Research on Value-Seeking Calculation Method of Icing Environmental Parameters Based on Four Rotating Cylinders Array
Abstract
1. Introduction
2. The Cylindrical Icing Growth Model
2.1. The Collision Characteristics of Water Droplets on the Cylinder Conductors
2.2. The Freezing Characteristics of Water Droplets on the Cylinder Conductors
2.3. Equation of Relationship between Icing and Environmental Parameters
3. Value Seeking Method
4. Laboratory Test Verification
4.1. Test Equipment
4.2. Test Method
4.3. Analysis of Test Results
5. Field Natural Experiment Verification
5.1. Test Method
5.2. Test Equipment
5.3. Experimental Results and Analysis
6. Conclusions
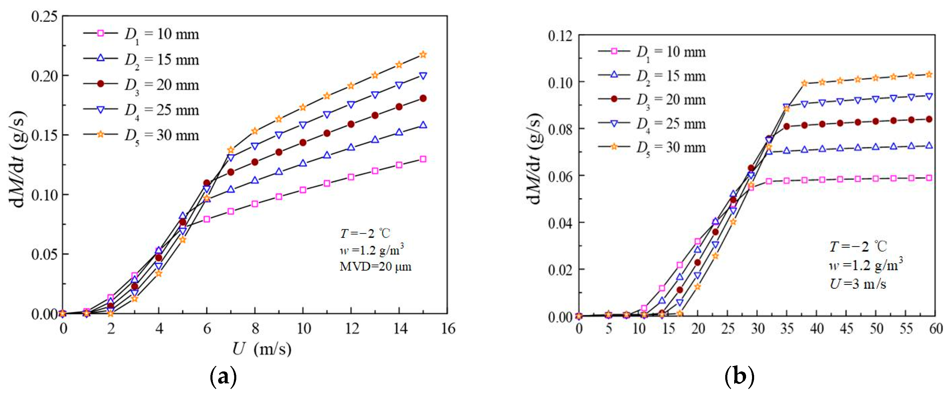
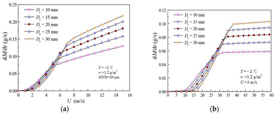
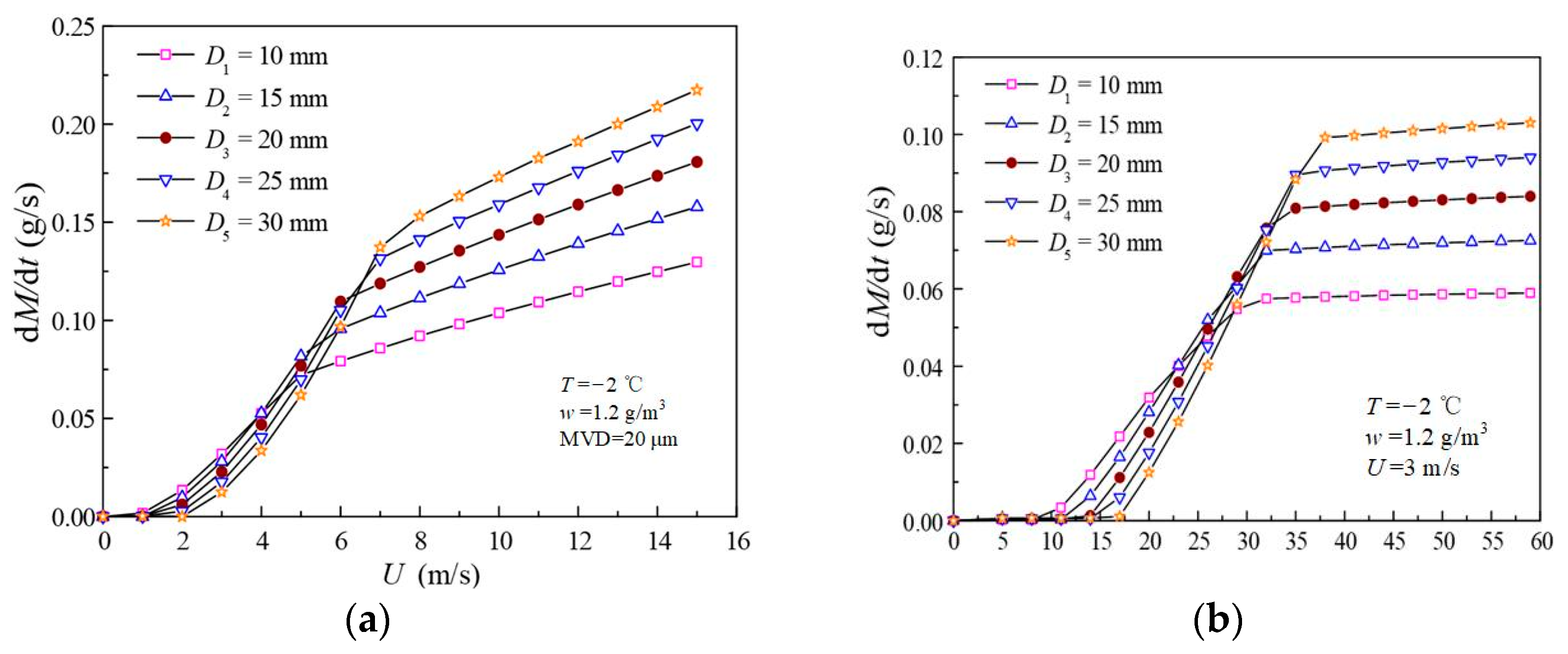
- Because of the difference in droplet collision efficiency, the icing velocity of the rotating cylinder conductor with a small diameter is higher than that of the conductor with a large diameter when the wind speed is low and the liquid water content in the air is small. When the wind speed is fast and the liquid water content in the air is high, the icing velocity of a large-diameter cylindrical conductor is higher because of the advantage of surface area.
- The four rotating cylinders array realizes the automatic data acquisition of icing weight, solves the shortcomings of high error and discontinuity of manual measurement, and provides the possibility for real-time monitoring of icing parameters under natural conditions.
- According to the relationship between the icing increment of the rotating cylinder and the icing environment parameters, the value-seeking calculation method of icing environmental parameters is proposed.
- Under laboratory icing and natural icing conditions, the environmental parameters change in real-time, and the icing velocity of the distributed rotating multicylinder conductors can change sensitively with the change of environmental parameters. In the laboratory test, the prediction errors of the four environmental parameters (wind speed, ambient temperature, liquid water content, median volume diameter) were less than 8%. In the field natural test, the icing weight average error between the numerical calculation results and the control insulator is less than 9%. The results show that it is feasible and accurate to use the value-seeking method to measure the icing environmental parameters, which is conducive to the ice disaster prediction and prevention of the power grid.
Author Contributions
Funding
Data Availability Statement
Conflicts of Interest
References
- Zhao, N.; Yu, X.; Hou, K.; Liu, X.; Mu, Y.; Jia, H.; Wang, H.; Wang, H. Full-time scale resilience enhancement framework for power transmission system under ice disasters. Int. J. Electr. Power Energy Syst. 2021, 126, 106609. [Google Scholar] [CrossRef]
- Jabbari, M.; Volat, C.; Fofana, I. Numerical modelling of ice-covered insulator flashover: The influence of arc velocity and arc propagation criteria. Energies 2018, 11, 2807. [Google Scholar] [CrossRef]
- Lu, J.; Guo, J.; Jian, Z.; Yang, Y.; Tang, W. Resilience assessment and its enhancement in tackling adverse impact of ice disasters for power transmission systems. Energies 2018, 11, 2272. [Google Scholar] [CrossRef]
- Zhu, Y.; Zhou, R.; Zhang, Y.; Dong, X.; Huang, X. Review on flashover risk prediction method of iced insulator based on icing monitoring technology. Cold Reg. Sci. Technol. 2021, 185, 103252. [Google Scholar] [CrossRef]
- Luo, D.; Mao, W.X.; Sun, H.F. Risk assessment and analysis of ice disaster in Ning-Meng reach of Yellow River based on a two-phased intelligent model under grey information environment. Nat. Hazards 2017, 88, 591–610. [Google Scholar] [CrossRef]
- Lu, J.; Xie, P.; Jiang, Z.; Fang, Z.; Wu, W. Voltage distribution and flashover performance of 220 kV composite insulators under different icing conditions. Energies 2018, 11, 632. [Google Scholar] [CrossRef]
- Han, X.B.; Jiang, X.L. Effect of DC electric field on water droplets’ movement and icing process on insulator. Cold Reg. Sci. Technol. 2019, 164, 102780. [Google Scholar] [CrossRef]
- Huang, W.; Hu, B.; Shahidehpour, M.; Sun, Y.; Sun, Q.; Yan, M.; Shao, C.; Xie, K. Preventive scheduling for reducing the impact of glaze icing on transmission lines. IEEE Trans. Power Syst. 2022, 37, 1297–1310. [Google Scholar] [CrossRef]
- Dong, B.B.; Jiang, X.L.; Xiang, Z. Calculation model and experimental verification of equivalent ice thickness on overhead lines with tangent tower considering ice and wind loads. Cold Reg. Sci. Technol. 2022, 200, 103588. [Google Scholar] [CrossRef]
- Dong, B.; Zhang, Z.; Xiang, N.; Gao, C.; Song, J.; Gu, Y. Studying ac flashover performance of suspension insulators under natural cold fog and wet deposition conditions. IEEE Access 2020, 8, 224588–224595. [Google Scholar] [CrossRef]
- Hu, Q.; Shu, L.; Jiang, X.; Sun, C.; Zhang, Z.; Hu, J. Effects of shed configuration on ac flashover performance of ice-covered composite long-rod insulators. IEEE Trans. Dielectr. Electr. Insul. 2012, 19, 200–208. [Google Scholar]
- Cherney, E.A. Flashover performance of artificially contaminated and iced long-rod transmission-line insulators. IEEE Trans. Power Appar. Syst. 1980, 99, 46–52. [Google Scholar] [CrossRef]
- Charneski, M.D.; Gaibrois, G.L.; Whitney, B.F. Flashover tests of artificially iced insulators. IEEE Trans. Power Appar. Syst. 1982, 101, 2429–2433. [Google Scholar] [CrossRef]
- Zhang, Z.; Yang, S.; Jiang, X.; Qiao, X.; Xiang, Y.; Zhang, D. DC Flashover dynamic model of post insulator under non-uniform pollution between Windward and Leeward sides. Energies 2019, 12, 2345. [Google Scholar] [CrossRef]
- Ibrahim, M.E.; Abd-Elhady, A.M.; Sabiha, N.A.; Izzularab, M.A. Dynamic flashover model considering pollution layer resistance variation for fixed washed high voltage insulators. IEEE Trans. Dielectr. Electr. Insul. 2017, 24, 2960–2967. [Google Scholar] [CrossRef]
- Yang, Z.; Jiang, X.; Huang, Y.; Hu, J.; Han, X. Influence of electric field on the ice-coating process of insulators with a different dielectric surface. IET Sci. Meas. Technol. 2020, 14, 585–592. [Google Scholar] [CrossRef]
- Zong, C.; Hu, Y.; Jiang, X.; Xian, R.; Liu, Z.; Sun, J. AC flashover characteristics and arc development process of glaze ice-covered insulators in natural environment. Int. J. Electr. Power Energy Syst. 2022, 135, 107559. [Google Scholar] [CrossRef]
- Makkonen, L. Models for the growth of rime, glaze, icicles and wet snow on structures. Philos. Trans. Math. Phys. Eng. Sci. 2000, 1776, 2913–2939. [Google Scholar] [CrossRef]
- Finstad, K.J.; Lozowski, E.P.; Gates, E.M. A computational investigation of water droplet trajectories. J. Atmos. Ocean. Technol. 1988, 1, 160–170. [Google Scholar] [CrossRef]
- Fu, P.; Farzaneh, M.; Bouchard, G. Two-dimensional modelling of the ice accretion process on transmission line wires and conductors. Cold Reg. Sci. Technol. 2006, 2, 132–146. [Google Scholar] [CrossRef]
- Sommerwerk, H.; Luplow, T.; Horst, P. Numerical simulation and validation of electro-impulse de-icing on a leading edge structure. Theor. Appl. Fract. Mech. 2020, 105, 102392. [Google Scholar] [CrossRef]
- Makkonen, L.; Zhang, J.; Karlsson, T.; Tiihonen, M. Modelling the growth of large rime ice accretions. Cold Reg. Sci. Technol. 2018, 151, 133–137. [Google Scholar] [CrossRef]
- Pedersen, M.C.; Sorensen, H.; Swytink-Binnema, N.; Condra, T. Computational fluid dynamics analysis and field measurements on ice accretion on a cup anemometer support arm. Appl. Therm. Eng. 2018, 135, 530–536. [Google Scholar] [CrossRef]
- Jin, J.Y.; Virk, M.S.; Hu, Q.; Jiang, X. Study of ice accretion on horizontal axis wind turbine blade using 2D and 3D numerical approach. IEEE Access 2020, 8, 166236–166245. [Google Scholar] [CrossRef]
- Han, X.; Jiang, X.; Yang, Z.; Bi, C. A predictive model for dry-growth icing on composite insulators under natural conditions. Energies 2018, 11, 1339. [Google Scholar] [CrossRef]
- Hu, Y.; Jiang, X.; Yang, Z.; Han, X. Influence of crystallization effect during icing water phase transition on the flashover characteristics of ice-covered insulators. IEEE Access 2020, 8, 176521–176529. [Google Scholar] [CrossRef]
- Pinsky, M.; Khain, A.; Korolev, A. Theoretical analysis of liquid-ice interaction in the unsaturated environment with application to the problem of homogeneous mixing. J. Atmos. Sci. 2018, 75, 1045–1062. [Google Scholar] [CrossRef]
- Farzaneh, M.; Savadjiev, K. Statistical analysis of field data for precipitation icing accretion on overhead power lines. IEEE Trans. Power Deliv. 2005, 20, 1080–1087. [Google Scholar] [CrossRef]
- Jiang, X.; Han, X.; Hu, Y.; Yang, Z. Model for ice wet growth on composite insulator and its experimental validation. IET Gener. Transm. Distrib. 2018, 12, 556–563. [Google Scholar] [CrossRef]
- Jiang, X.; Xiang, Z.; Zhnag, Z.; Hu, J.; Hu, Q.; Shu, L. Predictive Model for Equivalent Ice Thickness Load on Overhead Transmission Lines Based on Measured Insulator String Deviations. IEEE Trans. Power Deliv. 2014, 29, 1659–1665. [Google Scholar] [CrossRef]
- Jones, K.F. The density of natural ice accretions related to nondimensional icing parameters. Q. J. R. Meteorol. Soc. 1990, 116, 477–496. [Google Scholar] [CrossRef]
- Han, Y.Q.; Palacios, J. Surface roughness and heat transfer improved predictions for aircraft ice-accretion modeling. AIAA J. 2017, 55, 1318–1331. [Google Scholar] [CrossRef]
- P1783/D2.1; IEEE Draft Guide for Test Methods and Procedures to Evaluate the Electrical Performance of Insulators in Freezing Conditions. Institute of Electrical and Electronics Engineers: Piscataway, NY, USA, 2008.
- Versaci, M.; Calcagno, S.; Cacciola, M.; Morabito, F.; Palamara, I.; Pellicanò, D. Innovative Fuzzy Techniques for Characterizing Defects in Ultrasonic Nondestructive Evaluation. In Ultrasonic Nondestructive Evaluation Systems; Burrascano, P., Callegari, S., Montisci, A., Ricci, M., Versaci, M., Eds.; Springer: Cham, Switzerland, 2015. [Google Scholar]



















Publisher’s Note: MDPI stays neutral with regard to jurisdictional claims in published maps and institutional affiliations. |
© 2022 by the authors. Licensee MDPI, Basel, Switzerland. This article is an open access article distributed under the terms and conditions of the Creative Commons Attribution (CC BY) license (https://creativecommons.org/licenses/by/4.0/).
Share and Cite
Yang, G.; Liao, Y.; Jiang, X.; Han, X.; Ding, J.; Chen, Y.; Han, X.; Zhang, Z. Research on Value-Seeking Calculation Method of Icing Environmental Parameters Based on Four Rotating Cylinders Array. Energies 2022, 15, 7242. https://doi.org/10.3390/en15197242
Yang G, Liao Y, Jiang X, Han X, Ding J, Chen Y, Han X, Zhang Z. Research on Value-Seeking Calculation Method of Icing Environmental Parameters Based on Four Rotating Cylinders Array. Energies. 2022; 15(19):7242. https://doi.org/10.3390/en15197242
Chicago/Turabian StyleYang, Guolin, Yi Liao, Xingliang Jiang, Xiangshuai Han, Jiangyi Ding, Yu Chen, Xingbo Han, and Zhijin Zhang. 2022. "Research on Value-Seeking Calculation Method of Icing Environmental Parameters Based on Four Rotating Cylinders Array" Energies 15, no. 19: 7242. https://doi.org/10.3390/en15197242
APA StyleYang, G., Liao, Y., Jiang, X., Han, X., Ding, J., Chen, Y., Han, X., & Zhang, Z. (2022). Research on Value-Seeking Calculation Method of Icing Environmental Parameters Based on Four Rotating Cylinders Array. Energies, 15(19), 7242. https://doi.org/10.3390/en15197242

