Alternative Simplified Analytical Models for the Electric Field, in Shoreline Pond Electrode Preliminary Design, in the Case of HVDC Transmission Systems
Abstract
:1. Introduction
- Simplified analytical method: Electric current is injected at points, and it is considered that space is divided into a soil hemisphere and the area of air [17] (pp. 118–119), thus solving the problem with a simple application of electric field and potential equations;
- Computational method: Numerical methods are applied for solving electric field problems in order to calculate ground potential rise, electrode resistance, etc. [17] (pp. 119–120). The input data are the configuration, the electrical resistivity of the conductors in the area, especially the resistivity of the ground, which is determined by geophysical methods, such as electrical resistivity tomography and magnetotelluric tomography [52,53], which are extremely time-consuming and costly.
2. Theoretical Background
2.1. Method “A”—Combination of Electric Field Distribution Methods by CIGRE B4.61 675:2017 and IEC TS 62344:2013
- Infinite shore level: Electrodes are usually placed in protected areas, such as a cave or a shore, and full exposure to the beach is not available. Moreover, the straight part of the coast is limited;
- Inclination: The actual inclination differs radially and axially;
- Uniform electrical resistivities of seawater and soil: Due to the variation in the electrical resistivities, the isodynamic surfaces are not circular;
- “Wedge” shape of the ground and “wedge” shape of the water: The soil does not take the form of a wedge. Moreover, water does not form a uniform wedge, and its shape differs in different directions. However, it is a better approach than those of CIGRE B4.61 675:2017 and IEC TS 62344:2013.
- Confirmation of CIGRE and mathematical errata: Equations (5.5–8) through (5.5–10), (5.5–12), (5.5–13) in [17], on current densities, voltage and remote ground resistance present typographical errors and, in some cases, inconsistencies regarding measurement units (e.g., the voltage in V/m and resistance in Ω/m). From Equations (5)–(9), the correct quantities result, setting π rad (where θs) and α rad (where θw);
- Eliminating the hemisphere of soil: The soil does not form a hemisphere or a wedge with the horizontal plane. The ground angle is no longer π rad according to CIGRE B4.61 675:2017 or (π-α) rad according to IEC TS 62344:2013. In addition, as suggested in CIGRE B4.61 675:2017 [17] (pp. 118–119), the shape of the water wedge along the coast is flat. Only a part (less than 180°) of the hemispherical part forms the wedge and, in some cases, is limited to a few degrees if the electrode is placed on a narrow beach. The analysis can be improved by taking different inclinations of the seabed and multiplying by a correction factor if the exposed side of the sea is limited to an angle φ (rad), so the multiplier by π/φ should be applied to the calculated distance of the remote earth;
- Results in favor of safety: By modifying the assumptions or always considering the worst-case scenario, the corresponding assessment can be made on the safe side, e.g., considering the average inclination as the distance of interest and not the initial inclination from the shore, which is usually relatively large or setting the ground resistivity infinite, as was performed with other analytical models [57,59] (pp. 267–272). In the last case, Equations (5)–(9) are simplified as follows:
2.2. Method “B”—Combination of Electric Field Distribution Methods by CIGRE B4.61 675:2017 and IEC TS 62344:2013 with the Addition of a Dam
- Continuity of the vertical current density on the dividing surface:
- Continuity of the tangential electric field strength on the dividing surface:
2.3. Method “C”—Near Electric Field Distribution Method with a Linear Current Source
- Continuity of the vertical current density on the dividing surface according to Equation (15);
- Continuity of the tangential electric field strength on the dividing surface according to Equation (16).
- An infinite layer of seawater–dam–soil of active thickness L: The modeling layer practically grows significantly, e.g., here, a thickness of the order of meters is assumed, while depths at long distances reach tens of meters at Stachtoroi and hundreds of meters at Korakia. This is a safe assumption to make, as it ignores a large part of the conductive material making the model unsuitable for the far field unless one is referring to a water surface of constant depth, e.g., an artificial lake;
- Uniform seawater and soil resistivities: The resistivities vary; therefore, the equipotential surfaces are not circular. However, by using the most unfavorable values, the worst-case scenario for this equivalent linear electrode can be estimated;
- Soil, dam and seawater cylindrical segment: The respective materials do not form correspondingly uniform surfaces; their shape differs in different directions (especially that of the dam). However, the angle θ is the best approach, despite the fact that more interfaces are formed in radial directions, as shown in Figure 6.
2.4. Extending the Application of Electric Field Distribution Methods When Using More Electrodes—Superposition Application
- The area of interest concerns the surface of the water and is configured in an appropriate system of two-dimensional Cartesian coordinates, where the respective electrode is placed in a specific position. A canvas of points, with a step of dstep_x and dstep_y is formed, at which the electric field strength is “measured”. The respective step is not constant but variable when studying the far field (closer to electrodes, the canvas is denser, farther away, sparser and larger step);
- The radial electric field strength Er is calculated based on the method applied, with the respective electrode as the reference point and with an electric current equal to the product of the electric current density Jfull_load_transient or Jmaintenance_transient with the corresponding area of the peripheral surface of the electrode Sp_el. The electric field strength caused by the ℓ-th electrode was analyzed into the corresponding components Εχ-ℓ and Εy-ℓ along the axes xOx’ and yOy’, as shown in Figure 9, with the help of the coordinates (xℓ, yℓ) of the electrode, (x,y) of the point of interest (canvas points) and the respective distance rℓ:
- By using the superposition, the individual electric field strengths of all the electrodes in the respective xOx’ and yOy’ directions are added:
- The calculation of the absolute electric potential was performed numerically along the main directions xOx’ and yOy’, at various points of the canvas, with respect to either “infinity”:
- Similarly, from the respective potential difference for specific lengths, the respective average electric field strength values are calculated:
2.5. Electric Field Strength and Voltage Limits According to CIGRE B4.61 675:2017 and IEC TS 62344:2013
- Conditions lasting 10 s or more when, for safety reasons, the operation is considered to be continuous;
- Conditions lasting less than 10 s are considered to be transient operations (e.g., faults and short-time overloads). In the case of a transient fault on the HVDC transmission line, the transient current overload can be considered as short as 50 ms (this is the typical time required for the current protection of the line and its respective control device to cut off the fault current).
- Potential gradient/electric filed strength for continuous operating conditions in water: Elimit_S = 1.25 V/m;
- Potential gradient/electric filed strength for transient operating conditions in water: Elimit_T = 15 V/m;
- Absolute potential with respect to remote earth for continuous operating conditions: Vlimit_S = 4 V;
- Step voltage, touch voltage and metal-to-metal touch voltage for continuous operating conditions: Esoil_S = 5 V or greater, according to the equations of Figure 5.3 in [17] (p. 63);
- Step voltage, touch voltage and metal-to-metal touch voltage for transient operating conditions: Esoil_T = 30 V or greater, according to the equations of Figure 5.3 in [17] (p. 63).
3. Basic Preliminary Study Admissions for the Configuration of a Shoreline Pond Electrode Station of HVDC Link, between Attica and Crete, Greece
3.1. Breakwater Basic Structure
3.2. Basic Breakwater Layout at Stachtoroi, Attica
3.3. Basic Breakwater Layout at Korakia, Crete
3.4. Technical Features of the Electrode Installation
- Operation mode: Bipolar operation, where the currents between the two poles are theoretically equal and opposite. In emergency situations, the unipolar operation occurs due to a failure of the main pole, where the shoreline pond electrodes are used as a return conductor in cooperation with the corresponding DC medium-voltage protection conductor. In case of failure/maintenance of the converter of either pole, the corresponding pole conductor can be used without utilizing the shoreline pond electrodes;
- Nominal current intensity at monopolar operation: 1,000 A, as each pole has a nominal power of 500 MW under a nominal voltage of 500 kV;
- Imbalance current intensity at bipolar operation: 11–25 A, since it is not possible to achieve absolute synchronization between the AC/DC converters located at each conversion station, and there is a very small (asymmetrical) current, which flows through the electrodes in their normal operation and does not exceed 1–2% of the nominal current intensity of the converters;
- Maximum short-time current intensity, under overload conditions: 1,100 A, (i.e., +10% of nominal). Sizing of the electrodes for continuous operating conditions, as well as respective operation effects, were performed with this value;
- Maximum transient fault current intensity: peak value of 12,800 A at a maximum duration of 0.5 s, as required to clear the fault, due to the use of a voltage source converter;
- Lifetime of the technical project: 50 years;
- Economic lifetime: 25 years for electromechanical projects and 50 for civil engineering projects;
- Load factor at monopolar operation: No data are given, while in itself, it is a very complex problem because the load demand from the Attica–Crete interconnection depends, to a significant extent, not only on the load demand estimates but also on the penetration of R.E.S. in Crete, from the moment this interconnection is made. In the present case, the worst possible factor is assumed (i.e., 1);
- Transmission line reliability and availability–forced pole outage rate: According to CIGRE guideline 379 [80] (Table 11, p. 11 and Table 30, p. 66), the expected number of failures is 22 in 50 years or 0.433 failures per year;
- Time interval of forced pole outages and time interval of scheduled pole outages for maintenance reasons: In [78], an aggregate estimation is given that the duration of restoration and maintenance of one of the two poles amounts to 3 months every 5 years, without any additional data;
- Annual electrode operational duty in Ah: Assuming that the electrode station operates 3 months per 5 years at a maximum short-time current intensity of 1,100 A at monopolar operation and the rest time period at an imbalance current intensity of 25 A at bipolar operation, the average annual electrode operational duty is equal to 646,050 Ah;
- Electrode station operation, during installation and commission acceptance: During these phases, it is not expected to operate under the IPTO guidelines;
- Reliability: The configuration of the electrode station is performed in such a way that the necessary electrodes are divided into ν sections, with a reserve of ν + 1. In the present case, the IPTO requirement is ν = 5 so as to achieve a reserve of 20%;
- Polarity: The polarity of each earth electrode is fully reversible due to the possibility of power flow from Attica to Crete and vice versa, as well as due to the structure of the high voltage DC transmission system, where the flow of asymmetry current and monopolar operation current can reverse the operating polarity of the electrodes;
- Electrode Materials: IPTO recommends the use of high-silicon iron electrodes of the tubular form (indicatively by ANOTEC, Centertec Z series), conforming to ASTM A518 G3. Silicon content 14.20% ÷ 14.75%, chromium 3.25 ÷ 5.00%, carbon 0.70÷1.10%, manganese up to 1.50%, copper up to 0.50%, molybdenum up to 0.20% and the rest iron. The electrode is cast in a cooled die, with zinc connection in the center of the tube, with mechanical stress resistance equivalent to 1,000 kg, connection resistance of 1 mΩ, type 4884 SZ, weight 143 kg, diameter 122 mm (=2∙rel) and length 2130 mm (=Lel) [77]. In order to achieve reversible operation of the electrode, according to the manufacturer, the electric current density must be limited to 20 A/mm2.
- Seawater electrical resistivity: It generally depends on several factors, such as its salt content–salinity, the depth of the sea, the season, climatic conditions (e.g., prevailing temperatures) and so forth. From measurements carried out by the Hellenic Marine Research Centre, the following data were obtained regarding the seawater at Stachtoroi (Attica) and Korakia (Crete) areas:
- ➢
- Salinity: The water salinity value varies:
- ▪
- For the area of Stachtoroi, 38 ÷ 39 psu (practical salinity units or ‰ content), in water temperatures of 24 ÷ 29 °C, to a depth of approximately 90 m;
- ▪
- For the area of Korakia, 38.9 ÷ 39.6 psu (practical salinity units or ‰ content), in water temperatures of 24 ÷ 26 °C, to a depth of approximately 90 m.
- ➢
- Electrical resistivity: It takes the value of 0.167 ÷ 0.212 Ω∙m, which means seawater is a medium of very good conductivity.
- Soil electrical resistivity: It is roughly determined through the types of soil, since at Korakia, there is slate, with an electrical resistivity of 20 and 1,000 Ω∙m, and at Stachtoroi limestone, with a value of 1,000 to 10,000 Ω∙m, as long as it does not have sediments. The seabed consists, in the best-case scenario, of sandy saline materials with an electrical resistivity that is estimated to be two orders of magnitude greater than that of seawater, i.e., about 10 Ω∙m [81], and in the worst-case scenario, of rocks, with an electrical resistivity that is estimated at least at three to four orders of magnitude greater than that of seawater, i.e., >1,000 Ω∙m [81]. In other words, the seabed is a path with a much higher electrical resistivity than seawater, so for the sake of saving time and financial resources, it is suggested, at the level of a preliminary study, not to measure electrical resistivity at minor and great depths;
- Soil thermal characteristics of soil: No measurements are needed concerning these characteristics since the electrodes are immersed in the sea;
- Marinelife around the electrodes: There is no special type of marine fauna and flora in the electrode area other than protected birds at Stachtoroi and Posidonia Oceanica meadows (marine plants) near Korakia;
- Salinity reduction due to freshwater inflow to seawater: In the area of Stachtoroi, due to the small area of the islet, there is no question of changing the seawater salinity from the overflow of rainwater on the islet after rainfall. In the area of Korakia, two small dry rivers end in the small bay (as shown in Figure 12), which are not expected to cause a substantial change in seawater salinity from the runoff of rainwater as they are not rivers or underground sources of constant or significant flow. Moreover, the “rounding-up” of the seawater electrical resistivity to 0.25 instead of the maximum 0.212 Ω∙m leaves a significant reserve margin, in case of changes in the electrical resistivity.
4. Application of Electric Field Distribution Methods Using an Equivalent Electrode
4.1. General Remarks
4.2. Application of Method “A”—Combination of Electric Field Distribution Methods by CIGRE B4.61 675:2017 and IEC TS 62344:2013
4.3. Application of Method “B”—Combination of Electric Field Distribution Methods by CIGRE B4.61 675:2017 and IEC TS 62344:2013 (Modification Taking the Dam into Consideration)
4.4. Application of Method “C”—Near Electric Field Distribution Method with Linear Current Source
4.5. Comparison of Methods and Combined Utilization
5. Application of Electric Field Distribution Methods Using Superposition for Near Field Analysis
5.1. General Remarks
5.2. Case of an Electrode at Maximum Electric Current Density, under Periodic Maintenance Conditions
5.3. Case of a Frame of 13 Electrodes, at Maximum Current Density, under Periodic Maintenance Conditions
- The width of the critical frame zone d1 perpendicular to the dam consisted of 13 electrodes on the semi-axis Ox;
- The total length of the critical frame zone ℓk on the dam consisted of 13 electrodes (on the yOy’ axis);
- The area of rectangular zone arrangement that ensures the critical frame zone Sk (taking the width d1 for both sides);
- The estimated distance between successive frames on the dam that ensures the critical zone for diver dropping for repairs dframes (on yOy’);
- The estimated total length includes the critical zone of 6 frames ℓt on the dam (on yOy’);
- The area of the rectangular zone arrangement ensures the critical zone of 6 frames St (taking the width d1 for both sides).
- As the electrode spacing increases, so do the necessary length on the dam along the yOy’ axis, ℓk, and the area of the rectangular zone arrangement, which ensures the critical zone of six frames, St, (but not monotonously, since for L = 2.13 m and Del > 1.3 m the area St begins to decrease slowly). On the other hand, the maximum electric field strength Emax decreases slightly, as well as the width of the critical zone (in front of the location of the dam d1) and the estimated distance between successive frames dframes, as can be seen from the results of Table 9 and Table 10;
- By taking into account that, in order to be able to repair each electrode, a distance of 0.50 m between them is practically required, then the required length of the dam is 96 m for L = 2.13 m, which is greater than the available (about 70 m) according to Figure 12. Of course, if from the beginning the array is allowed to move marginally closer to the coast, with the appropriate deepening and by reducing the distance between the frames to 6.5 m, then the required length reaches 68.5 (=6 × 6 + 5 × 6.5), which is feasible. Additionally, the critical zone of the dam marginally extends outside by 5 m (with a crest width of 5 m and a suspension distance of at least 1 m). With the appropriate vertical suspension arrangement, at 6 m from the inner side of the dam, the electric field strength can be less than 1.25 V/m on the outside;
- In relation to the results of Table 3, it was found that the equivalent point source of method “A” would require a circular zone of about 52.5 m without the correction factor and 68.2 m with the correction factor, whilst, according to Table 7, the equivalent linear source requires 51.5 m, in contrast to the present case of the frame which requires a zone of 10.9 m along the Ox axis and 23.1 m along the Oy axis (for an electrode spacing of 0.50 m and L = 2.13 m). Respectively, the reserved area for the point source amounts to 8,659 m2 (without a correction factor) and 14,612 m2 (with a correction factor), while for the linear source amounts to 8,832 m2, against 1,895 to 2,370 m2 of the linear frames on the dam.;
- Based on this consideration, the vertical suspension of the electrodes is more suitable; however, due to the phenomenon of the diffusion of the electric current in the seawater, at a short distance from the frame, the behavior of the inclined electrodes tends to approximate that of the vertical ones.
- As before, as the electrodes spacing increases, so do the necessary length on the dam, along the yOy’ axis ℓk (monotonously) and the area of the rectangular zone arrangement that ensures the critical zone of six frames St (but not monotonously, as for Del > 1.1 m it begins to decrease slowly). Accordingly, the maximum electric field strength Emax is slightly reduced, along with the width of the critical zone, in front of the location of the dam d1 and the estimated distance between successive frames dframes, as can also be seen from the results of Table 11;
- The required length of the dam (at least 76.5m) is greater than the available (about 55 m), according to Figure 12. Of course, if from the beginning the array is allowed to move marginally closer to the coast, with the appropriate deepening and by reducing the distance between the frames to 4.5 m, then the required length reaches 58.5 (=6 × 6 + 5 × 4.5), which is feasible. Additionally, the critical zone of the dam marginally extends outside by 2 m (with a crest width of 5 m and a suspension distance of at least 1 m). With the appropriate vertical suspension arrangement, at 3 m from the inner side of the dam, the electric field strength can be less than 1.25 V/m on the outside;
- In relation to the results of Table 2, it was found that the equivalent point source requires a zone of around 152.3 m without the correction factor; according to Table 6, the equivalent linear source would require 39.5 m, in contrast to the present case of the frame, which requires a zone of 8.0 m, on the Ox axis and 17.6 m, on the Oy axis, for an electrode spacing of 0.50 m and L = 2.13 m. Respectively, the reserved area for the point source amounts to 72,870 m2, and for the linear source, it amounts to 4,901 m2, against 1,070 to 1,325 m2 of the linear frames on the dam.
5.4. Case of an Arrangement of 6 Linear Frames of 13 Electrodes Placed in a Row, Parallel to the Protective Dam, at Maximum Current Density under Normal Operation or Periodic Maintenance Conditions
- The electric current density Jsteady with respect to the peripheral surface;
- The width d2 of the electrode station critical zone, perpendicular to the dam (on the xOx’ axis);
- The length of the electrode station critical zone d3 on the dam above the center of the dam (on the yOy’ axis);
- The length of the electrode station critical zone d4 on the dam below the center of the dam (on the yOy’ axis);
- The distance of the lowermost rod of the electrode station ℓb-c, on the dam from the center of the dam that is connected to the power supply (on yOy’);
- The distance of the uppermost rod of the electrode station ℓu-c, on the dam from the center of the dam, connected to the power supply (by yOy’);
- The distance between the lowermost rod of the electrode station sb-c on the dam that is connected to the power supply and the nearest point of protection (dam end, electrode not connected to power supply for maintenance purposes);
- The distance between the uppermost rod of the electrode station su-c on the dam, which is connected to the power supply, and the nearest point of protection (dam end, electrode not connected to power supply for maintenance purposes);
- The distance yp between the nearest point of protection (dam edge, electrode not connected to power supply for maintenance purposes) from the center of the dam that is connected to the power supply (on yOy’);
- The safety margin Dyp in relation to an initial preliminary study of a frame under the same conditions (where negative values indicate a requirement for a greater safety distance);
- The maximum electric field strength of the arrangement Emax.
- The deviation at the ends of the arrangement reaches up to 27.0 m depending on the electrifying method (especially when electrifying five consecutive panels). However, in the area of the frame that does not operate, the respective electric field strength is marginally above 2.5 V/m, so there is no safety issue during maintenance as long as the diver takes the appropriate measures;
- The deviation of the maximum developing electric field strength of the electrode station against that of a single frame (26.09 V/m against 24.06 V/m) is of the order of 8.4%, which is quite large, but expected, given the fact that, instead of 8.5 m, the distance between of frames decreased to 6.5 m;
- The critical zone of the dam extends outside the dam by 44 m (with a crest width of 5 m and a suspension distance of at least 1 m) on the xOx’ axis (vertical to the dam), where the initial estimation of Table 10 has failed;
- The critical zone of the dam extends beyond the dam by 66 m (33 m on either side) on the yOy’ axis (parallel to the axis of the dam) in the shore area. The reason is that the distance between the frames was significantly reduced.
- The deviation at the ends of the electrode station reaches up to 23.0 m depending on the electrifying method (especially when electrifying five consecutive panels). However, in the area of the frame that does not operate, the respective electric field strength is marginally above 2.5 V/m, so there is no safety issue during maintenance;
- The deviation of the maximum developing electric field strength of the electrode station against that of a single frame (25.84 V/m against 24.06 V/m) is of the order of 7.4%, which is quite large, despite the fact that the distance between frames is 8.5 m, as set from the beginning. This happens because, in method “C”, the constant effective length causes the field effect to decrease more slowly;
- The critical zone of the dam extends outside the dam by 42 m (with a crest width of 5 m and a suspension distance of at least 1 m) on the xOx’ axis (vertical to the dam), where the initial assessment of Table 10 has failed. However, it is limited to 83% of the most favorable value, resulting from concentrated source methods;
- The critical zone of the dam extends beyond the estimated dam (according to Section 5.3) by 46 m (23 m on either side) on the yOy’ axis (parallel to the dam axis) on the shore area. Due to the large size, the respective area (13,622 m2) approaches the respective area of method “A”, using a correction factor;
- From the comparison of Table 12 and Table 13, it emerged that there is no substantial benefit, in the present case, from increasing the distance between the frames from 6.5 to 8.5 m, so the spacing of 6.5 m can be applied. It is estimated that the electric field strength drops below the value of 2.5 V/m (with respect to 3.1 V/m) because, in the present case, an active zone as long as the height of the electrode was assumed by simplification, and another 2.0 m of seawater depth in the nearby area was ignored, as well as the mass of water “behind” the dam in Figure 6.
- The deviation at the ends of the electrode station reaches up to 18.6 m depending on the electrifying method (especially when electrifying five consecutive panels). However, in the area of the frame that does not operate, the respective electric field strength is marginally above 2.5 V/m, so there is no safety issue during maintenance;
- The deviation of the maximum developing electric field strength of the electrode station against that of a single frame (19.73 V/m against 17.96 V/m) is of the order of 10%, which is quite large but expected because the distance between frames dropped to 4.5 m, instead of 5.8 m;
- The critical zone of the dam extends outside the dam by 30 m (with a crest width of 5 m and a suspension distance of at least 1 m) on the xOx’ axis (vertical to the dam), where the initial assessment of Table 11 failed. However, it is limited to 92% of the most favorable value, resulting from concentrated source methods;
- The critical zone of the dam extends beyond the estimated dam (according to Section 5.3) by 37.1 m (18.6 m on either side) on the yOy’ axis (parallel to the dam axis) on the shore area, attributable to the significant reduction in the distances between frames. Due to the large size, the respective area (7,602 m2) is larger by 55% than that of method “C”, with a concentrated current source, but larger only by 10% compared to that of method “A”.
5.5. Estimation of Maximum Absolute Electric Potential and Equivalent Remote Earth Resistance for an Electrode Station of 6 Linear Frames, in a Row, Each Consisting of 13 Electrodes, Parallel to the Protective Dam, at Maximum Current Density, under Conditions of Normal Operation or Periodic Maintenance
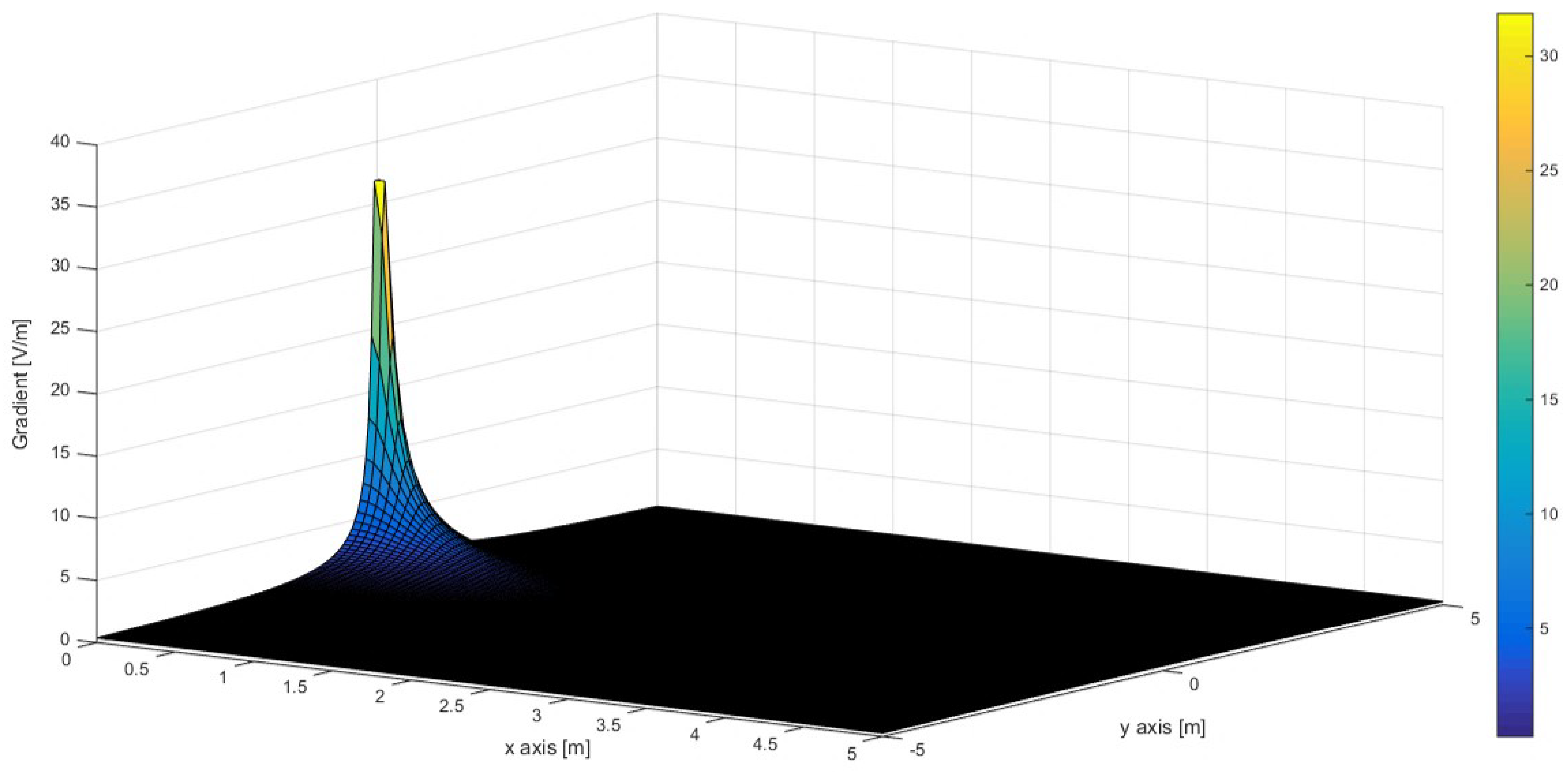
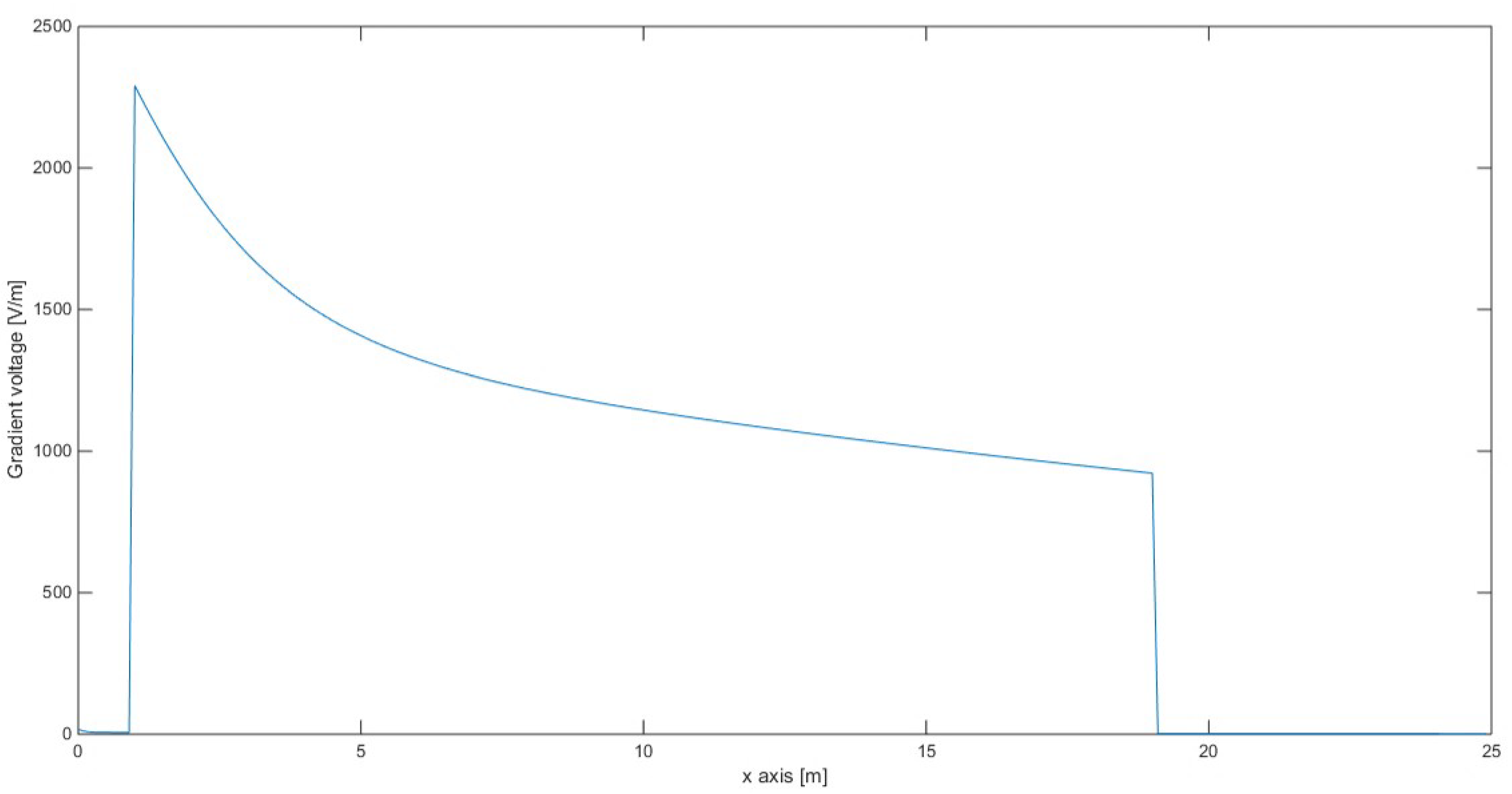
- For the case of Korakia: The developed absolute potentials and the respective values of the resistance of the electrode station, with respect to remote earth (22.77 kV, 19.512 Ω) are much lower compared to those of method “A” (73.3 kV, 66.63 Ω, according to Table 3) and of method “B” (1,763 kV, 1,603 Ω, according to Table 5, considering the same dam material), and bigger compared to those of method “C” (0.712 kV, 0.6468 Ω, according to Table 7, considering the same dam material), under the conditions infinite soil resistivity. The latter is due to the fact that during the application of method “C” of Table 7, the effect of the water of the formed pond was also taken into account, whilst here, its part from the electrode station to the shore was practically ignored, giving much more unfavorable results. In any case, much smaller values than those in Table 15 are expected, while the effect of the dam on the development of the absolute potential is extremely important (as can be seen in Figure 31) due to the significant increase in the electric field strength, according to Figure 32. If the effect of the dam was ignored, an absolute potential of the order of 200 V (instead of 22 kV) would have resulted;
- For the case of Stachtoroi: The developed absolute potentials and the respective values of the resistance of the electrode station, with respect to remote earth (17.30 kV, 14.824 Ω) are much lower compared to those of method “A” (475.2 kV, 431.99Ω, according to Table 2), and of method “B” (11,361 kV, 10,328 Ω, according to Table 4, considering the same dam material) and bigger compared to those of method “C” (11.054 kV, 10.049 Ω, according to Table 6, considering the same dam material), under the conditions of infinite soil resistivity by disregarding the effect of the water of the pond formed;
- General remarks: The presence of the dam, the thickness of the dam, and resistivity all play an important role in the final value of the developed absolute potential. Taking the average thickness of the dam at the average immersion height of the electrodes and ignoring the upper and lower water zones from the effective length of the electrode in method “C” leads to quite unfavorable results and in favor of safety. Analytical simulations with 3D field models would lead to significantly lower values of electric field strength, maximum absolute potential and electrode station resistance with respect to remote earth. Finally, it was clarified that the respective values are calculated at the average height of the electrodes; thus, towards the surface, reduced values are obtained due to non-ideal dam materials and water in terms of electrical conductivity.
6. Conclusions
- Method “A”: It was based on an equivalent point current source, with the formation of a sphere, where the homogeneous soil of electrical resistivity ρs occupies an angle θs, the water of electrical resistivity ρw occupies an angle θw and the rest of the space is occupied by non-conductive air, according to Figure 4c, thus unifying the two pre-existing analytical methods of the aforementioned standards [17,34];
- Method “B”: It was an extension of method “A”, as a dam of thickness d and of electrical resistivity ρd (which extends from radius r1 to radius r2 = r1 + d, occupying an angle θw, such as the seawater), is added inside the water, according to Figure 5;
- Method “C”: It was based on an equivalent linear current source, which approximates the structure of a rod-shaped electrode much better, corresponding to a water zone of thickness/effective length L (in the vertical sense), extending around the electrode in the form of a cylinder, according to Figure 6. The soil of electrical resistivity ρs and thickness L extends from a radius r3 to infinity, occupying an arc of angle θ, and the dam of resistivity ρd, of the same thickness L, extends from radius r1 to r2, occupying an arc of angle 2 × π-θ, whilst the remaining space of the same thickness L contains water of resistivity ρw. Above and below this zone of thickness L lies electrically non-conductive material.
- Regarding the safety distances, against average and point electric field strengths at steady and transient states, method “C” is more suitable, as these distances are located in the near field; the model of this method, with a water zone of constant thickness L, better approximates the real conditions near the dam. In addition, from the existing numerical simulations of the two regions, the most critical distance is that of the point electric field strength at a steady state, with an allowable limit value of 1.25 V/m (rlimit4);
- Concerning the safety distance, with regards to potential difference, with respect to infinity, methods “A” or “B” are more suitable, as these methods are characterized by a more realistic representation of space in the far field by forming a water wedge of angle θ; that is, a larger space with respect to the cylindrical water zone of constant thickness L for long distances from the electrode station. Moreover, at distances of some km, the electrode station of a size of some tens of m would appear as a “point”. Furthermore, because this safety distance lies outside the dam, the results of methods “A” and “B” are identical;
- Regarding the absolute electric potential and the equivalent ohmic resistance of the electrode station, with respect to remote earth, the combined use of methods “A” and “C” is recommended. In particular, initially, the equalization distance of the electric field strengths of methods “A” and “C” for the external area of the dam is determined. Then (through the appropriate integration of the electric field strength), the corresponding values of the “C” method are used, from the surface of the electrode to the distance equalizing the strengths of the two methods (near field), and the values of the “A” method, from a distance, equalizing the strengths of the two methods towards infinity (far field). In this way, the advantages of these two methods are utilized, and the disadvantages curtailed;
- The calculation of the corresponding quantities (safety distances, absolute electric potential and equivalent ohmic resistance of the electrode station with respect to remote earth) is performed through analytical relations directly, even with a scientific calculator, providing the respective limits. Furthermore, should some parameters be unknown (such as soil electrical resistivity), they can be omitted through appropriate admissions (e.g., assumed infinite), leading to more unfavorable results, providing, nonetheless, an upper limit on the sizes, which is extremely critical for the designer of the electrode station at the preliminary study, in a cost-effective and swift way.
- Regarding the safety distances, with respect to average and point electric field strengths, at steady and transient states, the respective values are reduced by at least 10% compared to the respective values of the methods of concentrated sources despite the unfavorable admissions. However, the corresponding area occupied is comparable to or even greater than the one of concentrated sources since now the electrode station occupies a significant area instead of a single point on the plane;
- Regarding the safety distance, with respect to potential differences to infinity, no examination is conducted due to the long distances and the suitability of the methods of concentrated current sources;
- Regarding the absolute electric potential and the equivalent ohmic resistance of the electrode station with respect to remote earth, the respective values are much smaller compared to the respective methods “A” and “B” and larger compared to method “C”. The latter is due to the fact that, during the application of method “C”, the effect of the water of the formed pond was also taken into account (which, in this analysis, its part from the electrode station to the coast was ignored);
- The results are in favor of safety, as the upper and lower water zones and the rest of the lower ground/seaned are ignored, with respect to the active length of the electrode, in method “C”;
- The calculation of the corresponding quantities (safety distances, absolute electric potential and equivalent ohmic resistance of the electrode station with respect to remote earth) was performed through simple software that can be developed in any computer programming platform (such as MATLAB, etc.), through a few dozen lines of code. Thus, it can be relatively easily implemented without the requirement of purchasing specialized software packages and training in them at the cost of numerical accuracy. In addition, this computational method does not require detailed data of the area under study through expensive and time-consuming geophysical methods. Therefore, at the preliminary study stage, it is considered suitable for implementation;
- In the case of analytical simulation with three-dimensional field models, significantly smaller values are expected in the quantities of the electric field strength, the maximum absolute potential and the resistance of the electrode station with respect to remote earth, given that the total mass of water, the soil, the seabed and the dam (with its possible openings) was included with greater precision.
Author Contributions
Funding
Acknowledgments
Conflicts of Interest
References
- Sutton, S.J.; Lewin, P.L.; Swingler, S.G. Review of global HVDC subsea cable projects and the application of sea electrodes. Electr. Power Energy Syst. 2017, 87, 121–135. [Google Scholar] [CrossRef]
- Longatt, F.G. High Voltage Direct Current (HVDC). Seminar in Norway, 25 April 2019. Available online: https://www.researchgate.net/publication/332642386_Serminar_High_Voltage_Direct_Current_HVDC (accessed on 19 December 2019). [CrossRef]
- Sutton, S.J.; Swingler, S.J.; Lewin, P.L. HVDC Subsea Cable Electrical Return Path Schemes: Use of Sea Electrodes and Analysis of Environmental Impact, 1.1st ed.; HubNet: Manchester, UK, 2016; pp. 1–51. [Google Scholar]
- Grid Systems HVDC. The Early HVDC Development, the Key Challenge in the HVDC Technique. Available online: www.abb.com/hvdc (accessed on 19 December 2019).
- Rahman, S.; Khan, I.; Alkhammash, H.I.; Nadeem, M.F. A comparison review on transmission mode for onshore integration of offshore wind farms: HVDC or HVAC. Electronics 2021, 10, 1489. [Google Scholar] [CrossRef]
- Holtsmark, N.; Bahirat, H.J.; Molinas, M.; Mork, B.A.; Hoidalen, H.K. An all-DC offshore wind farm with series-connected turbines: An alternative to the classical parallel AC model? IEEE Trans. Ind. Electron. 2013, 60, 2420–2428. [Google Scholar] [CrossRef]
- Liljestrand, L.; Sannino, A.; Breder, H.; Thorburn, S. Transients in collection grids of large offshore wind parks. Wind Energy 2008, 11, 45–61. [Google Scholar] [CrossRef]
- Xu, L.; Andersen, B.R. Grid connection of large offshore wind farms using HVDC. Wind Energy 2006, 9, 371–382. [Google Scholar] [CrossRef]
- Akhmatov, V.; Callavik, M.; Franck, C.M.; Rye, S.E.; Ahndorf, T.; Bucher, M.K.; Müller, H.; Schettler, F.; Wiget, R. Technical guidelines and prestandardization work for first HVDC grids. IEEE Trans. Power Deliv. 2014, 29, 327–335. [Google Scholar] [CrossRef]
- CIGRE Working Group B4.33. HVDC and FACTS for Distribution Systems, 1st ed.; CIGRE: Paris, France, 2005; Volume 280, pp. 1–63. [Google Scholar]
- CIGRE Working Group A2/B4.28. HVDC Converter Transformers—Design Review, test procedures, ageing evaluation and reliability in service, 1st ed.; CIGRE: Paris, France, 2010; Volume 406, pp. 1–38. [Google Scholar]
- CIGRE Working Group A2/B4.28. HVDC Converter Transformers—Guidelines for Conducting Design Reviews for HVDC Converter Transformers, 1st ed.; CIGRE: Paris, France, 2010; Volume 407, pp. 1–22. [Google Scholar]
- CIGRE Working Group B4.44. HVDC Environmental Planning Guidelines, 1st ed.; CIGRE: Paris, France, 2012; Volume 508, pp. 1–59. [Google Scholar]
- CIGRE Working Group B4.52. HVDC Grid Feasibility Study, 1st ed.; CIGRE: Paris, France, 2013; Volume 533, pp. 1–189. [Google Scholar]
- CIGRE Working Group B4.04. HVDC LCC Converter Transformers—Converter Transformer Failure Survey from 2003 to 2012, 1st ed.; CIGRE: Paris, France, 2015; Volume 617, pp. 1–54. [Google Scholar]
- CIGRE Working Group B4.55. HVDC Connection of Offshore Wind Power Plants, 1st ed.; CIGRE: Paris, France, 2021; Volume 619, pp. 1–100. [Google Scholar]
- CIGRE Working Group B4.61. General Guidelines for HVDC Electrode Design, 1st ed.; CIGRE: Paris, France, 2017; Volume 675, pp. 1–150. [Google Scholar]
- CIGRE Working Group A3/B4.34. Technical Requirements and Specifications of State-of-the-Art HVDC Switching Equipment, 1st ed.; CIGRE: Paris, France, 2017; Volume 683, pp. 1–240. [Google Scholar]
- CIGRE Working Group B4/C1.65. Recommended Voltages for HVDC Grids, 1st ed.; CIGRE: Paris, France, 2017; Volume 684, pp. 1–67. [Google Scholar]
- CIGRE Working Group B4.58. Control Methodologies for Direct Voltage and Power Flow in a Meshed HVDC Grid, 1st ed.; CIGRE: Paris, France, 2017; Volume 699, pp. 1–61. [Google Scholar]
- CIGRE Working Group B4.60. Designing HVDC Grids for Optimal Reliability and Availability Performance, 1st ed.; CIGRE: Paris, France, 2017; Volume 713, pp. 1–128. [Google Scholar]
- CIGRE Working Group B4.59. Protection and Local Control of HVDC-Grids, 1st ed.; CIGRE: Paris, France, 2018; Volume 39, pp. 1–96. [Google Scholar]
- IEEE Working Group WGI10. Guide for Commissioning High-Voltage Direct-Current (HVDC) Converter Stations and Associated Transmission Systems, 2nd ed.; IEEE: New York, NY, USA, 2008; Volume 1378–1997, pp. 1–31. [Google Scholar]
- IEEE Working Group WGI10. IEEE Guide for the Evaluation of the Reliability of HVDC Converter Stations, 2nd ed.; IEEE: New York, NY, USA, 2012; Volume 1240–2000, pp. 1–67. [Google Scholar]
- IEEE Working Group WGI10. IEEE Guide for Analysis and Definition of DC Side Harmonic Performance of HVDC Transmision Systems, 2nd ed.; IEEE: New York, NY, USA, 2010; Volume 1240–2003, pp. 1–104. [Google Scholar]
- IEEE Working Group WG-HVDC-CPI—Working Group for Establishing Standard Specifications of HVDC Composite Post Insulators. IEEE Standard for High-Voltage Direct-Current (HVDC) Composite Post Insulators, 1st ed.; IEEE: New York, NY, USA, 2017; Volume 1898–2016, pp. 1–35. [Google Scholar]
- IEEE Working Group HVDC WG—Working Group for HVDC Cable Systems (Cables, Joints and Teminations) (DEI/SC/HVDC Cable Systems). IEEE Recommended Practice for Space Charge Measurements on High-Voltage Direct-Current Extruded Cables for Rated Voltages up to 550 kV, 1st ed.; IEEE: New York, NY, USA, 2017; Volume 1732–2017, pp. 1–36. [Google Scholar]
- IEEE Working Group WG-UHVDC-TCP—Working Group for Establishing Basic Requirements for Ultra High-Voltage Direct-Current (UHVDC) Transmission Control and Protection. IEEE Guide for Establishing Basic Requirements for High-Voltage Direct-Current Transmission Protection and Control Equipment, 1st ed.; IEEE: New York, NY, USA, 2017; Volume 1899–2017, pp. 1–47. [Google Scholar]
- IEEE Working Group HVConv-WG1277—HV Converter TR & Reactors—Req. & Test Code for HVDC Smoothing Reactors Working Group. IEEE Standard General Requirements and Test Code for Dry-Type and Oil-Immersed Smoothing Reactors and for Dry-Type Converter Reactors for DC Power Transmission, 1st ed.; IEEE: New York, NY, USA, 2020; Volume 1277–2020, pp. 1–90. [Google Scholar]
- IEEE/IEC. IEC/IEEE International Standard—Power transformers—Part 57–129: Transformers for HVDC Applications, 1st ed.; IEEE: New York, NY, USA, 2017; Volume 60076-57-129-2017, pp. 1–58. [Google Scholar]
- IEC Technical Commitee TC115—High Voltage Direct Current (HVDC) Transmission for DC Voltages above 100 kV. High Voltage Direct Current (HVDC) Substation Audible Noise, 1st ed.; IEC: Geneva, Switzerland, 2012; Volume IEC TR 61973:2012, pp. 1–82. [Google Scholar]
- IEC Technical Commitee TC115—High Voltage Direct Current (HVDC) Transmission for DC Voltages above 100 kV. Amendment 1: High Voltage Direct Current (HVDC) Substation Audible Noise, 1st ed.; IEC: Geneva, Switzerland, 2019; Volume IEC TR 61973:2012/AMD1:2019, pp. 1–5. [Google Scholar]
- IEC Technical Commitee SC22F—Power Electronics for Electrical Transmission and Distribution Systems. High-Voltage Direct Current (HVDC) Installations—System Tests, 1st ed.; IEC: Geneva, Switzerland, 2010; Volume IEC 61975:2010, pp. 1–165. [Google Scholar]
- IEC Technical Commitee TC115—High Voltage Direct Current (HVDC) Transmission for DC Voltages above 100 kV. Design of Earth Electrode Stations for High-Voltage Direct Current (HVDC) Links—General Guidelines, 1st ed.; IEC: Geneva, Switzerland, 2013; Volume IEC 62344:2013, pp. 1–89. [Google Scholar]
- IEC Technical Commitee TC115—High Voltage Direct Current (HVDC) Transmission for DC Voltages above 100 kV. Reliability and Availability Evaluation of HVDC Systems, 1st ed.; IEC: Geneva, Switzerland, 2018; Volume IEC TR 62672:2018, pp. 1–45. [Google Scholar]
- IEC Technical Commitee TC115—High Voltage Direct Current (HVDC) Transmission for DC Voltages above 100 kV. Electromagnetic Performance of High Voltage Direct Current (HVDC) Overhead Transmission Lines, 1st ed.; IEC: Geneva, Switzerland, 2014; Volume IEC TR 62681:2014, pp. 1–92. [Google Scholar]
- IEC Technical Commitee TC 20—Electric Cables. High Voltage Direct Current (HVDC) Power Transmission—Cables with Extruded Insulation and Their Accessories for Rated Voltages up to 320 kV for Land Applications—Test Methods and Requirements, 1st ed.; IEC: Geneva, Switzerland, 2017; Volume IEC TR 62895:2017, pp. 1–136. [Google Scholar]
- IEC Technical Commitee TC115—High Voltage Direct Current (HVDC) Transmission for DC Voltages above 100 kV. HVDC installations—Guidelines on asset management, 1st ed.; IEC: Geneva, Switzerland, 2017; Volume IEC TR 62978-1:2017, pp. 1–60. [Google Scholar]
- IEC Technical Commitee TC115—High Voltage Direct Current (HVDC) Transmission for DC Voltages above 100 kV. High Voltage Direct Current (HVDC) Power Transmission—System Requirements for DC-Side Equipment—Part 1: Using Line-Commutated Converters, 1st ed.; IEC: Geneva, Switzerland, 2018; Volume IEC TR 63014-1:2018, pp. 1–87. [Google Scholar]
- IEC Technical Commitee TC115—High Voltage Direct Current (HVDC) Transmission for DC Voltages above 100 kV. Guidelines for Operation and Maintenance of Line Commutated Converter (LCC) HVDC Converter Station, 1st ed.; IEC: Geneva, Switzerland, 2017; Volume IEC TR 63065-1:2017, pp. 1–50. [Google Scholar]
- IEC Technical Commitee TC115—High Voltage Direct Current (HVDC) Transmission for DC Voltages above 100 kV. Guideline for the System Design of HVDC Converter Stations with Line-Commutated Converters, 1st ed.; IEC: Geneva, Switzerland, 2020; Volume IEC TR 63127-1:2020, pp. 1–64. [Google Scholar]
- IEC Technical Commitee TC115—High Voltage Direct Current (HVDC) transmission for DC voltages above 100 kV. Guideline for Planning of HVDC Systems—Part 1: HVDC Systems with Line-Commutated Converters, 1.0st ed.; IEC: Geneva, Switzerland, 2020; Volume IEC TR 63179-1:2020, pp. 1–28. [Google Scholar]
- EPRI. Life Extension Guidelines for HVDC Systems, 1st ed.; EPRI: California, CA, USA, 2006; Volume ID 1012516, p. 26. [Google Scholar]
- EPRI. Electrical Effects of HVDC Transmission Lines, 1st ed.; EPRI: California, CA, USA, 2010; Volume ID 1020118, p. 322. [Google Scholar]
- EPRI. HVDC Ground Electrode Overview, 1st ed.; EPRI: California, CA, USA, 2010; Volume ID 1020116, p. 66. [Google Scholar]
- EPRI. HVDC Ground Electrode Design, 1st ed.; EPRI: California, CA, USA, 1981; Volume EL-2020, Research Project 1467-1. [Google Scholar]
- Halt, R.J.; Debkowski, J.; Hauth, R.L. HVDC Power Transmission Electrode Siting and Design, 1.0st ed.; Oak Ridge National Laboratory: Oak Ridge, TN, USA, 1997; Volume ORL/Sub/95-SR893/3, pp. 1–138.
- Bailey, W.H.; Weil, D.E.; Stewart, J.R. HVDC Power Transmission Environmental Issues Review, 1st ed.; Oak Ridge National Laboratory: Oak Ridge, TN, USA, 1997; Volume ORL/Sub/95-SR893/2, pp. 1–128.
- DVN-GL. Recommended Practice: Qualification Procedure for Offshore High-Voltage Direct Current (HVDC) Technologies, 1st ed.; EPRI: Oslo, Norway, 2014; Volume DNVGL-RP-0046:2014-08, p. 47. [Google Scholar]
- Antoine, O.; Papangelis, L.; Michels Alfaro, S.; Guittonneau, A.; Bertinato, A. Technical requirements for connection to offshore HVDC grids in the North Sea. Eur. Comm. Dir. Gen. Energy Intern. Energy Mark. 2020, 1–89. [Google Scholar]
- Available online: https://www.admie.gr/erga/erga-diasyndeseis/diasyndesi-tis-kritis-me-tin-attiki (accessed on 10 December 2018).
- Manglik, A.; Verma, S.K.; Muralidharan, D.; Sasmal, R.P. Electrical and electromagnetic investigations for HVDC ground electrode site in India. Phys. Chem. Earth 2011, 36, 1405–1411. [Google Scholar] [CrossRef]
- Da Fonseca Freire, P.E.; Pereira, S.Y.; Padilha, A.L. Adjustment of the geoelectric model for a ground electrode design—The case of the Rio Madeira HVDC transmission system, Brazil. Sci. Eng. 2021, 20, 137–151. [Google Scholar]
- Rusck, S. HVDC power transmission: Problems relating to earth return. Direct Curr. 1962, 290–300. [Google Scholar]
- Kimbark, E.W. Direct Current Transmission, 1st ed.; Wiley Interscience: New York, NY, USA, 1971; pp. 1–496. [Google Scholar]
- Kovarsky, D.; Pinto, L.J.; Caroli, C.E.; Santos, N. Soil surface potentials induced by Itaipu HVDC ground return current. I. Theoretical evaluation. IEEE Trans. Power Deliv. 1988, 3, 1204–1210. [Google Scholar] [CrossRef]
- Girdinio, P.; Molfino, P.; Nervi, M.; Rossi, M.; Bertani, A.; Malgarotti, S. Technical and compatibility issues in the design of HVDC sea electrodes. In Proceedings of the International Symposium on Electromagnetic Compatibility—EMC EUROPE, Rome, Italy, 17–21 September 2012; IEEE Press: New York, NY, USA; pp. 1–5. [Google Scholar]
- Marzinotto, M.; Mazzanti, G.; Nervi, M. Ground/sea return with electrode systems for HVDC transmission. Int. J. Electr. Power Energy Syst. 2018, 100, 222–230. [Google Scholar] [CrossRef]
- Uhlmann, E. Power Transmission by Direct Current, 1st ed.; Springer-Verlag: New York, NY, USA, 1975; pp. 1–389. [Google Scholar]
- Pirelli Cavi & Sistemi SpA. Italy-Greece Interconnection Anode—Evaluation of the Corrosion Effects, 1st ed.; Pirelli Cavi & Sistemi SpA: Zona Asi, Italy, 1999; p. 6. [Google Scholar]
- Hao, J.; Teng, W.; Zhang, Y.; Liu, W. Research on distribution characteristics of DC potential near the UHVDC grounding electrode. IEEE Access 2020, 8, 122360–122365. [Google Scholar] [CrossRef]
- Hajiaboli, A.; Fortin, S.; Dawalibi, F.P. Numerical techniques for the analysis of HVDC sea electrodes. IEEE Trans. Ind. Appl. 2015, 51, 5175–5181. [Google Scholar] [CrossRef]
- Molfino, P.; Nervi, M.; Rossi, M.; Malgarotti, S.; Odasso, A. Concept design and development of a module for the construction of reversible HVDC submarine deep-water sea electrodes. IEEE Trans. Power Deliv. 2017, 32, 1682–1687. [Google Scholar] [CrossRef]
- Ma, J.; Dawalibi, F.P. Analysis of grounding systems in soils with finite volumes of different resistivities. IEEE Trans. Power Deliv. 2002, 17, 596–602. [Google Scholar] [CrossRef]
- Hajiaboli, A.; Fortin, S.; Dawalibi, F.P.; Zhao, P.; Ngoly, A. Analysis of grounding systems in the vicinity of hemi-spheroidal heterogeneities. IEEE Trans. Ind. Appl. 2015, 51, 5070–5077. [Google Scholar] [CrossRef]
- Pompili, Μ.; Cauzillo, B.A.; Calcara, L.; Codino, A.; Sangiovanni, S. Steel reinforced concrete electrodes for HVDC submarine cables. Electr. Power Syst. Res. 2018, 163, 524–531. [Google Scholar] [CrossRef]
- Brignone, M.; Karimi Qombovani, A.; Molfino, P.; Nervi, M. An algorithm for the semianalytical computation of fields emitted in layered ground by HVDC electrodes. In Proceedings of the 19th Edition of the Power Systems Computation Conference-PSCC 2016, Genova, Italy, 20–24 June 2016; IEEE Press: New York, NY, USA; pp. 1–5. [Google Scholar]
- Freschi, F.; Mitolo, M.; Tartaglia, M. An effective semianalytical method for simulating grounding grids. IEEE Trans. Ind. Appl. 2013, 49, 256–263. [Google Scholar] [CrossRef]
- Charalambous, C.A. Interference activity on pipeline systems from VSC-based HVDC cable networks with earth/sea return: An Insightful review. IEEE Trans. Power Deliv. 2021, 36, 1531–1541. [Google Scholar] [CrossRef]
- Charalambous, C.A.; Dimitriou, A.; Gonos, I.F.; Papadopoulos, T.A. Modeling and assessment of short-term electromagnetic interference on a railway system from pole-to-ground faults on VSC-HVDC cable networks with sea electrodes. IEEE Trans. Ind. Appl. 2021, 57, 121–129. [Google Scholar] [CrossRef]
- Bouzid, M.A.; Flazi, S.; Stambouli, A.B. A cost comparison of metallic and earth return path for HVDC transmission system case study: Connection Algeria-Europe. Electr. Power Syst. Res. 2019, 171, 15–25. [Google Scholar] [CrossRef]
- Hatch-Statnett. Newfoundland and Labrador Hydro—Lower Churchill Project—DC1110 Electrode Review—Gull Island & Soldiers Pond, 1.1st ed.; Muskrat Falls Project—CE-09 Rev.1; Hatch: Mississauga, NL, Canada, 2008; p. 73. [Google Scholar]
- Hatch. Nalcor Energy—Lower Churchill Project—DC1250 Electrode Review Types and Locations, 1st ed.; Muskrat Falls Project—CE-11; Hatch: Mississauga, NL, Canada, 2010; p. 277. [Google Scholar]
- Hatch. Nalcor Energy—Lower Churchill Project—DC1500 Electrode Review Confirmation of Types and Site Locations, 1.1st ed.; Muskrat Falls Project—CE-12 Rev.1; Hatch: Mississauga, NL, Canada, 2010; p. 319. [Google Scholar]
- Thunehed, H.; GeoVista, A.B. Compilation and Evaluation Earth current measurements in the Forsmark area, 1.1st ed.; AB, R-14–34; Svensk Karnbranslehantering: Stockholm, Sweden, 2017; p. 46. [Google Scholar]
- Molfino, P.; Nervi, M.; Malgarotti, S. On the choice of the right HVDC Electrode type. In Proceedings of the 2019 AEIT HVDC International Conference, Florence, Italy, 9–10 May 2019; IEEE Press: New York, NY, USA; pp. 1–6. [Google Scholar]
- Datasheet ANOTEC. High Silicon Iron Tubular Anodes Centertec Z-Series; bulletin 04-14/06.02.28; ANOTEC: Langley, BC, Canada, 2018. [Google Scholar]
- Independent Power Transmission Operator, S.A. Technical Description for Shoreline Electrodes for HVDC Link Attica-Creta, 3rd ed.; Independent Power Transmission Operator S.A.: Athens, Greece, 2018; pp. 1–5. [Google Scholar]
- Freire, P.E.; Fihlo, J.N.; Nicola, G.L.; Borin, P.O.; Perfeito, M.D.; Bartelotti, M.; Estrella, M.; Pereira, S.Y. Electrical interference of the Bipole I Ground Electrode from Rio Madeira HVDC Transmission System on the Bolivia-Brazil gas pipeline—Preliminary calculations and field measurements. In Proceedings of the 19th Edition of the Power Systems Computation Conference—PSCC 2016, Rio de Janeiro, Brazil, 22–24 September 2015; pp. 1–8. [Google Scholar]
- CIGRE Working Group B1.10. Update of Service Experience of HV Underground and Submarine Cable Systems, 1st ed.; CIGRE: Paris, France, 2009; Volume 379, pp. 1–86. [Google Scholar]
- Dorf, C. The Electrical Engineering Handbook, 2nd ed.; CRC Press LLC: Boca Raton, FL, USA, 2000; pp. 1–2976. [Google Scholar]
































| Electrode Station at Stachtoroi, Attica | Electrode Station at Korakia, Crete | ||||||
|---|---|---|---|---|---|---|---|
| Area | Distance [m] | Depth [m] | θw [rad] | Area | Distance [m] | Depth [m] | θw [rad] |
| Aegina | 7,800 | 37 | 0.004743554 | Far | 20,000 | 800 | 0.039978687 |
| Salamina | 9,500 | 80 | 0.008420854 | Near | 50 | 3 | 0.059928155 |
| Revithousa | 16,400 | 90 | 0.005487750 | ||||
| Megara Pachi | 17,500 | 100 | 0.005714224 | ||||
| Worst-Case: ρs = ∞ Ω·m | Lower Expected: ρs = 1,000 Ω·m | Higher Expected: ρs = 10,000 Ω·m | |||||||||||||||||||
|---|---|---|---|---|---|---|---|---|---|---|---|---|---|---|---|---|---|---|---|---|---|
| Area | rlimit1 [m] | rlimit2 [m] | rlimit3 [m] | rlimit4 [m] | rlimit5 [m] | V(rel) [kV] | Rel [Ω] | rlimit1 [m] | rlimit2 [m] | rlimit3 [m] | rlimit4 [m] | rlimit5 [m] | V(rel) [kV] | Rel [Ω] | rlimit1 [m] | rlimit2 [m] | rlimit3 [m] | rlimit4 [m] | rlimit5 [m] | V(rel) [kV] | Rel [Ω] |
| Aegina | 7,246.7 | 151.78 | 149.46 | 152.28 | 149.96 | 475.2 | 431.99 | 6,218.6 | 140.57 | 138.41 | 141.07 | 138.91 | 407.8 | 370.71 | 7,128.8 | 150.54 | 148.23 | 151.04 | 148.73 | 467.5 | 424.97 |
| Salamina | 4,082.1 | 113.79 | 112.05 | 114.29 | 112.55 | 267.7 | 243.35 | 3,734.7 | 108.82 | 107.15 | 109.32 | 107.65 | 244.9 | 222.64 | 4,044.5 | 113.27 | 111.53 | 113.76 | 112.03 | 265.2 | 241.10 |
| Revithousa | 6,264.0 | 141.08 | 138.92 | 141.58 | 139.42 | 410.8 | 373.41 | 5,480.9 | 131.94 | 129.91 | 132.43 | 130.41 | 359.4 | 326.73 | 6,175.7 | 140.08 | 137.93 | 140.58 | 138.43 | 405.0 | 368.15 |
| Megara Pachi | 6,015.7 | 138.25 | 136.13 | 138.75 | 136.63 | 394.5 | 358.61 | 5,289.9 | 129.61 | 127.62 | 130.11 | 128.12 | 346.9 | 315.35 | 5,934.3 | 137.30 | 135.20 | 137.80 | 135.70 | 389.1 | 353.76 |
| Worst-Case: ρs = ∞ Ω·m | Lower Expected: ρs = 100 Ω·m | Higher Expected: ρs = 1,000 Ω·m | |||||||||||||||||||
|---|---|---|---|---|---|---|---|---|---|---|---|---|---|---|---|---|---|---|---|---|---|
| Area | rlimit1 [m] | rlimit2 [m] | rlimit3 [m] | rlimit4 [m] | rlimit5 [m] | V(rel) [kV] | Rel [Ω] | rlimit1 [m] | rlimit2 [m] | rlimit3 [m] | rlimit4 [m] | rlimit5 [m] | V(rel) [kV] | Rel [Ω] | rlimit1 [m] | rlimit2 [m] | rlimit3 [m] | rlimit4 [m] | rlimit5 [m] | V(rel) [kV] | Rel [Ω] |
| Far | 859.8 | 51.96 | 51.16 | 52.45 | 51.65 | 56.38 | 51.26 | 720.2 | 47.51 | 46.77 | 48.01 | 47.27 | 47.22 | 42.93 | 843.5 | 51.46 | 50.66 | 51.95 | 51.16 | 55.31 | 50.28 |
| Near | 573.6 | 42.35 | 41.69 | 42.84 | 42.19 | 37.61 | 34.19 | 508.3 | 39.83 | 39.22 | 40.33 | 39.71 | 33.33 | 30.30 | 566.3 | 42.07 | 41.42 | 42.57 | 41.92 | 37.14 | 33.76 |
| Far * | 1,117.8 | 67.54 | 66.50 | 68.19 | 67.15 | 73.30 | 66.63 | 936.2 | 61.76 | 60.81 | 62.41 | 61.45 | 61.39 | 55.81 | 1,096.5 | 66.89 | 65.86 | 67.54 | 66.51 | 71.90 | 65.37 |
| Near * | 745.7 | 55.05 | 54.20 | 55.70 | 54.85 | 48.90 | 44.45 | 660.7 | 51.78 | 50.98 | 52.43 | 51.63 | 43.33 | 39.39 | 736.2 | 54.70 | 53.85 | 55.34 | 54.50 | 48.28 | 43.89 |
| Worst-Case: ρs = ∞ Ω·m | Lower Expected: ρs = 1,000 Ω·m | Higher Expected: ρs = 10,000 Ω·m | |||||||
|---|---|---|---|---|---|---|---|---|---|
| ρd = 100 Ω·m /Area | V(rel) [kV] | Rel [Ω] | Variation [-] | V(rel) [kV] | Rel [Ω] | Variation [-] | V(rel) [kV] | Rel [Ω] | Variation [-] |
| Aegina | 11,361 | 10,327.8 | 23.91 | 546.9 | 497.21 | 1.341 | 1,874 | 1,703.7 | 4.009 |
| Salamina | 6,400 | 5,817.7 | 23.91 | 391.7 | 356.12 | 1.600 | 1,552 | 1,411.1 | 5.853 |
| Revithousa | 9,820 | 8,927.2 | 23.91 | 501.0 | 455.45 | 1.394 | 1,787 | 1,624.1 | 4.411 |
| Megara Pachi | 9,431 | 8,573.4 | 23.91 | 489.1 | 444.62 | 1.410 | 1,763 | 1,602.8 | 4.531 |
| ρd = 120 Ω·m /Area | V(rel) [kV] | Rel [Ω] | Variation [-] | V(rel) [kV] | Rel [Ω] | Variation [-] | V(rel) [kV] | Rel [Ω] | Variation [-] |
| Aegina | 13,543 | 12,311.9 | 28.50 | 547.3 | 497.58 | 1.342 | 1,906 | 1,732.9 | 4.078 |
| Salamina | 7,629 | 6,935.4 | 28.50 | 392.4 | 356.76 | 1.602 | 1,600 | 1,454.4 | 6.032 |
| Revithousa | 11,706 | 10,642.3 | 28.50 | 501.5 | 455.87 | 1.395 | 1,822 | 1,656.6 | 4.500 |
| Megara Pachi | 11,243 | 10,220.5 | 28.50 | 489.6 | 445.06 | 1.411 | 1,800 | 1,636.3 | 4.625 |
| Worst-Case: ρs = ∞ Ω·m | Lower Expected: ρs = 100 Ω·m | Higher Expected: ρs = 1,000 Ω·m | |||||||
|---|---|---|---|---|---|---|---|---|---|
| ρd = 100 Ω·m /Area | V(rel) [kV] | Rel [Ω] | Variation [-] | V(rel) [kV] | Rel [Ω] | Variation [-] | V(rel) [kV] | Rel [Ω] | Variation [-] |
| Far | 1,357 | 1,233.1 | 24.06 | 61.08 | 55.527 | 1.293 | 200.9 | 182.66 | 3.633 |
| Near | 904.9 | 822.64 | 24.06 | 47.99 | 43.626 | 1.440 | 176.5 | 160.49 | 4.754 |
| Far * | 1,763 | 1,603.0 | 24.06 | 79.40 | 72.185 | 1.293 | 261.2 | 237.46 | 3.633 |
| Near * | 1,176 | 1,069.4 | 24.06 | 62.39 | 56.713 | 1.440 | 229.5 | 208.64 | 4.754 |
| ρd = 120 Ω·m /Area | V(rel) [kV] | Rel [Ω] | Variation [-] | V(rel) [kV] | Rel [Ω] | Variation [-] | V(rel) [kV] | Rel [Ω] | Variation [-] |
| Far | 1,617 | 1,470.1 | 28.68 | 61.12 | 55.559 | 1.294 | 203.8 | 185.28 | 3.685 |
| Near | 1,079 | 980.72 | 28.68 | 48.04 | 43.674 | 1.441 | 180.5 | 164.08 | 4.860 |
| Far * | 2102 | 1,911.1 | 28.68 | 79.45 | 72.227 | 1.294 | 265.0 | 240.87 | 3.685 |
| Near * | 1,402 | 1,274.9 | 28.68 | 62.45 | 56.776 | 1.441 | 234.6 | 213.31 | 4.860 |
| L [m] | ρd [Ω·m] | ρs [Ω·m] | rlimit1 [m] | rlimit2 [m] | rlimit3 [m] | rlimit4 [m] | rlimit5 [m] | V(rel) [kV] | Rel [Ω] |
|---|---|---|---|---|---|---|---|---|---|
| 1.1815 (slope 3:2) | 100 | ∞ | 143,401 | 70.625 | 68.470 | 71.124 | 68.969 | 19.927 | 18.116 |
| 1,000 | 143,399 | 70.600 | 68.446 | 71.099 | 68.945 | 17.610 | 16.009 | ||
| 10,000 | 143,401 | 70.623 | 68.468 | 71.122 | 68.966 | 19.667 | 17.879 | ||
| 120 | ∞ | 143,401 | 70.625 | 68.470 | 71.124 | 68.969 | 23.702 | 21.547 | |
| 1,000 | 143,399 | 70.600 | 68.446 | 71.099 | 68.945 | 20.444 | 18.586 | ||
| 10,000 | 143,401 | 70.623 | 68.468 | 71.122 | 68.966 | 23.327 | 21.207 | ||
| 2.1300 (vertical) | 100 | ∞ | 138,314 | 38.955 | 37.759 | 39.452 | 38.257 | 11.054 | 10.049 |
| 1,000 | 138,310 | 38.941 | 37.746 | 39.439 | 38.244 | 9.768 | 8.880 | ||
| 10,000 | 138,313 | 38.953 | 37.758 | 39.451 | 38.256 | 10.909 | 9.917 | ||
| 120 | ∞ | 138,314 | 38.955 | 37.759 | 39.452 | 38.257 | 13.147 | 11.952 | |
| 1,000 | 138,310 | 38.941 | 37.746 | 39.439 | 38.244 | 11.340 | 10.309 | ||
| 10,000 | 138,313 | 38.953 | 37.758 | 39.451 | 38.256 | 12.940 | 11.763 |
| L [m] | ρd [Ω·m] | ρs [Ω·m] | rlimit1 [m] | rlimit2 [m] | rlimit3 [m] | rlimit4 [m] | rlimit5 [m] | V(rel) [kV] | Rel [Ω] |
|---|---|---|---|---|---|---|---|---|---|
| 1.1815 (slope 3:2) | 100 | ∞ | 144,914 | 92.271 | 89.460 | 92.770 | 89.959 | 1.2827 | 1.1661 |
| 100 | 144,888 | 91.780 | 88.984 | 92.279 | 89.483 | 1.2773 | 1.1612 | ||
| 1,000 | 144,911 | 92.222 | 89.412 | 92.721 | 89.911 | 1.2821 | 1.1656 | ||
| 120 | ∞ | 144,914 | 92.271 | 89.460 | 92.770 | 89.959 | 1.2827 | 1.1661 | |
| 100 | 144,888 | 91.780 | 88.984 | 92.279 | 89.483 | 1.2774 | 1.1612 | ||
| 1,000 | 144,911 | 92.222 | 89.412 | 92.721 | 89.911 | 1.2822 | 1.1656 | ||
| 2.1300 (vertical) | 100 | ∞ | 140,956 | 50.961 | 49.402 | 51.460 | 49.900 | 0.7115 | 0.6468 |
| 100 | 140,910 | 50.689 | 49.138 | 51.187 | 49.636 | 0.7085 | 0.6441 | ||
| 1,000 | 140,952 | 50.934 | 49.375 | 51.432 | 49.874 | 0.7112 | 0.6465 | ||
| 120 | ∞ | 140,956 | 50.961 | 49.402 | 51.460 | 49.900 | 0.7115 | 0.6468 | |
| 100 | 140,910 | 50.689 | 49.138 | 51.187 | 49.636 | 0.7086 | 0.6441 | ||
| 1,000 | 140,952 | 50.934 | 49.375 | 51.432 | 49.874 | 0.7112 | 0.6466 |
| Stachtoroi (Aegina: θw = 0.00474355 rad) | Korakia (Far *: θw = 0.03997869 rad) | ||||||||
|---|---|---|---|---|---|---|---|---|---|
| L [m] | ρd [Ω·m] | ρs [Ω·m] | rC→A [m] | V(rel) [kV] | Rel [Ω] | ρs [Ω·m] | rC→A [m] | V(rel) [kV] | Rel [Ω] |
| 1.1815 (slope 3:2) | 100 | ∞ | 326.0 | 19.471 | 17.701 | ∞ | 38.56 | 0.4401 | 0.4001 |
| 1,000 | 245.1 | 17.128 | 15.571 | 100 | 27.88 | 0.4018 | 0.3652 | ||
| 10,000 | 315.6 | 19.208 | 17.462 | 1,000 | 37.13 | 0.4356 | 0.3960 | ||
| 120 | ∞ | 326.0 | 23.245 | 21.132 | ∞ | 38.56 | 0.4401 | 0.4001 | |
| 1,000 | 245.1 | 19.963 | 18.148 | 100 | 27.88 | 0.4018 | 0.3653 | ||
| 10,000 | 315.6 | 22.868 | 20.789 | 1,000 | 37.13 | 0.4356 | 0.3960 | ||
| 2.1300 (vertical) | 100 | ∞ | 587.8 | 10.830 | 9.845 | ∞ | 69.51 | 0.2820 | 0.2564 |
| 1,000 | 441.8 | 9.530 | 8.664 | 100 | 50.26 | 0.2606 | 0.2369 | ||
| 10,000 | 569.0 | 10.684 | 9.712 | 1,000 | 66.93 | 0.2795 | 0.2541 | ||
| 120 | ∞ | 587.8 | 12.923 | 11.748 | ∞ | 69.51 | 0.2820 | 0.2564 | |
| 1,000 | 441.8 | 11.102 | 10.093 | 100 | 50.26 | 0.2606 | 0.2369 | ||
| 10,000 | 569.0 | 12.714 | 11.558 | 1,000 | 66.93 | 0.2795 | 0.2541 | ||
| Del [m] | Dframe [m] | Emax [V/m] | d1 [m] | ℓk [m] | Sk [m2] | dframes [m] | ℓt [m] | St [m2] |
|---|---|---|---|---|---|---|---|---|
| point | 414.32 | 20.219 | 40.439 | 1635.29 | 20.219 | 141.535 | 5,723.51 | |
| 0.2 | 2.4 | 58.83 | 20.190 | 40.500 | 1635.40 | 19.050 | 147.748 | 5,966.17 |
| 0.3 | 3.6 | 50.48 | 20.156 | 40.561 | 1635.14 | 18.481 | 150.965 | 6,085.82 |
| 0.4 | 4.8 | 46.08 | 20.108 | 40.658 | 1635.11 | 17.929 | 154.303 | 6,205.48 |
| 0.5 | 6.0 | 43.37 | 20.045 | 40.784 | 1635.04 | 17.392 | 157.744 | 6,323.99 |
| 0.6 | 7.2 | 41.53 | 19.968 | 40.935 | 1634.83 | 16.868 | 161.274 | 6,440.75 |
| 0.7 | 8.4 | 40.19 | 19.878 | 41.113 | 1634.51 | 16.356 | 164.895 | 6,555.68 |
| 0.8 | 9.6 | 39.18 | 19.773 | 41.319 | 1634.04 | 15.860 | 168.618 | 6,668.27 |
| 0.9 | 10.8 | 38.39 | 19.655 | 41.553 | 1633.45 | 15.377 | 172.436 | 6,778.46 |
| 1.0 | 12.0 | 37.76 | 19.527 | 41.813 | 1632.92 | 14.906 | 176.344 | 6,886.81 |
| 1.1 | 13.2 | 37.23 | 19.373 | 42.097 | 1631.12 | 14.448 | 180.339 | 6,987.55 |
| 1.2 | 14.4 | 36.80 | 19.210 | 42.409 | 1629.40 | 14.005 | 184.433 | 7,086.03 |
| 1.3 | 15.6 | 36.42 | 19.034 | 42.748 | 1627.39 | 13.574 | 188.620 | 7,180.56 |
| 1.4 | 16.8 | 36.10 | 18.841 | 43.112 | 1624.58 | 13.156 | 192.892 | 7,268.72 |
| 1.5 | 18.0 | 35.83 | 18.634 | 43.503 | 1621.31 | 12.752 | 197.261 | 7,351.70 |
| Del [m] | Dframe [m] | Emax [V/m] | d1 [m] | ℓk [m] | Sk [m2] | dframes [m] | ℓt [m] | St [m2] |
|---|---|---|---|---|---|---|---|---|
| point | 229.82 | 11.215 | 22.430 | 503.12 | 11.215 | 78.506 | 1,760.92 | |
| 0.2 | 2.4 | 32.63 | 11.165 | 22.530 | 503.12 | 10.065 | 84.856 | 1,894.92 |
| 0.3 | 3.6 | 28.00 | 11.103 | 22.655 | 503.07 | 9.528 | 88.294 | 1,960.60 |
| 0.4 | 4.8 | 25.56 | 11.015 | 22.829 | 502.90 | 9.014 | 91.900 | 2,024.52 |
| 0.5 | 6.0 | 24.06 | 10.901 | 23.051 | 502.55 | 8.525 | 95.678 | 2,085.96 |
| 0.6 | 7.2 | 23.04 | 10.762 | 23.322 | 501.99 | 8.061 | 99.628 | 2,144.41 |
| 0.7 | 8.4 | 22.30 | 10.596 | 23.634 | 500.87 | 7.617 | 103.720 | 2,198.08 |
| 0.8 | 9.6 | 21.74 | 10.404 | 24.005 | 499.49 | 7.203 | 108.018 | 2,247.59 |
| 0.9 | 10.8 | 21.30 | 10.184 | 24.415 | 497.30 | 6.807 | 112.452 | 2,290.49 |
| 1.0 | 12.0 | 20.94 | 9.936 | 24.869 | 494.20 | 6.435 | 117.043 | 2,325.87 |
| 1.1 | 13.2 | 20.65 | 9.660 | 25.367 | 490.10 | 6.084 | 121.785 | 2,352.94 |
| 1.2 | 14.4 | 20.41 | 9.353 | 25.906 | 484.61 | 5.753 | 126.672 | 2,369.57 |
| 1.3 | 15.6 | 20.20 | 9.016 | 26.487 | 477.63 | 5.443 | 131.704 | 2,374.96 |
| 1.4 | 16.8 | 20.03 | 8.648 | 27.106 | 468.81 | 5.153 | 136.871 | 2,367.25 |
| 1.5 | 18.0 | 19.87 | 8.245 | 27.763 | 457.84 | 4.882 | 142.172 | 2,344.54 |
| Del [m] | Dframe [m] | Emax [V/m] | d1 [m] | ℓk [m] | Sk [m2] | dframes [m] | ℓt [m] | St [m2] |
|---|---|---|---|---|---|---|---|---|
| point | 171.60 | 8.374 | 16.748 | 280.50 | 8.374 | 58.618 | 981.73 | |
| 0.2 | 2.4 | 24.37 | 8.307 | 16.882 | 280.49 | 7.241 | 65.086 | 1,081.39 |
| 0.3 | 3.6 | 20.91 | 8.223 | 17.049 | 280.39 | 6.724 | 68.670 | 1,129.39 |
| 0.4 | 4.8 | 19.09 | 8.155 | 17.279 | 281.82 | 6.240 | 72.478 | 1,182.10 |
| 0.5 | 6.0 | 17.96 | 7.951 | 17.576 | 279.50 | 5.788 | 76.515 | 1,216.80 |
| 0.6 | 7.2 | 17.20 | 7.763 | 17.934 | 278.44 | 5.367 | 80.768 | 1,254.01 |
| 0.7 | 8.4 | 16.65 | 7.538 | 18.353 | 276.67 | 4.977 | 85.236 | 1,284.93 |
| 0.8 | 9.6 | 16.23 | 7.274 | 18.831 | 273.95 | 4.615 | 89.908 | 1,307.96 |
| 0.9 | 10.8 | 15.90 | 6.971 | 19.367 | 270.01 | 4.283 | 94.783 | 1,321.49 |
| 1.0 | 12.0 | 15.64 | 6.627 | 19.956 | 264.49 | 3.978 | 99.844 | 1,323.35 |
| 1.1 | 13.2 | 15.42 | 6.240 | 20.596 | 257.02 | 3.698 | 105.085 | 1,311.39 |
| 1.2 | 14.4 | 15.24 | 5.807 | 21.286 | 247.22 | 3.443 | 110.500 | 1,283.38 |
| 1.3 | 15.6 | 15.09 | 5.325 | 22.021 | 234.54 | 3.210 | 116.072 | 1,236.28 |
| 1.4 | 16.8 | 14.95 | 4.793 | 22.799 | 218.55 | 3.000 | 121.797 | 1,167.51 |
| 1.5 | 18.0 | 14.84 | 4.204 | 23.617 | 198.58 | 2.808 | 127.659 | 1,073.43 |
| Supply Method | Jsteady [A/m2] | d2 [m] | d3 [m] | d4 [m] | ℓb-c [m] | ℓu–c [m] | sb-c [m] | su–c [m] | yp [m] | Δyp [m] | Εmax [V/m] |
|---|---|---|---|---|---|---|---|---|---|---|---|
| Operation of 6 frames | 18.33 | 47.67 | 63.97 | −63.97 | −34.25 | 34.25 | 29.72 | 29.72 | 40.75 | −23.22 | 21.91 |
| Operation of 5 frames (except no. 6) | 22.00 | 50.29 | 55.31 | −67.81 | −34.25 | 21.75 | 33.56 | 33.56 | 28.25 | −27.06 *1 | 26.09 |
| Operation of 5 frames (except no. 5) | 22.00 | 48.01 | 18.62 | −66.98 | −34.25 | 9.25 | 32.73 | 9.37 | 15.75 | −2.87 *2 | 26.04 |
| −40.75 | −26.23 | ||||||||||
| 61.59 | 25.98 | 28.25 | 34.25 | 2.27 | 27.34 | 21.75 | 4.23 | ||||
| 40.75 | −20.84 | ||||||||||
| Operation of 5 frames (except no. 4) | 22.00 | 45.66 | 2.97 | −65.86 | −34.25 | −3.25 | 31.61 | 6.22 | 3.25 | 0.28 | 25.95 |
| −40.75 | −25.11 | ||||||||||
| 64.24 | 11.60 | 15.75 | 34.25 | 4.15 | 29.99 | 9.25 | 2.35 | ||||
| 40.75 | −23.49 |
| Supply Method | Jsteady [A/m2] | d2 [m] | d3 [m] | d4 [m] | ℓb-c [m] | ℓu–c [m] | sb-c [m] | su–c [m] | yp [m] | Δyp [m] | Εmax [V/m] |
|---|---|---|---|---|---|---|---|---|---|---|---|
| Operation of 6 frames | 18.33 | 44.50 | 66.64 | −66.64 | −39.25 | 39.25 | 27.39 | 27.39 | 47.75 | −18.89 | 21.68 |
| Operation of 5 frames (except no. 6) | 22.00 | 48.23 | 56.11 | −70.61 | −39.25 | 24.75 | 31.36 | 31.36 | 33.25 | −22.86 *3 | 25.84 |
| Operation of 5 frames (except no. 5) | 22.00 | 45.46 | 20.58 | −69.80 | −39.25 | 10.25 | 30.55 | 10.33 | 18.75 | −1.83 *4 | 25.79 |
| −47.75 | −22.05 | ||||||||||
| 64.18 | 30.42 | 33.25 | 39.25 | 2.83 | 24.93 | 24.75 | 5.67 | ||||
| 47.75 | −16.43 | ||||||||||
| Operation of 5 frames (except no. 4) | 22.00 | 42.14 | 2.65 | −68.68 | −39.25 | −4.25 | 29.43 | 6.90 | 4.25 | 1.60 | 25.72 |
| −47.75 | −20.93 | ||||||||||
| 67.03 | 14.07 | 18.75 | 39.25 | 4.68 | 27.78 | 10.25 | 3.82 | ||||
| 47.75 | −19.28 |
| Supply Method | Jsteady [A/m2] | d2 [m] | d3 [m] | d4 [m] | ℓb-c [m] | ℓu–c [m] | sb-c [m] | su–c [m] | yp [m] | Δyp [m] | Εmax [V/m] |
|---|---|---|---|---|---|---|---|---|---|---|---|
| Operation of 6 frames | 18.33 | 33.74 | 49.29 | −49.29 | −29.25 | 29.25 | 20.04 | 20.04 | 33.75 | −15.54 | 16.59 |
| Operation of 5 frames (except no. 6) | 22.00 | 36.34 | 41.80 | −52.30 | −29.25 | 18.75 | 23.05 | 23.05 | 23.25 | −18.55 *5 | 19.73 |
| Operation of 5 frames (except no. 5) | 22.00 | 34.35 | 15.10 | −51.69 | −29.25 | 8.25 | 22.44 | 6.85 | 12.75 | −2.35 *6 | 19.68 |
| −33.75 | −17.94 | ||||||||||
| 47.33 | 21.61 | 23.25 | 29.25 | 1.64 | 18.28 | 18.75 | 2.86 | ||||
| 33.75 | −13.78 | ||||||||||
| Operation of 5 frames (except no. 4) | 22.00 | 32.02 | 2.17 | −50.85 | −29.25 | −2.25 | 21.60 | 4.42 | 2.25 | 0.08 | 19.61 |
| −33.75 | −17.10 | ||||||||||
| 49.62 | 9.88 | 12.75 | 29.25 | 2.87 | 20.37 | 8.25 | 1.63 | ||||
| 33.75 | −15.87 |
| Korakia | Stachtoroi | ||||
|---|---|---|---|---|---|
| Supply Method | Jsteady [A/m2] | Vrel_max [V] | Rel [Ω] | Vrel_max [V] | Rel [Ω] |
| Operation of 6 frames | 18.33 | 19,527 | 16.713 | 14,899 | 12.766 |
| Operation of 5 frames (except no. 6) | 22.00 | 22,772 | 19.512 | 17,300 | 14.824 |
| Operation of 5 frames (except no. 5) | 22.00 | 22,124 | 18.957 | 16,772 | 14.371 |
| Operation of 5 frames (except no. 4) | 22.00 | 21,199 | 18.164 | 16,015 | 13.722 |
Publisher’s Note: MDPI stays neutral with regard to jurisdictional claims in published maps and institutional affiliations. |
© 2022 by the authors. Licensee MDPI, Basel, Switzerland. This article is an open access article distributed under the terms and conditions of the Creative Commons Attribution (CC BY) license (https://creativecommons.org/licenses/by/4.0/).
Share and Cite
Tsekouras, G.J.; Kontargyri, V.T.; Prousalidis, J.M.; Kanellos, F.D.; Tsirekis, C.D.; Leontaritis, K.; Alexandris, J.C.; Deligianni, P.M.; Kontaxis, P.A.; Moronis, A.X. Alternative Simplified Analytical Models for the Electric Field, in Shoreline Pond Electrode Preliminary Design, in the Case of HVDC Transmission Systems. Energies 2022, 15, 6493. https://doi.org/10.3390/en15176493
Tsekouras GJ, Kontargyri VT, Prousalidis JM, Kanellos FD, Tsirekis CD, Leontaritis K, Alexandris JC, Deligianni PM, Kontaxis PA, Moronis AX. Alternative Simplified Analytical Models for the Electric Field, in Shoreline Pond Electrode Preliminary Design, in the Case of HVDC Transmission Systems. Energies. 2022; 15(17):6493. https://doi.org/10.3390/en15176493
Chicago/Turabian StyleTsekouras, George J., Vassiliki T. Kontargyri, John M. Prousalidis, Fotios D. Kanellos, Constantinos D. Tsirekis, Konstantinos Leontaritis, John C. Alexandris, Panagiota M. Deligianni, Panagiotis A. Kontaxis, and Antonios X. Moronis. 2022. "Alternative Simplified Analytical Models for the Electric Field, in Shoreline Pond Electrode Preliminary Design, in the Case of HVDC Transmission Systems" Energies 15, no. 17: 6493. https://doi.org/10.3390/en15176493
APA StyleTsekouras, G. J., Kontargyri, V. T., Prousalidis, J. M., Kanellos, F. D., Tsirekis, C. D., Leontaritis, K., Alexandris, J. C., Deligianni, P. M., Kontaxis, P. A., & Moronis, A. X. (2022). Alternative Simplified Analytical Models for the Electric Field, in Shoreline Pond Electrode Preliminary Design, in the Case of HVDC Transmission Systems. Energies, 15(17), 6493. https://doi.org/10.3390/en15176493

