Joint Estimation of SOC and SOH for Single-Flow Zinc–Nickel Batteries
Abstract
:1. Introduction
2. Battery State Space Model
2.1. Battery Modeling
2.2. Model Parameter Recognition
2.3. Model Validation
3. Improved Harris Hawk Optimization Algorithm
3.1. Standard HHO
- (1)
 - Exploration phase. The Harris hawk is in a waiting mode during this phase; it is based on two strategies to find prey in random places, and iterates with probability . The expression is shown in Equation (7).where , stands for the position at the t and t + 1th iteration, respectively; stands for the position of prey at tth; , , , , are random numbers in the interval (0,1); and , are the lower and upper borders of space. is the random position, and is mean position at tth, which is described as follows.
 - (2)
 - Transition from exploration to exploitation. The HHO algorithm can transfer from exploration to exploitation through the energy equation of the prey. The model is described as follows.where indicates the escaping energy of the prey; is the initial value of energy, which is modeled as Equation (10); and T and t are the maximum number of iterations and current value.
 - (3)
 - Exploitation phase. Depending on the probability of escape of its prey, the Harris hawk performs four types of attacks. The following r is a random number indicating the probability of escape.
 
3.2. Improved HHO
- (1)
 - Stochastic contraction exponential function. The magnitude of prey energy (E) plays an important role in balancing exploration and exploitation. Mathematicians simulate the interaction between predator and prey [23], and then draw conclusion that the stochastic contraction exponential function is better suited to express the energy change during prey escape. The energy equation is given by (15).
 - (2)
 - Adaptive weights. In order to improve the local capability of the algorithm, it is necessary to update the neighborhood of the prey position to find a better solution. The expressions are as follows.where w is the weight and is the neighborhood of the prey position.
 - (3)
 - Polynomial variation. To address the problem that HHO tends to fall into the local optimum, the method of polynomial variation is used in this work. The expressions are as follows.where is a random inside (0, 1); is a distribution exponent; is a variational operator; and are the upper and lower limits of the position; , where n is the dimension; is the historical optimal position; and is the value after variation.
 
3.3. Testing
4. Joint Estimation of SOC and SOH
4.1. Multi-Timescale DUKF Estimation
- (1)
 - Initialize the state variables and error covariance matrix:where , and describe the initial values of the state error covariance for the SOC estimation model and the parameter estimation model, respectively.
 - (2)
 - Generate Sigma points:where n stands for number of state variables, is a coefficient, and the expression is as follows:where describes the extent to which the Sigma point deviation from the state value, h is a coefficient to guarantee variance matrix is semi-positive definite. = 1 × 10−3, h = 0.
 - (3)
 - Determination of the weighting factors:where and are the weights, and = 2.
 - (4)
 - Time refresh:where is the mean of process noise, and is the covariance of the process noise.
 - (5)
 - Measurement update:
 
4.2. Improved DUKF
4.3. The Capacity Update Model
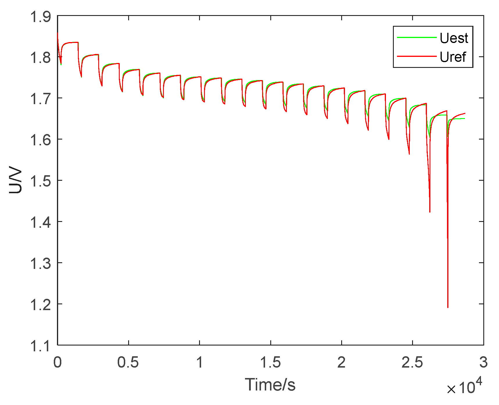
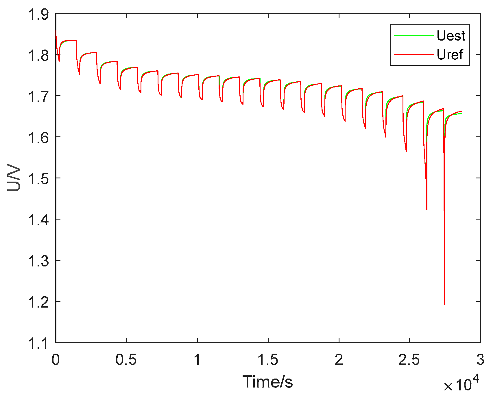
4.4. Results Validation and Analysis
5. Conclusions
Author Contributions
Funding
Institutional Review Board Statement
Informed Consent Statement
Data Availability Statement
Conflicts of Interest
Nomenclature
| ZNB | Single-flow zinc–nickel battery | Electrochemical polarization capacitance | |
| SOC | State of charge | Concentration polarization capacitance | |
| SOH | State of health | Coulomb efficiency factor | |
| DUKF | Double unscented Kalman filter | Related capacity | |
| HHO | Harris hawk optimization algorithm | SCA | Sine cosine algorithm | 
| RFB | Redox flow battery | GA | Genetic algorithm | 
| VRB | All-vanadium redox flow battery | E | Escaping energy | 
| BMS | Battery management system | Process noise | |
| ECM | Equivalent circuit model | Measurement noise | |
| CC | Coulomb counting | REF | Reference values | 
| OCC | Open circuit voltage method | EST | Estimated values | 
| ACI | AC impedance method | Current capacity | |
| DD | Data-driven method | Current resistance | |
| RLS | Recursive least squares filter | New battery resistance | |
| PF | Particle filter | Process noise for capacity | |
| KF | Kalman filter | Measurement noise for capacity | |
| EDCR | Equivalent DC resistance | UKF | Unscented Kalman filter | 
| Ohmic internal resistance | IDUKF | Improved double unscented Kalman filter | |
| Electrochemical polarization resistance | CCPC | Constant current pulse condition | |
| Concentration polarization resistance | VCCC | Variable current continuity condition | 
References
- Hu, X.; Zou, C.; Zhang, C.; Li, Y. Technological Developments in Batteries: A Survey of Principal Roles, Types, and Management Needs. IEEE Power Energy Mag. 2017, 15, 20–31. [Google Scholar] [CrossRef]
 - Leung, P.; Li, X.; Ponce De León, C.; Berlouis, L.; Low, C.T.J.; Walsh, F.C. Progress in redox flow batteries, remaining challenges and their applications in energy storage. RSC Adv. 2012, 2, 10125. [Google Scholar] [CrossRef]
 - Cheng, J.; Zhang, L.; Yang, Y.; Wen, Y.; Cao, G.; Wang, X. Preliminary study of single flow zinc–nickel battery. Electrochem. Commun. 2007, 9, 2639–2642. [Google Scholar] [CrossRef]
 - Zhang, L.; Cheng, J.; Yang, Y.; Wen, Y.; Wang, X.; Cao, G. Study of zinc electrodes for single flow zinc/nickel battery application. J. Power Sources 2008, 179, 381–387. [Google Scholar] [CrossRef]
 - Li, S.; Li, K.; Xiao, E.; Wong, C. Joint SoC and SoH Estimation for Zinc–Nickel Single-Flow Batteries. IEEE Trans. Ind. Electron. 2020, 67, 8484–8494. [Google Scholar] [CrossRef]
 - Rajabloo, B.; Jokar, A.; Wakem, W.; Désilets, M.; Brisard, G. Lithium iron phosphate electrode semi-empirical performance model. J. Appl. Electrochem. 2018, 48, 663–674. [Google Scholar] [CrossRef]
 - Hu, X.; Li, S.; Peng, H. A comparative study of equivalent circuit models for Li-ion batteries. J. Power Sources 2012, 198, 359–367. [Google Scholar] [CrossRef]
 - Kim, T.; Qiao, W. A Hybrid Battery Model Capable of Capturing Dynamic Circuit Characteristics and Nonlinear Capacity Effects. IEEE Trans. Energy Convers. 2011, 26, 1172–1180. [Google Scholar] [CrossRef] [Green Version]
 - Zhang, C.; Wang, L.Y.; Li, X.; Chen, W.; Yin, G.G.; Jiang, J. Robust and Adaptive Estimation of State of Charge for Lithium-Ion Batteries. IEEE Trans. Ind. Electron. 2015, 62, 4948–4957. [Google Scholar] [CrossRef]
 - Misyris, G.S.; Doukas, D.I.; Papadopoulos, T.A.; Labridis, D.P.; Agelidis, V.G. State-of-Charge Estimation for Li-Ion Batteries: A More Accurate Hybrid Approach. IEEE Trans. Energy Convers. 2019, 34, 109–119. [Google Scholar] [CrossRef] [Green Version]
 - Xiong, R.; Yu, Q.; Wang, L.Y.; Lin, C. A novel method to obtain the open circuit voltage for the state of charge of lithium ion batteries in electric vehicles by using H infinity filter. Appl. Energy 2017, 207, 346–353. [Google Scholar] [CrossRef]
 - Xiong, R.; Sun, F.; Gong, X.; Gao, C. A data-driven based adaptive state of charge estimator of lithium-ion polymer battery used in electric vehicles. Appl. Energy 2014, 113, 1421–1433. [Google Scholar] [CrossRef]
 - Rahimi-Eichi, H.; Baronti, F.; Chow, M. Online Adaptive Parameter Identification and State-of-Charge Coestimation for Lithium-Polymer Battery Cells. IEEE Trans. Ind. Electron. 2014, 61, 2053–2061. [Google Scholar] [CrossRef]
 - Zhou, D.; Zhang, K.; Ravey, A.; Gao, F.; Miraoui, A. Online Estimation of Lithium Polymer Batteries State-of-Charge Using Particle Filter-Based Data Fusion with Multimodels Approach. IEEE Trans. Ind. Appl. 2016, 52, 2582–2595. [Google Scholar] [CrossRef]
 - Xiong, B.; Zhao, J.; Su, Y.; Wei, Z.; Skyllas-Kazacos, M. State of Charge Estimation of Vanadium Redox Flow Battery Based on Sliding Mode Observer and Dynamic Model Including Capacity Fading Factor. IEEE Trans. Sustain. Energy 2017, 8, 1658–1667. [Google Scholar] [CrossRef]
 - Tsang, K.M.; Chan, W.L. State of health detection for Lithium ion batteries in photovoltaic system. Energy Convers. Manag. 2013, 65, 7–12. [Google Scholar] [CrossRef]
 - Wu, J.; Wang, Y.; Zhang, X.; Chen, Z. A novel state of health estimation method of Li-ion battery using group method of data handling. J. Power Sources 2016, 327, 457–464. [Google Scholar] [CrossRef]
 - Chen, Z.; Yang, L.; Sun, X. State of Charge and State of Health Estimation of Li-ion Batteries Based on Adaptive Square-root Unscented Kalman Filters. Proc. CSEE 2018, 38, 2384–2393. [Google Scholar]
 - Cheng, Z.; Zhang, Q.Y.; Zhang, Y.H. Online State-of-Charge Estimation of Li-Ion Battery Based on the Second-Order RC Model. Adv. Mater. Res. 2013, 805–806, 1659–1663. [Google Scholar] [CrossRef]
 - Kim, J.; Shin, J.; Chun, C.; Cho, B.H. Stable Configuration of a Li-Ion Series Battery Pack Based on a Screening Process for Improved Voltage/SOC Balancing. IEEE Trans. Power Electron. 2012, 27, 411–424. [Google Scholar] [CrossRef]
 - Plett, G.L. Extended Kalman filtering for battery management systems of LiPB-based HEV battery packs. J. Power Sources 2004, 134, 252–261. [Google Scholar] [CrossRef]
 - Heidari, A.A.; Mirjalili, S.; Faris, H.; Aljarah, I.; Mafarja, M.; Chen, H. Harris hawks optimization: Algorithm and applications. Future Gener. Comput. Syst. 2019, 97, 849–872. [Google Scholar] [CrossRef]
 - Moustafa, M.; Mohd, M.H.; Ismail, A.I.; Abdullah, F.A. Dynamical analysis of a fractional-order Rosenzweig–MacArthur model incorporating a prey refuge. Chaos Solitons Fractals 2018, 109, 1–13. [Google Scholar] [CrossRef]
 - Moon, C.; Han, J.S.; Kwon, Y.A. Square-Root Unscented Kalman Filter for State Estimation of Permanent Magnet Synchronous Motor; The Society of Instrument and Control Engineers—SICE: Tokyo, Japan, 2016; pp. 460–464. [Google Scholar]
 


















| Function Name | Expressions | Range | Optimal Value | 
|---|---|---|---|
| Shifted Sphere | (−100, 100) | 0 | |
| Shifted Schwefel 2.21 | (−10, 10) | 0 | 
| Function | N | Indication | SCA | GA | HHO | IHHO | 
|---|---|---|---|---|---|---|
| 4 | Ave | 8.5476 | 2.2238 | 7.0177 × 10−3 | 0 | |
| Std | 2.8957 | 1.5334 | 6.3068 × 10−3 | 0 | ||
| 4 | Ave | 2.3606 × 10−1 | 1.0444 × 101 | 4.5452 × 10−2 | 9.474 × 10−16 | |
| Std | 7.4158 × 10−2 | 2.2259 × 102 | 2.2962 × 10−2 | 1.211 × 10−15 | ||
| 18 | Ave | 5.39305 × 103 | 5.52848 × 102 | 1.93612 × 101 | 4.165 × 10−6 | |
| Std | 1.2103409 × 103 | 9.70237 × 101 | 1.68195 × 101 | 3.762 × 10−6 | ||
| 18 | Ave | 4.5491 | 1.0576 | 1.3325 | 3.852 × 10−2 | |
| Std | 6.2022 × 10−1 | 1.4971 × 10−1 | 5.8435 × 10−1 | 4.074 × 10−2 | 
Publisher’s Note: MDPI stays neutral with regard to jurisdictional claims in published maps and institutional affiliations.  | 
© 2022 by the authors. Licensee MDPI, Basel, Switzerland. This article is an open access article distributed under the terms and conditions of the Creative Commons Attribution (CC BY) license (https://creativecommons.org/licenses/by/4.0/).
Share and Cite
Song, C.; Zhang, Y.; Ling, Q.; Zheng, S. Joint Estimation of SOC and SOH for Single-Flow Zinc–Nickel Batteries. Energies 2022, 15, 4781. https://doi.org/10.3390/en15134781
Song C, Zhang Y, Ling Q, Zheng S. Joint Estimation of SOC and SOH for Single-Flow Zinc–Nickel Batteries. Energies. 2022; 15(13):4781. https://doi.org/10.3390/en15134781
Chicago/Turabian StyleSong, Chunning, Yu Zhang, Qijin Ling, and Shaogeng Zheng. 2022. "Joint Estimation of SOC and SOH for Single-Flow Zinc–Nickel Batteries" Energies 15, no. 13: 4781. https://doi.org/10.3390/en15134781
APA StyleSong, C., Zhang, Y., Ling, Q., & Zheng, S. (2022). Joint Estimation of SOC and SOH for Single-Flow Zinc–Nickel Batteries. Energies, 15(13), 4781. https://doi.org/10.3390/en15134781
        
                                                
