gao, J.; Luther, J.M.; Semonin, O.E.; Ellingson, R.J.; Nozik, A.J.; Beard, M.C. Quantum dot size dependent J−V characteristics in heterojunction ZnO/PbS quantum dot solar cells. Nano Lett. 2011, 11, 1002–1008. [Google Scholar] [CrossRef]
- Shewchun, J.; Dubow, J.; Wilmsen, C.W.; Singh, R.; Burk, D.; Wager, J.F. The operation of the semiconductor-insulator-semiconductor solar cell: Experiment. J. Appl. Phys. 1979, 50, 2832–2839. [Google Scholar] [CrossRef]
- Park, Y.; Choong, V.; Gao, Y.; Hsieh, B.R.; Tang, C.W. Work function of indium tin oxide transparent conductor measured by photoelectron spectroscopy. Appl. Phys. Lett. 1996, 68, 2699–2701. [Google Scholar] [CrossRef]
- Karimi, E.; Ghorashi, S.M.B. Simulation of perovskite solar cell with P3HT hole-transporting materials. J. Nanophotonics 2017, 11, 032510. [Google Scholar] [CrossRef]
- Chakraborty, K.; Choudhury, M.G.; Paul, S. Numerical study of Cs2TiX6 (X = Br−, I−, F− and Cl−) based perovskite solar cell using SCAPS-1D device simulation. Sol. Energy 2019, 194, 886–892. [Google Scholar] [CrossRef]
- Nakada, T.; Mizutani, M. 18% efficiency Cd-free Cu(In, Ga)Se2 thin-film solar cells fabricated using chemical bath deposition (CBD)-ZnS buffer layers. Jpn. J. Appl. Phys. 2002, 41, L165. [Google Scholar] [CrossRef]
- Chelvanathan, P.; Hossain, M.I.; Amin, N. Performance analysis of copper–indium–gallium–diselenide (CIGS) solar cells with various buffer layers by SCAPS. Curr. Appl. Phys. 2010, 10, S387–S391. [Google Scholar] [CrossRef]
- Zhao, Q.; Hazarika, A.; Chen, X.; Harvey, S.P.; Larson, B.W.; Teeter, G.R.; Liu, J.; Song, T.; Xiao, C.; Shaw, L.; et al. High efficiency perovskite quantum dot solar cells with charge separating heterostructure. Nat. Commun. 2019, 10, 2842. [Google Scholar] [CrossRef] [PubMed]
- Hu, Y.; Schlipf, J.; Wussler, M.; Petrus, M.L.; Jaegermann, W.; Bein, T.; Muller-Buschbaum, P.; Docampo, P. Hybrid perovskite/perovskite heterojunction solar cells. ACS Nano 2016, 10, 5999–6007. [Google Scholar] [CrossRef] [PubMed]
- Farhadi, B.; Ciprian, M.; Zabihi, F.; Liu, A. Influence of contact electrode and light power on the efficiency of tandem perovskite solar cell: Numerical simulation. Sol. Energy 2021, 226, 161–172. [Google Scholar] [CrossRef]
- Abedini-Ahangarkola, H.; Soleimani-Amiri, S.; Rudi, S.G. Modeling and numerical simulation of high efficiency perovskite solar cell with three active layers. Sol. Energy 2022, 236, 724–732. [Google Scholar] [CrossRef]
- Mandadapu, U.; Vedanayakam, S.V.; Thyagarajan, K.; Babu, B.J. Optimisation of high efficiency tin halide perovskite solar cells using SCAPS-1D. Int. J. Simulat. Process Model. 2018, 13, 221. [Google Scholar] [CrossRef]
- Rai, S.; Pandey, B.K.; Dwivedi, D.K. Designing hole conductor free tin–lead halide based all-perovskite heterojunction solar cell by numerical simulation. J. Phys. Chem. Solids 2021, 156, 110168. [Google Scholar] [CrossRef]
- Baig, F.; Khattak, Y.H.; Marí, B.; Beg, S.; Ahmed, A.; Khan, K. Efficiency enhancement of CH3NH3SnI3 solar cells by device modeling. J. Electron. Mater. 2018, 47, 5275–5282. [Google Scholar] [CrossRef]
- Guiberteau, K.; Liu, Y.-C.; Lee, J.; Kozman, T.A. Investigation of developing wave energy technology in the Gulf of Mexico. Distrib. Gener. Altern. Energy J. 2012, 27, 36–52. [Google Scholar]
- Pastor, J.; Liu, Y.-C. Hydrokinetic energy: Overview and its renewable energy potential for the Gulf of Mexico. In Proceedings of the 2012 IEEE Green Technologies Conference, Tulsa, OK, USA, 19–20 April 2012; Institute of Electrical and Electronics Engineers (IEEE): Piscataway, NJ, USA, 2012; pp. 1–3. [Google Scholar]
- Chu, S.J.; Liu, Y.-C. Prospects of wind energy and wind power in Louisiana. In Proceedings of the 2011 IEEE Green Technologies Conference, Baton Rouge, LA, USA, 14–15 April 2011. [Google Scholar]
- Liu, Y.-C.; Chu, S.J. Advance application of wind technology in Louisiana. Int. J. Energy Eng. 2012, 2, 60–66. [Google Scholar] [CrossRef]
















| Parameters | TiO2 [11] | ZnO [37,38] | CsPbI3 [11] | FAPbI3 [39] | CuSCN [28,40] | Spiro-OMeTAD [39] |
|---|---|---|---|---|---|---|
| Thickness (nm) | 25 | 25 | variable | 300 | 170 | 170 |
| Eg (eV) | 3.2 | 3.3 | 1.73 | 1.51 | 3.4 | 2.9 |
| χ (eV) | 4.0 | 4.1 | 3.95 | 4.0 | 1.9 | 2.2 |
| εr | 9.0 | 9.0 | 6.0 | 6.6 | 10 | 3.0 |
| Nc (cm−3) | 1 × 1021 | 4 × 1018 | 1.1 × 1020 | 1.2 × 1019 | 1.7 × 1019 | 2.2 × 1018 |
| Nv (cm−3) | 2 × 1020 | 1 × 1019 | 8 × 1019 | 2.9 × 1018 | 2.5 × 1021 | 2.2 × 1018 |
| μn (cm2/Vs) | 20 | 100 | 16 | 2.7 | 0.0001 | 1 × 10−4 |
| μp (cm2/Vs) | 10 | 25 | 16 | 1.8 | 0.1 | 1 × 10−4 |
| Nd (cm−3) | 1 × 1018 | 1 × 1018 | 0 | 1.3 × 1016 | 0 | 0 |
| Na (cm−3) | 0 | 0 | 1 × 1015 | 1.3 × 1016 | 1 × 1018 | 1.3 × 1018 |
| Nt (cm−3) | 1 × 1015 | 1 × 1015 | 2.1 × 1014 | 4 × 1013 | 1 × 1015 | 1 × 1015 |
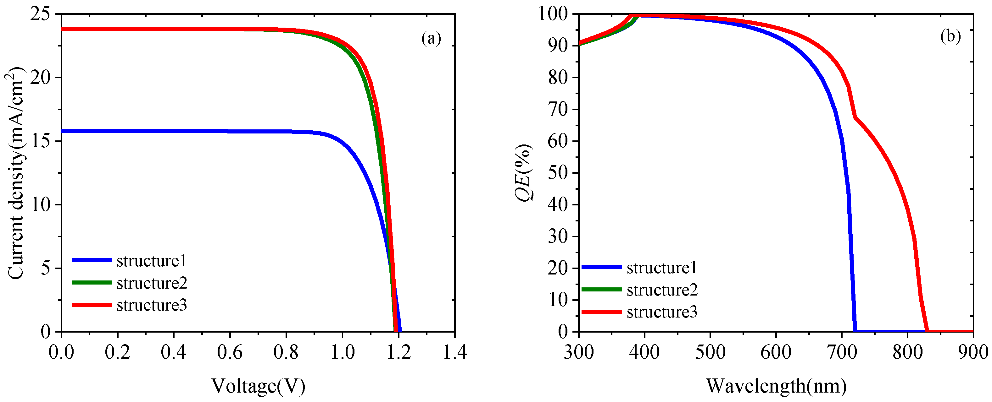
| Structure | Voc (V) | Jsc (mA/cm2) | FF (%) | PCE (%) |
|---|---|---|---|---|
| TiO2/CsPbI3/Spiro-OMeTAD | 1.18 | 19.22 | 73.74 | 16.68 |
| TiO2/CsPbI3/FAPbI3/Spiro-OMeTAD | 1.19 | 23.82 | 79.21 | 22.45 |
| ZnO/CsPbI3/ FAPbI3/CuSCN | 1.19 | 23.84 | 80.91 | 22.98 |
| No. | Structure | Simulation/ Experimental | Voc (V) | Jsc (mA/cm2) | FF (%) | PCE (%) | References |
|---|---|---|---|---|---|---|---|
| 1 | ITO/TiO2/ Cs0.25FA0.75PbI3/CsPbI3/Spiro/MoOX/Al | Experimental | 1.20 | 18.91 | 76.00 | 17.39 | [56] |
| 2 | FTO/TiO2/CsPbI3/FAPbI3/PTAA/MoO3/Ag | Experimental | 1.22 | 17.26 | 74.00 | 15.60 | [14] |
| 3 | FTO/TiO2/MAPbI3/(PEA)2(MA)4(Pb5I16)/Spiro/Au | Experimental | 1.08 | 18.63 | 73.00 | 14.94 | [57] |
| 4 | FTO/TiO2/MASnI3/MAPbI3/Cu2O/Au | Simulation | 1.21 | 31.58 | 80.21 | 30.88 | [58] |
| 5 | FTO/TiO2/MASnI3/MAPbI3/Spiro/Au | Simulation | 1.15 | 30.87 | 85.29 | 30.29 | [59] |
| 6 | FTO/TiO2/MAPbI3/MAPbI2Br/C | Simulation | - | - | - | 25.32 | [17] |
| 7 | ZnO:Al/TiO2/MASnI3/MASnBr3/CuI/Au | Simulation | 1.12 | 32.03 | 68.82 | 24.78 | [60] |
| 8 | FTO/WS2/MAPb(I1-xClx)3/FA0.75Cs0.25Pb0.5Sn0.5I3/Au | Simulation | 0.84 | 34.34 | 78.54 | 22.72 | [61] |
| 9 | FTO/TiO2/MAPbI3/CsSnI3/C | Simulation | 1.08 | 25.33 | 79.27 | 21.64 | [19] |
| 10 | FTO/TiO2/CsPbI3/MAPbI3/Spiro/Au | Simulation | 1.13 | 25.02 | 74.24 | 20.99 | [39] |
| 11 | FTO/WS2/MAPb(I1-xClx)3/FA0.75Cs0.25Pb0.5Sn0.5I3/C | Simulation | 0.82 | 31.94 | 77.95 | 20.53 | [61] |
| 12 | FTO/TiO2/CsPbI3/FAPbI3/Spiro/Au | Simulation | 1.07 | 26.53 | 71.16 | 20.22 | [39] |
| 13 | FTO/TiO2/CsPbI3/CsSnI3/Au | Simulation | 0.96 | 26.59 | 78.41 | 19.99 | [20] |
| 14 | FTO/TiO2/CsPbI3/CsSnI3/C | Simulation | 0.95 | 26.09 | 78.74 | 19.59 | [20] |
| 15 | FTO/CdZnS/MASnI3/MASnBr3/back contact | Simulation | 0.87 | 31.42 | 68.88 | 18.71 | [62] |
| 16 | FTO/TiO2/CsPbI3/FAPbI3/PTAA/MoO3/Ag | Simulation | 1.12 | 18.81 | 88.09 | 18.55 | [5] |
| 17 | FTO/ZnO/CsPbI3/FAPbI3/CuSCN/Au | Simulation | 1.31 | 26.11 | 83.78 | 28.75 | This work |
Publisher’s Note: MDPI stays neutral with regard to jurisdictional claims in published maps and institutional affiliations. |
© 2022 by the authors. Licensee MDPI, Basel, Switzerland. This article is an open access article distributed under the terms and conditions of the Creative Commons Attribution (CC BY) license (https://creativecommons.org/licenses/by/4.0/).
Share and Cite
Gan, Y.; Zhao, D.; Qin, B.; Bi, X.; Liu, Y.; Ning, W.; Yang, R.; Jiang, Q. Numerical Simulation of High-Performance CsPbI3/FAPbI3 Heterojunction Perovskite Solar Cells. Energies 2022, 15, 7301. https://doi.org/10.3390/en15197301
Gan Y, Zhao D, Qin B, Bi X, Liu Y, Ning W, Yang R, Jiang Q. Numerical Simulation of High-Performance CsPbI3/FAPbI3 Heterojunction Perovskite Solar Cells. Energies. 2022; 15(19):7301. https://doi.org/10.3390/en15197301
Chicago/Turabian StyleGan, Yongjin, Di Zhao, Binyi Qin, Xueguang Bi, Yucheng Liu, Weilian Ning, Ruizhao Yang, and Qubo Jiang. 2022. "Numerical Simulation of High-Performance CsPbI3/FAPbI3 Heterojunction Perovskite Solar Cells" Energies 15, no. 19: 7301. https://doi.org/10.3390/en15197301
APA StyleGan, Y., Zhao, D., Qin, B., Bi, X., Liu, Y., Ning, W., Yang, R., & Jiang, Q. (2022). Numerical Simulation of High-Performance CsPbI3/FAPbI3 Heterojunction Perovskite Solar Cells. Energies, 15(19), 7301. https://doi.org/10.3390/en15197301

