A High Conductive Composite Bipolar Plate with Conductive Network Constructed by Chemical Vapor Deposition
Abstract
:1. Introduction
2. Materials and Methods
2.1. Materials
2.2. The Preparation of VGCFs with CVD
2.3. The Preparation of Composite BPs with Compression Molding
2.4. Characterization of VGCFs and Prepared Composite BPs
3. Results
3.1. Morphology of VGCFs and Expanded Graphite
3.2. XRD and Raman Spectra of EG Modified with VGCFs
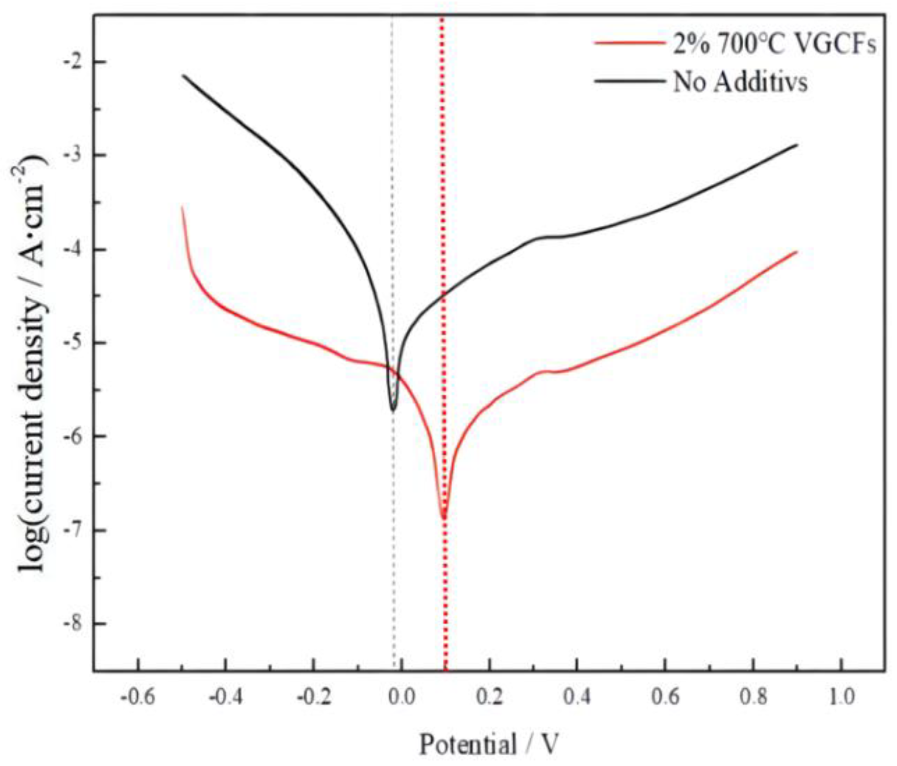
3.3. The Results of Adding VGCFs on the Performance of Composite BPs
4. Discussions
4.1. Influence and Analysis of Different Temperatures on the Morphology of VGCFs and EG Deposited with VGCFs
4.2. Effects of Deposition Temperature and Loading of VGCFs on the Properties of Composite Bipolar Plates
5. Conclusions
Supplementary Materials
Author Contributions
Funding
Data Availability Statement
Conflicts of Interest
References
- Xiong, K.; Wu, W.; Wang, S.; Zhang, L. A global integral terminal sliding mode control based on a novel reaching law for a proton exchange membrane fuel cell system. Appl. Energy 2021, 301, 117473. [Google Scholar]
- Jeong, K.I.; Oh, J.; Song, S.A.; Lee, D.; Kim, S.S. A review of composite bipolar plates in proton exchange membrane fuel cells: Electrical properties and gas permeability. Compos. Struct. 2021, 262, 113617. [Google Scholar] [CrossRef]
- Kendall, M. Fuel cell development for New Energy Vehicles (NEVs) and clean air in China. Prog. Nat. Sci. Mater. Int. 2018, 28, 113–120. [Google Scholar] [CrossRef]
- Kumar, N.; Shaik, G.P.; Pandurangan, S.; Khalkho, B.; Neelakantan, L.; Chetty, R. Corrosion characteristics and fuel cell performance of a cost-effective high Mn–Low Ni austenitic stainless steel as an alternative to SS 316L bipolar plate. Int. J. Energy Res. 2020, 44, 11092–11473. [Google Scholar] [CrossRef]
- Xu, Z.; Li, Z.; Zhang, R.; Jiang, T.; Peng, L.F. Fabrication of micro channels for titanium PEMFC bipolar plates by multistage forming process. Int. J. Hydrogen Energy 2020, 46, 11092–11103. [Google Scholar] [CrossRef]
- André, J.; Claude, E.; Sirac, D.; Gastaldin, D.; Rossinot, E. PEMFC Flow-field Design, Channel/land Width Ratio Optimization. Fuel Cells 2020, 20, 231–235. [Google Scholar] [CrossRef]
- Kakati, B.K.; Mohan, V. Development of low cost advanced bipolar plates for proton exchange membrane fuel cells. Fuel Cells 2010, 8, 45–51. [Google Scholar] [CrossRef]
- Wodarczyk, R. Corrosion analysis of graphite sinter as bipolar plates in the low-temperature PEM fuel cell simulated environments. J. Solid State Electrochem. 2021, 1–9. [Google Scholar] [CrossRef]
- Hu, B.; Chang, F.L.; Xiang, L.Y.; He, G.J.; Cao, X.W.; Yin, X.C. High performance polyvinylidene fluoride/graphite/multi-walled carbon nanotubes composite bipolar plate for PEMFC with segregated conductive networks. Int. J. Hydrogen Energy 2021, 46, 25666–25676. [Google Scholar] [CrossRef]
- Neto, D.M.; Oliveira, M.C.; Alves, J.L.; Menezes, L.F. Numerical study on the formability of metallic bipolar plates for proton exchange membrane (PEM) fuel cells. Metals 2019, 9, 810. [Google Scholar] [CrossRef] [Green Version]
- Jia, Q.; Mu, Z.; Zhang, X.; Zhang, B.; Liu, R.; Gao, K.; Yu, Y.; Lai, Z.; Zhang, J. Electronic conductive and corrosion mechanisms of dual nanostructure CuCr-doped hydrogenated carbon films for SS316L bipolar plates. Mater. Today Chem. 2021, 21, 100521. [Google Scholar] [CrossRef]
- Wu, S.D.; Chiou, A.H. The study on a new method of preparing PMMA forming composite bipolar plate. Sci. Rep. 2021, 11, 8753. [Google Scholar] [CrossRef] [PubMed]
- Daniiel, S.; Gheorghe, O.C. Influence of the Surface Microstructure of Conductive Polymer Composite Bipolar Plate on the Fuel Cell Performance. Macromol. Symp. 2021, 396, 2000324. [Google Scholar] [CrossRef]
- Jiang, F.; Liao, W.; Ayukawa, T.; Yoon, S.H.; Nakabayashi, K.; Miyawaki, J. Enhanced performance and durability of composite bipolar plate with surface modification of cactus-like carbon nanofibers. J. Power Sources 2021, 482, 228903. [Google Scholar] [CrossRef]
- Akhtar, M.N.; Sulong, A.B.; Umer, A.B.; Yousaf, A.B.; Khan, M.A. Multi-Component MWCNT/NG/EP-based Bipolar Plates with Enhanced Mechanical and Electrical Characteristics Fabricated by Compression Moulding. Ceram. Int. 2018, 44, 11457–11464. [Google Scholar] [CrossRef]
- Scott, P.E.; Calay, R.K. Experimental investigation of a novel design of proton exchange membrane fuel cell stack. Heat Transf. Eng. 2013, 34, 925–937. [Google Scholar] [CrossRef]
- Radzuan, N.M.; Sulong, A.B.; Somalu, M.R.; Abdullah, A.T.; Husaini, T.; Rosli, R.E.; Majlan, E.H.; Rosli, M.I. Fibre orientation effect on polypropylene/milled carbon fiber composites in the presence of carbon nanotubes or graphene as a secondary filler: Application on PEM fuel cell bipolar plate. Int. J. Hydrogen Energy 2019, 44, 30618–30626. [Google Scholar] [CrossRef]
- Dhungana, B.; Son, Y. Fluidity, Physical Properties and Electrical Conductivity of PC/Graphite Intercalated Compound Composite for a Bipolar Plate in the Polymer Electrolyte Membrane Fuel Cell. Polym. Korea 2019, 43, 188–195. [Google Scholar] [CrossRef] [Green Version]
- Jang, W.I.; Lee, J.W.; Baek, Y.M.; Park, O.O. Development of a PP/carbon/CNT composite electrode for the zinc/bromine redox flow battery. Macromol. Res. 2016, 24, 276–281. [Google Scholar] [CrossRef]
- Hua, Y.Z.; Xiao, D.Y.; Xiao, J.L.; Wang, T. Preparation of CF Reinforced PPS/Graphite Conductive Composite for Bipolar Plate. Adv. Mater. Res. 2014, 2949, 1425–1429. [Google Scholar]
- Anas, A.; Yutaro, U.; Yoshiyuki, S. Nylon 6/CB polymeric conductive plastic bipolar plates for PEM fuel cells. J. Nanomater. 2015, 101, 3415–3421. [Google Scholar] [CrossRef]
- Ramírez-Herrera, C.A.; Tellez-Cruz, M.M.; Pérez-González, J.; Solorza-Feria, O.; Flores-Vela, A.; Cabañas-Moreno, J.G. Enhanced mechanical properties and corrosion behavior of polypropylene/multi-walled carbon nanotubes/carbon nanofibers nanocomposites for application in bipolar plates of proton exchange membrane fuel cells. Int. J. Hydrogen Energy 2021, 46, 26110–26125. [Google Scholar] [CrossRef]
- Kirkpatrick, S. Percolation and Conduction. Rev. Mod. Phys. 1973, 45, 574–588. [Google Scholar] [CrossRef]
- Bauhofer, W.; Kovacs, J.Z. A review and analysis of electrical percolation in carbon nanotube polymer composites. Compos. Sci. Technol. 2009, 69, 1486–1498. [Google Scholar] [CrossRef]
- Shklovskiĭ, B.I.; Efros, A.L. Electronic Properties of Doped Semiconductors; Springer: Berlin/Heidelberg, Germany, 1984. [Google Scholar]
- van Beek, L.K.H.; van Pul, B.I.C.F. Internal field emission in carbon black-loaded natural rubber vulcanizates. J. Appl. Polym. Sci. 1963, 6, 651–655. [Google Scholar] [CrossRef]
- Zakaria, M.Y.; Sulong, A.B.; Sahari, J.; Suherman, H. Effect of the addition of milled carbon fiber as a secondary filler on the electrical conductivity of graphite/epoxy composites for electrical conductive material. Compos. Part B 2015, 83, 75–80. [Google Scholar] [CrossRef]
- Zhao, X.; Meng, G.; Wang, P.; Pan, Q.; Chen, B.; Zhang, H. Copper-assisted growth of high-purity carbon nanofiber networks with controllably tunable wettabilities. J. Mater. Chem. A 2021, 9, 22039–22047. [Google Scholar] [CrossRef]











| 600 °C | 700 °C | 800 °C | |
|---|---|---|---|
| ID:IG | 0.154 | 0.113 | 0.379 |
| Sample | BET Surface Area m2/g | Volume of Pores g/cm3 | Porosity % | Average Pore Diameter/nm |
|---|---|---|---|---|
| No loading of VGCFs and MWCNTs | 10.5139 | 0.06974 | 4.050 | 23.4636 |
| 2% MWCNTs | 12.1030 | 0.06173 | 3.657 | 22.1203 |
| 2% VGCF prepared at 800 °C | 10.9146 | 0.06264 | 3.576 | 22.9578 |
| 2% VGCF prepared at 700 °C | 4.0991 | 0.03446 | 2.003 | 33.6280 |
| Sample | Density g/cm3 | Bending Strength /MPa | Contact Angle/° | ICR /mΩ·cm2 | Conductivity S/cm |
|---|---|---|---|---|---|
| No loading of VGCFs and MWCNTs | 1.652 | 34.43 | 95.52 | 7.56 | 188.72 |
| S1 (2% VGCF prepared at 600 °C) | 1.699 | 42.13 | 104.45 | 6.68 | 224.36 |
| S2 (2% VGCF prepared at 700 °C) | 1.718 | 49.14 | 106.04 | 6.24 | 255.27 |
| S3 (0.5% VGCF prepared at 800 °C) | 1.689 | 33.27 | 82.07 | 7.04 | 193.54 |
| S4 (1% MWCNTs) | 1.688 | 36.53 | 95.53 | 6.59 | 204.43 |
| S5 (2% MWCNTs) | 1.643 | 33.56 | 93.07 | 6.67 | 193.27 |
Publisher’s Note: MDPI stays neutral with regard to jurisdictional claims in published maps and institutional affiliations. |
© 2022 by the authors. Licensee MDPI, Basel, Switzerland. This article is an open access article distributed under the terms and conditions of the Creative Commons Attribution (CC BY) license (https://creativecommons.org/licenses/by/4.0/).
Share and Cite
Li, W.; Zeng, H.; Peng, T.; Gao, Z.; Xie, Z. A High Conductive Composite Bipolar Plate with Conductive Network Constructed by Chemical Vapor Deposition. Energies 2022, 15, 4979. https://doi.org/10.3390/en15144979
Li W, Zeng H, Peng T, Gao Z, Xie Z. A High Conductive Composite Bipolar Plate with Conductive Network Constructed by Chemical Vapor Deposition. Energies. 2022; 15(14):4979. https://doi.org/10.3390/en15144979
Chicago/Turabian StyleLi, Wenkai, Haodong Zeng, Tao Peng, Ziteng Gao, and Zhiyong Xie. 2022. "A High Conductive Composite Bipolar Plate with Conductive Network Constructed by Chemical Vapor Deposition" Energies 15, no. 14: 4979. https://doi.org/10.3390/en15144979
APA StyleLi, W., Zeng, H., Peng, T., Gao, Z., & Xie, Z. (2022). A High Conductive Composite Bipolar Plate with Conductive Network Constructed by Chemical Vapor Deposition. Energies, 15(14), 4979. https://doi.org/10.3390/en15144979
