Effects of Loading Level on the Variation of Flow Losses in Subsonic Axial Compressors
Abstract
:1. Introduction
2. Numerical Methodology and Validation
2.1. Research Object
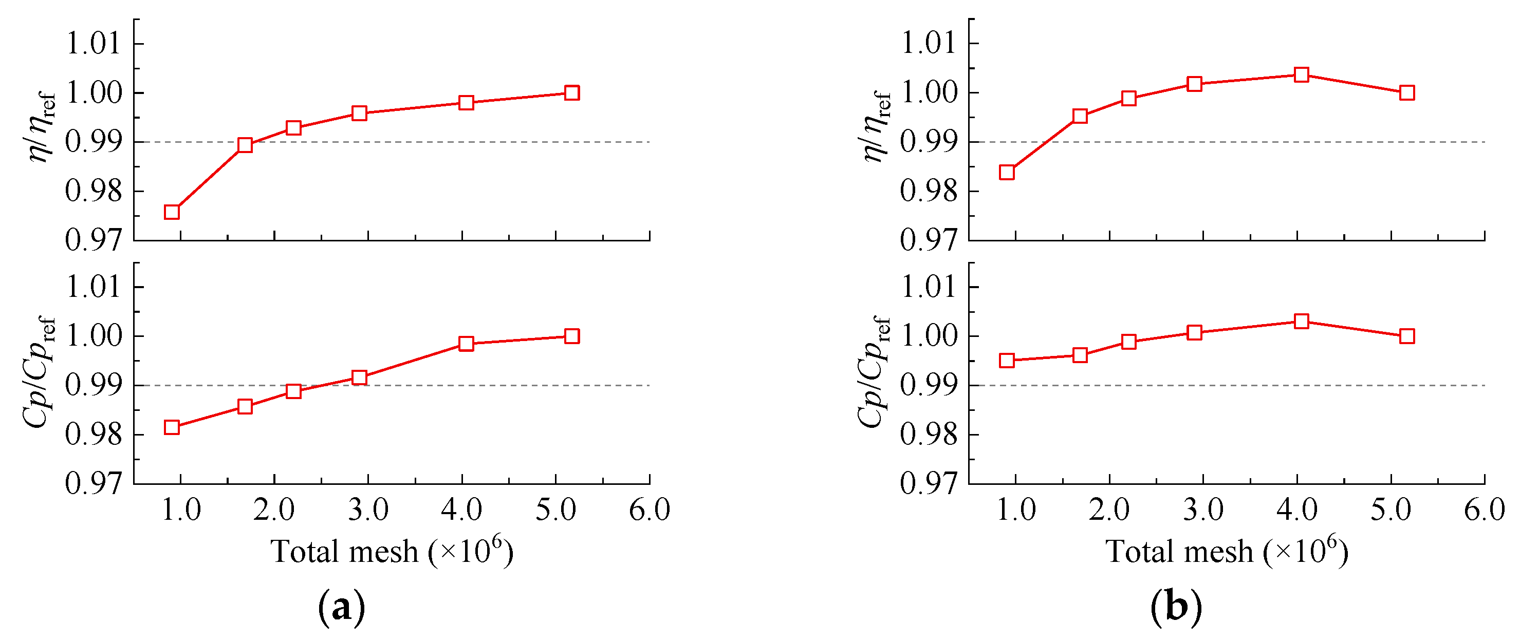
2.2. Calculation Settings
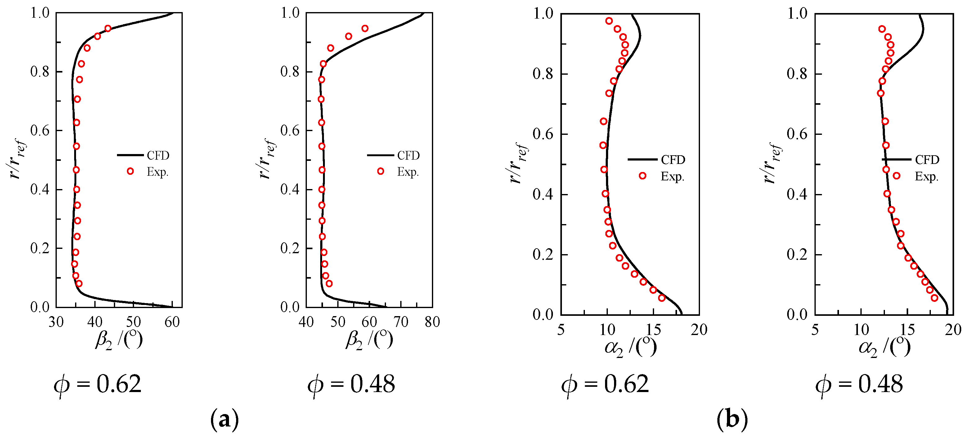
2.3. Validation with the Experimental Results
3. Stage Comparison and the Flow-Based Loss Decomposition Method
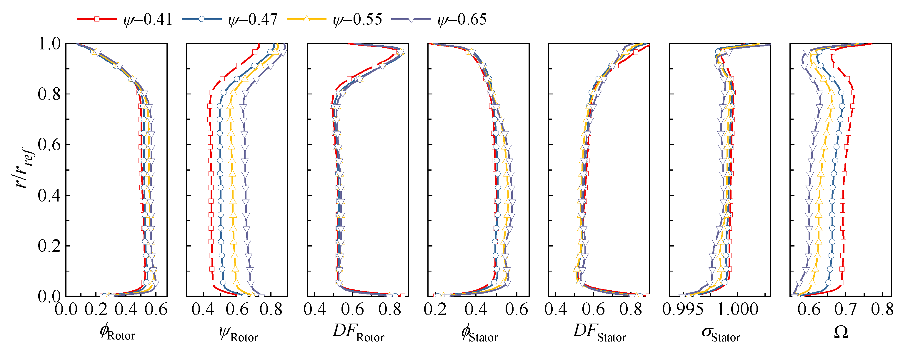
3.1. Design Characteristics of the Ultrahigh Loaded Compressor Stages
3.2. The Decomposition of the Flow Loss
3.2.1. The Loss Decomposition Method
3.2.2. Validation of the Flow Decomposition Method
4. Results and Discussion
4.1. Loss Characteristics in the Ultrahigh Loaded Compressor Stage
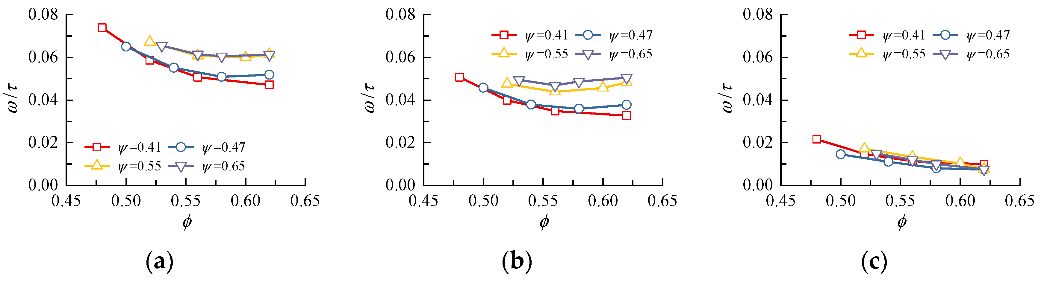
4.1.1. Analysis of the Flow Loss in the Rotors
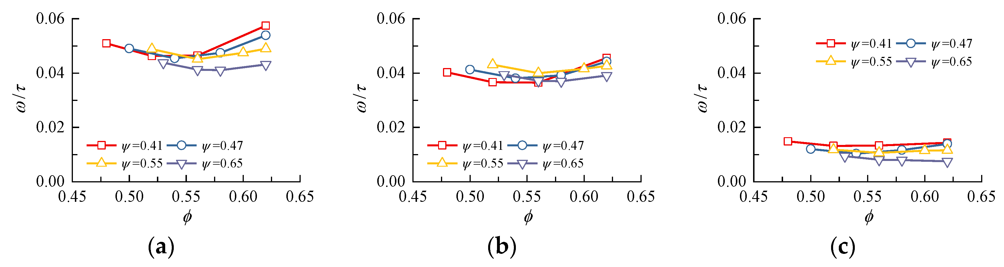
4.1.2. Analysis of the Flow Loss in the Stators
4.2. Inspirations on the Design Process
5. Conclusions
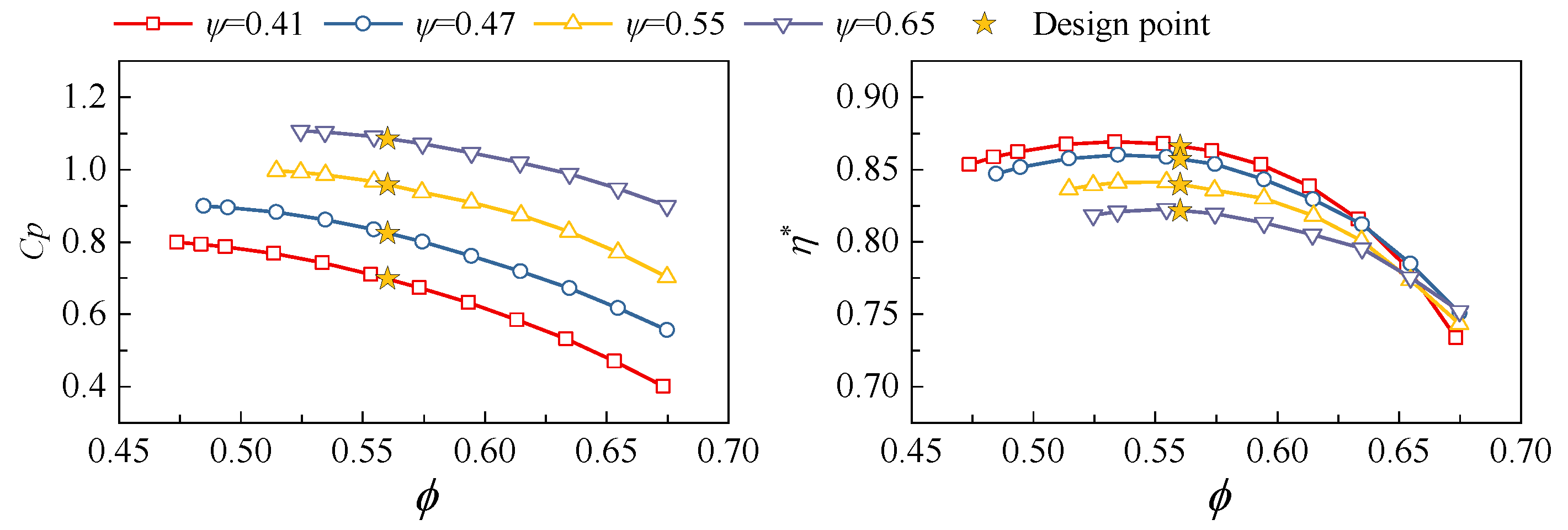
- Four compressors were designed under the same flow coefficient with the loading varying from 0.41 to 0.65. The geometrical features of the stages were similar, and the flow fields were organized following the same pattern. The peak efficiency of the four stages was between 0.87 and 0.82, highlighting the state-of-the-art designing ability.
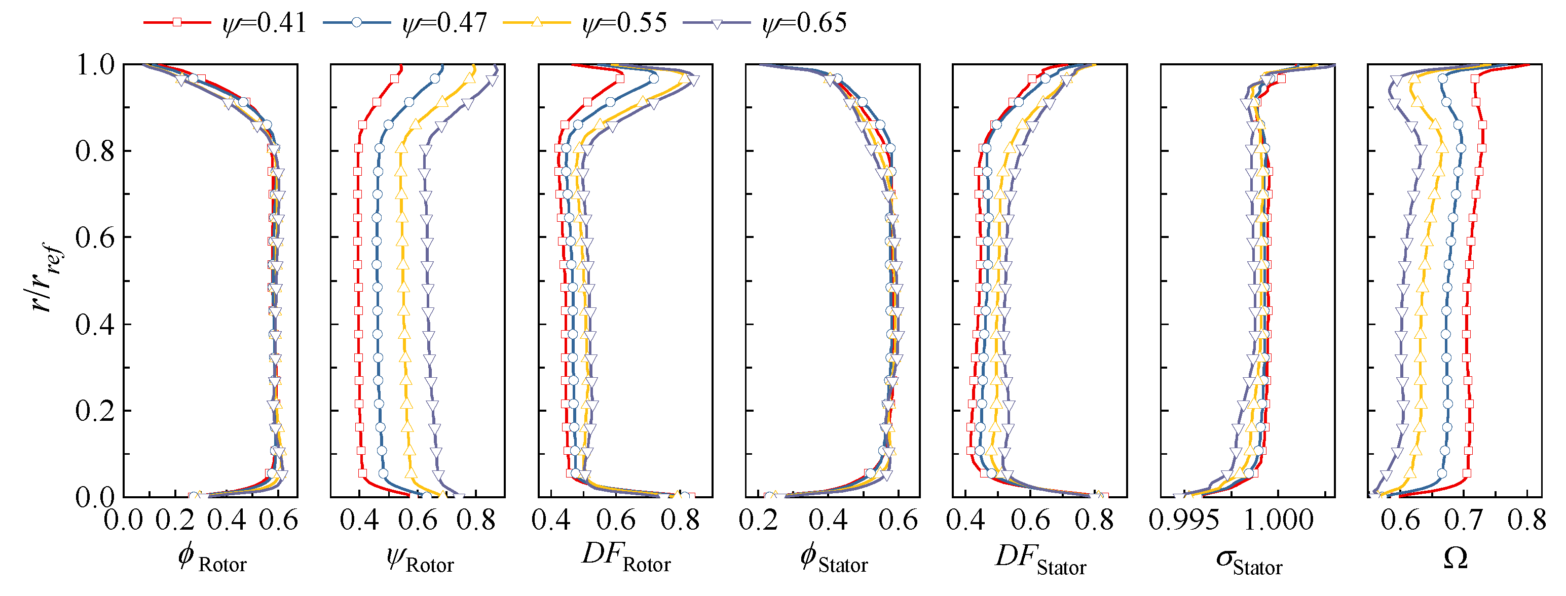
- The blade profile loss dominated the total loss of the rotor passage and played a larger part with the increase in the design loading. The percentage of design-point blade profile loss increased from 69% to 76% when the stage loading was varied from 0.41 to 0.65. The total loss of the rotor blade tended to increase with the increase in the stage pressure rise coefficient, while the increment came mainly from the blade profile loss and the tip leakage loss. The proportion of the blade profile loss was squeezed by the tip leakage loss as Cp increased.
- With the increase in stage pressure rise coefficient, the total loss of the stator first decreased and then increased, while the blade profile loss and the endwall loss held an equal ratio. The blade profile loss in the stator passage was much higher than the losses at the hub and casing corners, whereas the proportion of the blade profile loss increased from 79% to 90% as the design loading changes from 0.41 to 0.65.
- Increasing the solidity reduced the transverse pressure gradient in the blade passage, thereby weakening the tip leakage flow and extending the stage operation range of the ultrahigh loaded compressor. The increase in flow losses in the highly loaded compressor stemmed mainly from the high blade solidity. The selection of solidity should balance between the total loss level and the stage stall margin.
Author Contributions
Funding
Institutional Review Board Statement
Informed Consent Statement
Data Availability Statement
Acknowledgments
Conflicts of Interest
Nomenclature
| Variables | |
| Cp | Static pressure-rise coefficient |
| DF | Diffusion factor |
| m | Mass flow rate |
| n | Rotating speed |
| T* | Total temperature |
| Umid | Midspan velocity |
| w | Relative velocity |
| βk | Metal angle |
| η | Efficiency |
| π | Total pressure ratio |
| ρ | Density |
| φ | Flow coefficient |
| τ | Solidity |
| ψ | Loading coefficient |
| ω | Loss coefficient |
| Ω | Reaction |
| Subscripts | |
| endwall | Endwall loss |
| hub | Hub loss |
| leakage | Tip leakage loss |
| profile | Blade profile loss |
| tip | Total casing loss |
| tipwall | Casing endwall friction loss |
| tot | Total loss |
References
- Wadia, A.R. Some Advances in Fan and Compressor Aero at GE Aircraft Engines, Lecture; Tsinghua University: Beijing, China, 2005. [Google Scholar]
- Wennerstrom, A.J. Experimental study of a high-throughflow transonic axial compressor stage. J. Eng. Gas Turbines Power 1984, 106, 552–560. [Google Scholar] [CrossRef]
- Koch, C.C. Stalling pressure rise capability of axial flow compressor stages. J. Eng. Power 1981, 103, 645–656. [Google Scholar] [CrossRef]
- Schweitzer, J.K.; Garberoglio, J.E. Maximum loading capability of axial flow compressors. J. Aircr. 1984, 21, 593–600. [Google Scholar] [CrossRef]
- Goodhand, M.N.; Miller, R.J. The impact of real geometries on three-dimensional separations in compressors. J. Turbomach. 2012, 134, 021007. [Google Scholar] [CrossRef]
- Komarov, O.V.; Sedunin, V.A.; Blinov, V.L. Application of optimisation techniques for new high-turning axial compressor profile topology design. In Proceedings of the ASME Turbo 2014, Düsseldorf, Germany, 16–20 June 2014. [Google Scholar] [CrossRef]
- Auchoybur, K.; Miller, R.J. Design of compressor endwall velocity triangles. J. Turbomach. 2017, 139, 061005. [Google Scholar] [CrossRef]
- Yan, T.; Chen, H.; Fang, J.; Yan, P. Research on 3D Design of High-Load Counter-Rotating Compressor Based on Aerodynamic Optimization and CFD Coupling Method. Energies 2022, 15, 4770. [Google Scholar] [CrossRef]
- Benini, E.; Biollo, R. Aerodynamics of swept and leaned transonic compressor-rotors. Appl. Energy 2007, 84, 1012–1027. [Google Scholar] [CrossRef]
- Horlock, J.H.; Denton, J.D. A review of some early design practice using computational fluid dynamics and a current perspective. J. Turbomach. 2005, 127, 5–13. [Google Scholar] [CrossRef]
- Aungier, R.H. Axial-Flow Compressors: A Strategy for Aerodynamic Design and Analysis; ASME Press: New York, NY, USA, 2004. [Google Scholar]
- Schnoes, M.; Nicke, E. Automated calibration of compressor loss and deviation correlations. In Proceedings of the ASME Turbo Expo 2015, Montreal, QC, Canada, 15–19 June 2015. [Google Scholar] [CrossRef]
- Koch, C.C.; Smith, L.H., Jr. Loss sources and magnitudes in axial-flow compressors. J. Eng. Gas Turbines Power 1976, 98, 411–424. [Google Scholar] [CrossRef]
- Wisler, D.C. Loss Reduction in Axial-Flow Compressors Through Low-Speed Model Testing. J. Eng. Gas Turbines Power 1985, 107, 354–363. [Google Scholar] [CrossRef]
- Lakshminarayana, B. Fluid Dynamics and Heat Transfer in Turbomachinery; John Wiley & Sons, Inc.: Hoboken, NJ, USA, 1996. [Google Scholar]
- Howell, A.R. Fluid dynamic of axial compressors. Proc. Inst. Mech. Eng. 1945, 153, 441–452. [Google Scholar] [CrossRef]
- Boyer, K.M.; O’Brien, W.F. An improved streamline curvature approach for off-design analysis of transonic axial compression systems. J. Turbomach. 2003, 125, 475–481. [Google Scholar] [CrossRef]
- Denton, J.D. Loss mechanisms in turbomachines. J. Turbomach. 1993, 115, 621–656. [Google Scholar] [CrossRef]
- Saito, S.; Furukawa, M.; Yamada, K.; Watanable, K.; Matsuoka, A.; Niwa, N. Mechanisms and quantitative evaluation of flow loss generation in a multi-stage transonic axial compressor. In Proceedings of the ASME Turbo Expo 2019, Phoenix, AZ, USA, 17–21 June 2019. [Google Scholar] [CrossRef]
- To, H.-O.; Miller, R. The effect of aspect ratio on compressor performance. J. Turbomach. 2019, 141, 081011. [Google Scholar] [CrossRef]
- Zhang, H.D.; Wu, Y.; Li, Y.H. Evaluation of RANS turbulence models in simulating the corner separation of a high-speed compressor cascade. Eng. Appl. Comp. Fluid 2015, 9, 477–489. [Google Scholar] [CrossRef]
- Liu, J.-X.; Yang, F.-S.; Huo, T.-Q.; Deng, J.-Q.; Zhang, Z.-X. Analysis of Impact of a Novel Combined Casing Treatment on Flow Characteristics and Performance of a Transonic Compressor. Energies 2022, 15, 5066. [Google Scholar] [CrossRef]
- Cao, Z.Y.; Song, C.; Gao, X.; Zhang, X.; Zhang, F.; Liu, B. Effects of pulsed endwall air injection on corner separation and vortical flow of a compressor cascade. Eng. Appl. Comp. Fluid 2022, 16, 879–903. [Google Scholar] [CrossRef]
- Liu, B.J.; Qiu, Y.; An, G.F.; Yu, X.J. Utilization of zonal method for five-hole probe measurements of complex axial compressor flows. J. Fluids Eng. 2020, 142, 061504. [Google Scholar] [CrossRef]
- Liu, B.J.; An, G.F.; Yu, X.J.; Zhang, Z.B. Experimental investigation of the effect of rotor tip gaps on 3D separating flows inside the stator of a highly loaded compressor stage. Exp. Therm. Fluid Sci. 2016, 75, 96–107. [Google Scholar] [CrossRef] [Green Version]



























| Stage 1 | Stage 2 | Stage 3 | Stage 4 | |
|---|---|---|---|---|
| Loading coefficient ψ (-) | 0.41 | 0.47 | 0.55 | 0.65 |
| Pressure rise coefficient Cp (-) | 0.71 | 0.83 | 0.97 | 1.09 |
| Stage efficiency (rotor + stator) η (-) | 0.86 | 0.86 | 0.84 | 0.82 |
| Flow coefficient φ (-) | 0.56 | |||
| Tip diameter (m) | 0.25 | |||
| Hub-to-tip ratio (-) | 0.85 | |||
| Rotating speed n (rpm) | 2400 | |||
| IGV Grid (×106) | Rotor Grid (×106) | Spanwise Grid in the Rotor Shroud Gap | Stator Grid (×106) | |
|---|---|---|---|---|
| Mesh 1 | 0.85 | 0.43 | 13 | 0.34 |
| Mesh 2 | 0.84 | 21 | 0.60 | |
| Mesh 3 | 1.14 | 29 | 0.76 | |
| Mesh 4 | 1.51 | 37 | 1.00 | |
| Mesh 5 | 1.96 | 41 | 1.49 | |
| Mesh 6 | 2.53 | 41 | 1.89 |
| Case A | Case B | Case C | Case D | |
|---|---|---|---|---|
| Tip clearance | 1.5% span | 0 | 1.5% span | 1.5% span |
| Hub and shroud walls: rotor | non-slip wall | non-slip wall | slip wall | non-slip wall |
| Hub and shroud walls: stator | non-slip wall | non-slip wall | non-slip wall | slip wall |
Publisher’s Note: MDPI stays neutral with regard to jurisdictional claims in published maps and institutional affiliations. |
© 2022 by the authors. Licensee MDPI, Basel, Switzerland. This article is an open access article distributed under the terms and conditions of the Creative Commons Attribution (CC BY) license (https://creativecommons.org/licenses/by/4.0/).
Share and Cite
Wang, R.; Yu, X.; Liu, B.; An, G. Effects of Loading Level on the Variation of Flow Losses in Subsonic Axial Compressors. Energies 2022, 15, 6251. https://doi.org/10.3390/en15176251
Wang R, Yu X, Liu B, An G. Effects of Loading Level on the Variation of Flow Losses in Subsonic Axial Compressors. Energies. 2022; 15(17):6251. https://doi.org/10.3390/en15176251
Chicago/Turabian StyleWang, Ruoyu, Xianjun Yu, Baojie Liu, and Guangfeng An. 2022. "Effects of Loading Level on the Variation of Flow Losses in Subsonic Axial Compressors" Energies 15, no. 17: 6251. https://doi.org/10.3390/en15176251
APA StyleWang, R., Yu, X., Liu, B., & An, G. (2022). Effects of Loading Level on the Variation of Flow Losses in Subsonic Axial Compressors. Energies, 15(17), 6251. https://doi.org/10.3390/en15176251

