Speed Range Extension of Dual-Stator PM Machine Using Multi-Mode Winding Switching Strategy
Abstract
:1. Introduction
2. Machine Topology and Winding Switching Principle
2.1. The Topology of the Investigated DS-PMM
2.2. The Winding Switching Circuits
2.3. Mathematical Model Analysis
3. The WS Strategy for Speed Range Extension
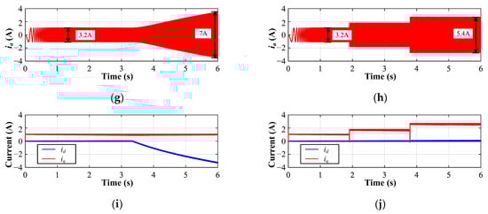
4. Experimental Validation
5. Comparisons and Discussions
6. Conclusions
Author Contributions
Funding
Institutional Review Board Statement
Informed Consent Statement
Data Availability Statement
Conflicts of Interest
References
- Parasiliti, F.; Villani, M.; Lucidi, S.; Rinaldi, F. Finite-Element-Based Multiobjective Design Optimization Procedure of Interior Permanent Magnet Synchronous Motors for Wide Constant-Power Region Operation. IEEE Trans. Ind. Electron. 2012, 59, 2503–2514. [Google Scholar] [CrossRef]
- Kwon, J.; Kwon, B. High-Efficiency Dual Output Stator-PM Machine for the Two-Mode Operation of Washing Machines. IEEE Trans. Energy Convers. 2018, 33, 2050–2059. [Google Scholar] [CrossRef]
- Yang, H.; Zhu, Z.Q.; Lin, H.; Chu, W. Flux Adjustable Permanent Magnet Machines: A Technology Status Review. Chin. J. Electr. Eng. 2016, 2, 14–30. [Google Scholar]
- Liu, Y.; Zhang, Z.; Zhang, X. Design and Optimization of Hybrid Excitation Synchronous Machines with Magnetic Shunting Rotor for Electric Vehicle Traction Applications. IEEE Trans. Ind. Appl. 2017, 53, 5252–5261. [Google Scholar] [CrossRef]
- Pothi, N.; Zhu, Z.Q.; Ren, Y. Comparison of Flux-Weakening Control Strategies of Novel Hybrid-Excited Doubly Salient Synchronous Machines. IEEE Trans. Ind. Appl. 2019, 55, 3589–3597. [Google Scholar] [CrossRef]
- Athavale, A.; Sasaki, K.; Gagas, B.S.; Kato, T.; Lorenz, R.D. Variable Flux Permanent Magnet Synchronous Machine (VF-PMSM) Design Methodologies to Meet Electric Vehicle Traction Requirements with Reduced Losses. IEEE Trans. Ind. Appl. 2017, 53, 4318–4326. [Google Scholar] [CrossRef]
- Lyu, S.; Yang, H.; Lin, H. Magnetization State Selection Method for Uncontrolled Generator Fault Prevention on Variable Flux Memory Machines. IEEE Trans. Power Electron. 2020, 35, 13270–13280. [Google Scholar] [CrossRef]
- Athavale, A.; Fukushige, T.; Kato, T.; Yu, C.Y.; Lorenz, R.D. Variable Leakage Flux IPMSMs for Reduced Losses over a Driving Cycle While Maintaining Suitable Attributes for High-Frequency Injection-Based Rotor Position Self-Sensing. IEEE Trans. Ind. Appl. 2016, 52, 234–241. [Google Scholar] [CrossRef]
- Liu, X.; Sun, T.; Zou, Y.; Huang, C.; Liang, J. Modelling and Analysis of a Novel Mechanical-Variable-Flux IPM Machine with Rotatable Magnetic Poles. IET Electr. Power Appl. 2020, 14, 2171–2178. [Google Scholar] [CrossRef]
- Huang, H.; Chang, L. Electrical Two-Speed Propulsion by Motor Winding Switching and Its Control Strategies for Electric Vehicles. IEEE Trans. Veh. Technol. 1999, 48, 607–618. [Google Scholar] [CrossRef]
- Swamy, M.M.; Kume, T.; Maemura, A.; Morimoto, S. Extended High-Speed Operation via Electronic Winding-Change Method for AC Motors. IEEE Trans. Ind. Appl. 2006, 42, 742–752. [Google Scholar] [CrossRef]
- Hao, L.; Namuduri, C.; Gopalakrishnan, S.; Freitas, C. Comparison of the Influence of PM Drive System with Voltage Adaptation or Machine Winding Reconfiguration on HEV/EV Applications. In Proceedings of the 2015 IEEE Energy Conversion Congress and Exposition (ECCE), Montreal, QC, Canada, 20–24 September 2015; pp. 6130–6138. [Google Scholar]
- Yang, H.; Lin, H.; Zhu, Z.Q.; Fang, S.; Huang, Y. A Winding-Switching Concept for Flux Weakening in Consequent Magnet Pole Switched Flux Memory Machine. In Proceedings of the IEEE Transactions on Magnetics, Beijing, China, 11–15 May 2015. [Google Scholar]
- Yu, J.; Liu, C.; Zhao, H. Design and Multi-Mode Operation of Double-Stator Toroidal-Winding PM Vernier Machine for Wind-Photovoltaic Hybrid Generation System. IEEE Trans. Magn. 2019, 55, 1–7. [Google Scholar] [CrossRef]
- Hijikata, H.; Sakai, Y.; Akatsu, K.; Miyama, Y.; Arita, H.; Daikoku, A. Wide Speed Range Operation by Low-Voltage Inverter-Fed MATRIX Motor for Automobile Traction Motor. IEEE Trans. Power Electron. 2018, 33, 6887–6896. [Google Scholar] [CrossRef]
- Atiq, S.; Lipo, T.A.; Kwon, B.I. Wide Speed Range Operation of Non-Salient PM Machines. IEEE Trans. Energy Convers. 2016, 31, 1179–1191. [Google Scholar] [CrossRef]
- Atiq, S.; Kwon, B. Susceptibility of the Winding Switching Technique for Flux Weakening to Harmonics and the Choice of a Suitable Drive Topology. Int. J. Electr. Power Energy Syst. 2017, 85, 22–31. [Google Scholar] [CrossRef]
- Arif, A.; Baloch, N.; Kwon, B. Winding Switching and Turn Switching in Permanent Magnet Vernier Machines for Wide Speed Range Operation and High Efficiency. IEEE Access 2019, 7, 55344–55357. [Google Scholar] [CrossRef]
- Sin, S.; Ayub, M.; Kwon, B. Operation Method of Non-Salient Permanent Magnet Synchronous Machine for Extended Speed Range. IEEE Access 2020, 8, 105922–105935. [Google Scholar] [CrossRef]
- Sin, S.; Ayub, M.; Kwon, B.-I. Investigation Study of Multi-Mode Multi-Speed Operation Method for Surface-Mounted Permanent Magnet Synchronous Machines. IEEE Access 2020, 8, 169470–169485. [Google Scholar] [CrossRef]
- Lyu, S.; Yang, H.; Lin, H.; Li, Y.; Zheng, H. Speed range extension of a Dual-Stator PM machine using winding switching strategy. In Proceedings of the 2019 IEEE International Electric Machines Drives Conference (IEMDC), San Deigo, CA, USA, 12–15 May 2019; pp. 91–96. [Google Scholar]
- Yang, H.; Lyu, S.; Zhu, Z.Q.; Lin, H.; Wang, S.; Fang, S.; Huang, Y. Novel Dual-Stator Machines with Biased Permanent Magnet Excitation. IEEE Trans. Energy Convers. 2018, 33, 2070–2080. [Google Scholar] [CrossRef] [Green Version]
















| Symbol | Quantity | Value |
|---|---|---|
| R1 | Phase resistance of the outer winding | 0.64 Ohm |
| R2 | Phase resistance of the inner winding | 0.55 Ohm |
| ψm1 | PM flux linkage of the outer winding | 0.009 Wb |
| ψm2 | PM flux linkage of the inner winding | 0.0129 Wb |
| N1 | Outer winding turns | 84 |
| N2 | Inner winding turns | 72 |
| WS Circuit | Mode | S1S2S3S4S5S6 | ψm (Wb) | (cα, cβ) |
|---|---|---|---|---|
| Type I | T1M1 | 000000 | 0.022 | (1, 1) |
| T1M2 | 000111 | 0.0129 | (1, 0) | |
| T1M3 | 111000 | 0.009 | (0, 1) | |
| Type II | T2M1 | 000111 | 0.022 | (1, 1) |
| T2M2 | 000000 (111111) | 0.0129 | (1, 0) | |
| T2M3 | 111000 | 0.0039 | (1, −1) |
Publisher’s Note: MDPI stays neutral with regard to jurisdictional claims in published maps and institutional affiliations. |
© 2022 by the authors. Licensee MDPI, Basel, Switzerland. This article is an open access article distributed under the terms and conditions of the Creative Commons Attribution (CC BY) license (https://creativecommons.org/licenses/by/4.0/).
Share and Cite
Lyu, S.; Yang, H.; Lin, H.; Zhan, H.; Liu, C. Speed Range Extension of Dual-Stator PM Machine Using Multi-Mode Winding Switching Strategy. Energies 2022, 15, 6561. https://doi.org/10.3390/en15186561
Lyu S, Yang H, Lin H, Zhan H, Liu C. Speed Range Extension of Dual-Stator PM Machine Using Multi-Mode Winding Switching Strategy. Energies. 2022; 15(18):6561. https://doi.org/10.3390/en15186561
Chicago/Turabian StyleLyu, Shukang, Hui Yang, Heyun Lin, Hanlin Zhan, and Chaohui Liu. 2022. "Speed Range Extension of Dual-Stator PM Machine Using Multi-Mode Winding Switching Strategy" Energies 15, no. 18: 6561. https://doi.org/10.3390/en15186561
APA StyleLyu, S., Yang, H., Lin, H., Zhan, H., & Liu, C. (2022). Speed Range Extension of Dual-Stator PM Machine Using Multi-Mode Winding Switching Strategy. Energies, 15(18), 6561. https://doi.org/10.3390/en15186561

