Dynamic Modeling of CO2 Absorption Process Using Hollow-Fiber Membrane Contactor in MEA Solution
Abstract
1. Introduction
- The mass transfer area is considerable higher than in the packed-bed column, due to the large number of fibers inside of the HFMC;
- The gas mixture and the liquid solution are not in direct contact, as the membranes physically separate them; this avoids some of the problems caused by the contact between phases in conventional columns, such as foaming, flooding, channeling and entrainment;
- The surface area between the gas and liquid is known and is constant at large flow rate variations;
- Because there is no dispersion of gas into the liquid phase, emulsions do not form;
- After the absorption process, there is no need to have a special section for washing the losses of the absorbent solution carried over by the gas;
- There is no density difference required between the gas and liquid, compared to traditional columns, where the liquid usually flows gravitationally under its own weight and gas flows from the bottom up, due to the lower density;
- The solvent holdup is low, an advantageous feature in the case of using high-cost absorbent solutions;
- The membrane module is much more compact, due to a large mass transfer area in a small volume;
- The membrane systems are modular, allowing the length of the module to be extended by simply adding a new module to the existing one, offering the possibility of operating in a wide range of gas flow variation.
- The membrane introduces a new resistance to mass transfer. This resistance is not found in conventional columns; however, it can be minimized by choosing favorable operating conditions;
- The lifetime of the membranes is short, so the cost of replacing them periodically must be considered;
- Over time, due to the watering of the membranes, the absorption efficiency decreases.
2. Dynamic Modeling of CO2 Absorption in MEA Solutions
- Transport of CO2 inside the gas phase to the membrane, by convection and diffusion, in the tube side of the HFMC;
- Diffusion of CO2 inside the membrane pores due to the concentration gradient formed;
- The CO2 absorption process occurs in the aqueous MEA solution;
- Transported CO2 inside the liquid phase, by convection and diffusion and the chemical reaction with MEA.
- To describe the fluid mechanics inside the HFMC, the plug flow model is applied, with the model parameters being constants on the radial section of the membranes;
- Both phases are considered to behave like ideal mixtures;
- The laminar flow of the gas mixture inside the membranes and the liquid phase in the shell compartment is considered;
- To calculate the CO2 concentration at the gas–liquid interface, Henry’s law is applied;
- The chemical reaction between CO2 and MEA takes place only in the liquid phase;
- The membranes inside the HFMC are considered to operate in non-wetting mode;
- The heat transfer carried out by radiation and conduction is negligible;
- The pressure drop across the HFMC is negligible;
- To calculate the equivalent circular diameter of the liquid absorbent around the fibers, Happel’s approximation is used. In the shell compartment, the effective diameter of the shell can be calculated with the following equation [26]:
2.1. Chemical Rection
2.2. Balance Equations
2.3. Mass Transfer Model
2.3.1. The Partial Mass Transfer Coefficient of CO2 Inside the Gas Phase—
2.3.2. The Partial Mass Transfer Coefficient of CO2 through the Membrane—
2.3.3. The Partial Mass Transfer Coefficient of CO2 Inside the Liquid Phase—
3. Results and Discussions
3.1. Model Validation
3.2. Steady-State Profiles
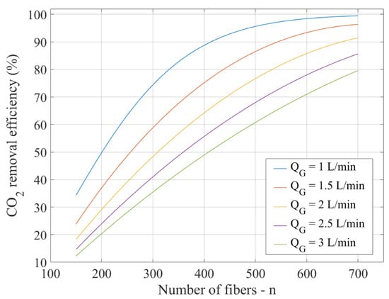
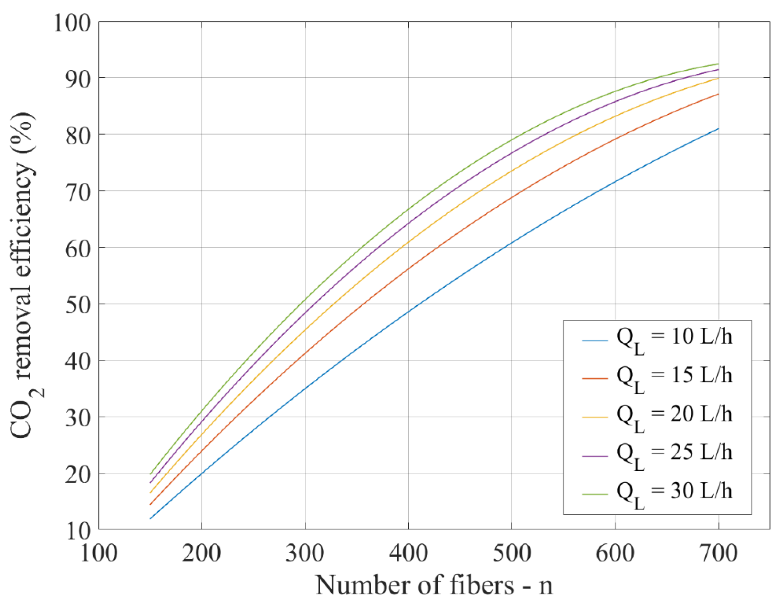
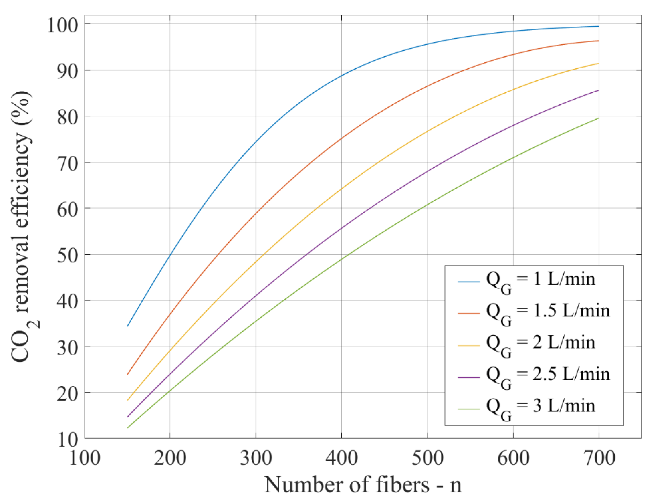
3.2.1. Influence of the Number of Membranes on the CO2 Removal Efficiency
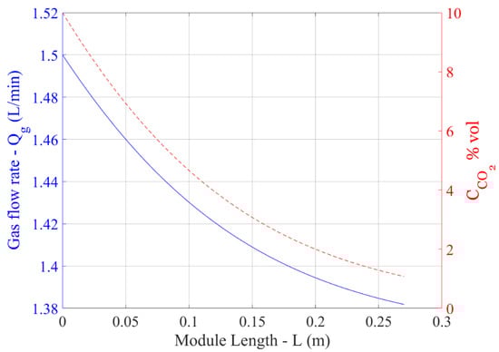
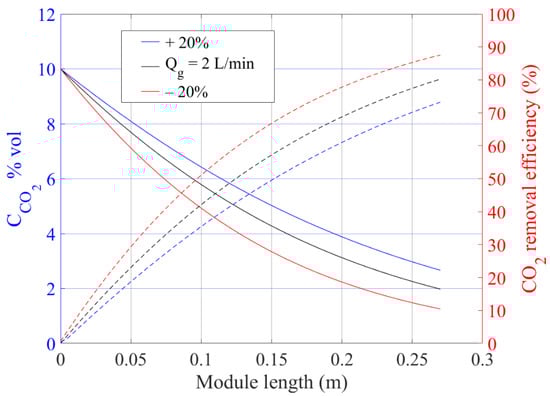
3.2.2. Influence of the Module Length on the CO2 Removal Efficiency
3.3. Dynamic Behavior
3.3.1. The System Response at Step Signal on the Gas Flow Rate
3.3.2. The System Response at Ramp/Oscillatory Signal on the Gas Flow Rate
4. Conclusions
Author Contributions
Funding
Informed Consent Statement
Conflicts of Interest
Nomenclature
| effective mass transfer area [m2/m3] | |
| tube (G) and shell (L) transversal section area [m2] | |
| MEA stoichiometric coefficient (b = 2), | |
| CO2 molar concentration in gas and liquid phase [kmol/m3] | |
| equilibrium CO2 molar concentration in gas and liquid phase [kmol/m3] | |
| MEA molar concentration in liquid phase [kmol/m3] | |
| CO2 molar concentration at the gas–liquid interface [kmol/m3] | |
| specific heat of gas and liquid phase [kJ/kg K] | |
| inner fiber diameter of membrane [m] | |
| outer fiber diameter of membrane [m] | |
| effective diameter of shell [m] | |
| hydraulic diameters of HFMC [m] | |
| logarithmic mean diameter of membrane [m] | |
| module inner diameter [m] | |
| average pore diameter [m] | |
| average inner diameter of shell [m] | |
| diffusion coefficient of CO2 in gas and liquid phase [m2/s] | |
| diffusion coefficient of CO2 in membrane pores [m2/s] | |
| Knudsen and molecular CO2 diffusion coefficient [m2/s] | |
| diffusion coefficient of CO2 and MEA in liquid phase [m2/s] | |
| enhancement factor [–] | |
| gas and liquid flow rate [m3/s] | |
| heat transfer coefficient [W/m2 K] | |
| Hatta module [–] | |
| Henry’s coefficient of CO2 in the MEA solution [–] | |
| reaction rate constant [m3/kmol s] | |
| partial mass transfer coefficient of CO2 inside the gas phase [m/s] | |
| partial mass transfer coefficient of CO2 through the membrane [m/s] | |
| partial mass transfer coefficient of CO2 inside the liquid phase [m/s] | |
| overall mass transfer coefficient of CO2 inside the gas and liquid phase [m/s] | |
| module length [m] | |
| CO2 molecular weight [kg/kmol] | |
| CO2 molar flow across the gas–liquid interface [kmol/m2 s] | |
| reaction rate of CO2 and MEA [kmol/m3 s] | |
| number of fibers [–] | |
| pressure [atm] | |
| Reynolds number [–] | |
| gas and liquid flow rate [L/min], [L/h] | |
| Schmidt number [–] | |
| Sherwood number [–] | |
| liquid and gas temperature [K] | |
| gas and liquid velocity [m/s] | |
| inlet CO2 and CH4 molar fraction in gas phase [–] | |
| MT | mass transfer |
| PMT, GMT | partial and global mass transfer |
| Greek symbols | |
| reaction heat [kJ/kmol] | |
| membrane thickness [m] | |
| membrane porosity [–] | |
| dynamic viscosity of CO2 [Pa s] | |
| kinematic viscosity of liquid phase [m2/s] | |
| gas and liquid density [kg/m3] | |
| membrane tortuosity [–] | |
| viscosity and diffusion collision integrals [–] | |
References
- Cloy, J.M.; Smith, K.A. Greenhouse gas emissions. Ref. Modul. Earth Syst. Environ. Sci. 2015, 1–11. [Google Scholar] [CrossRef]
- Global Emissions-Center for Climate and Energy Solutions. Available online: https://www.c2es.org/content/international-emissions/ (accessed on 1 July 2022).
- The Paris Agreement, a Strategy for the Longer Term|World Resources Institute. Available online: https://www.wri.org/climate/expert-perspective/paris-agreement-strategy-longer-term (accessed on 1 July 2022).
- Climate Change14 March 2019. Available online: https://www.europarl.europa.eu/doceo/document/TA-8-2019-0217_EN.html (accessed on 1 July 2022).
- Szima, S.; Arnaiz Del Pozo, C.; Cloete, S.; Fogarasi, S.; Jiménez Álvaro, J.; Cormos, A.M.; Cormos, C.C.; Amini, S. Techno-Economic Assessment of IGCC Power Plants Using Gas Switching Technology to Minimize the Energy Penalty of CO2 Capture. Clean Technol. 2021, 3, 594–617. [Google Scholar] [CrossRef]
- Van Harmelen, T.; Koornneef, J.; Horssen, A.; Ramirez-Ramirez, C.A.; van Gijlswijk, R. The Impacts of CO2 Capture Technologies on Transboundary Air Pollution in The Netherlands; Copernicus Institute, Utrecht University: Utrecht, The Netherlands, 2008. [Google Scholar]
- Tan, L.S.; Shariff, A.M.; Lau, K.K.; Bustam, M.A. Factors Affecting CO2 Absorption Efficiency in Packed Column: A Review. J. Ind. Eng. Chem. 2012, 18, 1874–1883. [Google Scholar] [CrossRef]
- Tay, W.H.; Lau, K.K.; Lai, L.S.; Shariff, A.M.; Wang, T. Current Development and Challenges in the Intensified Absorption Technology for Natural Gas Purification at Offshore Condition. J. Nat. Gas. Sci. Eng. 2019, 71, 102977. [Google Scholar] [CrossRef]
- Schwendig, F. Carbon Capture and Storage. In Managing CO2 Emissions in the Chemical Industry; Wiley-VCH Verlag GmbH & Co. KGaA: Weinheim/Berlin, Germany, 2010. [Google Scholar] [CrossRef]
- Lepaumier, H.; Picq, D.; Carrette, P.L. Degradation Study of New Solvents for CO2 Capture in Post-Combustion. Energy Procedia 2009, 1, 893–900. [Google Scholar] [CrossRef]
- Aroonwilas, A.; Tontiwachwuthikul, P. High-Efficiency Structured Packing for CO2 Separation Using 2-Amino-2-Methyl-1-Propanol (AMP). Sep. Purif. Technol. 1997, 12, 67–79. [Google Scholar] [CrossRef]
- Yu, H. Recent developments in aqueous ammonia-based post-combustion CO2 capture technologies. Chin. J. Chem. Eng. 2018, 26, 2255–2265. [Google Scholar] [CrossRef]
- Rochelle, G.T.; Akinpelumi, K.; Gao, T.; Liu, C.T.; Suresh Babu, A.; Wu, Y. Pilot plant results with the piperazine advanced stripper at NGCC conditions. Int. J. Greenh. Gas Control. 2022, 113, 103551. [Google Scholar] [CrossRef]
- Moioli, S.; Ho, M.; Wiley, D.; Pellegrini, L. Assessment of carbon dioxide capture by precipitating potassium taurate solvent. Int. J. Greenh. Gas Control. 2019, 87, 159–169. [Google Scholar] [CrossRef]
- Yuan, Y.; Rochelle, G.T. CO2 absorption rate in semi-aqueous monoethanolamine. Chem. Eng. Sci. 2018, 182, 56–66. [Google Scholar] [CrossRef]
- Rao, A.B.; Rubin, E.S. A Technical, Economic, and Environmental Assessment of Amine-Based CO2 Capture Technology for Power Plant Greenhouse Gas Control. Environ. Sci. Technol. 2002, 36, 4467–4475. [Google Scholar] [CrossRef]
- Mansourizadeh, A.; Ismail, A.F. Hollow Fiber Gas–Liquid Membrane Contactors for Acid Gas Capture: A Review. J. Hazard. Mater. 2009, 171, 38–53. [Google Scholar] [CrossRef] [PubMed]
- DeMontigny, D.; Tontiwachwuthikul, P.; Chakma, A. Using Polypropylene and Polytetrafluoroethylene Membranes in a Membrane Contactor for CO2 Absorption. J. Membr. Sci. 2006, 277, 99–107. [Google Scholar] [CrossRef]
- Bottino, A.; Capannelli, G.; Comite, A.; di Felice, R.; Firpo, R. CO2 Removal from a Gas Stream by Membrane Contactor. Sep. Purif. Technol. 2008, 59, 85–90. [Google Scholar] [CrossRef]
- Jeong, D.H.; Realff, M.J. Modular Monolith Adsorbent Systems for CO2 Capture and Its Parameterized Optimization. Chem. Eng. Res. Des. 2021, 176, 1–13. [Google Scholar] [CrossRef]
- Gabelman, A.; Hwang, S.T. Hollow Fiber Membrane Contactors. J. Membr. Sci. 1999, 159, 61–106. [Google Scholar] [CrossRef]
- Feron, P.H.M.; Jansen, A.E. CO2 Separation with Polyolefin Membrane Contactors and Dedicated Absorption Liquids: Performances and Prospects. Sep. Purif. Technol. 2002, 27, 231–242. [Google Scholar] [CrossRef]
- Cesari, L.; Castel, C.; Favre, E. Membrane Contactors for Intensified Gas-Liquid Absorption Processes with Physical Solvents: A Critical Parametric Study. J. Membr. Sci. 2021, 635, 119377. [Google Scholar] [CrossRef]
- Cormos, A.M.; Dragan, S.; Cormos, C.C. Integration of membrane technology for decarbonization of gasification power plants: A techno-economic and environmental investigation. Appl. Therm. Eng. 2022, 205, 118078. [Google Scholar] [CrossRef]
- Kim, S.; Scholes, C.A.; Heath, D.E.; Kentish, S.E. Gas-Liquid Membrane Contactors for Carbon Dioxide Separation: A Review. Chem. Eng. J. 2021, 411, 128468. [Google Scholar] [CrossRef]
- Nakhjiri, A.T.; Heydarinasab, A.; Bakhtiari, O.; Mohammadi, T. Experimental Investigation and Mathematical Modeling of CO2 Sequestration from CO2/CH4 Gaseous Mixture Using MEA and TEA Aqueous Absorbents through Polypropylene Hollow Fiber Membrane Contactor. J. Membr. Sci. 2018, 565, 1–13. [Google Scholar] [CrossRef]
- Abdolahi-Mansoorkhani, H.; Seddighi, S. CO2 capture by modified hollow fiber membrane contactor: Numerical study on membrane structure and membrane wettability. Fuel Process. Technol. 2022, 209, 106530. [Google Scholar] [CrossRef]
- Faiz, R.; Al-Marzouqi, M. Mathematical modeling for the simultaneous absorption of CO2 and H2S using MEA in hollow fiber membrane contactors. J. Membr. Sci. 2009, 342, 269–278. [Google Scholar] [CrossRef]
- Ghobadi, J.; Ramirez, D.; Jerman, R.; Crane, M.; Khoramfar, S. CO2 separation performance of different diameter polytetrafluoroethylene hollow fiber membranes using gas-liquid membrane contacting system. J. Membr. Sci. 2018, 549, 75–83. [Google Scholar] [CrossRef]
- Dindore, V.Y.; Brilman, D.W.F.; Versteeg, G.F. Modelling of cross-flow membrane contactors: Mass transfer with chemical reactions. J. Membr. Sci. 2005, 255, 275–289. [Google Scholar] [CrossRef]
- Cormos, A.M.; Gaspar, J. Assessment of Mass Transfer and Hydraulic Aspects of CO2 Absorption in Packed Columns. Int. J. Greenh. Gas Control 2012, 6, 201–209. [Google Scholar] [CrossRef]
- Ramachandran, N.; Aboudheir, A.; Idem, R.; Tontiwachwuthikul, P. Kinetics of the Absorption of CO2 into Mixed Aqueous Loaded Solutions of Monoethanolamine and Methyldiethanolamine. Ind. Eng. Chem. Res. 2006, 45, 2608–2616. [Google Scholar] [CrossRef]
- Ma, C.; Pietrucci, F.; Andreoni, W. Capture and Release of CO2 in Monoethanolamine Aqueous Solutions: New Insights from First-Principles Reaction Dynamics. J. Chem. Theory Comput. 2015, 11, 3189–3198. [Google Scholar] [CrossRef]
- Bozga, G.; Munteanu, O.; Woinarschy, A. Applications to Chemical Reactors Design; Technical: Bucharest, Romania, 1984; pp. 312–367. (In Romanian) [Google Scholar]
- Krupiczka, R.; Rotkegel, A.; Ziobrowski, Z. Comparative Study of CO2 Absorption in Packed Column Using Imidazolium Based Ionic Liquids and MEA Solution. Sep. Purif. Technol. 2015, 149, 228–236. [Google Scholar] [CrossRef]
- Nil, S.; Takeuchi, H.; Takahashi, K. Removal of CO2 by Gas Absorption across a Polymeric Membrane. J. Chem. Eng. Jpn. 1992, 25, 67–72. [Google Scholar] [CrossRef]
- Kumar, P.S.; Hogendoorn, J.A.; Feron, P.H.M.; Versteeg, G.F. Approximate Solution to Predict the Enhancement Factor for the Reactive Absorption of a Gas in a Liquid Flowing through a Microporous Membrane Hollow Fiber. J. Membr. Sci. 2003, 213, 231–245. [Google Scholar] [CrossRef]
- Bozonc, A.C.; Cormos, A.M. Modeling and simulation of CO2 capture using MEA in hollow fiber membrane contactors. In Proceedings of the 9th European Young Engineers Conference, Virtual, 19–21 April 2021; Warsaw University of Technology: Warsaw, Poland, 2021; pp. 111–115, ISBN 978-83-936575-9-9. [Google Scholar]
- Khaisri, S.; deMontigny, D.; Tontiwachwuthikul, P.; Jiraratananon, R. CO2 Stripping from Monoethanolamine Using a Membrane Contactor. J. Membr. Sci. 2011, 376, 110–118. [Google Scholar] [CrossRef]
- Yang, M.-C.; Cussler, E.L. Designing Hollow-Fiber Contactors. AIChE J. 1986, 32, 1910–1916. [Google Scholar] [CrossRef]
- Qi, Z.; Cussler, E.L. Microporous Hollow Fibers for Gas Absorption: II. Mass Transfer across the Membrane. J. Membr. Sci. 1985, 23, 333–345. [Google Scholar] [CrossRef]
- Mavroudi, M.; Kaldis, S.P.; Sakellaropoulos, G.P. A Study of Mass Transfer Resistance in Membrane Gas–Liquid Contacting Processes. J. Membr. Sci. 2006, 272, 103–115. [Google Scholar] [CrossRef]
- Kreulen, H.; Smolders, C.A.; Versteeg, G.F.; van Swaaij, W.P.M. Determination of Mass Transfer Rates in Wetted and Non-Wetted Microporous Membranes. Chem. Eng. Sci. 1993, 48, 2093–2102. [Google Scholar] [CrossRef]
- Cormos, A.M.; Simon, A. Assessment of CO2 Capture by Calcium Looping (CaL) Process in a Flexible Power Plant Operation Scenario. Appl. Therm. Eng. 2015, 80, 319–327. [Google Scholar] [CrossRef]
















| Total mass balance | ||
| Liquid phase | (9) | |
| Gas phase | (10) | |
| Components’ mass balance | ||
| Liquid phase | (11) | |
| (12) | ||
| Gas phase | (13) | |
| Heat balance | ||
| Liquid phase | (14) | |
| Gas phase | (15) |
| Parameter (Unit) | Symbol | Value |
|---|---|---|
| Inner fiber diameter (m) | ||
| Outer fiber diameter (m) | ||
| Module inner diameter (m) | ||
| Module length (m) | ||
| Average pore diameter (μm) | ||
| Membrane porosity (–) | ||
| Voidage (–) | ||
| Tortuosity (–) | ||
| Number of fibers (–) | ||
| Membrane thickness (m) |
| Parameter (Unit) | Symbol | Value |
|---|---|---|
| Pressure (bar) | ||
| Temperature (K) | ||
| Liquid flow rate (L ‧ h−1) | ||
| Gas flow rate (L ‧ min−1) | ||
| Gas composition (—) | ||
| CO2 | ||
| CH4 | ||
| MEA concentration (wt%) |
Publisher’s Note: MDPI stays neutral with regard to jurisdictional claims in published maps and institutional affiliations. |
© 2022 by the authors. Licensee MDPI, Basel, Switzerland. This article is an open access article distributed under the terms and conditions of the Creative Commons Attribution (CC BY) license (https://creativecommons.org/licenses/by/4.0/).
Share and Cite
Bozonc, A.-C.; Cormos, A.-M.; Dragan, S.; Dinca, C.; Cormos, C.-C. Dynamic Modeling of CO2 Absorption Process Using Hollow-Fiber Membrane Contactor in MEA Solution. Energies 2022, 15, 7241. https://doi.org/10.3390/en15197241
Bozonc A-C, Cormos A-M, Dragan S, Dinca C, Cormos C-C. Dynamic Modeling of CO2 Absorption Process Using Hollow-Fiber Membrane Contactor in MEA Solution. Energies. 2022; 15(19):7241. https://doi.org/10.3390/en15197241
Chicago/Turabian StyleBozonc, Alexandru-Constantin, Ana-Maria Cormos, Simion Dragan, Cristian Dinca, and Calin-Cristian Cormos. 2022. "Dynamic Modeling of CO2 Absorption Process Using Hollow-Fiber Membrane Contactor in MEA Solution" Energies 15, no. 19: 7241. https://doi.org/10.3390/en15197241
APA StyleBozonc, A.-C., Cormos, A.-M., Dragan, S., Dinca, C., & Cormos, C.-C. (2022). Dynamic Modeling of CO2 Absorption Process Using Hollow-Fiber Membrane Contactor in MEA Solution. Energies, 15(19), 7241. https://doi.org/10.3390/en15197241

