Application of Straw and Biopreparations as a Sustainable Method for Increasing the Organic Carbon Content and Chemical, Physical, and Biological Soil Properties in Spring Barley Culture
Abstract
1. Introduction
2. Materials and Methods
2.1. Experiment Location
- R1—crop residues in the field during post-harvest cultivation and EM introduced into the soil during post-harvest cultivation in autumn at a dose of 40 dm3∙ha−1 (1 × EM).
- R2—crop residues left in the field during post-harvest cultivation and EM introduced into the soil during post-harvest cultivation in autumn at a dose of 20 dm3∙ha1 and EM applied on leaves at a dose of 20 dm3∙ha−1 at BBCH 20–22 (2 × EM),
- R3—crop residues left in the field during post-harvest cultivation without EM application and (0 × EM).
- R4—crop residues removed from the field during post-harvest cultivation and EM introduced into the soil during post-harvest cultivation in autumn at a dose of 40 dm3∙ha−1 (1 × EM).
- R5—crop residues removed from the field during post-harvest cultivation and EM introduced into the soil during post-harvest cultivation in autumn at a dose of 20 dm3∙ha−1 and EM applied on leaves at a dose of 20 dm3∙ha−1 at BBCH 20–22 (2 × EM).
- R6—crop residues removed from the field during post-harvest cultivation and without EM application (0 × EM).
- 7.
- A1—1 × A (biostimulant Asahi SL applied once on leaves at a dose of 1.0 dm3∙ha−1 at BBCH 20–22).
- 8.
- A2—2 × A (biostimulant Asahi SL applied twice on leaves in two doses of 0.5 dm3∙ha1 at BBCH 20-22 and BBCH 27–29).
- 9.
- A3—0 × A (without biostimulant Asahi SL application).
2.2. Soil Samples
2.3. Physical and Chemical Analyses
2.4. Microbiological Analysis
2.5. Data Analysis
3. Results
3.1. Bulk Density and Soil Penetration Resistance
3.2. Soil Organic Carbon and Total Nitrogen Content
3.3. Mineral Nitrogen Content
3.4. Soil pH, P, K, and Mg Content
3.5. Density of Microorganisms
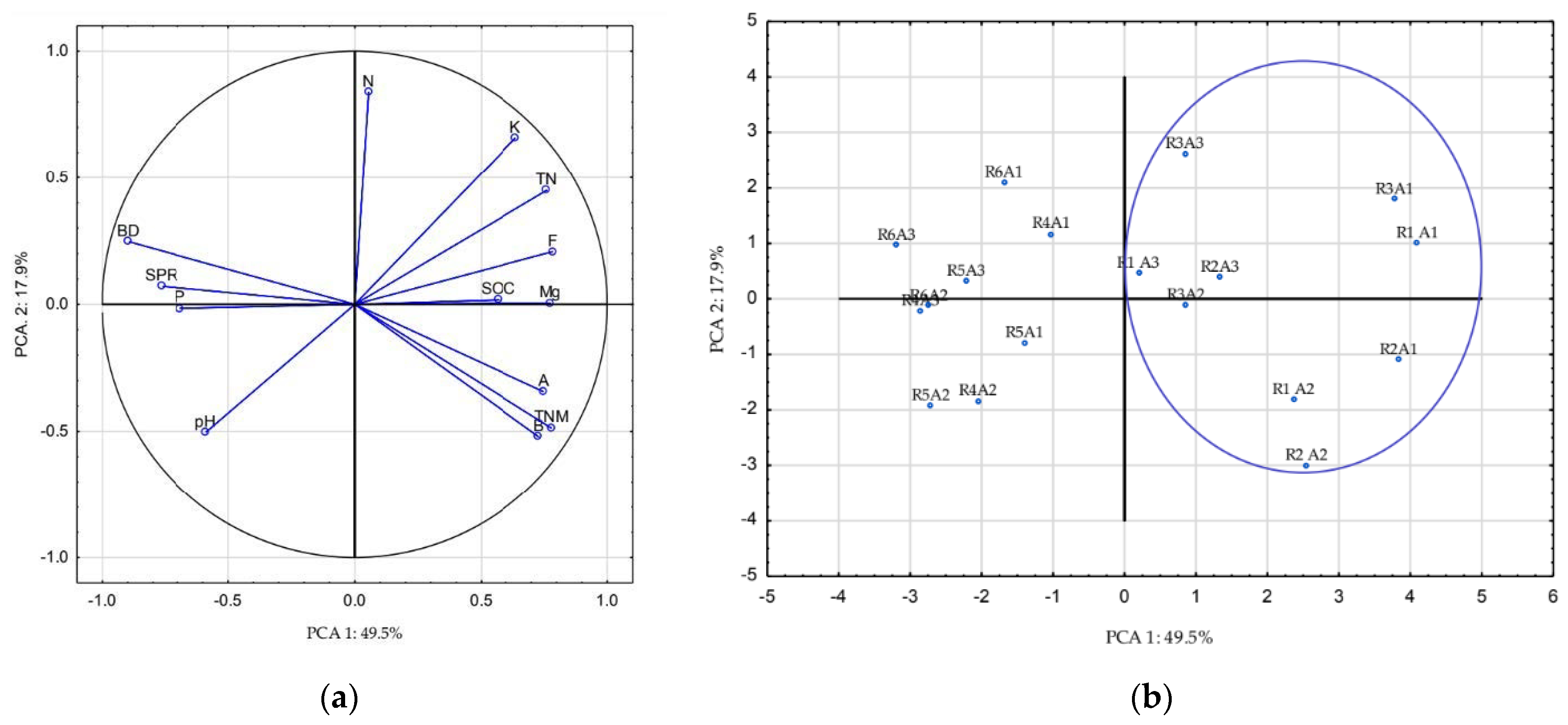
3.6. Principal Component Analysis—PCA
4. Discussion
5. Conclusions
Author Contributions
Funding
Institutional Review Board Statement
Informed Consent Statement
Data Availability Statement
Acknowledgments
Conflicts of Interest
References
- Borychowski, M.; Grzelak, A.; Popławski, Ł. What Drives Low-Carbon Agriculture? The Experience of Farms from the Wielkopolska Region in Poland. Environ. Sci. Pollut. Res. 2022, 29, 18641–18652. [Google Scholar] [CrossRef] [PubMed]
- UNFCCC. Adoption of the Paris Agreement, Proposal by the President Draft Decision-/CP.21; UNFCCC: Paris, France, 2015. [Google Scholar]
- Han, M.; Zhao, Q.; Li, W.; Ciais, P.; Wang, Y.-P.; Goll, D.S.; Zhu, L.; Zhao, Z.; Wang, J.; Wei, Y.; et al. Global Soil Organic Carbon Changes and Economic Revenues with Biochar Application. GCB Bioenergy 2022, 14, 364–377. [Google Scholar] [CrossRef]
- Ray, R.L.; Griffin, R.W.; Fares, A.; Elhassan, A.; Awal, R.; Woldesenbet, S.; Risch, E. Soil CO2 Emission in Response to Organic Amendments, Temperature, and Rainfall. Sci. Rep. 2020, 10, 5849. [Google Scholar] [CrossRef]
- Blanco-Canqui, H.; Lal, R. Soil Structure and Organic Carbon Relationships Following 10 Years of Wheat Straw Management in No-Till. Soil Tillage Res. 2007, 95, 240–254. [Google Scholar] [CrossRef]
- Zhang, P.; Wei, T.; Li, Y.; Wang, K.; Jia, Z.; Han, Q.; Ren, X. Effects of Straw Incorporation on the Stratification of the Soil Organic C, Total N and C:N Ratio in a Semiarid Region of China. Soil Tillage Res. 2015, 153, 28–35. [Google Scholar] [CrossRef]
- Monforti, F.; Lugato, E.; Motola, V.; Bódis, K.; Scarlat, N.; Dallemand, J. Optimal Energy Use of Agricultural Crop Residues Preserving Soil Organic Carbon Stocks in Europe. Renew. Sustain. Energy Rev. 2015, 44, 519–529. [Google Scholar] [CrossRef]
- Jensen, J.L.; Thomsen, I.K.; Eriksen, J.; Christensen, B.T. Spring Barley Grown for Decades with Straw Incorporation and Cover Crops: Effects on Crop Yields and N Uptake. Field Crops Res. 2021, 270, 108228. [Google Scholar] [CrossRef]
- Lamparski, R.; Kotwica, K.; Modnicki, D.; Balcerek, M.; Koim-Puchowska, B. The Effect of Pro-Ecological Procedures and Plant Injury on the Content of Free Phenolic Acids in Winter Wheat and on the Feeding and Development of Oulema Melanopus. Arthropod-Plant Interact. 2021, 15, 937–947. [Google Scholar] [CrossRef]
- Iriti, M.; Scarafoni, A.; Pierce, S.; Castorina, G.; Vitalini, S. Soil Application of Effective Microorganisms (EM) Maintains Leaf Photosynthetic Efficiency, Increases Seed Yield and Quality Traits of Bean (Phaseolus vulgaris L.) Plants Grown on Different Substrates. IJMS 2019, 20, 2327. [Google Scholar] [CrossRef]
- Sawicka, B.; Pszczółkowski, P.; Kiełtyka-Dadasiewicz, A.; Barbaś, P.; Ćwintal, M.; Krochmal-Marczak, B. The Effect of Effective Microorganisms on the Quality of Potato Chips and French Fries. Appl. Sci. 2021, 11, 1415. [Google Scholar] [CrossRef]
- Belova, T.A.; Protasova, M.V. Technology of Effective Microorganisms for the Growth of Agricultural Plants of the Fabaceae Family. IOP Conf. Ser. Earth Environ. Sci. 2021, 845, 012050. [Google Scholar] [CrossRef]
- Shin, K.; van Diepen, G.; Blok, W.; van Bruggen, A.H.C. Variability of Effective Micro-Organisms (EM) in Bokashi and Soil and Effects on Soil-Borne Plant Pathogens. Crop Prot. 2017, 99, 168–176. [Google Scholar] [CrossRef]
- Schenck zu Schweinsberg-Mickan, M.; Müller, T. Impact of Effective Microorganisms and Other Biofertilizers on Soil Microbial Characteristics, Organic-matter Decomposition, and Plant Growth. Z. Pflanzenernähr. Bodenk. 2009, 172, 704–712. [Google Scholar] [CrossRef]
- Mayer, J.; Scheid, S.; Widmer, F.; Fliessbach, A.; Oberholzer, H.-R. How Effective Are “Effective Microorganisms (R) (EM)”? Results from a Field Study in Temperate Climate. Appl. Soil Ecol. 2010, 46, 230–239. [Google Scholar] [CrossRef]
- Javaid, A.; Bajwa, R. Field Evaluation of Effective Microorganisms (EM) Application for Growth, Nodulation, and Nutrition of Mung Bean. Turk. J. Agric. For. 2011, 35, 443–452. [Google Scholar] [CrossRef]
- FAO IUSS Working Group WRB. World References Base for Soil Resources; FAO: Rome, Italy, 2015; p. 132. [Google Scholar]
- United States Department of Agriculture. Soil Mechanics Level I Module 3 USDA Soil Textural Classification Study Guide; United States Department of Agriculture: Washington, DC, USA, 1987.
- Lamparski, R. Entomologiczne i Biochemiczne Skutki Stosowania Proekologicznych Zabiegów Agrotechnicznych w Jeczmieniu Jarym; Wydawnictwa Uczelniane Uniwersytetu Technologiczno-Przyrodniczego: Bydgoszcz, Poland, 2016; ISBN 978-83-65603-03-6. [Google Scholar]
- Hao, X.; Ball, B.; Culley, J.; Carter, M.; Parkin, G. Soil Density and Porosity. In Soil Sampling and Methods of Analysis; Carter, M., Gregorich, E., Carter, M., Gregorich, E., Eds.; Canadian Society of Soil Science: Boca Raton, FL, USA, 2008; pp. 743–759. [Google Scholar]
- Nugis, E.; LÜÜS, L.; Kuht, J. Results of Express-Diagnostics Evaluation of Soil Basing on Penetration Resistance Measuring. Ann. Wars. Univ. Life Sci.—SGGW Agric. 2014, 64, 15–24. [Google Scholar]
- PN-ISO 10390; Chemical and Agricultural Analysis—Determining Soil pH. Polish Standards Committee: Warsaw, Poland, 1997.
- PN-R-04022; Chemical and Agricultural Analysis—Determination of the Content Available Potassium in Mineral Soils. Polish Standards Committee: Warsaw, Poland, 1996.
- PN-R-04023; Chemical and Agricultural Analysis—Determination of the Content of Available Phosphorus in Mineral Soils. Polish Standards Committee: Warszawa, Poland, 1996.
- PN-R-04020; Chemical and Agricultural Analysis. Determination of the Content Available Magnesium. Polish Standards Committee: Warsaw, Poland, 1994.
- Kotwica, K.; Breza-Boruta, B.; Bauza-Kaszewska, J.; Kanarek, P.; Jaskulska, I.; Jaskulski, D. The Cumulative Effect of Various Tillage Systems and Stubble Management on the Biological and Chemical Properties of Soil in Winter Wheat Monoculture. Agronomy 2021, 11, 1726. [Google Scholar] [CrossRef]
- Atlas, R.M. Handbook of Microbiological Media; CRC Press: Boca Raton, FL, USA, 2010; ISBN 978-0-429-13049-6. [Google Scholar]
- Crawford, D.L.; Lynch, J.M.; Whipps, J.M.; Ousley, M.A. Isolation and Characterization of Actinomycete Antagonists of a Fungal Root Pathogen. Appl. Environ. Microbiol. 1993, 59, 3899–3905. [Google Scholar] [CrossRef]
- TIBCO® Data Science. Available online: https://www.tibco.com/products/data-science (accessed on 18 July 2022).
- Pagliai, M.; Vignozzi, N.; Pellegrini, S. Soil Structure, and the Effect of Management Practices. Soil Tillage Res. 2004, 79, 131–143. [Google Scholar] [CrossRef]
- Schlesinger, W.H.; Amundson, R. Managing for Soil Carbon Sequestration: Let’s Get Realistic. Glob. Chang. Biol. 2019, 25, 386–389. [Google Scholar] [CrossRef]
- Panasiewicz, K.; Faligowska, A.; Szymańska, G.; Szukała, J.; Ratajczak, K.; Sulewska, H. The Effect of Various Tillage Systems on Productivity of Narrow-Leaved Lupin-Winter Wheat-Winter Triticale-Winter Barley Rotation. Agronomy 2020, 10, 304. [Google Scholar] [CrossRef]
- Wang, Q.; Liu, X.; Li, J.; Yang, X.; Guo, Z. Straw Application and Soil Organic Carbon Change: A Meta-Analysis. Soil Water Res. 2021, 16, 112–120. [Google Scholar] [CrossRef]
- Zhao, X.; Liu, B.-Y.; Liu, S.-L.; Qi, J.-Y.; Wang, X.; Pu, C.; Li, S.-S.; Zhang, X.-Z.; Yang, X.-G.; Lal, R.; et al. Sustaining Crop Production in China’s Cropland by Crop Residue Retention: A Meta-Analysis. Land Degrad. Dev. 2020, 31, 694–709. [Google Scholar] [CrossRef]
- Gerke, J. The Central Role of Soil Organic Matter in Soil Fertility and Carbon Storage. Soil Syst. 2022, 6, 33. [Google Scholar] [CrossRef]
- Wang, X.; Jia, Z.; Liang, L.; Zhao, Y.; Yang, B.; Ding, R.; Wang, J.; Nie, J. Changes in Soil Characteristics and Maize Yield under Straw Returning System in Dryland Farming. Field Crops Res. 2018, 218, 11–17. [Google Scholar] [CrossRef]
- Powlson, D.S.; Bhogal, A.; Chambers, B.; Coleman, K.; Macdonald, A.; Goulding, K.; Whitmore, A. The Potential to Increase Soil Carbon Stocks through Reduced Tillage or Organic Material Additions in England and Wales: A Case Study. Agric. Ecosyst. Environ. 2012, 146, 23–33. [Google Scholar] [CrossRef]
- Li, J.; Li, H.; Zhang, Q.; Shao, H.; Gao, C.; Zhang, X. Effects of Fertilization and Straw Return Methods on the Soil Carbon Pool and CO2 Emission in a Reclaimed Mine Spoil in Shanxi Province, China. Soil Tillage Res. 2019, 195, 104361. [Google Scholar] [CrossRef]
- Breza-Boruta, B.; Kotwica, K.; Bauza-Kaszewska, J. Effect of Tillage System and Organic Matter Management Interactions on Soil Chemical Properties and Biological Activity in a Spring Wheat Short-Time Cultivation. Energies 2021, 14, 7451. [Google Scholar] [CrossRef]
- Akhtar, K.; Wang, W.; Ren, G.; Khan, A.; Feng, Y.; Yang, G. Changes in Soil Enzymes, Soil Properties, and Maize Crop Productivity under Wheat Straw Mulching in Guanzhong, China. Soil Tillage Res. 2018, 182, 94–102. [Google Scholar] [CrossRef]
- Wey, H.; Hunkeler, D.; Bischoff, W.-A.; Bünemann, E.K. Field-Scale Monitoring of Nitrate Leaching in Agriculture: Assessment of Three Methods. Environ. Monit. Assessment 2022, 194, 4. [Google Scholar] [CrossRef]
- Haberle, J.; Kusá, H.; Svoboda, P.; Klír, J. The Changes of Soil Mineral Nitrogen Observed on Farms between Autumn and Spring and Modelled with a Simple Leaching Equation. Soil Water Res. 2009, 4, 159–167. [Google Scholar] [CrossRef]
- Arlauskienė, A.; Cesevičienė, J.; Velykis, A. Improving Mineral Nitrogen Control by Combining Catch Crops, Fertilisation, and Straw Management in a Clay Loam Soil. Acta Agric. Scand. Sect. B—Soil Plant Sci. 2019, 69, 422–431. [Google Scholar] [CrossRef]
- Jacoby, R.; Peukert, M.; Succurro, A.; Koprivova, A.; Kopriva, S. The Role of Soil Microorganisms in Plant Mineral Nutrition—Current Knowledge and Future Directions. Front. Plant Sci. 2017, 8, 1617. [Google Scholar] [CrossRef]
- Sharma, S.; Singh, P.; Kumar, S. Responses of Soil Carbon Pools, Enzymatic Activity, and Crop Yields to Nitrogen and Straw Incorporation in a Rice-Wheat Cropping System in North-Western India. Front. Sustain. Food Syst. 2020, 4, 532704. [Google Scholar] [CrossRef]
- Coonan, E.C.; Kirkby, C.A.; Kirkegaard, J.A.; Amidy, M.R.; Strong, C.L.; Richardson, A.E. Microorganisms and Nutrient Stoichiometry as Mediators of Soil Organic Matter Dynamics. Nutr. Cycl. Agroecosyst. 2020, 117, 273–298. [Google Scholar] [CrossRef]
- Megali, L.; Glauser, G.; Rasmann, S. Fertilization with Beneficial Microorganisms Decreases Tomato Defenses against Insect Pests. Agron. Sustain. Dev. 2014, 34, 649–656. [Google Scholar] [CrossRef]
- Górski, R.; Kleiber, T.; Sobieralski, K. The influence of effective microorganisms application on the chemical composition in lettuce grown under cover. Ecol. Chem. Eng. A 2017, 24, 113–121. [Google Scholar] [CrossRef]
- Feitosa de Vasconcelos, A.C.; Garófalo Chaves, L.H. Biostimulants and Their Role in Improving Plant Growth under Abiotic Stresses. In Biostimulants in Plant Science; Mahyar Mirmajlessi, S., Radhakrishnan, R., Eds.; IntechOpen: London, UK, 2020; ISBN 978-1-83880-161-8. [Google Scholar]
- Soltaniband, V. Effects of Biostimulants on Soil Microbiota, Plant Development, Crop Productivity and Fruit Quality of Protected Strawberries; Université Laval: Québec, QC, USA, 2020. [Google Scholar]
- Lephatsi, M.M.; Meyer, V.; Piater, L.A.; Dubery, I.A.; Tugizimana, F. Plant Responses to Abiotic Stresses and Rhizobacterial Biostimulants: Metabolomics and Epigenetics Perspectives. Metabolites 2021, 11, 457. [Google Scholar] [CrossRef]
- Ricci, M.; Tilbury, L.; Daridon, B.; Sukalac, K. General Principles to Justify Plant Biostimulant Claims. Front. Plant Sci. 2019, 10, 494. [Google Scholar] [CrossRef] [PubMed]
- Cóndor_Golec, A.F.; González Pérez, P.; Lokare, C. Microorganismos Efi Caces: Mito o Realidad? Rev. Peru. Biol. 2013, 14, 315–319. [Google Scholar] [CrossRef]
- van Vliet, P.C.J.; Bloem, J.; de Goede, R.G.M. Microbial Diversity, Nitrogen Loss and Grass Production after Addition of Effective Micro-Organisms® (EM) to Slurry Manure. Appl. Soil Ecol. 2006, 32, 188–198. [Google Scholar] [CrossRef]






| Crop Residues (Factor R) | Application of Asahi (Factor A) | Mean Content | ||||||
|---|---|---|---|---|---|---|---|---|
| A1 (1 × Asahi) | Ic | A2 (2 × Asahi) | Ic | A3 (0 × Asahi) | Ic | |||
| Straw left | R1 (1 × EM) | 1.36 | 0.97 | 1.34 | 0.97 | 1.38 | 0.95 | 1.36 |
| R2 (2 × EM) | 1.36 | 0.97 | 1.35 | 0.98 | 1.41 | 1.00 | 1.37 | |
| R3 (0 × EM) | 1.36 | 1.02 | 1.40 | 0.99 | 1.41 | 0.99 | 1.39 | |
| Straw removed | R4 (1 × EM) | 1.40 | 1.03 | 1.43 | 1.01 | 1.45 | 0.98 | 1.43 |
| R5 (2 × EM) | 1.41 | 1.00 | 1.42 | 1.02 | 1.42 | 1.03 | 1.42 | |
| R6 (0 × EM) | 1.44 | 1.02 | 1.45 | 1.04 | 1.45 | 1.02 | 1.45 | |
| Mean | 1.39 | 1.00 | 1.40 | 1.00 | 1.42 | 1.00 | ||
| LSD = 0.05 for: R = 0.044 A = n.s. A/R = n.s. R/A = n.s | ||||||||
| Crop Residues (Factor R) | Application of Asahi (factor A) | Mean Content | |||
|---|---|---|---|---|---|
| A1(1 × Asahi) | A2 (2 × Asahi) | A3 (0 × Asahi) | |||
| Straw left | R1 (1 × EM) | 1.36 | 1.30 | 1.29 | 1.32 |
| R2 (2 × EM) | 1.34 | 1.30 | 1.44 | 1.36 | |
| R3 (0 × EM) | 1.38 | 1.37 | 1.43 | 1.39 | |
| Straw removed | R4 (1 × EM) | 1.68 | 1.70 | 1.52 | 1.63 |
| R5 (2 × EM) | 1.67 | 1.71 | 1.55 | 1.64 | |
| R6 (0 × EM) | 1.76 | 1.75 | 1.49 | 1.67 | |
| Mean | 1.53 | 1.52 | 1.45 | ||
| LSD = 0.05 for: R = 0.140 A = 0.044 A/R = 0.112 R/A = 0.181 | |||||
| Crop Residues (R) | Application of Asahi (A) | Mean Content | |||||||
|---|---|---|---|---|---|---|---|---|---|
| A1 (1 × Asahi) | Ic | A2 (2 × Asahi) | Ic | A3 (0 × Asahi) | Ic | ||||
| SOC (g C kg−1) | Straw left | R1 (1 × EM) | 33.5 | 1.01 | 33.9 | 1.03 | 33.9 | 1.02 | 33.75 |
| R2 (2 × EM) | 36.8 | 1.02 | 34.6 | 1.01 | 35.0 | 1.03 | 35.47 | ||
| R3 (0 × EM) | 34.6 | 1.01 | 29.4 | 1.01 | 35.4 | 1.01 | 33.15 | ||
| Straw removed | R4 (1 × EM) | 32.2 | 0.98 | 33.9 | 0.97 | 33.9 | 0.98 | 33.33 | |
| R5 (2 × EM) | 35.4 | 0.96 | 28.9 | 0.96 | 31.9 | 0.95 | 32.07 | ||
| R6 (0 × EM) | 33.9 | 0.94 | 27.8 | 0.95 | 28.0 | 0.98 | 29.90 | ||
| Mean | 34.4 | 31.4 | 33.0 | ||||||
| LSD = 0.05 for: R = 0.1771 A = 1.006 A/R = 2.463 R/A = 3.068 | |||||||||
| TN (g N kg−1) | Straw left | R1 (1 × EM) | 2.03 | 1.04 | 1.52 | 1.06 | 1.62 | 1.04 | 1.72 |
| R2 (2 × EM) | 2.04 | 1.05 | 1.43 | 1.04 | 1.58 | 1.04 | 1.68 | ||
| R3 (0 × EM) | 2.04 | 1.02 | 1.36 | 1.04 | 1.88 | 1.03 | 1.76 | ||
| Straw removed | R4 (1 × EM) | 1.66 | 0.92 | 1.52 | 0.94 | 1.34 | 0.94 | 1.51 | |
| R5 (2 × EM) | 1.36 | 0.94 | 1.11 | 0.92 | 1.52 | 0.93 | 1.33 | ||
| R6 (0 × EM) | 1.59 | 0.91 | 1.31 | 0.89 | 1.26 | 0.91 | 1.39 | ||
| Mean | 1.79 | 1.38 | 1.53 | ||||||
| LSD = 0.05 for: R = 0.252 A = 1.143 A/R = 0.351 R/A = 0.437 | |||||||||
| Crop Residues (R) | Application of Asahi (A) | Mean Content | ||||
|---|---|---|---|---|---|---|
| A1 (1 × Asahi) | A2 (2 × Asahi) | A3 (0 × Asahi) | ||||
| N-NO3 and N-NH4 | autumn | |||||
| Straw left | R1 (1 × EM) | 24.7 | 22.6 | 23.7 | 23.7 | |
| R2 (2 × EM) | 25.2 | 23.1 | 22.6 | 23.6 | ||
| R3 (0 × EM) | 25.7 | 23.9 | 26.7 | 25.4 | ||
| Straw removed | R4 (1 × EM) | 26.3 | 23.4 | 23.6 | 24.4 | |
| R5 (2 × EM) | 27.1 | 25.5 | 26.6 | 26.4 | ||
| R6 (0 × EM) | 27.9 | 25.1 | 27.1 | 26.7 | ||
| Mean | 26.2 | 23.7 | 25.1 | |||
| LSD = 0.05 for: R = 2.52 A = n.s. A/R = n.s. R/A = n.s. | ||||||
| N-NO3 and N-NH4 | spring | |||||
| Straw left | R1 (1 × EM) | 18.9 | 18.2 | 18.5 | 18.5 | |
| R2 (2 × EM) | 16.5 | 16.5 | 19.0 | 17.3 | ||
| R3 (0 × EM) | 19.6 | 18.1 | 17.7 | 18.5 | ||
| Straw removed | R4 (1 × EM) | 17.0 | 17.2 | 16.4 | 16.9 | |
| R5 (2 × EM) | 15.9 | 16.0 | 16.5 | 16.1 | ||
| R6 (0 × EM) | 18.7 | 16.9 | 15.9 | 17.2 | ||
| Mean | 17.8 | 17.2 | 17.3 | |||
| LSD = 0.05 for: R = n.s. A = n.s. A/R = n.s. R/A = n.s. | ||||||
| Crop Residues (R) | Application of Asahi (A) | Mean Content | |||||||
|---|---|---|---|---|---|---|---|---|---|
| A1 (1 × Asahi) | Ic | A2 (2 × Asahi) | Ic | A3 (0 × Asahi) | Ic | ||||
| pH | Straw left | R1 (1 × EM) | 6.9 | 0.97 | 7.4 | 0.96 | 7.3 | 0.95 | 7.2 |
| R2 (2 × EM) | 7.3 | 0.98 | 7.4 | 0.99 | 7.0 | 0.97 | 7.2 | ||
| R3 (0 × EM) | 6.8 | 0.94 | 7.3 | 0.94 | 7.3 | 0.92 | 7.1 | ||
| Straw removed | R4 (1 × EM) | 7.1 | 0.98 | 7.5 | 0.97 | 7.4 | 0.97 | 7.3 | |
| R5 (2 × EM) | 7.6 | 1.00 | 7.4 | 0.99 | 7.4 | 0.99 | 7.4 | ||
| R6 (0 × EM) | 7.4 | 0.97 | 7.4 | 0.96 | 7.3 | 0.95 | 7.4 | ||
| Mean | 7.2 | 7.4 | 7.3 | ||||||
| P (mg·kg−1) | Straw left | R1 (1 × EM) | 114.8 | 0.98 | 117.6 | 0.96 | 127.0 | 0.98 | 119.8 |
| R2 (2 × EM) | 139.8 | 0.98 | 122.9 | 0.97 | 136.9 | 0.97 | 133.2 | ||
| R3 (0 × EM) | 111.0 | 0.94 | 110.2 | 0.93 | 134.1 | 0.95 | 118.4 | ||
| Straw removed | R4 (1 × EM) | 184.4 | 0.96 | 181.8 | 0.92 | 133.7 | 0.96 | 166.6 | |
| R5 (2 × EM) | 151.2 | 0.98 | 160.3 | 0.95 | 148.8 | 0.96 | 153.4 | ||
| R6 (0 × EM) | 162.5 | 0.88 | 149.4 | 0.86 | 157.8 | 0.94 | 156.6 | ||
| Mean | 143.9 | 140.4 | 140.0 | ||||||
| K (mg·kg−1) | Straw left | R1 (1 × EM) | 192.0 | 1.03 | 150.1 | 1.04 | 153.5 | 1.07 | 165.2 |
| R2 (2 × EM) | 183.5 | 1.03 | 144.8 | 1.04 | 171.7 | 1.06 | 166.7 | ||
| R3 (0 × EM) | 173.7 | 1.03 | 170.0 | 1.05 | 188.7 | 1.05 | 177.5 | ||
| Straw removed | R4 (1 × EM) | 169.3 | 0.83 | 119.6 | 0.82 | 138.9 | 0.83 | 142.6 | |
| R5 (2 × EM) | 152.0 | 0.84 | 126.6 | 0.87 | 146.5 | 0.78 | 141.7 | ||
| R6 (0 × EM) | 179.2 | 0.87 | 143.9 | 0.88 | 147.9 | 0.78 | 157.0 | ||
| Mean | 174.9 | 142.5 | 157.8 | ||||||
| Mg (mg·kg−1) | Straw left | R1 (1 × EM) | 32.9 | 0.91 | 32.8 | 0.91 | 22.4 | 0.88 | 32.9 |
| R2 (2 × EM) | 23.9 | 0.88 | 26.4 | 0.83 | 26.9 | 0.89 | 23.9 | ||
| R3 (0 × EM) | 30.6 | 0.88 | 26.5 | 0.83 | 27.3 | 0.91 | 30.6 | ||
| Straw removed | R4 (1 × EM) | 22.3 | 0.88 | 24.2 | 0.89 | 18.7 | 0.78 | 22.3 | |
| R5 (2 × EM) | 15.9 | 0.74 | 15.7 | 0.82 | 20.7 | 0.85 | 15.9 | ||
| R6 (0 × EM) | 15.3 | 0.79 | 25.5 | 0.83 | 16.5 | 0.79 | 15.3 | ||
| Mean | 23.5 | 25.2 | 22.1 | ||||||
| Crop Residues (R) | Application of Asahi (A) | |||||
|---|---|---|---|---|---|---|
| A1 (1 × Asahi) | A2 (2 × Asahi) | A3 (0 × Asahi) | Mean | |||
| Bacteria | Straw left | R1 (1 × EM) | 1.45 | 1.54 | 1.50 | 1.50 |
| R2 (2 × EM) | 1.53 | 1.57 | 1.64 | 1.58 | ||
| R3 (0 × EM) | 1.41 | 1.43 | 1.43 | 1.42 | ||
| Straw removed | R4 (1 × EM) | 1.10 | 1.18 | 1.08 | 1.12 | |
| R5 (2 × EM) | 1.18 | 1.17 | 1.21 | 1.19 | ||
| R6 (0 × EM) | 1.11 | 1.07 | 1.06 | 1.08 | ||
| Mean | 1.30 | 1.33 | 1.32 | |||
| Actinobacteria | Straw left | R1 (1 × EM) | 2.06 | 2.23 | 1.72 | 2.00 |
| R2 (2 × EM) | 2.84 | 2.88 | 2.02 | 2.58 | ||
| R3 (0 × EM) | 2.38 | 2.48 | 1.46 | 2.11 | ||
| Straw removed | R4 (1 × EM) | 1.06 | 0.96 | 1.02 | 1.01 | |
| R5 (2 × EM) | 1.13 | 1.08 | 1.10 | 1.10 | ||
| R6 (0 × EM) | 1.05 | 0.92 | 0.99 | 0.99 | ||
| Mean | 1.75 | 1.76 | 1.39 | |||
| Fungi | Straw left | R1 (1 × EM) | 1.17 | 1.27 | 1.49 | 1.31 |
| R2 (2 × EM) | 1.16 | 1.24 | 1.48 | 1.29 | ||
| R3 (0 × EM) | 1.33 | 1.44 | 1.69 | 1.49 | ||
| Straw removed | R4 (1 × EM) | 0.98 | 0.84 | 0.99 | 0.94 | |
| R5 (2 × EM) | 0.96 | 0.81 | 0.78 | 0.85 | ||
| R6 (0 × EM) | 0.97 | 0.92 | 1.17 | 1.02 | ||
| Mean | 1.10 | 1.09 | 1.27 | |||
| Total number of microorganisms | Straw left | R1 (1 × EM) | 1.41 | 1.54 | 1.29 | 1.41 |
| R2 (2 × EM) | 1.52 | 1.63 | 1.48 | 1.54 | ||
| R3 (0 × EM) | 1.46 | 1.45 | 1.28 | 1.40 | ||
| Straw removed | R4 (1 × EM) | 1.16 | 1.13 | 1.02 | 1.10 | |
| R5 (2 × EM) | 1.17 | 1.18 | 1.09 | 1.15 | ||
| R6 (0 × EM) | 1.07 | 1.03 | 0.97 | 1.02 | ||
| Mean | 1.30 | 1.33 | 1.19 | |||
Publisher’s Note: MDPI stays neutral with regard to jurisdictional claims in published maps and institutional affiliations. |
© 2022 by the authors. Licensee MDPI, Basel, Switzerland. This article is an open access article distributed under the terms and conditions of the Creative Commons Attribution (CC BY) license (https://creativecommons.org/licenses/by/4.0/).
Share and Cite
Kanarek, P.; Breza-Boruta, B.; Bauza-Kaszewska, J.; Lamparski, R. Application of Straw and Biopreparations as a Sustainable Method for Increasing the Organic Carbon Content and Chemical, Physical, and Biological Soil Properties in Spring Barley Culture. Energies 2022, 15, 6903. https://doi.org/10.3390/en15196903
Kanarek P, Breza-Boruta B, Bauza-Kaszewska J, Lamparski R. Application of Straw and Biopreparations as a Sustainable Method for Increasing the Organic Carbon Content and Chemical, Physical, and Biological Soil Properties in Spring Barley Culture. Energies. 2022; 15(19):6903. https://doi.org/10.3390/en15196903
Chicago/Turabian StyleKanarek, Piotr, Barbara Breza-Boruta, Justyna Bauza-Kaszewska, and Robert Lamparski. 2022. "Application of Straw and Biopreparations as a Sustainable Method for Increasing the Organic Carbon Content and Chemical, Physical, and Biological Soil Properties in Spring Barley Culture" Energies 15, no. 19: 6903. https://doi.org/10.3390/en15196903
APA StyleKanarek, P., Breza-Boruta, B., Bauza-Kaszewska, J., & Lamparski, R. (2022). Application of Straw and Biopreparations as a Sustainable Method for Increasing the Organic Carbon Content and Chemical, Physical, and Biological Soil Properties in Spring Barley Culture. Energies, 15(19), 6903. https://doi.org/10.3390/en15196903

